Services on Demand
Journal
Article
Indicators
-
Cited by SciELO -
Access statistics
Related links
Cited by Google -
Similars in
SciELO
Similars in Google
Share
Cuadernos de Economía
Print version ISSN 0121-4772On-line version ISSN 2248-4337
Cuad. Econ. vol.25 no.44 Bogotá June 2006
TASAS DE GANACIA, ACUMULACIÓN, PRODUCCIÓN, Y CIRCULACIÓN: LOS CONCEPTOS BÁSICOS DE LA TEORÍA CLÁSICA DEL VALOR
Edith Alicia Klimovsky *
* Profesora del Departamento de Economía de la Universidad Autónoma Metropolitana, Azcapotzalco. La autora agradece a Carlo Benetti y a Christian Bidard por sus observaciones. Una primera versión de este artículo fue presentada en el primer seminario de Teoría Económica de la UAM , octubre 2005. Enviar los comentarios al correo: ekb@correo.azc.uam.mx . Artículo recibido el 13 de marzo de 2006, aprobada su publicación el 1 de junio.
Resumen
En los sistemas de industrias de productos simples y capital circulante sin recursos naturales, elaborados en el marco de la teoría clásica del valor, las tasas de ganancia, uniformes o no, pueden ser interpretadas en términos físicos, y los precios satisfacen tanto las condiciones de rentabilidad como las de circulación y son, por ende, precios de reproducción, cualquiera que sea el destino del excedente. Este artículo muestra asimismo que la utilización del excedente afecta a las condiciones para la existencia del equilibrio pero no a la solución de equilibrio que sólo depende de la técnica y la distribución.
Palabras claves: acumulación, teoría clásica, desequilibrio, precios, ganancia, reproducción. JEL E11, E30, E32, O41.
Abstract
In systems of industries with simple products and circulating capital without natural resources, developed in the framework of the classical theory of value, profit rates, whether uniform or not, can be interpreted in physical terms, and prices satisfy profitability conditions as well as circulation conditions and are, therefore, prices of reproduction, regardless of where the surplus goes. This article demonstrates how the utilization of the surplus affects the conditions for the existence of equilibrium but not the solution for that equilibrium, which depends only on technique and distribution.
Key words: accumulation, classical theory, disequilibrium, prices, profit, reproduction JEL E11, E30, E32, O41.
Résumé
Dans les systèmes d´industries de produits simples et de capital circulant sans ressources naturelles, élaborés dans le cadre de la théorie classique de la valeur, les taux de bénéfices, uniformes ou non, peuvent être interprétés en termes physiques, et les prix satisfont tant les conditions de rentabilité que celles de circulation et sont, par conséquent, des prix de reproduction, quelle que soit la destination de l´excédent. Cet article présente de cette façon que l´utilisation de l´excédent affecte les conditions de l´existence de l´équilibre mais pas la solution de celui-ci qui ne dépend que de la technique et de la distribution.
Mots clés : accumulation, théorie classique, déséquilibre, prix, bénéfice, reproduction JEL E11, E30, E32, O41.
La contribución de Piero Sraffa al desarrollo contemporáneo de la economía clásica es innegable. Con la publicación de Obras y correspondencia de David Ricardo (1951-1973) y de Producción de mercancías por medio de mercancías (1960) renace el interés por el pensamiento clásico. En este último libro, por lo general considerado como el paradigma de la moderna teoría clásica del valor, se estudian las propiedades de una economía cuya escala de producción no varía de período en período (Prefacio) y en la cual la tasa de ganancia es uniforme por hipótesis (§ 4). El sistema de Sraffa, cuyo antecedente histórico es Ricardo (1815 y 1821), supone pues la utilización improductiva de todo el excedente y no proporciona tampoco ninguna información acerca del desequilibrio.
Existe actualmente en el marco clásico un enfoque alternativo, menos conocido que el de Sraffa, que propone un sistema único para el análisis del equilibrio y del desequilibrio, y cuyo antecedente histórico es Torrens (1821). Benetti (1986 y 1998) presenta la primera formalización de las ideas de Torrens, que suponen que todo el excedente es utilizado productivamente. Recientemente, en este mismo enfoque, hemos elaborado conjuntamente con Benetti y Bidard (2003 y 2006) una generalización de la teoría clásica del valor que, sobre la base de dos hipótesis distintas en cuanto al consumo capitalista, admite la utilización tanto productiva como improductiva del excedente, y de la cual los modelos de Sraffa y de Torrens son dos casos particulares.
A la luz de esta generalización de la teoría clásica del valor, mostramos en este trabajo que los resultados en cuanto a la naturaleza de los precios y la determinación de la tasa de ganancia se verifican cualquiera que sea la hipótesis relativa a la utilización del excedente: los precios satisfacen tanto las condiciones de rentabilidad como las de circulación y son, por ende, precios de reproducción, y las tasas de ganancia (uniformes o no), pueden ser interpretadas en términos físicos. Mostramos asimismo que si bien las condiciones para la existencia del equilibrio difieren según el destino del excedente, la solución de equilibrio es la misma en todos los modelos que examinaremos ya que sólo depende de la técnica y la distribución.
Limitamos el análisis a los sistemas de industrias de productos simples y capital circulante sin recursos naturales. Como es bien sabido, las propiedades de estos sistemas han sido utilizadas como punto de referencia para el estudio de la producción conjunta, cuyos problemas han sido por lo general presentados como paradojas, lo cual justifica nuestra elección. Dado que nuestro principal objetivo concierne a la naturaleza de los precios clásicos y a la determinación física de la tasa de ganancia, nos circunscribimos al análisis estático, dejando de lado los aspectos dinámicos (Benetti, Bidard, Klimovsky 2003).
Este artículo comprende tres secciones. La primera presenta sintéticamente los principios básicos de la teoría clásica del valor y muestra que, cualquiera que sea el enfoque adoptado y la hipótesis acerca de la utilización del excedente, los precios clásicos son precios de reproducción. La segunda resalta el carácter físico que tiene la determinación de las tasas de ganancia (uniformes o no) en la teoría clásica del valor. Finalmente, la tercera sección examina las condiciones para la existencia del equilibrio y pone en evidencia que la solución de equilibrio en cuanto a los precios y a la tasa de ganancia de una economía es independiente del uso del excedente.
I. LOS PRECIOS CLÁSICOS
Presentamos primeramente los principios básicos sobre los que están construidos los dos enfoques de la teoría clásica del valor actualmente disponibles: el que propone una formalización única para el estudio del equilibrio y del desequilibrio, y el que estudia las propiedades de una economía por hipótesis en equilibrio. Estos dos enfoques son estudiados en las secciones siguientes, comenzando por el análisis del caso general.
I.1. Principios básicos
En los clásicos, como en toda teoría del valor, los precios son la solución de un sistema de ecuaciones que reflejan tanto su visión de la sociedad, del agente económico principal y de los objetos de transacción, como la concepción del mercado y del equilibrio que ella implica. La escuela clásica concibe el capitalismo como una sociedad asimétrica en la cual la actividad económica es el resultado de las decisiones de los capitalistas que controlan el proceso productivo. En consecuencia, las ecuaciones de la teoría clásica representan las decisiones de esta clase relativas a la producción y al gasto. Las decisiones cruciales de los capitalistas conciernen a las tasas de acumulación, pues aseguran su reproducción como clase. Estas decisiones están guiadas por la búsqueda de rentabilidad y son evaluadas socialmente a través de los precios y las tasas de ganancia realizadas.
El trabajo es homogeneizado por los salarios y no tiene una ecuación en el sistema de precios porque, a diferencia de las mercancías, no es producido según reglas capitalistas. En consecuencia, el salario no es un precio y una variable de distribución debe ser fijada de manera exógena. Dicha variable puede ser en principio la tasa de ganancia o el salario.
La representación clásica del capitalismo y de su personaje central confiere al mercado el carácter de un mecanismo de validación social de las decisiones capitalistas en materia de producción. La consecuencia analítica de esta concepción del mercado es que las cantidades producidas y los métodos de producción son un dato para la determinación de los precios, tanto en equilibrio como en desequilibrio. Dadas las decisiones de acumulación, tomadas con desconocimiento de los precios, las cantidades disponibles de cada bien para el consumo son por lo tanto un residuo.
La producción es considerada como un proceso circular en que las mercancías son a la vez el punto de partida y el resultado. Como se conocen los métodos y las cantidades producidas es posible determinar si la economía genera o no un excedente a escala global sin necesidad de saber cuáles son los precios.
Los precios son a la vez la expresión de la producción y de la circulación, y satisfacen dos tipos de condiciones:
Cubren los costos y permiten a los capitalistas percibir una ganancia sobre el capital invertido. Esta condición de rentabilidad está representada por las ecuaciones de producción.
Aseguran la igualdad entre ingresos y gastos de cada rama. Esta condición de circulación está representada por las ecuaciones de gasto.
Estas dos condiciones nos permiten concebir a los precios como precios de reproducción.
El equilibrio representa un estado de reposo en el cual las variables económicas no cambian. Por lo tanto, en la teoría clásica del valor, el equilibrio económico supone la igualdad de las tasas sectoriales de acumulación, a la cual se agrega la igualdad de las tasas de ganancia sin implicar el pleno empleo del trabajo.
De la concepción clásica del equilibrio se infiere que, en el enfoque que propone una formalización única para el estudio del equilibrio y del desequilibrio, la variable exógena apropiada es el salario. En cambio, en el enfoque que estudia las propiedades de una economía por hipótesis en equilibrio, la variable independiente puede ser en principio la tasa de ganancia o el salario. Obviamente, la elección de una u otra supone una representación diferente de las relaciones entre trabajadores y capitalistas.
2. Una generalización de la teoría clásica del valor
Proponemos una generalización de la teoría clásica del valor que no presupone la uniformidad de la tasa de ganancia y hace uso explícito del concepto de precio de reproducción. Consideramos una sociedad integrada por capitalistas y trabajadores. Las relaciones de fuerza entre estas clases determinan el salario que es concebido como una canasta de bienes, llamados bienes-salario1, que resulta de la negociación obrero-patronal. Esta canasta es adquirida por los capitalistas para ser entregada a los trabajadores en el momento de su contratación y, como se verá más adelante, puede ser consumida o no por estos según sus preferencias. El salario es por ende exógeno y forma parte del capital adelantado por los capitalistas. Limitamos nuestro análisis al caso de una economía viable2 que produce n bienes básicos con métodos de producción simple, en el supuesto de rendimientos constantes, una sola técnica y un único productor por rama. Los métodos de producción de esta economía, que llamamos sistema C , son:
| [ 1] |
Donde xij engloba tanto la cantidad de mercancía j utilizada como medio de producción propiamente dicho como la entregada a los trabajadores que participan en la producción de la cantidad b i de mercancía i .
Llamamos si a la tasa de excedente para ganancias de la mercancía i en el período actual, que definimos como la relación entre la cantidad de esa mercancía que figura en el producto neto de la economía disponible para las ganancias y la cantidad de la misma utilizada como medio de producción por todos los sectores. En la economía [ 1] , dichas tasas son:
![]() | [ 2] |
Es obvio que todo cambio en la escala de las ramas, que modifica las proporciones entre las mismas, altera las tasas de excedente de las mercancías.
Una vez fijada su tasa de acumulación, cada capitalista determina su demanda tanto de medios de producción propiamente dichos como de los bienes-salario que debe adquirir con miras a la contratación de trabajadores. Estas decisiones, que determinan la escala de producción y el empleo del período siguiente, deben ser compatibles con la producción disponible. Suponemos que las tasas de acumulación sectoriales son positivas y viables. Se tiene por lo tanto g i > O y para cada una de las mercancías deben verificarse las siguientes relaciones:
![]() | [ 3] |
Las n mercancías pueden ser consumidas o acumuladas, y toda la producción es vendida, lo que supone la ausencia de inventarios. Por consiguiente, el consumo capitalista no sólo es residual sino también un amortiguador. Llamamos di a la parte de la producción de la mercancía i disponible para el consumo capitalista, la cual es igual a:
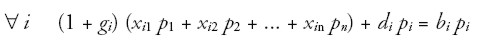
![]() | [ 4] |
A partir de este marco común, proponemos dos modelos básicos que corresponden a dos hipótesis distintas con relación al consumo capitalista. Ambos modelos se componen de dos tipos de ecuaciones: las ecuaciones de producción y las ecuaciones de gasto. Las primeras expresan la relación entre precios y rentabilidad, y son comunes a ambos modelos pues son independientes del consumo capitalista. Como consideramos que las decisiones cruciales de los capitalistas conciernen a la acumulación, estimamos las tasas de ganancia sobre la base de los costos de reposición y no sobre la base de los costos históricos. Las ecuaciones de producción son:
![]() | [ 5] |
Las ecuaciones de gasto serán presentadas en las dos secciones subsiguientes.
En ambos modelos, cada capitalista conoce a priori la oferta de la mercancía que él produce y su demanda de medios de producción y de bienes-salario. Los precios determinados por los modelos son anunciados a la apertura de los mercados y, a estos precios, los capitalistas pueden calcular el valor de su consumo. La ausencia de medio de cambio implica una organización centralizada de las transacciones (un sistema de cuentas a la Debreu (1959, cap. ii )). Una vez concluidas las transacciones de medios de producción propiamente dichos y de bienes-salario para la contratación de trabajadores, los bienes restantes son intercambiados con miras al consumo capitalista con la participación de los trabajadores que deseen adecuar la canasta recibida a sus preferencias. La composición física del consumo individual de los capitalistas y de los trabajadores satisface una necesidad privada que no tiene ningún efecto social y que puede ser estudiada sin alterar los resultados del modelo.
I. 2.1. Primer modelo
El primer modelo supone que cada capitalista consume el valor de la parte no acumulada de su producción. Dada esta hipótesis, las ecuaciones de gasto son:
![]() | [ 6] |
El hecho de que el valor del consumo del capitalista que produce la mercancía i sea igual a d i p i no significa que él consuma necesariamente d i unidades de dicha mercancía. Las ecuaciones [ 6] expresan que el valor de la demanda para la acumulación de cada rama dirigida al conjunto de las otras es igual al valor de la demanda para la acumulación de las otras a dicha rama. Estas n ecuaciones son linealmente dependientes y se reducen a n - 1, que determinan los n - 1 precios relativos. Estos precios sólo dependen, pues, de las condiciones físicas de producción y de las tasas de acumulación. Una vez determinados los precios, las n ecuaciones [ 5] determinan las n tasas de ganancia. La diferenciación de las tasas de ganancia significa que la economía se encuentra fuera del equilibrio, lo cual no impide la reproducción del sistema en el período.
Pese a la hipótesis de rendimientos constantes, un cambio en la escala de producción de una rama, aunque no afecta a las ecuaciones de producción [ 5] , altera las ecuaciones de gasto [ 6] , y modifica por lo tanto los precios y, por repercusión, también las tasas de ganancia. Por consiguiente, los precios y las tasas de ganancias dependen de las proporciones en que las mercancías son producidas. Por otra parte, cualquier variación en la composición física del salario o del capital invertido altera los precios y las tasas de ganancia. En consecuencia, en el primer modelo, el capital está definido en términos físicos y no en valor.
A fin de poner en evidencia de manera directa la relación entre los factores de acumulación (1 + g i ) y los factores de ganancia (1 + r i ), multipliquemos los dos miembros de las ecuaciones de producción [ 5] por (1 + g i ) y, usando las ecuaciones [ 4] y [ 6] , reemplacemos :

por

Eliminando p i , se obtiene:
![]() | [ 7] |
De donde se desprende que la tasa de ganancia aumenta en los sectores que se expanden relativamente. Como vimos, de las ecuaciones de gasto, lo mismo se aplica a los precios relativos. Por consiguiente, si todos los factores de acumulación crecen (o disminuyen) en la misma proporción, ni las tasas de ganancia ni los precios relativos varían.
El miembro derecho de [ 7] representa las cantidades de la mercancía i producidas en el período siguiente, mientras que las cantidades invertidas al principio de dicho período figuran entre corchetes en el miembro izquierdo. Se infiere así que, en el primer modelo, la tasa de ganancia del sector i es igual a la tasa de excedente de la mercancía i en el período siguiente:
![]() | [ 8] |
I .2.2. Segundo modelo
El segundo modelo supone que los capitalistas consumen una proporción uniforme (endógena) c de sus ganancias. Esta hipótesis no afecta a las ecuaciones de producción que siguen siendo [ 5] , pero sí a las ecuaciones de gasto que ahora son:
![]() | [ 9] |
Estas n ecuaciones conjuntamente con las [ 5] determinan las 2 n incógnitas: las n tasas de ganancia, los n - 1 precios relativos y la proporción consumida de las ganancias. Al igual que en el primer modelo, la diferenciación de las tasas de ganancia no inhibe la reproducción de la economía durante el período.
La hipótesis adoptada acerca del consumo capitalista implica que , en cada una de las n ramas, la tasa de acumulación es igual al producto de la tasa de ahorro por la tasa de ganancia, es decir:
![]() | [ 10] |
De las ecuaciones [ 5] se tiene que, en cada rama, la relación entre el valor del producto bruto y el valor del capital invertido es igual al factor de ganancia 1 + ri , mientras que según las ecuaciones [ 9] dicha relación es igual a 1 + g i + c ri obteniéndose así la igualdad [ 10] . Más generalmente, dos de las tres ecuaciones [ 5] , [ 9] y [ 10] , correspondientes a la rama i , implican la tercera, de modo que una u otra de las i-ésimas ecuaciones de producción [ 5] o de gasto [ 9] puede ser reemplazada por la respectiva ecuación [ 10] .
Se deduce de las relaciones [ 10] que las tasas de ganancia y las tasas de acumulación sectoriales están en las mismas proporciones:
![]() | [ 11] |
De la propiedad anterior, derivada de [ 10] , se infieren dos maneras de resolución del sistema. La primera es la siguiente. Conociendo la estructura de las tasas de ganancia, las ecuaciones de producción [ 5] determinan las tasas de ganancia y los precios relativos. La fracción consumida de las ganancias es finalmente definida por una de las ecuaciones [ 10] . La segunda consiste en agregar las ecuaciones [ 10] a las ecuaciones de gasto [ 9] y determinar simultáneamente todas las variables del sistema.
Dada la constancia de los rendimientos, un cambio en los niveles de actividad de las ramas no afecta a ninguna de las ecuaciones [ 5] y [ 9] y, en consecuencia, las tasas de ganancia y los precios no varían, a diferencia del primer modelo. Por otra parte, las tasas de ganancia y los precios relativos dependen aquí de las tasas de acumulación y no de los factores de acumulación, como en el primer modelo. Un aumento (disminución) del nivel de las tasas de acumulación, que mantiene la estructura relativa de las mismas, no altera ni los precios ni las tasas de ganancia y sólo el consumo capitalista disminuye (aumenta). En cambio, como consecuencia del incremento de la tasa de acumulación relativa, la tasa de ganancia y el precio relativo de la rama correspondiente aumenta.
Nótese finalmente que en el segundo modelo, a diferencia del primero, la solución sólo depende del valor del capital y del salario, y no de su composición física.
I .3. El sistema de Torrens
El sistema de Torrens mantiene todas las hipótesis de la sección I.2 con una sola excepción: la posibilidad de que una parte de la producción sea consumida por los capitalistas. Dada la utilización productiva de todo el excedente, las tasas sectoriales de acumulación dejan de ser una variable exógena, decidida por los capitalistas, siendo ahora la solución del sistema de interdependencia general [ 12] , el cual puede admitir algunas tasas negativas:
![]() | [ 12] |
Cualquier cambio en las proporciones entre las ramas altera las relaciones [ 12] y modifica las tasas de acumulación.
La acumulación de la totalidad de la producción confiere propiedades interesantes a las tasas sectoriales de acumulación de todos los sectores. La primera concierne a su relación con las tasas de excedente de las mercancías producidas por cada una de las n ramas en el período siguiente y que llamamos si+ . En dicho período, los métodos de producción son:
![]() | [ 13] |
y las tasas de excedente son:
![]() | [ 14] |
Dadas las relaciones [ 12] , se infiere que las tasas de acumulación de cada uno de los n sectores en el período en curso son iguales a las tasas de excedente de las mercancías que producen en el período siguiente:
![]() | [ 15] |
La hipótesis de acumulación de todo el excedente no afecta a las ecuaciones de producción [ 5] , pero altera obviamente las ecuaciones de gasto que ahora son:
![]() | [ 16] |
De las cuales, sólo n - 1 son linealmente independientes. Una vez calculadas las tasas sectoriales de acumulación a partir de las relaciones [ 12] , las relaciones [ 16] determinan los precios relativos. Dados estos últimos, las ecuaciones [ 5] determinan las tasas de ganancia de cada una de las ramas. Como las tasas de acumulación dependen de las proporciones entre las ramas, los precios relativos y las tasas de ganancia se modifican cuando dichas proporciones cambian. Nótese la similitud con el primer modelo, propuesto en la sección I.2.
La comparación de las ecuaciones de producción [ 5] y de gasto [ 16] muestra con toda claridad la segunda propiedad de las tasas sectoriales de acumulación en el modelo de Torrens: su igualdad con las tasas de ganancia de cada una de las ramas:
![]() | [ 17] |
Por consiguiente, cuando no hay utilización improductiva del excedente, las ecuaciones de producción y las ecuaciones de gasto son idénticas. En el sistema de Torrens, los precios son por lo tanto precios de reproducción. En suma, el sistema de Torrens constituye un caso particular del primer modelo, en el cual el consumo capitalista es nulo. De esta hipótesis se deriva la principal diferencia entre ambos modelos: el carácter endógeno, en Torrens, de las tasas sectoriales de acumulación que son exógenas en el caso general.
I.4. El sistema de Sraffa
Sraffa circunscribe su análisis a las situaciones de equilibrio (tasa de ganancia uniforme). A esta diferencia esencial que distingue su sistema de los anteriores se agrega el supuesto de tasas de acumulación nulas: todo el excedente es por ende utilizado de manera improductiva. Veremos en la sección III.3 que la primera de estas hipótesis responde a una exigencia impuesta por la segunda.
Sraffa adopta en un principio el concepto clásico del salario como parte del capital adelantado, pero lo abandona a partir de la sección 9 para suponer que se paga post factum . Denominamos ricardiana a la variante del sistema de Sraffa que mantiene la concepción clásica del salario, que distinguimos de la propiamente sraffiana como una fracción del producto neto. Esta innovación respecto al salario lo lleva a explicitar las cantidades de trabajo (homogéneo) correspondientes a cada una de las n ramas. Los métodos de producción son:
![]() | [ 18] |
Donde aij sólo incluye los medios de producción propiamente dichos y l i indica la fracción del trabajo de la sociedad utilizada en la rama i.
La hipótesis de uniformidad de la tasa de ganancia afecta a las ecuaciones de producción que difieren de las [ 5] y que se escriben de manera distinta según sea que los salarios se paguen al final o al principio del período. En la variante propiamente sraffiana, las ecuaciones de producción son:
![]() | [ 19] |
y en la ricardiana:
![]() | [ 20] |
Donde w representa la masa salarial (Klimovsky 1995). Las ecuaciones [ 19] y [ 20] constituyen dos sistemas compuestos de n ecuaciones que, dado el nivel de la variable de distribución independiente, determinan los n - 1 precios relativos y la variable de distribución endógena. En ambos casos, los precios son generalmente interpretados como precios de producción porque satisfacen la condición de rentabilidad, representadas por las ecuaciones de producción. Como en el segundo modelo, estos precios son independientes de las proporciones si se admite la constancia de los rendimientos a escala. Veremos en la sección III.4 que el sistema de Sraffa es un caso particular de dicho modelo.
Ahora bien, dada la hipótesis de utilización improductiva de la totalidad del excedente, las ecuaciones de gasto son, en la versión sraffiana:
![]() | [ 21] |
y en la versión ricardiana:
![]() | [ 22] |
El primer corchete del miembro izquierdo de las ecuaciones [ 21] indica el gasto en insumos del capitalista que produce la mercancía i, y el segundo su gasto en consumo, al cual se agrega el consumo de los trabajadores. En las ecuaciones [ 22] , el primer corchete del miembro izquierdo representa el gasto en medios de producción y la masa salarial del capitalista de la rama i, y el segundo su gasto en consumo. Se ve inmediatamente que las ecuaciones de producción y las ecuaciones de gasto son las mismas, tanto si el salario es adelantado por los capitalistas como si es pagado post factum. En resumen, en ambas variantes del sistema de Sraffa donde todo el excedente es consumido, como en el sistema de Torrens donde todo el excedente es acumulado, los precios satisfacen las condiciones de rentabilidad y de circulación, y son por consiguiente precios de reproducción.
II. DETERMINACIÓN FISICA DE LAS TASAS DE GANANCIA
Esta reflexión se enmarca en la profundización del estudio de las tasas de ganancia, las cuales desempeñan un papel clave en la teoría clásica. En efecto, conjuntamente con los precios, dichas tasas representan la sanción del mercado a las decisiones de los capitalistas que, en la tradición clásica, son afectadas de manera decisiva por la rentabilidad de sus capitales. Se comprende entonces fácilmente el deseo de ir más allá de la determinación de las tasas de ganancia como simple solución de un sistema de ecuaciones simultáneas, tal como se hizo en las secciones anteriores.
El origen de la idea de la determinación física de la tasa de ganancia se encuentra en el sistema patrón de Sraffa y concierne a la tasa máxima de ganancia. En el Apéndice D de su libro, Sraffa aclara que, una vez construido este sistema, la interpretación del Ensayo expuesta en su Introducción a los Principios de Ricardo (1951), se sugirió por sí misma. Sin embargo, Sraffa no subraya este rasgo fundamental de la mercancía patrón, muy probablemente porque dicha mercancía es construida para resolver el problema de la medida del valor y no para mostrar la independencia de la tasa de ganancia con relación a los precios.
El método de Sraffa puede aplicarse para determinar físicamente la tasa de ganancia correspondiente a un salario positivo en las dos variantes de su sistema (sección II.1). Por lo demás, la posibilidad de comparar dos canastas proporcionales independientemente de los precios, en la que se funda la noción de mercancía patrón, permite explicar la determinación física de las tasas de ganancia en Torrens (sección II.2). Asimismo, la idea sraffiana de proporciones particulares que pueden dar transparencia a un sistema y hacer visible lo que está oculto ( PPM , p. 43) constituye la base de la interpretación física de las tasas de ganancia en los dos modelos de la generalización propuesta de la teoría clásica del valor (secciones II.3 y II.4).
II.1 El sistema de Sraffa
Recordemos brevemente que Sraffa construye la unidad de medida invariable cambiando las proporciones del sistema efectivo para obtener un sistema en el cual todas las mercancías tienen la misma tasa de excedente 3 y que Sraffa denomina sistema patrón. Los sistemas que tienen esta característica son llamados homotéticos. El vector q' de multiplicadores que transforman el sistema efectivo en el sistema patrón es la solución del sistema de ecuaciones siguiente:
![]() | [ 23] |
Donde A [ aij] > 0 es la matriz de coeficientes técnicos, y R es la tasa de excedente (uniforme) de las mercancías en el sistema patrón, la cual es igual a la tasa máxima de ganancia de dicho sistema. Como vimos, en la teoría de Sraffa, la tasa de ganancia y los precios son independientes de las proporciones. Dado que el sistema patrón y el sistema efectivo sólo difieren en las proporciones, ambos tienen la misma solución. Por consiguiente, una propiedad importante del sistema patrón, que Sraffa menciona sin destacarla, es que permite determinar la tasa máxima de ganancia de la economía como una relación física, o sea, con independencia de los precios.
Este mismo método puede aplicarse a la determinación de la tasa de ganancia correspondiente a un salario positivo. En efecto, como se muestra en Cartelier (1976) y Benetti y Cartelier (1977) para la variante ricardiana, basta con sustituir la matriz A por una nueva matriz que tenga en cuenta los salarios, y encontrar los multiplicadores adecuados para obtener un sistema en el cual todas las mercancías tengan la misma tasa de excedente para ganancias. En términos matriciales, las ecuaciones [ 20] se escriben:
![]() | [ 24] |
El salario está definido por la ecuación:
![]() | [ 25] |
Donde el vector s' indica el vector de bienes-salario que constituyen la masa salarial. Reemplazando w en [ 24] según [ 25] se tiene el siguiente sistema:
![]() | [ 26] |
Donde la matriz M = A + l s' incluye los medios de producción propiamente dichos y los bienes-salario. La tasa de ganancia es la tasa de excedente del sistema homotético construido aplicando al sistema efectivo los multiplicadores q' obtenidos como solución del sistema siguiente:
![]() | [ 27] |
Procediendo de manera análoga cuando el salario es pagado post factum , se muestra que en el sistema de Sraffa la tasa de ganancia está determinada en términos físicos como solución del siguiente sistema:
![]() | [ 28] |
En conclusión, ninguna de las dos variantes del sistema de Sraffa puede ser interpretada como un sistema de ecuaciones que, dados los salarios, determina simultáneamente los precios relativos y la tasa general de ganancia. Esta última está determinada antes e independientemente de los precios por el sistema homotético asociado al sistema efectivo. El sistema de Sraffa no puede, por lo tanto, presentarse como un simple sistema de ecuaciones simultáneas, a la manera del equilibrio general, lo cual no debe sorprendernos dadas las diferencias sustanciales que lo distinguen del enfoque neoclásico.
II.2. El sistema de Torrens
En el sistema de Torrens, a diferencia del de Sraffa, la determinación física de las tasas de ganancia es inmediata. Sabemos que las tasas sectoriales de acumulación están determinadas en términos físicos por las ecuaciones [ 12] . Por otra parte, como todo el excedente es utilizado de manera productiva, la totalidad de las ganancias se destina a la compra de nuevos insumos. Dada la técnica y la hipótesis de rendimientos constantes, los nuevos insumos que cada capitalista va a adquirir son proporcionales a los utilizados en el período precedente. Como ambas canastas son proporcionales, pueden ser comparadas independientemente de los precios. Por consiguiente, las ganancias del capitalista de la rama i ( i = 1, 2, ..., n ) le permiten incrementar su vector de insumos ( xi1, xi2 , ..., xin) a la tasa gi que es, por lo tanto, igual a r i
II.3. Primer modelo
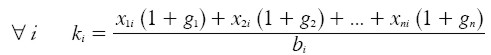
Siguiendo a Sraffa, cambiamos las proporciones del sistema efectivo para aislar la parte de la producción que produce el capital, dejando de lado las mercancías que son desperdiciadas desde el punto de vista de la acumulación. Obtenemos así un subsistema que denominamos K para distinguirlo del sistema efectivo C , y que produce las cantidades de mercancías acumuladas. Este nuevo sistema constituye, pues, el núcleo de acumulación de la economía.
El primer paso para construir el sistema K consiste en calcular los coeficientes ki que llamamos de reinversión porque indican la parte de la producción de cada una de las n ramas que se acumula, o sea:
![]() | [ 29] |
Aplicando los coeficientes ki al sistema C se obtiene el sistema K :
![]() | [ 30] |
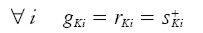
Como toda su producción se destina a la acumulación, este sistema tiene las mismas propiedades que el sistema de Torrens. En primer lugar, en el sistema K , las tasas sectoriales de acumulación gki son la solución de las ecuaciones siguientes:
![]() | [ 31] |
En segundo lugar, como en el sistema de Torrens, las tasas de ganancia del sistema K están determinadas físicamente, verificándose la relación siguiente:
![]() | [ 32] |
Por otra parte, de [ 29] y [ 31] se infiere que:
![]() | [ 33] |
Por consiguiente, el sistema efectivo que se obtiene a partir del sistema C cuando los sectores acumulan a las tasas dadas gi es el mismo que resulta de la reinversión de la totalidad del producto en el sistema K . Se tiene por lo tanto:
![]() | [ 34] |
De [ 8] , [ 32] y [ 34] se deduce:
![]() | [ 35] |
Así pues, la tasa de ganancia de la rama i ( i = 1, 2, ..., n ) en el sistema C , que es también la de la rama i en el sistema K , es igual, por una parte, a la tasa de excedente del bien i en el sistema efectivo en el período siguiente y, por la otra , a la tasa de acumulación en el núcleo. En suma, las tasas de ganancia del sistema efectivo están determinadas en términos físicos por el núcleo de acumulación.
II.4. Segundo modelo
En el segundo modelo se obtiene un resultado similar al alcanzado en el primer modelo. El primer paso generaliza la construcción del sistema patrón de Sraffa: cambiamos las proporciones del sistema efectivo C aplicándole multiplicadores que lo transforman en otro sistema que llamamos Q . Estos multiplicadores qi ( i = 1, 2, ..., n ) son calculados de modo que las tasas de excedente para ganancias de las mercancías en el sistema Q (sQi) estén en la misma proporción que las tasas de acumulación decididas por los capitalistas, es decir:
![]() | [ 36] |
El sistema Q sólo difiere del sistema C en sus proporciones y admite, por lo tanto, las mismas tasas de ganancia (véase sección I.2). Por otra parte, las tasas de ganancia del sistema Q no pueden ser todas superiores a (menores que) las tasas de excedente para ganancias sino, las ganancias totales superarían (serían inferiores) al producto neto físico. Y como, en el sistema Q , las tasas de excedente de las mercancías y las tasas de ganancia de las ramas que las producen están en las mismas proporciones (que son las de las tasas sectoriales de acumulación), se deduce que dichas tasas de ganancia son iguales a las tasas de excedente de los bienes en el sistema Q .
El segundo paso consiste en extraer un núcleo del sistema Q , aislando la parte que produce los bienes-salario y los medios de producción utilizados en el mismo. En este nuevo sistema, que llamamos K', toda la producción es acumulada y, en consecuencia, las tasas de acumulación son iguales a las tasas de ganancia de dicho sistema ( gK'i= r K'i , i = 1, 2, ..., n ) . Como los sistemas C , Q y K ' sólo difieren en las proporciones, las tasas de ganancia son las mismas en los tres sistemas.
III. LOS EQUILIBRIOS EN LA TEORÍA CLÁSICA DEL VALOR
Distinguimos tres nociones de equilibrio: el equilibrio de la reproducción física, definido por la igualdad de las tasas de acumulación, el equilibrio de la rentabilidad, definido por la igualdad de las tasas de ganancia, y el equilibrio completo, definido por la realización simultánea de los dos equilibrios precedentes. En esta sección examinamos las condiciones para la obtención de cada uno de estos equilibrios en los distintos modelos estudiados.
III.1. Primer modelo
En todo sistema efectivo, la igualdad de las tasas de acumulación (viables) implica la reproducción física idéntica del mismo salvo un escalar: sólo el nivel de producción se modifica dejando invariables las proporciones entre las ramas y por lo tanto también las tasas de excedente de las mercancías. En el primer modelo, salvo en un caso muy especial, el equilibrio de la reproducción física está acompañado por la disparidad de las tasas de ganancia. En efecto, cuando las tasas sectoriales de acumulación son uniformes, de las ecuaciones [ 7] se deduce que la tasa de ganancia de cada sector es igual a la tasa de excedente de la mercancía que produce, correspondiente al período en curso. Por consiguiente, en el primer modelo, el equilibrio de la reproducción implica el equilibrio de la rentabilidad si y sólo si las proporciones entre las ramas son tales que la tasa de excedente de todas las mercancías es la misma, o dicho en otros términos, si el sistema productivo es homotético.
En un sistema efectivo dado, la uniformidad de las tasas de ganancia solamente se verifica para una estructura particular de los factores de acumulación (1 + gi), que se determina, al igual que el nivel de la tasa de ganancia uniforme, introduciendo la igualdad de las tasas de ganancia en las ecuaciones [ 7] . Una vez calculada dicha tasa, las ecuaciones de producción [ 5] determinan los precios correspondientes. En suma, el equilibrio de la rentabilidad depende, en el primer modelo, tanto de las proporciones entre las ramas como de la estructura de los factores de acumulación, y no supone el equilibrio de la reproducción física.
Sabemos que, de manera general, los factores de acumulación transforman el sistema efectivo actual en un sistema en que las tasas de excedente de las mercancías serán iguales a las respectivas tasas de ganancia sectoriales de hoy ( ecuaciones [ 8] ). En particular, los factores de acumulación que aseguran la uniformidad de las tasas de ganancia transforman el sistema efectivo actual en un sistema en que las proporciones entre las ramas son tales que la tasa de excedente de todas las mercancías es uniforme, y cuya escala depende del nivel de las tasas de acumulación. El equilibrio completo se alcanza si se aplican tasas de acumulación uniformes a este último sistema homotético. En efecto, en este sistema, las tasas de excedente de todas las mercancías son iguales y permanecen invariables cuando las tasas de acumulación son uniformes. Se infiere que las tasas de ganancia son también uniformes, que la cantidad de cada bien disponible para el consumo es una proporción uniforme de la producción, y que el valor del consumo de cada capitalista es una proporción uniforme de su ganancia. Estas proporciones dependen del nivel de las tasas de acumulación. Los precios que aseguran la tasa de ganancia uniforme satisfacen las ecuaciones [ 5] para las proporciones correspondientes al sistema homotético, cuya escala está definida por las tasas de acumulación (uniformes). Nótese que estos precios y la tasa de ganancia uniforme coinciden con los obtenidos en el sistema efectivo original cuando los factores de acumulación verifican la estructura de los mismos compatible con la uniformidad de la tasa de ganancia. Esto es así porque los cambios en la escala de producción no alteran las ecuaciones de producción [ 5] .
III.2. El sistema de Torrens
En el sistema de Torrens, las tasas sectoriales de acumulación se determinan endógenamente por las ecuaciones [ 12] , y son iguales a las respectivas tasas de ganancia (ecuación [ 17] ). En consecuencia, si las proporciones son tales que las tasas de acumulación son uniformes, las tasas de ganancia también lo son. Por otra parte, las tasas sectoriales de acumulación del período actual, y por ende también las respectivas tasas de ganancia, son iguales a las tasas de excedente de las mercancías correspondientes en el período siguiente (ecuación [ 15] ). Por consiguiente, si las tasas de acumulación y de ganancia son uniformes también lo son las tasas de excedente del período siguiente. Dado que las tasas de excedente de las mercancías no varían cuando las tasas de acumulación son uniformes, esto último sólo puede verificarse si todas las mercancías tienen la misma tasa de excedente en el período en curso, o dicho en otros términos, si el sistema es homotético. En suma, a diferencia del primer modelo, las tres nociones de equilibrio coinciden en el sistema de Torrens y el equilibrio completo sólo existe si el sistema es homotético. Nótese que la solución de equilibrio obtenida en el sistema de Torrens para los precios y la tasa de ganancia verifica las ecuaciones de producción [ 5] y, para un técnica y estado de la distribución dados, es por lo tanto la misma que en el primer modelo. Pero, a diferencia de lo que sucede en este último, esta solución no sólo se verifica exclusivamente si el sistema efectivo es homotético sino que es compatible con un único nivel de la tasa de acumulación, igual a la tasa de ganancia uniforme.
III.3. Segundo modelo
En el segundo modelo, excepto en el estado estacionario, el equilibrio de la reproducción física implica el equilibrio de la rentabilidad (ecuaciones [ 11] ). Si todas las tasas de acumulación son iguales y positivas, las ecuaciones [ 5] determinan los precios que aseguran la uniformidad de la tasa de ganancia y el nivel de la misma. Como para una técnica y estado dados de la distribución, las ecuaciones de producción [ 5] son las mismas tanto en el segundo modelo como en el primero y en el de Torrens, y los precios de equilibrio verifican dichas ecuaciones para una tasa de ganancia uniforme, la solución de equilibrio es la misma en los tres modelos. En el segundo modelo, a diferencia del primero y del de Torrens, el equilibrio completo se alcanza entonces cualesquiera que sean las proporciones del sistema efectivo cuando las tasas de acumulación son iguales y positivas.
Las propiedades del estado estacionario difieren de las del caso general. Si las tasas de acumulación son nulas, las ganancias son consumidas en su totalidad (c = 1 ). Las ecuaciones [ 10] se verifican entonces cualesquiera que sean las tasas de ganancia sectoriales. Por consiguiente, en el estado estacionario, el equilibrio de la reproducción física no implica necesariamente el equilibrio de la rentabilidad, como en el caso general. La particularidad del estado estacionario puede ser vista desde otro ángulo. Cuando todo el excedente es consumido improductivamente, las ecuaciones de gasto [ 9] son idénticas a las ecuaciones de producción [ 5] . El sistema de precios de reproducción se compone entonces de n ecuaciones que no son suficientes para determinar las n tasas de ganancia y los n - 1 precios relativos. La solución del sistema supone la fijación exógena, ya sea de n - 1 tasas de ganancia, ya sea de la estructura de dichas tasas, siendo la uniformidad sólo una alternativa entre otras. Si se opta por esta última posibilidad, para una técnica y estado dados de la distribución, se obtienen a partir de las ecuaciones [ 5] los mismos precios y la misma tasa de ganancia uniforme que en el caso de tasas de acumulación uniformes positivas y por ende también que en el primer modelo y en el de Torrens.
III.4. El sistema de Sraffa
Acabamos de ver que el supuesto de tasas de acumulación nulas en que se basa la investigación de Sraffa exige una hipótesis acerca de las tasas de ganancia para poder resolver el sistema de ecuaciones. Sraffa postula la uniformidad de las mismas y calcula los precios que satisfacen las ecuaciones de producción [ 19] y [ 20] (idénticas, como vimos, a las ecuaciones de gasto [ 21] y [ 22] ), correspondientes a las dos variantes de su modelo. Estas ecuaciones no son más que una reformulación de las [ 5] para una tasa de ganancia uniforme con la sola diferencia que, en dichas ecuaciones, se explicitan las cantidades de trabajo homogéneo y se tratan respectivamente los salarios como fracción del producto neto o como parte del capital adelantado por los capitalistas.
En definitiva, el sistema de Sraffa es un caso particular del segundo modelo, en el cual las tasas de acumulación son nulas y se supone una tasa de ganancia uniforme. En consecuencia, para una técnica y un estado dados de la distribución, los precios de Sraffa cuando el salario es adelantado por los capitalistas son los mismos que se obtienen en el segundo modelo cuando las tasas de acumulación son uniformes y positivas, y por lo tanto coinciden también con los precios de equilibrio del primer modelo y del de Torrens.
A la luz de este último resultado se plantea el interrogante de saber cuál es el alcance de las propiedades que Sraffa demuestra para una economía en equilibrio en la cual las tasas de acumulación son nulas, y muy especialmente todo lo que se refiere a la relación entre las variables de distribución y los efectos de sus variaciones sobre los precios relativos: ¿son válidas para toda economía en equilibrio, cualquiera que sea el uso que se dé al excedente o se limitan al marco estudiado por Sraffa?
CONCLUSIÓN
En la teoría clásica del valor, cualquiera que sea la hipótesis relativa a la utilización del excedente, existen siempre proporciones tales que las tasas de ganancia (uniformes o no) se determinan en términos físicos sin necesidad de conocer los precios que son, en todos los casos, precios de reproducción pues verifican tanto las ecuaciones de producción como las de gasto.
Para una técnica y un estado dados de la distribución, la solución de equilibrio (precios y tasa general de ganancia) es la misma cualesquiera que sean las hipótesis adoptadas en cuanto al destino del excedente y al consumo de los capitalistas. Dicha solución sólo depende de la técnica y la distribución.
NOTAS AL PIE1 Estos bienes pueden ser concebidos de tres formas distintas: como el consumo obrero, a la manera de los antiguos economistas clásicos, como un poder de compra definido en términos de la unidad de medida de los precios, como lo hace Sraffa, o como una canasta de bienes que resulta de la negociación entre capitalistas y trabajadores, y en términos de la cual se miden los salarios, como hemos propuesto en un trabajo anterior (Klimovsky 1998).
2 La matriz de coeficientes técnicos correspondiente a esta economía verifica por lo tanto las condiciones de Hawkins y Simon.
3 No hay que olvidar que en la versión sraffiana el excedente se reparte entre capitalistas y trabajadores.
REFERENCIAS BIBLIOGRÁFICAS
1. Benetti, Carlo (1986) La théorie de la demande effective chez Torrens, Cahiers d'Économie Politique , 12 : 3-39. Traducido como La teoría de la demanda efectiva de R. Torrens, Análisis Económico , IV(6): 21-60, México, 1985. [ Links ]
2. Benetti, Carlo (1998) Torrens, Robert, en H. D. Kurz, y N. Salvadori (editores), The Elgar Companion to Classical Economics , L-Z (pp. 468-474), Reino Unido: Edward Elgar, Cheltenham . [ Links ]
3. Benetti, C., Bidard, Ch. y Klimovsky, E. (2003) A Classical Model of Equilibrium and Disequilibrium , Universidad de París X-Nanterre y UAM, policopiado . [ Links ]
4. Benetti, C., Bidard , Ch. y Klimovsky, E. (2006) Classical dynamics of disequilibrium , Cambridge Journal of Economics , en prensa. [ Links ]
5. Benetti, Carlo y Cartelier, Jean (1977) Mesure invariable des valeurs et théorie ricardienne de la marchandise, en Marx et l'économie politique. Essais sur les Théories sur la plus-value' (pp. 137-167), Grenoble : Presses Universitaires de Grenoble-Maspero. [ Links ]
6. Bidard, Christian y Klimovsky, Edith (2006) Capital, salaire et crises. Une approche classique , París: Dunod. [ Links ]
7. Cartelier, Jean (1976) Excedente y reproducción , México: Fondo de Cultura Económica, 1981. [ Links ]
8. Debreu, Gerard (1959) Theory of Value , Nueva York: Wiley. [ Links ]
9. klimovsky, Edith A. (1995) El concepto de trabajo homogéneo en el sistema de Sraffa y en la tradición clásica, Economía: Teoría y Práctica , Nueva Época, 4: 7-24. [ Links ]
10. klimovsky, Edith A. (1998) Trabajo homogéneo y bienes-salario en la teoría ricardiana, en M. Teubal (editor), Teoría, estructura y procesos económicos. Ensayos en honor al Dr Julio H. G. Olivera (pp. 109-125) Buenos Aires: Eudeba. [ Links ]
11. Ricardo, David (1815) Ensayo sobre la influencia del bajo precio del grano sobre los beneficios del capital, en P. Sraffa (editor), (1950), Obras y correspondencia de David Ricardo (pp. 3-27). México: Fondo de Cultura Económica, 1960, vol. IV, 1958. [ Links ]
12. Ricardo, David (1821) Principios de economía política y de tributación , en P. Sraffa (editor), (1950), Obras y correspondencia de David Ricardo , México: Fondo de Cultura Económica, 1959, vol. I. [ Links ]
13. Sraffa, Piero (1950) Introducción, en P. Sraffa (editor), Obras y correspondencia de David Ricardo ( pp. xi-xlviii ), México: Fondo de Cultura Económica, 1959, vol. I. [ Links ]
14. Sraffa, Piero (1960) Producción de mercancías por medio de mercancías , Barcelona: Oikos Tau, 1966. [ Links ]
15. Torrens, Robert (1821), An Essay on the Production of Wealth , reimpreso en J. Dorfman (editor), (1965), Nueva York: A. M. Kelley. [ Links ]
















































