Services on Demand
Journal
Article
Indicators
-
Cited by SciELO -
Access statistics
Related links
-
Cited by Google -
Similars in
SciELO -
Similars in Google
Share
Ingeniería e Investigación
Print version ISSN 0120-5609
Ing. Investig. vol.31 no.3 Bogotá Sept./Dec. 2011
Análisis de un inversor multinivel en cascada con tolerancia a fallas
Analysis of a cascaded multilevel inverter with fault-tolerant control
Jesús Aguayo Alquicira1, Abraham Claudio Sánchez2, Luis Gerardo Vela Valdés3, Marco Antonio Rodríguez4, Rodolfo Amalio Vargas Méndez5
1 Doctor y Maestro en Ciencias en Ingeniería electrónica, Centro Nacional de Investigación y Desarrollo Tecnológico-CENIDET, México. Profesor, Centro Nacional de Investigación y Desarrollo Tecnológico-CENIDET. jaguayo@cenidet.edu.mx.
2 Maestro en Ciencias en Ingeniería eléctrica, Instituto Tecnológico de la Laguna, México. Doctor en Ciencias en Ingeniería eléctrica , Instituto Nacional Politécnico de Grenoble, Francia. Profesor, Centro Nacional de Investigación y Desarrollo Tecnológico-CENIDET. peabraha@cenidet.edu.mx.
3 Maestro en Ciencias en Ingeniería eléctrica, Instituto Tecnológico de la Laguna. Doctor en Control automático, Universidad Henry Poincaré, Francia. Profesor, Centro Nacional de Investigación y Desarrollo Tecnológico- CENIDET. velaluis@cenidet.edu.mx
4 Doctor y Maestro en Ciencias en Ingeniería electrónica, Centro Nacional de Investigación y Desarrollo Tecnológico-CENIDET, México. Profesor, Universidad Autónoma del Carmen. marblanco73@hotmail.com
5 Maestro en Ciencias en Ingeniería electrónica y Estudiante de doctorado, Centro Nacional de Investigación y Desarrollo Tecnológico-CENIDET. Amalio08e@cenidet.edu.mx.
RESUMEN
Los inversores multinivel en cascada son ampliamente utilizados en la industria para el control de la velocidad en motores y aun cuando los inversores son muy confiables en su operación, diversas fallas en ellos pueden ocurrir, llegando a degradar el comportamiento de los motores o incluso producirse el paro total del sistema. Cuando una falla se presenta es deseable mantener en operación el sistema aun en régimen degradado y la implementación de sistemas tolerantes a fallas en ese tipo de dispositivos son una buena opción. En este trabajo se ofrece una estrategia generalizada relativa a tolerar fallas en los dispositivos semiconductores de un inversor multinivel en cascada de siete niveles y se incluyen los resultados en simulación y experimentales para la validación del método.
Palabras clave: modulación IPDPWM, tolerancia a fallas, inversor multinivel en cascada.
ABSTRACT
Cascaded multilevel inverters are widely used in industry for speed control of induction motors and, even when the converters' operation is highly reliable, several faults can occur, leading to poor engine performance or even causing the whole system to stop. It is desirable to keep the system operational when a failure occurs, even when degraded, and implementing fault-tolerant systems are thus a good choice. This paper presents a general strategy for fault-tolerant control in a 7-level cascaded multilevel inverter (the faults are in semiconductor devices); the paper includes simulation and experimental results to validate the method.
Keywords: modulation, in-phase pulse width modulation (IPDPWM), fault-tolerance, cascaded multilevel inverter.
Recibido: octubre 21 de 2010 Aceptado: noviembre 2 de 2011
Introducción
En aplicaciones de mediano voltaje (2,3 kV a 13,8 kV) y alta potencia (0,4 MW a 40 MW) los inversores multinivel ofrecen ventajas particulares de operación al incrementar el número de niveles de voltaje a la salida, por ejemplo: un menor contenido armónico, una disminución en los transitorios dv/dt de las conmutaciones y reducción de pérdidas eléctricas (Cortés et al., 2008). Los inversores multinivel más utilizados en la industria son: diodos de enclavamiento, cascada y condensadores flotantes (BinWu, 2006; Jae-Chu et al., 2006). Sin embargo, al incrementarse el número de niveles aumenta también el número de interruptores en la topología y se eleva la probabilidad de falla en el sistema (Mingyao et al., 2007; LeiHu et al., 2005). Cuando se presenta una falla se genera un voltaje desbalanceado que puede ocasionar daño permanente en la carga o un paro total del sistema (Barriuso et al., 2009; Francois et al., 2002).
Los estudios relacionados con la tolerancia a fallas en los inversores multinivel contemplan diversas estrategias para obtener un voltaje línea-línea balanceado a la salida (Mingyao et al., 2007; LeiHu et al.; 2005; Shengming et al., 2006 y Sanmin et al., 2004). Xiaomin et al. (2004) estudiaron el inversor con condensadores flotantes de cuatro niveles empleando la estrategia de redundancia material (uso de componentes extras). Edison et al. (2006) y Gun-Tae et al. (2004) analizaron el inversor con diodos de enclavamiento de tres niveles y también usaron componentes extras para tolerar fallas. Francois et al. (2002) presentaron el inversor multinivel en cascada con una rama adicional para intercambiar las señales de conmutación cuando ocurre una falla. Sanmin et al. (2006) y Surin et al. (2006) analizaron el inversor en cascada y la técnica de tolerancia a fallas empleada en la variación de las modulaciones de los dispositivos semiconductores. Barriuso et al. (2009), Mingyao et al. (2007) y LeiHu et al. (2005) presentaron sistemas tolerantes a fallas para un convertidor multinivel asimétrico empleando redundancia material. También existen trabajos como los de De Lillo et al. (2010), donde se despliega un sistema tolerante a fallas en máquinas eléctricas, con énfasis en aplicaciones aeroespaciales, y el de Xiong et al. (2008), en el cual la aplicación es un vehículo eléctrico.
En este trabajo se analiza el inversor en cascada de siete niveles (figura 1), con capacidad de tolerancia a fallas, aprovechando la modularidad del sistema al modificar la secuencia de operación de los interruptores (modulación). El objetivo está encaminado a verificar hasta dónde es posible reconfigurar la topología ante fallas en una o dos celdas, manteniendo el voltaje de salida balanceado y con baja distorsión armónica en comparación con los voltajes nominales de salida en función de la aplicación.
Análisis de fallas
Existen diversos estudios sobre análisis de fallas en sistemas de potencia (Aguayo et al., 2004; Pérez et al., 2009; Quiroga, 2009), pero en la práctica los inversores vienen con funciones de protecciones (Friedrich et al., 2003) o se activan las protecciones pasivas del sistema en función de la duración de la falla (Sun et al., 2010). Para llevar a cabo este análisis se hace necesario desactivar las protecciones pasivas y solo se analizan dos tipos de fallas que pueden presentarse en los dispositivos semiconductores: en circuito abierto y en cortocircuito, las cuales se describen a continuación (Lu et al., 2009).
Modo de falla: circuito abierto
Esta falla se presenta cuando un interruptor permanece apagado (aun cuando la señal de compuerta esté activándolo) y se evita la transferencia de energía a través del convertidor hacia la carga; el diagrama eléctrico de la falla se presenta en la figura 2. La probabilidad de ocurrencia de este modo de falla es del 18% del total de fallas que se presentan en un inversor (Aguayo et al., 2004). Al ocurrir este tipo de falla se pierden dos niveles de voltaje, uno positivo y otro negativo, tal y como se aprecia en la figura 3 al presentarse una falla en t = 0,055 seg.
Modo de falla: cortocircuito
Ocurre cuando un interruptor se cierra en presencia de otro incluso cerrado en la misma rama del inversor o trayectoria de la fuente, tal y como se presenta en Sun et al. (2010). En este caso tampoco es posible la transferencia de energía a través de la carga y se tiene una sobrecorriente entre el voltaje de alimentación y dos transistores. En función de la duración de la falla es posible que se activen las protecciones del sistema y suceda un paro total del sistema. La ocurrencia de esta falla es de un 15% del total de las que pueden darse en un convertidor (Aguayo et al., 2004). De igual manera que en el caso anterior, se pierden dos niveles de voltaje a la salida.
Esquema de tolerancia a fallas
Antes de implementar cualquier técnica de reconfiguración del sistema se requiere un análisis de diagnóstico de las fallas FDI (Fault Detection and Isolation). Para el FDI se pueden implemen-tar diversos métodos, entre los que destacan: a) sensado de resistencia, b) transformaciones de la corriente de salida y c) sensado de VCE (Edison et al., 2006). Este trabajo adopta el método de actuador como sensor (Aguayo et al., 2004; Rodríguez et al., 2009) para la detección de la falla mediante el sensado de VCE y VGE.
Reconfiguración de la modulación IPDPWM
Acá se analiza la tolerancia de fallas en un inversor multinivel en cascada sin reemplazo físico de los componentes, lo cual se logra mediante el estudio de la técnica de modulación IPDPWM tal y como se presenta en LeiHu et al. (2005), asignando seis portadoras en fase (señales triangulares) a diferentes niveles de voltaje y comparando con una referencia (señal sinusoidal) a los fines de determinar el patrón de conmutación de los interruptores. Las señales generadas de la comparación se asignan a los seis pares de interruptores (guardando una simetría).
La propuesta del trabajo es analizar los límites del índice de modulación y aprovechar la simetría de los interruptores con propósitos de reconfiguración; para incluir las técnicas de tolerancia a fallas se hace necesario llevar a cabo una redundancia material (modificación de los componentes), en otras palabras, la modulación por software (señales de compuerta) implica una reconfiguración en hardware (dispositivos semiconductores), pero no hay redundancia material.
Reconfiguración para una célula con falla
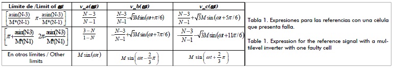
Cuando ocurre cualquier tipo de falla se tiene que aislar y dejar de conmutar a la célula correspondiente con falla; con fines explicativos se considera que la célula que falla es la (figura 2). Las señales que le corresponden a la célula con falla son las de los extremos superior e inferior (figura 4). Por lo tanto, se hace necesario modificar la señal portadora (que en el caso de la figura 4 es sinusoidal) por una forma de onda que evite llevar a cabo la comparación y de esta manera dejar a la célula A1 fuera de operación. La figura 5 muestra esta forma de onda.
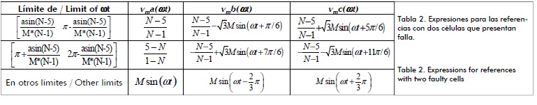
Para las otras dos referencias (fases B y C), estas deben compensar en cierto instante la energía que entregaba la célula dañada. En la tabla I se dan las expresiones que describen las referencias trifásicas en un ciclo de línea (60 Hz), información adaptada de la referencia LeiHu et al. (2005). Debe tenerse en cuenta que los datos de esta tabla muestran los límites de los índice de modulación, los cuales son función de la aplicación. En la figura 6 se muestran las formas de onda de las referencias descritas por dichas expresiones, y se puede observar que el índice de modulación en las otras fases es forzado a incrementarse justamente en el momento en que la célula sometida al efecto de la falla deja de transferir energía a la carga.
Con esta reconfiguración no importa qué célula tenga el interruptor con falla, siempre y cuando se reasignen adecuadamente las señales de compuerta, ya que las portadoras al extremo superior e inferior se asignan a la célula con falla.
Hasta el momento solo se ha manifestado la solución cuando se presenta una célula con falla, pero con este método es posible mantener operando al sistema aun si la falla se presenta en dos células de una fase, como se muestra a continuación.
Reconfiguración para dos células con falla
Al haber dos células con falla en una misma fase la señal de referencia se modifica para dejar de compararse con las cuatro portadoras correspondientes, por lo que el voltaje de fase ahora tiene sólo tres niveles (una célula). Por lo tanto, las otras referencias deben compensar durante un tiempo mayor, tal y como se indica en la figura 6. En la tabla II se presentan las expresiones que describen las formas de onda de las referencias en función de los límites de los índices de modulación.
Validación con resultados en simulación
Para realizar la validación del método propuesto se utilizaron el simulador PSIM6.0 y Matlab-Simulink7.0. En el primero se implementó la parte de potencia (convertidor y carga) y en el segundo la parte de control.
En la figura 7 se presentan las señales de las referencias para las tres fases, antes y después de que ocurre una falla (en t = 0,55 seg), con un índice de modulación de 0,8 (M = 0,8), una frecuencia de referencia de 60 Hz (fm = 60 Hz) y una frecuencia de conmutación de 3.600 Hz (fc = 3.600 Hz). En la figura 8 se indica el voltaje de la fase A en las mismas condiciones descritas, donde se aprecia una degradación de dos niveles (uno superior y otro inferior) en el momento en que se presenta la falla.
En la figura 9 se aprecia el voltaje de línea a línea (Vab), observándose que, en este caso, hay mayor cantidad de niveles, por razón de que la medición del voltaje entre línea representa la combinación de dos voltajes de fase; además mantiene sus niveles de voltaje incluso con presencia de la falla. Una parte importante de los sistemas trifásicos es la del balance de los voltajes entre fases (sobre todo cuando la carga es un motor). Con la finalidad de verificar dicho balance de voltaje se presenta en la figura 10 el diagrama vectorial del sistema, donde se tiene una mínima degradación en el voltaje de fase A (reducción del 6%), mientras que las otras fases compensan para que los voltajes de línea permanezcan sin cambio alguno (incremento del 22%). Dicho en otras palabras, la potencia es constante debido a que la energía que no logra suministrar la fase con falla se compensa con la que suministran las otras fases.
Hasta el momento los resultados de la validación del método son los esperados, pero ¿qué ocurre cuando en dos convertidores, en una misma fase, hay falla? En la figura 11 se presentan las señales de la referencias para las tres fases, antes y después de la ocurrencia de las dos fallas (ambas ocurren al mismo tiempo y en celdas de una misma fase); asimismo, se revela el voltaje de la fase A, el cual exhibe una degradación de cuatro niveles con respecto a la forma de onda sin fallas; en este caso la forma de onda de salida es la clásica de un convertidor inversor de tres niveles (v. figura 12).
En la figura 13 se expone el voltaje de línea Vab. En la gráfica se observa que, al presentarse la falla, exhibe una degradación de dos niveles en el voltaje de salida, de igual manera que el voltaje revela una degradación; es de interés conocer en estos momentos si el sistema aún permanece balanceado o, dicho en otras palabras, si la energía que no logra suministrar la fase con falla se compensa con la energía que proporcionan las otras fases que no tienen fallas. Para verificar este comportamiento se ofrece en la figura 14 el diagrama vectorial del sistema, donde se observa una fuerte degradación en el voltaje de fase A (reducción del 49%), mientras que las otras fases compensan para que los voltajes de línea permanezcan sin cambio alguno y el sistema siga balanceado (incremento del 20%).
Resultados experimentales
Se implementó de manera experimental un inversor en cascada de siete niveles empleando dispositivos semiconductores de potencia. En la tabla III se presentan las condiciones experimentales.
En las figuras 15, 16 y 17 se dan los resultados del voltaje entre dos líneas y su respectiva fase durante la operación del sistema sin falla y cuando falla un interruptor en una célula de la fase A. Como puede notarse, el efecto de pérdida de niveles solo se da en la señal de la fase A y los voltajes entre fases permanecen sin cambios visibles.
Para finalizar el análisis, en la figura 18 se presenta el perfil THD del voltaje de línea Vab. Al tener falla en una célula aparecen algunos armónicos de tercer orden, mientras que cuando dos células tienen falla la amplitud de dichos armónicos se incrementa. El aumento de los armónicos es de alrededor del 1% por cada célula que tiene un interruptor con avería. Los armónicos de bajo orden (3, 5, 7 y 11) se incrementan en un 0,5% en promedio.
Conclusiones
Este trabajo despliega una reconfiguración IPDPWM que, además de fácil de implementar, presenta la ventaja de mantener un voltaje balanceado de línea a línea aun después de ocurrir falla en un interruptor con una o dos células del sistema. Esto es importante en cargas que requieren operar con voltajes de línea balanceados, como los motores de inducción. Asimismo, la estrategia de reconfiguración permite que el sistema se repare sin que salga de operación. Se muestran resultados en simulación y de manera experimental para la validación del método.
Referencias
Aguayo, J., Claudio, A. Vela, L.G. Gentile, S., A survey of fault diagnosis methods for induction motors drives under inverter fault conditions., International Conference of Electrical and Electronics Engineering, (ICEEE). Acapulco Guerrero, México. June 2004, pp. 367 - 372 [ Links ]
Barriuso, P., Dixon J., Flores, P., Morán, L., Fault tolerant reconfiguration system for asymmetric multilevel converters using bi -directional power switches., IEEE Trans. Ind. Electron, vol. 56, no. 4, pp. 1300-1306, March 2009. [ Links ]
Bin, W., High Power Converters and AC Drives., Wiley Inter-Science, Toronto Canada, 2006, pp. 80-87. [ Links ]
Cortés, C.A., Deprez, W., Driesen, J., Pérez, J.J., Determinación de pérdidas eléctricas en motores de inducción modelados electromagnéticamente con el método de los elementos finitos., Ingeniería e Investigación, Universidad Nacional de Colombia, Bogotá, Colombia. Vol. 28, Núm. 3, diciembre, 2008, pp. 64-74 [ Links ]
Da Silva, E.R., Lima, W.S., de Oliveira Jr., A.S., Jacobina, C.B., Detection and compensation of switch faults in a three level inverter., Power Electronics Specialists Conference PESC'06, Jeju, Korea. June 2006, pp. 1309-1315. [ Links ]
De Lillo L., Empringham, L., Wheeler, P.W., Khwan-On, S., Gerada, C., Othman, M.N., Xiaoyan H., Multiphase power converter drive for fault-tolerant machine development in aerospace application., IEEE Trans. Ind. Electron., vol. 57, no. 2, pp. 575-583, Feb. 2010. [ Links ]
Francois, B., Hautier, J.P., Design of a fault tolerant control system for a NPC multilevel inverter., Volume 4, No. 8-11. 28th Annual Conference of IEEE Industrial Electronics Conference (IECON). Sevilla, Spain. November 2002, pp. 1075-1080. [ Links ]
Fuchs, F.W., Some Diagnosis Methods for Voltage Source Inverters In Variable Speed Drives with Induction Machines A Survey., 29th Annual Conference of IEEE Industrial Electronics Conference(IECON). Virginia, USA. Volume 2, Nov. 2003, pp. 1378 - 1385. [ Links ]
Gun-Tae, P., Tae-Jin, K., Dae-Wook, K., Dong-Seok, H., Control Method of NPC Inverter for Continuous Operation Under One Phase Fault Condition., Power Electronics Specialists Conference, PESC'04, Aachen, Germany. June 04, pp. 2188-2193 [ Links ]
Jae-Chu, L., Tae-Jin, K., Dae-Wook, K., Dong-Seok, H., A Control Method for Improvement of Reliability in Fault Tolerant NPC Inverter System., Power Electronics Specialists Conference, PESC'06, Jeju, Korea. June 2006, pp. 1304-1308. [ Links ]
Khomfoi, S., Tolbert, L.M., A Reconfiguration Technique for Multilevel Inverters Incorporating a Diagnostic System Based on Neural Network., Computers in Power Electronics, COMPEL. Troy, New York, USA. July 2006, pp. 317-323. [ Links ]
Lei, H., Mingyao, M., Alian, C., Xiangning, H., Reconfiguration of Carrier-based Modulation Strategy for Fault Tolerant Multilevel Inverters., 31th Annual Conference of IEEE Industrial Electronics Conference, IECON. Carolina, USA. Nov. 2005, pp. 1048-1053. [ Links ]
Lezana, P., Aguilera, R., Rodríguez, J., Fault detection on multi-cell converter based on output voltage frequency analysis., IEEE Trans. Ind. Electron., vol. 56, no. 6, pp. 2275-2283; June 2009. [ Links ]
Lu, B., Sharma, S., A literature review of IGBT fault diagnostic and protection methods for power inverters., IEEE Trans. Ind. Appl., vol. 45, no. 5, pp. 1770 - 1777. Sep./Oct. 2009. [ Links ]
Mingyao, M., Lei, H., Alian, C., Reconfiguration of Carrier-Based Modulation Strategy for Fault Tolerant Multilevel Inverters., IEEE Transactions on Power Electronics, vol. 22, No. 5, Sep. 2007, pp 2050-2060. [ Links ]
Pérez Hernández, L., Mora Flórez, J., Bedoya Cebayos, J., A linear approach to determining an SVM-basedfaultlocator'soptimalparameters., Ingeniería e Investigación, Universidad Nacional de Colombia, Bogotá, Colombia Vol. 29, Núm. 1, abril, 2009, pp. 76-8. [ Links ]
Quiroga, J. E., Detección de cortocircuito en el devanado de un motor sincrónico de imanes permanentes usando corriente de secuencia negativa en dominio tiempo., Ingeniería e Investigación, Universidad Nacional de Colombia, Bogotá, Colombia. Vol. 29, Núm. 2, agosto, 2009, pp. 48-52 [ Links ]
Rodríguez, M. A., Claudio, A., Theillio, D., Vela, L.G., Hernández, L., Strategy to replace the damaged element for fault-tolerant induction motor drive., in Proc. IEEE Appl. Power Electron. Conf., Washington, DC, February 15-19, 2009, pp. 343-346. [ Links ]
Sanmin, W., Bin, W., Fahai, L., Xudong, S., Control Method for Cascade H-Bridge Multilevel Inverter with Faulty Power Cells., Applied Power Electronics Conference and Exposition, APEC. Miami Beach, Frorida, USA. Volume 1, No 9-13 Feb. 2003, pp. 261 - 267 [ Links ]
Sanmin, W., Bin, W., Rizzo, S., Zargari, N., Comparison of control schemes for multilevel inverter with faulty cells., 30th Annual Conference of IEEE Industrial Electronics Conference, IECON. Busan, Korea. Volume 1, No 2-6 Nov. 2004, pp. 1817 - 1822 [ Links ]
Shengming, L., Longya, X., Strategies of Fault Tolerant Operation for Three-Level PWM Inverters., IEEE Trans. Power Electronics, Vol. 21, No. 4, July 2006, pp. 933-940. [ Links ]
Sun, Z., Wang, J., Howe, D., Jewell, G., Analytical prediction of short-circuit current in fault-tolerant permanent magnet machines., IEEE Trans. Ind. Electron., vol. 57, no. 99, pp. 1-1, 2010. [ Links ]
Xiaomin, K., Corzine, K.A., Familian, Y.L., A Unique Fault-Tolerant Design for Flying Capacitor Multilevel Inverter., IEEE Trans. Power Electronics, Vol. 19, No. 4, July 2004, pp. 979 -984. [ Links ]
Xiong, Y., Cheng, X., Shen, Z.J., Chunting, M., Hongjie, W., Garg, V.K., Prognostic and Warning System for Power-Electronic Modules in Electric, Hybrid Electric, and Fuel-Cell Vehicles., IEEE Trans. Ind. Electron., vol. 55, no. 6, pp. 2268 -2276, June 2008. [ Links ]
Zidani, F., Diallo, D., El Hachemi Benbouzid, M. and Naït-Saïd, R. A fuzzy-based approach for the diagnosis of fault modes in a voltage-fed PWM inverter induction motor drive., IEEE Trans. Ind. Electron., vol. 55, no. 2, pp. 586-593, Feb. 2008. [ Links ]













