Services on Demand
Journal
Article
Indicators
-
Cited by SciELO -
Access statistics
Related links
-
Cited by Google -
Similars in
SciELO -
Similars in Google
Share
Boletín de Ciencias de la Tierra
Print version ISSN 0120-3630
Bol. cienc. tierra no.33 Medellín Jan./June 2013
ANÁLISIS COMPARATIVO ENTRE LA FORMACIÓN BARROSO Y EL COMPLEJO QUEBRADAGRANDE: UN ARCO VOLCÁNICO TOLEÍTICO-CALCOALCALINO, SEGMENTADO POR EL SISTEMA DE FALLAS DE ROMERAL EN LOS ANDES DEL NORTE?
COMPARATIVE ANALYSIS OF THE BARROSO FORMATION AND QUEBRADAGRANDE COMPLEX: A VOLCANIC ARC THOLEIITIC-CALCOALCALINE, SEGMENTED BY THE FAULT SYSTEM ROMERAL IN NORTHERN ANDES?
GABRIEL RODRÍGUEZ G.
Servicio Geológico Colombiano, grodriguez@ingeominas.gov.co
GILBERTO ZAPATA G.
Servicio Geológico Colombiano, gzapata@ingeominas.gov.co
Recibido para evaluación: 10 de Septiembre de 2012 / Aceptación: 19 de Junio de 2013 / Recibida versión final: 02 de Julio de 201
RESUMEN: La Formación Barroso y el Complejo Quebradagrande están constituidos por derrames lávicos basálticos y andesíticos, junto a tobas, aglomerados, tufas y paquetes sedimentarios de chert, lodolitas, limolitas, grauwacas y conglomerados que por lo general reposan discordantes sobre las rocas volcánicas o se intercalan con ellas. El Complejo Quebradagrande ha sido afectado por el sistema de Fallas de Romeral que deforma las rocas y genera una serie de retazos sedimentarios y volcánicos con alteración propilítica y deformación dúctil y frágil, limitados por las fallas de San Jerónimo al oriente y de Silvia - Pijao al occidente.
Las características de los óxidos mayores, elementos de las tierras raras y trazas, sugieren que la Formación Barroso y el Complejo Quebradagrande se formaron en un arco magmático de suprasubducción, ambas unidades tienen afinidad toleítica y calco alcalina media en K. El Complejo Quebradagrande tiene contenido mayor de Th y ligeramente menor de Hf que la Formación Barroso, pero las dos unidades muestran una misma tendencia en todos los gráficos de geoquímica, sugiriendo la posibilidad de que se generaron en el mismo arco.
La Formación Barrosos y el Complejo Quebradagrande presentan una serie de datos como edades radiométricas, secuencias asociadas de sedimentitas con registro fósil y conglomerados basales, así como relaciones estratigráficas intrusivas con plutones cretácicos de edades Turoniano a Albiano, que permiten postular una misma edad para las dos unidades, dentro del rango Albiano-Aptiano.
La información petrográfica, litológica, litogeoquímica, radiométrica y las relaciones estratigrágicas sugieren que ambas unidades posiblemente se generaron en el mismo arco magmático y fueron posteriormente desmembradas por el Sistema de Fallas de Romeral
El arco magmático que dio origen a la Formación Barroso, al Complejo Quebradagrande y a los plutones asociados, se emplazó a lo largo de la zona de debilidad o zona de convergencia de las cortezas oceánica y continental, las cuales se encontraban juntas o muy cerca la una de la otra, de acuerdo a la composición de los conglomerados asociados al Complejo Quebradagrande con aporte de ambas cortezas y a la intrusión de plutones como el Batolito de Sabanalarga, la Tonalita de Buriticá y la Diorita de Altavista, sugiriendo que el choque se dio antes del Albiano-Aptiano
PALABRAS CLAVE: Arco magmático, Sistema de Fallas de Romeral, Formación Barroso, Complejo Quebradagrande.
ABSTRACT: The Barroso formation and the Quebradagrande Complex consist of basaltic and andesitic lava flows, with tuffs, agglomerates, and sedimentary packages of chert, mudstone, siltstone, greywacke and conglomerate that usually lie awkwardly on volcanic rocks or are intercalated with them. Quebradagrande Complex has been affected by the fault system that deforms the rocks Romeral and generates a series of sedimentary and volcanic fragments with propylitic alteration, and ductile and brittle deformation. This is limited by faults east of San Jerónimo and Silvia - Pijao to west.
The characteristics of the major oxides, rare earth elements and trace, suggest that the Barroso Complex and the Quebradagrande Formation, where formed in a magmatic arc of suprasubducción. Both formations having affinities tholeiitic and calc-alkaline medium-K. Quebradagrande Complex has higher content of Th and slightly lower content of Hf than the Barroso Formation. But both entities show the same trend in all geochemistry graphs; suggesting the possibility that they were generated in the same magnetic arc.
The Barrosos Formation and the Quebradagrande Complex, presented a series of data like radiometric ages date, sequences associated with sedimentary with fossil records and basal conglomerates, as well as intrusive stratigraphic with Cretaceous plutons of Albian to Turonian age. These allow postulating the same age for both units within the Albian-Aptian range.
The petrographic, lithologic, litogeoquímica, radiometric information and estratigrágicas relations suggest that both units may have been generated in the same magmatic arc and were subsequently dismembered by Romeral Fault System
The magmatic arc that led to the Barroso Formation, Quebradagrande Complex and associated plutons, got emplaced along the weaker zone, or convergence zone of oceanic and continental crust, which were next to each other, or very close together. This is based to the composition of the clusters associated with Quebradagrande Complex, with input from both cortices and the intrusion of plutons as Sabanalarga Batholith, Buritica tonalite and Diorite of Altavista. This suggests that the crash occurred before Albian-Aptian period.
KEY WORDS: Magmatic arc, Romeral Fault System, Complex Quebradagrande, Barroso Formation.
1. INTRODUCCION
La complejidad estructural en el límite entre los dominios continental y oceánico en los Andes del Norte, ha sido un factor que ha dificultado el entendimiento de las unidades geológicas en la margen convergente entre la corteza continental y la corteza oceánica, a lo largo del sistema de fallas Romeral, considerado a su vez como el límite geológico entre las cordilleras Central y Occidental de Colombia.
Una serie de bloques litológicos de diferente naturaleza y ambiente se encuentran limitados y desmembrados por el Sistema de Fallas de Romeral, dando lugar a un mosaico de rocas de origen y naturaleza variada. Maya y González (1995) introducen un modelo de unidades litodémicas limitadas por fallas regionales que buscó darle claridad a la distribución de éstas, definiendo las fallas que delimitan los bloques más continuos, modelo que facilita parcialmente la comprensión regional y la cartografía de unidades, pero que no explica su origen y naturaleza.
En los últimos 10 años de investigaciones regionales y locales, se han aportado nuevos datos que permiten hacer un análisis de la naturaleza de algunas unidades y la comparación petrográfica, química y radiométrica de bloques que están separados, pero que podrían tener un origen común dentro de un mismo evento geológico, como es el caso de la Formación Barroso y el Complejo Quebradagrande. Teniendo en cuenta lo anterior, el presente trabajo pretende comparar ambas unidades en términos petrográficos y geoquímicos, para definir si tienen características que permitan suponer que se formaron en un mismo evento geológico.
Este artículo hace parte de una serie de trabajos adelantados por geólogos del Servicio Geológico Colombiano (SGC) como parte de los resultados del proyecto Cordillera Occidental y Cauca Romeral, que busca aportar nuevas ideas en la evolución del Noroccidente colombiano, con el análisis de la información petrográfica, geoquímica, fosilífera y radiométrica, a la luz de los datos que existen actualmente.
2. MATERIAL Y MÉTODOS
Se realizó una revisión petrográfica de secciones delgadas colectadas por INGEOMINAS en los trabajos regionales de cartografía geológica (planchas 130 y 146, proyectos Cauca Romeral Zona Norte y Cordillera Occidental). Se separaron las tobas basaltos porfídicos de las diabasas y basaltos almohadillados con texturas "diabásicas" correspondientes estos últimos a la unidad "Diabasas de San José de Urama" y se determinó la distribución espacial de cada grupo de rocas en la Formación Barroso y en el Complejo Quebradagrande.
Para el análisis de litogeoquímica de la Formación Barroso se tomaron los resultados de 21 muestras de los proyectos Cauca - Romeral (Geoestudios-Ingeominas, 2005) y Cordillera Occidental previamente analizadas y depuradas por Rodríguez y Arango (2012, en imprenta). Se agruparon teniendo en cuenta las características petrográficas y macroscópicas de cada roca, descartando las diabasas y pillow lavas de la unidad Diabasas de San José de Urama, y agrupando los basaltos porfídicos y tobas de la Formación Barroso; posteriormente se determinó el comportamiento químico de cada grupo de muestras. Las muestras se analizaron en el laboratorio ActLabs en Canadá. La determinación cuantitativa de los óxidos mayores, de algunos elementos traza y de las tierras raras se obtuvo por el método de ataque Fus-ICP (Lithium Metaborate / Tetraborate Fusion ICP) y para el resto por espectrometría de emisión con plasma (ICP-MS).
Para El Complejo Quebradagrande se tomaron los resultados de litogeoquímica de 29 muestras de los proyectos Cauca - Romeral (Geoestudios-Ingeominas, 2005) y las publicaciones de Nivia et al. (1996) y Villagómez et al. (2011), descartando del análisis las muestras de rocas plutónicas. Las muestras de Geoestudios-Ingeominas (2005) se les hizo análisis litogeoquímico de roca total con límite de detección de 0,01 (100 g); análisis para elementos mayores por el método de ataque FUS-ICP (Inductively Coupled Plasma - Optical Emision Spectrometry), y los elementos traza por espectrometría de emisión con plasma ICP-MS (Inductively Coupled Plasma - Mass Spectrometry); análisis realizados por Activation Laboratiories Ltd (ActLabs) en Canadá.
3. FORMACIÓN BARROSO Y COMPLEJO QUEBRADAGRANDE
Se hace una pequeña reseña sobre las dos unidades para dar una idea de lo que corresponde desde el punto de vista de la geología regional, composición litológica y afinidad química, antes de entrar a comparar los datos e información con que se dispone actualmente.
Formación Barroso. La Formación Barroso fue denominada inicialmente Formación Volcánica del Grupo Cañas Gordas (Álvarez, 1971) posteriormente, al norte, se le dio el nombre de "Metabasaltos del Cretáceo superior y Rocas piroclásticas asociadas", (Hall et al, 1972); y Álvarez y González (1978) la llamarón Formación Barroso en el Municipio de Salgar (Antioquia); corresponde a una unidad volcano sedimentaria que aparece en los mapas regionales como una franja alargada N-S, en el flanco oriental de la Cordillera Occidental (Figura 1).
La Formación Barroso de acuerdo a Rodríguez y Arango (2012 en imprenta), está constituida por derrames lávicos basálticos y andesíticos, tobas, aglomerados, tufas e intercalaciones sedimentarias de chert, lodolitas, limolítas y grauwacas. Hacen parte de las vulcanitas de la Formación Barrosos únicamente las rocas pórfidicas, amigdalares, vacuolares o piroclásticas que no posean texturas "diabásicas". Rodríguez y Arango (2012 en imprenta) separaron de la Formación Barroso las diabasas y basaltos almohadillados que presentan texturas ofíticas, subofíticas, intergranulares e intersectales y las agruparon bajo el nombre de Diabasas de San José de Urama, unidad descrita por Mejía y Salazar (1989).
La Formación Barroso aflora entre la Falla Cauca - Almaguer y la Falla Dabeiba - Pueblo Rico, hacia el este de la Cordillera Occidental aflora la Formación Barroso junto a bloques de diabasas y basaltos almohadillados y hacia el oeste afloran bloques o retazos de cuerpos de diabasas con limites tectónicos que hacen parte de la unidad Diabasas de San José de Urama. La Formación Barroso se formó en un arco volcánico toleítico con afinidad subalcalina y las Diabasas de San José de Urama corresponden a rocas básalticas toleíticas afines a T- MORB (Rodríguez y Arango, 2012 en imprenta).
Complejo Quebradagrande. Grosse (1926) denominó " formación Porfirítica" a las rocas volcánicas expuestas al norte de Arma, posteriormente Burgl y Radelli (1962) se refirieron a las sedimentitas que afloran al oeste de la población de Abejorral (Antioquia) y sobre la vía a Marulanda (Caldas) como Formación Abejorral. Botero (1963) utilizó por primera vez el término Formación Quebradagrande y estableció la sección tipo a lo largo de la quebrada Grande, afluente del río Medellín, reconociendo un conjunto sedimentario y otro de rocas verdes volcánicas.
González (1976) divide la Formación Quebradagrande en dos miembros, uno sedimentario y el otro volcánico. Luego Álvarez (1987) aclara que la "Formación Quebradagrande" definida por Botero (1963) no cumple con los criterios de una unidad estratigráfica formal, elevando el estatus de la unidad a Grupo. Posteriormente Maya y González (1995) adoptaron el uso de unidades litodémicas debido a la imposibilidad de establecer unidades formales litoestratigraficas, puesto que la mayor parte de los contactos son tectónicos. González (2001) define el Complejo Quebradagrande como la unidad que agrupa rocas volcánicas y sedimentarias que afloran como una franja larga y estrecha, en el flanco oeste de la Cordillera Central al occidente de la Falla San Jerónimo y al este de la Falla Silvia - Pijao, considerando las complicaciones tectónicas, variaciones litológicas y estructurales y extensión regional.
La parte volcánica del Complejo Quebradagrande está compuesto por basaltos, con cantidades menores de andesitas, brechas y tobas, en general predominan las texturas porfídicas con fenocristales de plagioclasa y piroxeno y subordinadas texturas amigdalares y fragmentales para tobas y aglomerados. Localmente se encuentran basaltos con estructuras de pillow lava y diabasas asociadas a las lavas porfídicas (González, 2001), que hasta que no se analice la afinidad química y ambiente de formación específica de las diabasas y basaltos almohadillados queda la duda de si hacen o no parte del Complejo Quebradagrande, considerando las conclusiones y definiciones hechas por Rodríguez y Arango (2012 en imprenta) sobre la Formación Barroso y las Diabasas de San José de Urama.
La afinidad química de las rocas volcánicas del Complejo Quebradagrande corresponden a series toleíticas con bajos contenidos en K2O (González, 2001; Nivia et al., 1996; Geoestudios, 2005). Álvarez (1987) sugiere que el conjunto de rocas volcánicas y sedimentarias siliciclásticas se originaron en un sistema arco-cuenca marginal-continente. Situación que es confirmada posteriormente por algunos trabajos (Toussaint y Restrepo, 1994; Geoestudios - Ingeominas, 2005). Nivia et al. (1996, 2006), plantean un modelo petrogenético que podría representar una posible cuenca intracratónica marginal del Cretáceo Temprano, generándose las rocas en un ambientre de suprasubducción.
Villagómez et al. (2011) consideran que el Complejo Quebradagrande se caracteriza por presentar rocas afines a MORB y relacionadas a arco, indicando que el arco se desarrolló através de una corteza oceánica o una corteza transicional atenuada que bordeaba el margen continental. Esta última idea coincide con los datos presentados por Rodríguez y Arango (2012, en imprenta); Rodríguez et al. (2012, en imprenta) y Rodríguez y Arango (en Imprenta) caracterizan con petrografía y química las rocas de la Formación Barroso, el Batolito de Sabanalarga y las Diabasas de San José de Urama, y determinan cuales de estas unidades se formaron en un ambiente de arco y cuales en corteza oceánica afín a T-MORB.
4. CARACTERISTICAS LITOLÓGICAS Y PETROGRÁFICAS
La Formación Barroso está constituida por derrames lávicos basálticos y andesíticos, junto a tobas, aglomerados, tufas y paquetes sedimentarios de chert, lodolitas, limolítas, grauwacas y conglomerados con guijos de vulcanitas y chert que por lo general reposan discordantes sobre las rocas volcánicas. Los basaltos y andesitas presentan textura porfídica con fenocristales de plagioclasa y clinopiroxeno en una matriz microcristalina a hialocristalina microlítica localmente con amígdalas. Las andesitas están compuestas principalmente por fenocristales de plagioclasa (An40-50), y en menor proporción, anfíbol y piroxeno. Las tobas y aglomerados tienen fragmentos de vulcanitas máficas de diferente tamaño y textura, corresponden a tobas líticas y subordinadas lítico cristalinas y vítreo cristalinas.
Las sedimentitas ocurren en capas intercaladas con los basaltos y en paquetes de areniscas líticas, conglomerados con guijos de vulcanitas, limolitas, lodolitas silíceas y chert (Hall et al., 1972; Álvarez y González, 1978; Mejía y Salazar, 1989), que reposan discordantes sobre las rocas volcánicas.
Las rocas volcánicas del Complejo Quebradagrande corresponden a basaltos y andesitas por lo general de color gris verdoso, las cuales pueden presentar algunas alteración a epidota y en menor proporción a sericita, clorita y anfíbol deutérico, y deformación dinámica sobre impuesta; las rocas presentan texturas porfídicas y amigdalares, con fenocristales de plagioclasa, piroxeno y hornblenda uralitica; vacuolas rellenas de calcedonia, calcita, ceolitas y clorita flotando en una matriz vítrea o hialocristalina microlítica. Junto con los derrames lávicos se presentan rocas piroclásticas como tobas líticas y vítreo-líticas con fragmentos de basaltos, andesitas basálticas con texturas porfídicas y amigdalares y vidrio devitrificado de tamaño ceniza y lapilli. Gómez et al. (1995) reconocieron para el Complejo Quebradagrande dos intervalos de rocas sedimentarias
en los alrededores de Manizales. Un intervalo oriental con fósiles de edad albiana, con cuerpos de conglomerados con guijos de cuarcitas y metamorfitas, junto a secuencias espesas de lodolitas. El intervalo occidental presenta niveles de conglomerados con guijos de rocas volcánicas (basaltos, andesitas y tobas). Las sedimentitas del intervalo oriental se interpretaron como el producto de sedimentación de material detrítico en abanicos submarinos cercanos al margen continental. El intervalo occidental registra la sedimentación de material volcanoclástico sobre basamento oceánico (gabros y basaltos, afectado por intrusiones andesíticas (Gómez et al., 1995).
Moreno et al. (2008) resumen la composición del Complejo Quebradagrande como un conjunto de rocas de origen marino (protolitos: hemipelagitas, arenitas arcósicas, cuarzoarenitas, chert y conglomerados de variada composición); metavolcanitas (protolitos: tobas, andesitas, basaltos) y un basamento oceánico constituido por rocas ultrabásicas, gabros y diabasas.
Comparando la Formación Barrosos junto con las Diabasas de San José de Urama en el sentido que fueron descritas por Rodríguez y Arango (2012 en imprenta), hay concordancia entre las conclusiones obtenidas por Moreno et al. (2008) para la composición del Complejo Quebradagrande y las unidades que aparecen en la margen oriental de la Cordillera Occidental entre Buriticá y Salgar en el departamento de Antioquia, donde se reconoce un basamento oceánico de afinidad T- MORB que estos autores llamaron Diabasas de San José de Urama, nombre rescatado de Mejía y Salazar (1989) y que corresponde al basamento de la Cordillera Occidental sobre el cual se desarrollo el arco volcánico que dio origen a la Formación Barroso en el sentido de Álvarez y González (1978) y Rodríguez y Arango (2012 en imprenta).
Desde el punto de vista de litología no se puede concluir si la Formación Barroso y el Complejo Quebradagrande corresponden a un mismo evento o no, lo que sí se puede decir es que las litologías son comparables.
5. CARACTERISTICAS GEOQUIMICAS
Para comparar geoquímicamente ambas unidades se toman los datos publicados de la Formación Barroso por Rodríguez y Arango (2012 en imprenta) y se recopilan los análisis del Complejo Quebradagrande publicados por Nivia et al. (1996), Geoestudios - Ingeominas (2005) y Villagómez et al. (2011), con el problema de no contar con los análisis petrográficos que permitan saber si es una lava porfídica, una toba o una diabasa. Únicamente se tuvo acceso a los análisis petrográficos del trabajo de Geoestudios - Ingeominas (2005). Se incluyen las tobas en el análisis, pero los resultados de éstas deben ser tomados con reserva, debido a que son rocas fragméntales y pueden incluir líticos de fuentes externas al arco, por tal razón tienen una nomenclatura diferente en todos los gráficos. En la Tabla 1 y 2 se muestran los resultados analíticos de la Formación Barroso y del Complejo Quebradagrande correspondiente a óxidos mayores.
Comparando los contenidos de óxidos mayores en ambas unidades, se puede concluir que los basaltos, andesitas y tobas de las Formación Barroso y el Complejo Quebradagrande presentan valores similares de SiO2 entre 45%wt y 56% wt, K2O generalmente <1%wt, TiO2 <1%wt, Fe2O3 entre 8%wt y 12%wt, MgO entre 3%wt y 8%wt, únicamente muestran leve diferencia en los contenidos de Al2O3 donde el Complejo Quebradagrande presenta valores ligeramente mayores entre 15.5%wt y 20%wt y la Formación Barroso entre 14%wt y 18%wt, esta diferencia posiblemente se deba al aporte introducido por la alteración a epidota de las rocas del Complejo Quebradagrande.
En el diagrama TAS (Le Bas et al., 1986) las muestras de la Formación Barroso y el Complejo Quebradagrande se distribuyen en los campos de los basaltos, andesitas basálticas, traquiandesitas y andesitas, mostrando dispersión en la clasificación de las rocas y un contenido de SiO2 similar en ambas unidades, con algunos valores menores de SiO2 para el Complejo Quebradagrande, pero con similar distribución en los campos del diagrama. Las rocas en su mayoría grafican dentro del campo de las series toleíticas de afinidad subalcalina, y aquellas que caen en los campos de traquiandesitas - traquibasaltos posiblemente se deba a la movilidad del álcalis (Figura 2).
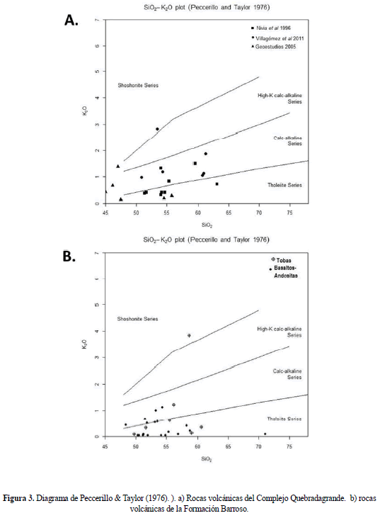
En el diagrama de Peccerillo & Taylor (1976), se aprecia que los basaltos, andesitas y tobas de la Formación Barroso y el Complejo Quebradagrande caen dentro de las series toleíticas y calco alcalinas medias en K, lo que sugiere que las rocas volcánicas de ambas unidades evolucionaron desde series toleíticas a calcoalcalinas típicas de magmatismo de arco de márgenes convergentes (Figura 3)
En las Tablas 3 y 4 se muestran los resultados de elementos traza y tierras raras (REE) de las rocas volcánicas de la Formación Barroso y el Complejo Quebradagrande. Las razones positivas, para la Formación Barroso de Cs/Th (0.4-2.6), Ba/Nb (6 a 790), Sr/Hf (486 a 34) y para el Complejo Quebradagrande con valores positivos Cs/Th (0.1 a 1.4), Ba/Nb (37 a 556), Sr/Hf (89 a 388), sugieren para ambas unidades la participación de un componente de subducción en la génesis magmática. La Formación Barroso presenta valores de La/Yb (1.3 a 4,8) y Sm/Yb (0.95 y 1.58), mientras el Complejo Quebradagrande tienen un rango más amplio de La/Yb (1.7 a 13.6) y Sm/Yb (0.9 a 3.2) que para las dos unidades representan los valores de HREE/LREE. La relación La/Sm para los basaltos y tobas de la Formación Barroso varía entre 1.2 y 3.3, con la mayoría de valores >1.6, y en el Complejo Quebradagrande varían entre 2 y 4.5 con algunas relaciones mayores a las de la Formación Barroso; excepto la muestra DV173 que presenta una relación La/Sm de 1.06 afín con los valores reportados para basaltos de tipo T-MORB. En general las muestras de ambas unidades presentan empobrecimiento de las REE pesadas con relación a las REE livianas y pendiente negativa.
En la Figura 4 se comparan los diagramas multielementales simplificados (Pearce, 1996), donde se grafican las rocas volcánicas de la Formación Barroso y el Complejo Quebradagrande, analizando únicamente el comportamiento de Th, Nb, Ce, Zr e Y. Ambos patrones sugieren que las dos unidades se generaron en un ambiente de arco, con algunas diferencias en los contenidos de Th que son mayores en el Complejo Quebradagrande, el Nb, Zr e Y presenta valores comparables y algunas muestras de la Formación Barroso tiene menores contenidos de Ce.
Para las dos unidades el Nb muestra anomalía negativa con relación al Th y Ce característico de arcos volcánicos. Los dos unidades muestran valores empobrecidos en Nb, Zr e Y típicos de arcos volcánicos toleíticos y algunas muestras con valores mayores de Nb y Zr con relación al N-MORB más frecuentes en arcos volcánicos calcoalcalinos. Para las dos unidades los elementos más móviles (LILE) tienen un patrón más disperso que los inmóviles (HFSE) que muestran una tendencia relativamente plana y cercana a 1,0 pero menor que los MORB, con un enriquecimiento de los LILE con picos en Cs, Ba, Pb. y un empobrecimiento de los elementos inmóviles generando una pendiente negativa.
Para comparar el marco tectónico de las dos unidades se utilizó el diagrama Ta-Th- Nb/16 de Wood et al. (1979) (Figura 5). Las muestras de la Formación Barroso se localizan en el campo de los arcos volcánicos calcoalcalinos, algunas pocas muestras en los arcos primitivos toleíticos y en la zona de transición entre arco-MORB y tres (3) muestras de basaltos en el campo de los E-MORB y basaltos intraplaca (WPT) (LM163, VR362, ER-294). Las muestras del Complejo Quebradagrande grafican dentro del campo de los basaltos de arco calcoalcalino, excepto la muestra DV173 que cae dentro del campo de los N-MORB. Este gráfico indica el contenido de Th mayor y Hf ligeramente menor en las muestras del Complejo Quebradagrande pero dentro de una tendencia similar.
6. EDAD
Para comparar la edad se analizaron las relaciones estratigráficas de ambas unidades geológicas con los plutones y las rocas sedimentarias relacionadas. Las dataciones radiométricas que se han publicado y el registro fósil conocido, permiten asociar en tiempo tanto a la Formación Barroso como al Complejo Quebradagrande.
Las relaciones estratigráficas indican que cuerpos plutónicos como el Batolito de Sabanalarga, la Tonalita de Buriticá y el Gabro de Altamira, intruyen a las rocas volcánicas de la Formación Barroso (Hall et al, 1972; Mejía y Salazar, 1989; Geoestudios - Ingeominas, 2005; González y Londoño 2002a y b) y a los basaltos almohadillados y diabasas de la unidad Diabasas de San José de Urama (Rodríguez y Arango, 2012 en imprenta; Rodríguez et al., 2012 en imprenta). Las edades de estos tres plutones se muestran en la Tabla 5, en su mayoría las edades están dentro del rango de 89,9±0,8 Ma (Ar-Ar) a 98.2±3,5 Ma (K/Ar), lo que indica que las vulcanitas de la Formación Barroso son anteriores a estos plutones.
Los cuerpos sedimentarios intercalados y discordantes sobre las vulcanitas de la Formación Barroso, en el borde oriental del Segmento Norte de la Cordillera Occidental, presentan algunos registros fósiles, como los que afloran 4 km al sur de Buriticá que son indicativos del Albiano medio (Castro y Feininger, 1965; Etayo et al., 1980). Estudios recientes adelantados por Geoestudios - Ingeominas (2005) reporta amonites del Coniaciano localizados en el Boqueron de Toyo, sobre la vía a Uraba (X= 1.232.210, Y= 1.121.870), en rocas sedimentarias que hacia la base presentan conglomerados con guijos de vulcanitas de la Formación Barroso. Estos registros fósiles enmarcan la edad de la Formación Barroso entre el Coniaciano y el Albiano.
Son escasas las edades radiométricas obtenidas en vulcanitas de la Formación Barroso y no se tiene certeza si la edad reportada corresponde a basaltos almohadillados del Grupo Diabásico, la Formación Volcánica o a Diabasas de San José de Urama, o si corresponde a lavas porfídicas de la Formación Barroso. González (2010) reporta una edad por el método Ar/Ar en un basalto con textura variolítica colectada en la plancha 205, con una edad plateau de alta confiabilidad de 84,2+1,4 Ma, edades isócrona e integrada en el mismo rango de valores: 86,1+2,3 Ma y 83,33+1,96 Ma respectivamente; edad que no está acorde con las relaciones estratigráficas de la Formación Barroso al norte. Al analizar las características petrográficas de esta muestra, la roca es similar a lo descrito como basaltos relacionados a diabasas y a basaltos almohadillados afines a MORB, que no corresponden con las rocas de arco de la Formación Barroso.
Toussaint y Restrepo (1978) reportan una edad para una lava de la Formación Barroso colectada en la vía Albania - Bolombolo de 105+/-10 Ma (K/Ar en roca total). Esta edad presenta el mismo problema, no se sabe si la roca es una lava porfidica del arco o corresponde a rocas afines a diabasas de plateau. El dato concuerda con las relaciones estratigráficas y la edad de generación del arco volcánico-plutónico compuesto parcialmente por el Batolito de Sabanalarga y las rocas de arco de la Formación Barroso.
De acuerdo a los datos que se conocen hasta el momento, las rocas volcánicas de la Formación Barroso se formaron ligeramente antes del emplazamiento de los plutones, es decir Albiano-Aptiano, durante y antes de la sedimentación de los cuerpos sedimentarios: Albiano - Coniaciano, indicando en conjunto una edad que debe estar en el rango Turoniano-Aptiano, es decir, la edad del Arco volcánico - plutónico que dio origen a la Formación Barroso y a los intrusivos asociados en la margen oriental de la Cordillera occidental es de 84 a 115 Ma, coincidiendo con la mayoría de edades radiométricas reportadas (Tabla 5).
Las relaciones estratigráficas del Complejo Quebradagrande son falladas con las unidades y complejos metamórficos vecinos (Arquia y Cajamarca), en términos regionales el Complejo está limitado al este por la Falla de San Jerónimo y al oeste por la Falla Silvia-Pijao (Maya y González, 1995). Internamente el complejo está constituido por litodemas y las relaciones entre las rocas sedimentarias y volcánicas no son claras, se describen como intercalaciones, secuencias discordantes y falladas.
Moreno et al. (2008) describen en las unidades sedimentarias occidentales del Complejo, niveles de conglomerados con guijos de andesitas, basaltos y ocasionales gabros, sugiriendo según este autor que el borde occidental del Complejo se comportó como una subcuenca que recibía sedimentos de un arco volcánico vecino. Pardo et al. (2011) realizaron dataciones U/Pb en circones detríticos para definir con mayor precisión el área fuente, tanto en las unidades orientales con aporte continental como en las unidades volcanoclásticas occidentales, encontrando para estas últimas una población de circones Cenomaniano- Aptiano (95-115 Ma) derivada según estos autores del arco volcánico del Caribe, que para Rodríguez y Arango (en imprenta) se derivan del arco volcánico plutónico que generó la Formación Barroso, el Batolito de Sabanalarga y la Tonalita de Buriticá entre otros. La presencia de circones detríticos en poblaciones del Pérmico Tardío-Triásico (220-270 Ma) y Cámbrico-Ordovícico (460-500 Ma) indican una influencia del basamento de la Cordillera Central en la sedimentación al menos en el Albiano (100 Ma) de los litodemas orientales del Complejo Quebradagrande (Pardo et al., 2011).
Nivia (2001) considera de acuerdo a los fósiles reportados en el Complejo Quebradagrande que es de edad Cretácico Inferior. De acuerdo a Moreno et al. (2008) el rango de edad deducido de los fósiles hallados en sedimentitas que se incluyen en el Complejo Quebradagrande, tanto del sector oriental como del occidental, indican un intervalo que va desde el Berrisiano hasta el Albiano (Botero y González, 1983; Etayo-Serna, 1985; Gómez et al., 1995, González, 1980, Lemoigne, 1984). Cerca a Manizales, Gómez et al. (1995) y Moreno et al. (2008) reportan fósiles de edad Albiana dentro de una secuencia con conglomerados con guijos de metamorfitas provenientes del basamento continental.
Villagómez et al. (2011) reporta una edad U/Pb en circones de 114.3± 3.8 Ma tomados a partir de una toba, ubicándola en el Aptiano, dato que está dentro del intervalo de edades reportadas para la fauna fósil. Esta edad se podría asumir como la edad de las rocas de arco del Complejo Quebradagrande y en este caso las rocas volcánicas con afinidad de arco caen dentro del límite albiano - Aptiano.
De acuerdo a los datos que se conocen, las edades del arco conformado por la Formación Barroso y plutones asociados no difieren de la edad obtenida por U/Pb en una toba del Complejo Quebradagrande por Villagómez et al. (2011).
CONCLUSIONES
La litología de la Formación Barroso y el Complejo Quebradagrande es comparable. Ambas unidades litológicas están constituidas por lavas basálticas y andesíticas, rocas piroclásticas y cuerpos de sedimentitas intercaladas y discordantes sobre las rocas volcánicas. Las diferencias radican en los procesos posteriores que afectaron las rocas: el Complejo Quebradagrande muestra mayor alteración propilítica y localmente sericitica-filica y deformación dinámica.
Ambas unidades presentan características litogeoquímicas similares: las rocas volcánicas se clasifican químicamente en los mismos campos del diagrama TAS, corresponden a rocas de arco de afinidad subalcalinas que evolucionaron desde la serie toleítica a calcoalcalina, los elementos de las tierras raras y trazas presentan concentraciones similares y el marco tectónico de ambas unidades corresponde a rocas generadas por encima de la placa subducida en un ambiente de arco.
Las relaciones estratigráficas de la Formación Barroso, así como el registro fósil en las sedimentitas asociadas y los datos radiométricos con que se cuenta actualmente indican que la Formación Barroso en el sentido de Rodríguez y Arango (2012 en imprenta) se formó con anterioridad o al mismo tiempo que el Batolito de Sabanalarga y la Tonalita de Buriticá (Turoniano - Cenomaniano), que fue cubierta por sedimentitas del Coniaciano y posiblemente presenta intercalaciones de sedimentitas de edad Albiano medio, esta ultima relación no está claramente establecida. El único dato radiométrico que se conoce es de 105+/-10 Ma K/Ar en roca total (Toussaint y Restrepo, 1978) para los basaltos, que indica la edad más vieja de la unidad (Aptiano), considerando lo anterior el vulcanismo de arco de la Formación Barroso se enmarcaría en el rango entre el Aptiano y el Cenomaniano
El registro fósil predominante es de edad Albiana, que daría para ser interpretado en dos sentidos de acuerdo a las relaciones estratigráficas, las cuales no son claras en los sitios de colecta de los fósiles; por un lado se podría considerar que estas unidades reposan sobre el basamento volcánico y por el otro que se intercalan con las vulcanitas de arco. Únicamente se tiene una datación U/Pb en una toba que se considera afín con las rocas de arco del Complejo Quebradagrande, la cual arrojó una edad de 114.3± 3.8 Ma (Villagómez et al., 2011), en este contexto, la edad sugerida para las vulcanitas de arco del Complejo Quebradagrande está en el rango Aptiano - Albiano.
Las rocas volcánicas de la Formación Barroso corresponden a basaltos, andesitas y rocas piroclásticas generadas en un arco el cual se presenta junto a diabasas y basaltos almohadillados de afinidad T-MORB interpretadas como rocas de plateau (Geoestudios - Ingeominas, 2005; Rodríguez y Arango, 2012 en imprenta y Rodríguez et al., 2012 en imprenta). Rodríguez y Arango (2012 en imprenta), definen las características macroscópicas, microscópicas y químicas tanto de las rocas de arco (Formación Barroso) como de las rocas de afinidad T-MORB (Diabasas de San José de Urama) y consideran estas últimas como el basamento del arco y del Segmento Norte de la Cordillera Occidental. Las rocas volcánicas del Complejo Quebradagrande muestran una situación similar, la mayor parte de las rocas volcánicas corresponden a basaltos, andesitas y rocas piroclásticas de ambiente de arco (Nivia et al, 1996; Villagómez et al., 2011). Villagómez et al. (2011) describe gabros y basaltos de afinidad T-MORB, que parecen ser el basamento del arco al igual que lo encontrado por Rodríguez y Arango (2012, en imprenta) en el borde oriental de la parte norte de la Cordillera Occidental, situación que implica que el arco volcánico Barroso - Quebradagrande se fundó sobre basaltos de plateau, encontrando en el caso del Complejo Quebradagrande, retazos de este basamento junto a rocas del arco intensamente alteradas y deformadas.
Las características litológicas, petrográficas, químicas y radiométricas sugieren que las rocas volcánicas de la Formación Barroso (en el sentido de Rodríguez y Arango, 2012 en imprenta) y del Complejo Quebradagrande, se originaron en el mismo arco magmático. Si consideramos esto como cierto, el modelo de litodemas propuesto por Maya y González (1995) deberá ser revaluado desde el punto de vista de los límites de corteza oceánica y continental, aunque los límites entre litodemas continúen vigentes.
El arco Barroso-Quebradagrande y los plutones asociados se formaron en la margen de las dos cortezas, las cuales se encontraban juntas o muy cerca la una de la otra, conclusión que esta soportada no solo en los datos químicos, radiométricos sino en dos hechos: 1) El Batolito de Sabanalarga tiene afinidad de arco comparable con la afinidad química de las rocas volcánicas de la Formación Barroso (Rodríguez et al., 2012, en imprenta), intruye la corteza oceánica y la corteza continental (Hall, et al., 1972; Geoestudios - Ingeominas, 2005, Rodríguez et al, 2012, en imprenta) y 2) sedimentitas asociadas al Complejo Quebradagrande tiene capas de conglomerados con guijos metamórficos en el lado oriental del litodema y conglomerados con guijos de vulcanitas andesíticas y basálticas en el lado occidental, lo que ha sido interpretado como aporte del arco y del basamento continental (Goméz et al, 1995, Moreno et al., 2008; Pardo et al., 2011).
BIBLIOGRAFÍA
Álvarez, J., 1971. Informe preliminar sobre geoquímica de la Cordillera Occidental. INGEOMINAS. Informe interno (inédito). Medellín. [ Links ]
Álvarez, J. A., 1987. Geología del Complejo Ofiolítico de Pacora y secuencias relacionadas de arco de islas (Complejo Quebradagrande), boletín geológico, Ingeominas, v. 35 (1), 81 P. [ Links ]
Álvarez, E. & González, H., 1978. Geología y geoquímica del Cuadrángulo I-7 (Urrao). Ingeominas. Informe 1761. Medellín. 347p. [ Links ]
Botero, G., 1963. Contribución al conocimiento geológico de la zona central de Antioquia. En: Anales de la Facultad de Minas. No. 57, p. l -101. [ Links ]
Botero, G. y González, H., 1983, Algunas localidades fosilíferas cretáceas de la Cordillera Central, Antioquia y Caldas, Colombia, Geología Norandina, v. 7, p. 15--8. [ Links ]
Bürgl, H. y L. Radelli, 1962, Nuevas localidades fosilíferas en la Cordillera Central de Colombia: Geología Colombiana, V. 3, pp. 133-138. Castro, N. y Feininger, T., 1965. Geología en la región entre Buriticá y Santa Fe de Antioquia, Con especial referencia a la geología económica de un cuerpo andesítico. Ingeominas, informe Interno. 37 p. Medellín [ Links ]
Etayo-Serna, F., 1985, Documentación paleontológica del infracretacico de San Félix y Valle Alto, Cordillera Central, En Etayo-Serna, F. and Laverde, F. (eds.), Proyecto Cretácico, Publicaciones Geológicas Especiales, Ingeominas, v.16, no 25, p. 1-7. [ Links ]
Etayo, F.; González, H. y Álvarez, J., 1980. Med Albian ammonites from nothern Western Cordillera, Colombia. Geología Norandina. No. 2, p 25-30. Bogotá [ Links ].
GEOESTUDIOS-INGEOMINAS., 2005. Complementación geológica, geoquímica y geofísica de la parte occidental de las planchas 130 Santa Fé de Antioquia y 146 Medellín Occidental. [ Links ]
Göbel, V.; Stibane, F., 1979. K/Ar hornblende ages of tonalite plutons, Cordillera Occidental, Colombia. U. Nal., Publ. Esp. Geol., (19):1-2. Medellín. [ Links ]
Gómez, A., Moreno, M., y Pardo, A., 1995, Edad y origen del "Complejo Metasedimentario Aranzazu Manizales" en los alrededores de Manizales (departamento de Caldas, Colombia), Geología Colombiana, v. 19, p. 83-93.González (1976) [ Links ]
González, H., 1976. Geología del cuadrángulo J-8 Sonsón, Medellín, Ingeominas, 421 P. [ Links ]
González, H., 1980, Geología de las planchas 167 (Sonsón) y 187 (Salamina), Boletín Geológico, Ingeominas, v. 23 (1), p. 1-174. [ Links ]
González, H., 2001. Memoria explicativa del Mapa Geológico del Departamento de Antioquia. Escala 1:400.000. INGEOMINAS, 240 p. Medellín. [ Links ]
González, H., 2010. Geoquimica, geocronologia de las unidades litologicas asociadas al Sistema de Fallas Cauca-Romeral,sector centro-sur. Tomo I. Ingeominas, informe interno, 413p, Bogotá [ Links ]
González, H. & Londoño, A.C., 2002a. Catálogo de las unidades litoestratigráficas de Colombia, Batolito de Sabanalarga, Cordillera Occidental, departamento de Antioquia. INGEOMINAS. 12p. [ Links ]
González, H. & Londoño, A. 2002b. Catálogo de unidades litoestratigráficas de Colombia. Tonalita de Buriticá, Stock de Buriticá (K2tb). Cordillera Occidental, Departamento de Antioquia. Cretácico Superior. INGEOMINAS, 16 p. [ Links ]
Grosse, E., 1926. El Terciario carbonífero de Antioquia, en la parte occidental de la Cordillera Central de Colombia entre el río Arma y Sacaojal, Berlín, Dietrich Reimer, 361 P. [ Links ]
Hall R.; Álvarez, J.; Rico, II., 1972. Geología de los departamentos de Antioquia y Caldas (Sub-zona IIA) Bol. Geol. INGEOMINAS (Bogotá) 20 (1): 85 p. [ Links ]
Le Bas, M.I., Le Maitre R.W., Streckeisen, A. & Zanettin, B., 1986. A chemical classification of volcanic rocks based on the total alkali-silica diagram. Journal of Petrology, 27(3): 745-750. [ Links ]
Le Maitre. R.W., Bateman, P., Dudek, A., Keller, J., Lameyre, J. Le Bas, M.J., Sabine, P.A., Schmid, R., Sorensen, H., Streckeisen, A., Woolley, A.R. & Zanettin, B., 1989. A Classification of Igneous Rocks and Glossary of terms: Recommendations of the International Union of Geological Sciences Subcommission on the Systematics of Igneous Rocks. Blackwell Scientific Publications, Oxford, U.K. [ Links ]
Lemoigne, Y., 1984. Données nouvelles sur la paléoflore de Colombie: Geobios, V. 17, pp. 667-690. [ Links ]
Maya, M., González, H., 1995. Unidades litodémicas en la Cordillera Central de Colombia, Bol. Geol. INGEOMINAS, vol. 35, N°2,3, p.43-57. [ Links ]
Mejía, M., Salazar, G., 1989 (publicado 2007). Memoria explicativa de la Geología de la Plancha 114 (Dabeiba) y parte W de la 115 (Toledo). Escala 1:100.000. INGEOMINAS. 111p. Medellín. [ Links ]
Moreno-Sánchez, Gómez-Cruz, A. DE J. & Toro, L. M., 2008. Proveniencia del material clástico del Complejo Quebradagrande y su relación con los complejos estructurales adyacentes. Boletín de ciencias de la tierra, Universidad Nacional de Colombia, v.22 p.27-38. [ Links ]
Nivia, A., Gizelle, M. y Andrew, K., 1996. El Complejo Quebradagrande una posible cuenca marginal intracratónica del Cretáceo inferior en la Cordillera Central de los Andes Colombianos: VII Congreso Colombiano de geología. [ Links ]
Nivia, A., Marriner, G. F., Kerr, A. C. & Tarney. J., 2006. The Quebradagrande Complex: A Lower Cretaceous ensialic marginal basin in the Central Cordillera of the Colombian Andes. Journal of South American Earth Sciences, v. 21, p. 423-436. [ Links ]
Nivia, A., 2001. Mapa geológico del Departamento del Valle del Cauca. Escala 1:250.000. Mapa y memoria explicativa. INGEOMINAS, 148 p. Bogotá [ Links ].
Ordóñez, O.; Pimentel M.; Frantz, J. & Chemale F., 2007. Edades U-Pb convencionales de algunas intrusiones colombianas. XI Congreso Colombiano de Geología, Resúmenes, Bucaramanga [ Links ]
Pardo, A., Cardona, A., Silvia; J. C.; Borrero, C. y Tamayo, J.E. 2011. Geocronología U/Pb en circones detríticos del Complejo Quebradagrande: Nuevos datos sobre la procedencia de los sedimentos cretáceos en la margen NW de suramérica. Poster, XIV Congreso Latinoamericano de Geología. Medellín [ Links ]
Pearce, J.A., 1996. A user's guide to basalt discrimination diagrams. En Wyman, D.A. (ed.) Trace element geochemistry of volcanic rocks: Apliccations for massive sulphide exploration. Geological Association of Canada, Short Course Notes 12: 79-114 [ Links ]
Peccerillo, A. &.Taylor, S.R., 1976. Geochemistry of Eocene Calc-alkaline volcanic rocks from Kastamonir area, Northern Turkey. Contributions to Mineralogy and Petrology, Vol. 58, p 63-81. [ Links ]
Restrepo, J. J. & Toussaint, J. F., 1976. Edades radiométricas de algunas rocas del Antioquia. U. Nal., Publ. Esp. Geol., (6):1-13. Medellín. [ Links ]
Rodríguez, G. & Arango, M. I. (en imprenta). Formación Barroso: arco volcánico toleítico y Diabasas de San José de Urama: un prisma acrecionario T-MORB en el Segmento Norte de la Cordillera Occidental de Colombia [ Links ]
Rodríguez, G. Arango, M. I. & Bermúdez, J. G., (en imprenta). Batolito de Sabanalarga, plutonismo de arco en la zona de sutura entre las cortezas oceánica y continental de los Andes del Norte [ Links ]
Sun, S.S., Mcdonough, W.F., 1989. Chemical and isotopic systematic of ocean basalts: implications for mantle composition and processes. In: Saunders, A.D., Norry, M.J. (Eds.), Magmatism in the Ocean Basins. Geological Society of London Special Publication, vol. 42, pp. 313-346. [ Links ]
Toussaint, J. & Restrepo, J., 1976. Modelos orogénicos y tectónica de placas de los Andes Colombianos. Boletín de Ciencias de la Tierra. Universidad Nacional. 1: 1-47. Medellín. [ Links ]
Toussaint, J. & Restrepo, J., 1978. Edad K/Ar de dos rocas básicas del flanco noroccidental de la Cordillera Central. Boletín de Ciencias de la Tierra Nº15. Universidad Nacional de Colombia. Medellín, 1p. [ Links ]
Toussaint, J.F., Restrepo, J.J., 1994. The Colombian Andes during Cretaceous times: in Cretaceous tectonics of the Andes, J.A. Salfity Editor, Vieweg. p61-100. [ Links ]
Villagómez, D., Spikings, R., Magna, T., Kammer, A., Wincler, W. & Beltrán, A., 2011. Geochronology, geochemistry and tectonic evolution of the Western and Central Cordilleras of Colombia, Lithos, doi: 10.1016/j.lithos.2011.05.003. [ Links ]
Vinasco, C. J., 2001. A Utilização da Metodologia 40AR - 39AR para o Estudo de Reativações Tectônicas em Zonas de Cisalhamento, Paradigma - O Falhamento de Romeral nos Andes Centrais da Colombia. Dissertação (Mestrado), Universidade de Sao Paulo São Paulo. 85 p., 1 mapa. [ Links ]
Weber, M.; Gómez-Tapias, J., Duarte, E., Cardona, A., Vinasco_Vallejo, C.J., 2011. Geochemistry of the Santa Fe Batholith in NW Colombia: Remnant of an accreted Cretaceous arc. Memorias XIV Congreso Latinoanericano de Geología, p. 128-129, Medellín, Colombia [ Links ]
Wood, D. A., Joron, J-L. and Treuil, M., 1979. A re-appraisal of the use of trace elements to classify and discrimínate between magma series erupted in different tectonic settings: Earth and Planetary Science Letters, v45, p. 326-336. [ Links ]






















