Services on Demand
Journal
Article
Indicators
-
Cited by SciELO -
Access statistics
Related links
-
Cited by Google -
Similars in
SciELO -
Similars in Google
Share
Ingeniería y Universidad
Print version ISSN 0123-2126
Ing. Univ. vol.12 no.2 Bogotá July/Dec. 2008
Análisis de la capacidad de una red celular con método de acceso CDMA en ambientes fijos inalámicos*
Analysis of a Cellular Network's Capacity by using the CDMA Method in Fixed Wireless Environments*
Análise da capacidade de uma rede celular com método de acesso CDMA em ambientes fixos sem fio*
Luis Javier López González**
Carlos Iván Páez Rueda***
* Fecha de recepción: 9 de julio de 2007. Fecha de aceptación para publicación: 26 de septiembre de 2008. Este artículo se deriva del trabajo final de Maestría de Investigación en Ingeniería Electrónica número 0706: Análisis de desempeño de una red inalámbrica fija con método de acceso DS-CDMA.
* Date of submission: July 9, 2007. Date of acceptance for publication: September 26, 2008. This article stems from Master's degree thesis N° 0706 in Electronic Engineering: Performance Analysis of a Fixed Wireless DS-CDMA Access Method.
* Data de recepção: julho 11, 2008. Data de aceitação para publicação: setembro 26, 2008. Este artigo deriva-se do trabalho final de mestrado de pesquisa em engenharia eletrônica 0706: Analise do desempenho de uma rede sem fio fixa com método de acesso DS-CDMA.
** Ingeniero electrónico. Estudiante de la Maestría de Ingeniería Electrónica, Pontificia Universidad Javeriana, Bogotá, Colombia. Correo electrónico: llopezg@javeriana.edu.co.
*** Ingeniero electrónico, Pontificia Universidad Javeriana, Bogotá, Colombia. Máster en Ingeniería Electrónica, Universidad de los Andes, Bogotá, Colombia. Profesor asistente del Departamento de Electrónica, Pontificia Universidad Javeriana. Correo electrónico: paez.carlos@javeriana.edu.co.
Resumen
En el presente artículo se analiza la capacidad de una red celular inalámica típica en un ambiente de aplicaciones fijas inalámicas, donde por medio del modelo de simulación por eventos discretos se determina la capacidad de la red en condiciones no ideales, representadas por el modelo del error en el control de potencia y el modelo del factor de actividad de la voz humana.
Palabras clave
Telefonía celular, acceso múltiple por división de código, sistemas de tiempo discreto.
Abstract
The following article presents the analysis of a wireless cellular network's capacity, typically from a fixed wireless application environment, in which through a simulation model with discrete events, the capacity of the network is determined under nonideal conditions, represented by the power control error model and the human voice activity factor model.
Key words
Cellular telephone systems, code division multiple access, discrete event systems.
Resumo
O presente estudo analisa a capacidade de uma rede celular sem fio típica num ambiente de aplicações fixas sem fio, onde por meio do modelo de simulação por eventos discretos determina-se a capacidade da rede em condições não ideais, representadas pelo modelo do erro no controle da potencia e o modelo do fator de atividade da voz humana.
Palavras dicas
Telefonia celular, acesso múltiplo por divisão de código, sistemas de tempo discreto.
Introducción
En Colombia, las redes celulares inalámicas han sido relevantes para la sociedad en los últimos 25 años, debido al auge y al impacto de sus servicios ubicuos para la comunidad de todos los estratos sociales. En particular, los sistemas fijos inalámicos son una solución tecnológica que reemplaza el acceso en coe de la telefonía tradicional y que optimiza el período de retorno de la inversión, al permitir desplegar más rápido los servicios a costa de mayores requerimientos tecnológicos y legales. En Colombia, las grandes empresas proveedoras de servicios telefónicos implementan este tipo de tecnologías inalámicas como soluciones complementarias, y con ello han logrado satisfactorios resultados de penetración en el mercado.
En los sistemas celulares, el acceso múltiple es la técnica preponderante para el buen reuso del recurso no renovable del sistema, el cual es el espectro de radiofrecuencia. Los primeros sistemas celulares usaron técnicas basadas en el Acceso Múltiple por División en Frecuencia (FDMA, por su sigla en inglés) y evolucionaron a sistemas más sofisticados, basados en el Acceso Múltiple por División en Tiempo (TDMA, por su sigla en inglés), como las tecnologías Global System for Mobile Communications (GSM), y en el Acceso Múltiple por División de Código (CDMA, por su sigla en inglés), como las tecnologías Interim Standard 95A (IS-95A) y Wideband CDMA (WCDMA) (Goodman, 1997).
Los sistemas celulares basados en el método de acceso CDMA presentan algunas ventajas importantes respecto a las demás tecnologías de acceso múltiple. Por ejemplo, la eliminación de sofisticados ecualizadores y de algoritmos de asignación de frecuencias, el aprovechamiento del factor de actividad de voz y la sectorización de las celdas para incrementar la capacidad de la red (Lee, 1991; Jung et al., 1993; Pickholtz et al., 1991; Evans y Everitt, 1999; Jansen y Prasad, 1995). En este contexto, en (López, 2008) los autores del presente avance de investigación proponen el modelo y la evaluación de una red CDMA para ambientes fijos inalámicos, a través de la simulación por eventos discretos. Su objetivo es encontrar las curvas de desempeño para diseñar la red, que incluyan algunos fenómenos no ideales importantes para el sistema y el aspecto temporal de la generación de la llamada.
En la primera parte de este artículo se presenta y se revisa el modelo teórico de capacidad de una red CDMA, propuesto en (Jansen y Prasad, 1995), donde se detallan los resultados de diseño, con el fin de comparar el modelo de simulación aquí propuesto.
En la segunda parte se presenta el modelo simulación implementado, por medio de la técnica de simulación por eventos discretos, donde se modela la capacidad de la red a través del enlace inverso (reverse link) y en el cual se incluye un error en el control de potencia y el factor de actividad de voz. En la tercera parte se presentan y detallan los resultados y comparaciones obtenidos. Al final se concluye y se sugieren los trabajos futuros.
1. Antecedentes teóricos
Con el fin de establecer un modelo teórico que permitiera comparar y contrastar los resultados del modelo de simulación propuesto, se analizaron, se implementaron y se documentaron las curvas de diseño de la red CDMA, propuestas por (Jansen y Prasad, 1995). Dicho modelo parte de considerar una densidad de usuarios uniforme denotada por (1), donde N es el número de usuarios que cursa una llamada o usuarios activos y R es el radio de la celda circular.
En principio se considera que la red tiene un control de potencia ideal y, por tal, el sistema compensa la atenuación de la distancia de separación r entre un usuario y su estación base, por medio de la potencia de transmisión denotada por (2), donde Sp es la potencia de recepción en la estación base debida a este usuario y b es el exponente de pérdida promedio de la trayectoria electromagnética. PT(r) = Sprb (2)
Por tal, en el caso de un control de potencia ideal, la potencia recibida en una estación base debida a este usuario estaría denotada por (3) y es independiente de la distancia.
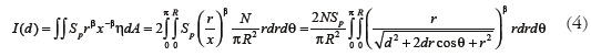
La potencia interferente promedio denotada por (4) incluye la distribución de usuarios, de acuerdo con (1); la potencia de transmisión ideal por usuario, según (2), y la separación entre celdas d, donde x es la distancia de separación entre un usuario y la estación base remota, denotada por (5) en el sistema coordenadas polar, como se ilustra en la Figura 1.
Con el fin de tener una constante que identifique el nivel de interferencia de una celda en la topología celular asumida, se define el factor de interferencia Fm, por medio de (6), como la relación entre la interferencia de todas las celdas ubicadas a una distancia menor o igual a d y la interferencia que sufre un usuario localizado en la celda de análisis.
FORMULA
Donde ni es la cantidad de celdas que comparten la misma distancia de separación di de la celda de análisis. En la Figura 2 se observan las diferentes agrupaciones de celdas que comparten la misma distancia de separación en una topología celular hexagonal. En esta figura se normaliza por conveniencia la distancia del radio del círculo inscrito en la celda hexagonal a R=0,5.
A partir de (4) se encuentra la expresión (7), que permite darle un valor numérico a Fm.
Los resultados obtenidos al evaluar la expresión (7) mediante métodos numéricos se observan en la Tabla 1, al considerar diferentes exponentes de pérdida promedio de la trayectoria electromagnética, usuales en ambientes celulares de aplicaciones, fijos y móviles (Haykin, 2003).
La relación de la señal a interferencia que un usuario debe cumplir se encuentra por medio del umal definido en (8), debido al cual se garantiza la calidad del enlace en una red cuyo acceso múltiple es de tipo CDMA (Jansen y Prasad, 1994). (8)
Donde Eb/N0 es la relación de energía por bit frente a la densidad espectral de ruido blanco gaussiano requerido por la tecnología para una probabilidad de error aceptable y PG es la ganancia de procesamiento, cuyo valor es W/R (W es el ancho de banda de la modulación en Hz y R es la tasa de transmisión en bps). Al modelar una red celular con control de potencia imperfecto, representada mediante una variable aleatoria, se requiere analizar el comportamiento de (8).
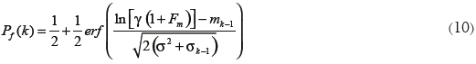
Con este fin, se define la probabilidad de fallo de una comunicación en una red celular CDMA por medio de (9).
Considerando que el error del control de potencia se puede aproximar por medio de una variable aleatoria gaussiana (Jansen y Prasad, 1995) con media cero y desviación estándar σ[dB], entonces la variable aleatoria en unidades naturales es una de tipo lognormal y, por ende, depende de la cantidad de usuarios N que estén activos en cada celda. En (Jasen, 1993) se encuentra que para k usuarios activos, dicha probabilidad está descrita por (10).
En la Figura 3 se detallan los resultados de la evaluación de la expresión (10), en una red celular conformada por múltiples anillos y diferentes exponentes de pérdida promedio de la trayectoria electromagnética, los cuales se diferencian por el valor apropiado de la constante Fm, documentada en la Tabla 1 para las diferentes variaciones del error del control potencia, para un factor de actividad de voz del ciento por ciento, denotado por a=1, un valor típico de Eb/N0=7dB y un PG=255.
En una red celular CDMA es posible aprovechar los silencios producidos en una conversación telefónica, lo que aumenta la capacidad de la red. En este caso particular, dicho proceso puede modelarse por medio de un factor de actividad de voz representado por la constante a, que se encuentra en un valor entre 35% y 40%, reportados en (Lee, 1991; Gilhousen, 1991). El modelo planteado en (Jansen y Prasad, 1995) para este caso se representa por medio de (Baiocchi, 2006), esto es, la probabilidad de fallo de n usuarios activos de los cuales k están hablando y (n–k) están en silencio.
En la Figura 4 se detalla la probabilidad de fallo en una red celular conformada por múltiples anillos y diferentes exponentes de pérdida promedio de la trayectoria electromagnética, los cuales se diferencian por el valor apropiado de la constante Fm, documentada en la Tabla 1, para algunos valores representativos del factor de actividad de voz, considerando dos valores razonables en el error de control de potencia, un valor típico de Eb/N0=7dB y un PG=255.
2. Modelo de simulación propuesto
Para el modelo de simulación propuesto se consideró una celda inalámica representada por medio de un sistema de espera M/M/N/N/N, según la notación de Kendall, como se detalla en la Figura 5. En este tipo de sistemas, el número de servidores es N, la tasa de pérdidas es kµ y la tasa de llegada es (N-k)λ cuando k usuarios están cursando una llamada en la celda. La representación considerada es apropiada, ya que en las aplicaciones comerciales fijas inalámicas el número de usuarios asignados a una celda permanece constante con el fin garantizar la calidad del servicio telefónico en la celda. Las condiciones de tráfico consideradas fueron las de una red cuya aplicación es de telefonía fija inalámica y sus valores fueron tomados de (Comisión Nacional de Telecomunicaciones [CRT], 2004).
De acuerdo con esta, el tráfico ofrecido por usuario es de 0,1 Erlang y la duración promedio de una llamada es de 140,4 segundos. Cada celda fue representada mediante una antena omnidireccional, donde los usuarios fueron distribuidos de forma uniforme. En la topología de la red se consideró sólo el primer anillo (di≤1), según la Figura 2, en consideración del tiempo de computación.
Con las condiciones del modelo y la notación de la Figura 1, la potencia recibida en la estación base de cualquier usuario localizado en cualquier celda se encuentra por medio de (15), e incluye el error del control de potencia modelado a través de una variable aleatoria lognormal con media cero y desviación estándar σ, denotada por medio de LN(0,σ).
El análisis de la red se enfoca en la celda central de la arquitectura propuesta, con el fin de encontrar las medidas de desempeño de los usuarios allí ubicados. Se define la relación señal a interferencia (S/I)H por medio de (16), como la razón entre la potencia de recepción en la celda central de un usuario activo que se encuentre hablando dentro de la celda central y la suma de las potencias interferentes de todos los demás usuarios.
Donde un usuario m-ésimo puede estar activo hablando o activo en silencio. Para ello las tasas de transmisión consideradas fueron de 9.600 bps o 1.200 bps, respectivamente. El factor de actividad de voz implementado corresponde al Modelo de Poisson Interrumpido, conocido como fuente On/Off, como se ilustra en la Figura 6. En este modelo, los usuarios que estén activos pueden estar hablando (estado On), con un tiempo medio de un segundo, o pueden estar en silencio (estado Off), con un tiempo medio de 1,666 segundos. Esto establece un factor de actividad de voz de 3/8, que es un valor razonable para aplicaciones de voz según (Baiocchi, 2006).
Para los efectos del presente trabajo, se define la probabilidad de fallo por medio de (17), la cual se estima por medio de los porcentajes de tiempo que la variable analizada está por debajo del umal definido. Esta medida es, a la larga, las probabilidades límites relacionadas con los estados de la cadena deMarkov, que modela el problema.
3. Resultados y análisis
La simulación se implementó por medio del simulador de propósito general OMNET C++, versión 3.3, en un computador Dell Dimension DXP051, Pentium (R) D CPU 2,80 GHz, 1 GB de RAM, sistema operativo Microsoft Windows XP Professional versión 2002, Service Pack 2.
En la Figura 7 se ilustran las curvas de la probabilidad de fallo de una celda CDMA al aplicar el modelo planteado en (Jansen y Prasad, 1995), para una red celular conformada por múltiples anillos y diferentes exponentes de pérdida promedio de la trayectoria electromagnética. Tales curvas se obtienen con un factor de actividad de voz de a=3/8, un error en el control de potencia de σ=1db, unos valores típicos de Eb/N0=7dB, W=1,25 MHz y R=9.600 bps.
A partir de esta figura se pueden seleccionar los umales de fallo de 0,1; 0,01, o 0,001 como cotas de diseño que permiten establecer la capacidad de la red. Como ejemplo de aplicación, para β=2 y considerando la red conformada por el primer anillo (di ≤1) de celdas, la capacidad de la red con dichos umales sería de 25, 17 o 13 usuarios simultáneos. Al abarcar hasta el segundo anillo (di ≤2) de celdas, la capacidad de la red con dichos umales sería de 21, 14 u 11 usuarios simultáneos.
Por último, al abarcar hasta el tercer anillo (di ≤3) de celdas, la capacidad de la red con dichos umales sería 18, 12 o 9 usuarios simultáneos.
En la Figura 8 se observa la probabilidad de fallo obtenida por medio de la simulación, al considerar un factor de actividad de voz de a=3/8, un error en el control de potencia de σ=1dB, W=1,25 MHz, R=9.600 bps. La forma de estas funciones de distribución acumulativa experimentales se ajusta a la distribución de tipo lognormal en el intervalo de análisis. Esto se verificó mediante la prueba de bondad de ajuste de Kolmogorov-Sminorv, la cual no permitió rechazar la hipótesis nula. En dichas curvas de diseño se detallan los diferentes exponentes de pérdida promedio de la trayectoria electromagnética para los diferentes niveles de cargaofrecidos por celda.
Las curvas obtenidas en la Figura 8 permiten estimar para un W y R conocidos el valor de (Eb/N0)min de la tecnología que garantiza en la red celular CDMA una específica probabilidad de fallo. Como ejemplo de aplicación, y con fines comparativos, en la Figura 9 se detalla la (Eb/N0)min en función de la carga ofrecida por celda, considerando los umales de probabilidad de fallo de 0,1, 0,01 y 0,001 para diferentes valores de los exponentes de pérdida promedio de la trayectoria electromagnética. Dicha figura permite concluir que el dimensionamiento de la red tiene pocas variaciones para valores mayores a cuatro en el exponente de pérdida promedio de la trayectoria electromagnética.
El análisis simultáneo de las figuras 7 y 9 permite establecer que el modelo planteado por (Jensen y Prased, 1995) está soeestimado para calcular la capacidad de una red celular CDMA. Esta situación se debe a que en dicho modelo teórico no se incluye el modelo relacionado con el proceso temporal de la intención de la llamada, es decir, un usuario puede o no realizar una llamada siguiendo un proceso de Poisson, el cual sí se modela a través de la simulación realizada.
4. Conclusiones
En este trabajo de investigación se presentó el análisis de la capacidad de una red celular fija inalámica con método de acceso CDMA, que tenía en cuenta la interferencia del primer anillo de celdas, el modelo de un error en el control de potencia y el modelo del factor de actividad de voz, y bajo la consideración de celdas conformadas por antenas omnidireccionales. Se presentaron las curvas de desempeño relacionadas con el modelo teórico planteado en (Jensen y Prased, 1995) y el modelo de simulación implementado. Al analizar los resultados del modelo teórico frente a los resultados del modelo de simulación, se encontró que el primero está soeestimado, ya que no considera el fenómeno temporal de la intención de la llamada; por ello, las curvas de simulación presentadas complementan las herramientas de ingeniería relacionadas con el diseño y la expansión de una red celular con las características aquí descritas.
5. Trabajos futuros
La literatura muestra que la inclusión de antenas sectorizadas en una red celular inalámica con método de acceso CDMA permite incrementar su capacidad. Por tal, esperamos poder incluir en un próximo análisis la influencia de la sectorización en el modelo planteado y, así, obtener curvas de desempeño que aporten para el diseño de la red en diferentes escenarios y con diferentes calidades de antenas.
Referencias
BAIOCCHI, A. Improving the Erlang capacity of a CDMA cellular network Ander bursty user mobility. IEEE, 2006, pp. 194-199. [ Links ]
COMISIÓN DE REGULACIÓN DE TELECOMUNICACIONES (CRT). Relación minuto impulso en el servicio de TPBCL en Colombia. Bogotá, 2004, pp. 1-12. [ Links ]
EVANS, S. and EVERITT, D. On the teletraffic capacity of CDMA cellular network. IEEE Transactions on Vehicular Technology. 1999, vol. 48, núm. 1, pp. 153-165. [ Links ]
GILHOUSEN, K.; JACOBS, I. M.; PADOVANI, R.; VITERBI, A. J.; WEAVER, L. A. Jr. and WHEATLEY, C. E. On the capacity of a cellular CDMA system. IEEE Transactions on Vehicular Technology. 1991, vol. 40, núm. 2, pp. 303-312. [ Links ]
GOODMAN, D. Wireless personal communication system. New York: Wesley, 1997. [ Links ]
HAYKIN, S. Modern wireless communications. New York: Pearson Pretince Hall, 2003. [ Links ]
JANSEN, M and PRASAD, R. Throughput analysis of a slotted CDMA system with imperfect power control. IEE Colloquium on Spread Spectrum Techniques for Radio Communication Systems. 1993, pp. 8/1-8/4. [ Links ]
—. Capacity, throughput, and delay analysis of a cellular DS CDMA systems with imperfect power control and imperfect sectorization. IEEE Transactions on Vehicular Technology. 1995, vol. 44, núm. 1, pp. 67-75. [ Links ]
—. Throughput and delay analysis of a cellular slotted DS CDMA system with imperfect power control and sectorization. International Symposium on Spread Spectrum Techniques and Applications, 1994. IEEE ISSSTA apos;94., IEEE Third Telecommun and Traffic-Control Systems Group. 1994, vol. 2, pp. 420-424. [ Links ]
JUNG, P.; BAIER, P. W. and STEIL, A. Advantages of CDMA and Spread spectrum techiniques over FDMA and TDMA in Cellular mobile radio applications. IEEE Transactions on Vehicular Technology. 1993, vol. 42, núm. 3, pp. 357-364. [ Links ]
LEE, W. Overview of cellular CDMAp. IEEE Transactions on Vehicular Technology. 1991, vol. 40, pp. 291-301. [ Links ]
LÓPEZ, J. Análisis de desempeño de una red inalámbrica fija con método de acceso DS-CDMA. s. l.: s. e., 2008. [ Links ]
PICKHOLTZ, R.; MILSTEIN, L. B. and SCHILLING, D. L. Spread spectrum for mobile communications. IEEE Transactions on Vehicular Technology. 1991, vol. 40, núm. 2, pp. 313-322. [ Links ]
WEBER, C. L.; HUGH, G. K. and BATSON, B. H. Performance considerations of code division multiple-access systems. IEEE Transactions on Vehicular Technology. 1981, vol. 30, núm. 2, pp. 3-10. [ Links ]








































