Services on Demand
Journal
Article
Indicators
-
Cited by SciELO -
Access statistics
Related links
-
Cited by Google -
Similars in
SciELO -
Similars in Google
Share
Estudios Gerenciales
Print version ISSN 0123-5923
estud.gerenc. vol.27 no.118 Cali Jan./Mar. 2011
ÍNDICE ELCANO: OPORTUNIDADES Y RIESGOS ESTRATÉGICOS PARA LA ECONOMÍA COLOMBIANA1
JOSÉ ROBERTO CONCHA VELÁSQUEZ*1, ANDREA BERSH ARIAS2, DIANA MARCELA GARCÍA TAMAYO3
1Ph.D. in Business, Tulane University, Estados Unidos. Director, Departamento de Mercadeo, Universidad Icesi, Colombia. Grupo de investigación "Competitividad y mercadeo en las organizaciones", afiliado a la Universidad Icesi, clasificación B de Colciencias. jrconcha@icesi.edu.co
2Especialista en Negocios Internacionales, Universidad Icesi, Colombia. anbersh@gmail.com
3Especialista en Negocios Internacionales, Universidad Icesi, Colombia. Coordinadora Consultorio de comercio exterior (Icecomex), Universidad Icesi, Colombia. dianamgarcia82@gmail.com
* Autor para correspondencia. Dirigir correspondencia a: Universidad Icesi, Calle 18, No. 122-135, Pance, Cali, Colombia.
Fecha de recepción: 08-04-2010 Fecha de corrección: 11-10-2010 Fecha de aceptación: 11-01-2011
RESUMEN
Este caso es la aplicación práctica del índice Elcano, desarrollado por el Real Instituto Elcano de Estudios Internacionales y Estratégicos de España. Este índice mide el grado de interdependencia de la economía de un país, con respecto a otros países. El objetivo de este trabajo es su aplicación práctica al caso colombiano, utilizando para tal efecto variables conforme a la realidad macroeconómica. Los países con los cuales se ha realizado la comparación son Bolivia, Brasil, Canadá, Chile, Ecuador, Estados Unidos, España, México, Perú y Venezuela, con los cuales Colombia tiene una mayor interrelación comercial y económica. Los resultados demuestran que su aplicación al escenario colombiano es válida y permite desarrollar importantes estrategias en las relaciones comerciales internacionales.
PALABRAS CLAVE
Internacionalización, comercio exterior, oportunidades estratégicas, riesgos estratégicos, endeudamiento.
Clasificación JEL: F120, F180
ABSTRACT
Elcano index: opportunities and strategic risks to the Colombian economy
This case is the practical application of the Elcano index, which was developed by the Elcano Royal Institute of International and Strategic Studies in Spain. The index measures the degree of interdependence of the economy of a specific country with other countries. The objective of this work is its practical application to the Colombian case using a set of variables that are consistent with the macroeconomic reality of Colombia. A comparison was made against the following countries: Bolivia, Brazil, Canada, Chile, Ecuador, USA, Spain, Mexico, Peru, and Venezuela. These are the countries with which Colombia has the strongest commercial and economic relations. The results show that its application to the Colombian scenario is valid and that it allows developing major strategies in international trade relations.
KEYWORDS
Internationalization, international trade, strategic opportunities, strategic risks, debt.
RESUMO
Índice Elcano: oportunidades e riscos estratégicos para a economia Colombiana
Esse caso é a aplicação prática do índice Elcano, desenvolvido pelo Real Instituto Elcano de Estudos Internacionais e Estratégicos da Espanha. Esse índice mede o grau de interdependência da economia de um país com relação a outros países. O objetivo desse trabalho é sua aplicação prática no caso da Colômbia, utilizando, para esse efeito, variáveis de acordo com a realidade macroeconômica. Os países com os quais foi feita a comparação são a Bolívia, Brasil, Canadá, Chile, Equador, Estados Unidos, Espanha, México, Peru e Venezuela. Esses são os países com os quais a Colômbia possui uma maior relação comercial e econômica. Os resultados demonstram que sua aplicação no cenário da Colômbia é válida, e permite desenvolver importantes estratégias nas relações comerciais internacionais.
PALAVRAS-CHAVE
Internacionalização, comércio exterior, oportunidades estratégicas, riscos estratégicos, endividamento.
INTRODUCCIÓN
El Índice Elcano, en su propuesta original, mide el grado relativo de interdependencia económica y financiera que registra la economía española con respecto a las demás economías del mundo. El índice ha sido desarrollado por el Real Instituto Elcano de Estudios Internacionales y Estratégicos (Isbell, Paul y Arahuetes, 2006) y permite el diseño de un mapa o radar de las oportunidades y riesgos estratégicos a los cuales debe enfrentarse una economía. Fue construido con el propósito de ser utilizado como una herramienta para los estrategas del Estado español, en su constante esfuerzo de analizar el futuro de la proyección y política exterior de España; además del uso en otros sectores como el privado, académico y otros participantes en el debate de la futura dirección de las políticas de España en su proceso de internacionalización económica. Su intención es confirmar y comprobar lo que se puede extraer de un análisis informal basado en el sentido común y de otros tipos de análisis ad hoc que han realizado en años recientes con respecto a la estrategia óptima para la internacionalización de la economía española en el futuro (Isbell, Paul y Arahuetes, 2005). El índice cuenta con tres versiones, en donde en su tercera versión analiza los resultados de oportunidades y riesgos estratégicos para la economía española: una perspectiva comparada con Brasil, EE.UU. y Alemania.
El objetivo de este trabajo es la aplicación al caso colombiano para así caracterizar su proceso de inserción a la economía global y, por ende, de su internacionalización.
Los países que se han incluido en el estudio son: Bolivia, Brasil, Canadá, Chile, Ecuador, Estados Unidos, España, México, Perú y Venezuela. El motivo de la elección se centra en el hecho que son reconocidos por el Ministerio de Comercio, Industria y Turismo como los principales socios comerciales de Colombia, o países con los que hay un potencial importante en ese campo. El período de estudio son los años 2003, 2005 y 2007, caracterizados por ser aquellos que cuentan las bases de datos más completas del comercio exterior colombiano y, por lo tanto, permitirán efectuar los cálculos del índice.
1. EL ÍNDICE
Los dos componentes fundamentales para la construcción del radar son el Índice de Interdependencia Económica y el Índice General de Riesgo que presentan las diferentes economías en estudio.
La interdependencia se interpreta como la intensidad de las relaciones bilaterales entre Colombia y la economía de otro país. Para caracterizarla se tuvieron en cuenta variables como las importaciones y exportaciones de bienes y servicios, el flujo de inversión colombiana en el exterior y el flujo de inversión extranjera en Colombia. Por su parte, el Índice de Riesgo General muestra el riesgo que representan las demás economías para Colombia, basándose en los ratings internacionales de calificación realizados por Standard & Poor's.2
Precisamente con la relación de estas variables se construye un radar genérico compuesto por cinco zonas (ver Gráfico 1). Los diferentes índices de interdependencia se miden con respecto al eje y, mientras que el eje x mide la posición de cada economía en términos de riesgo. En el noroeste se ubican los Socios Fundamentales, en el suroeste las Oportunidades Estratégicas, en el medio están los Retos Estratégicos, mientras que en el noreste y suroeste están los Riesgos Estratégicos y los Riesgos en Potencia, respectivamente.

¿Qué significa cada una de estas zonas?
De acuerdo con los creadores de este índice se parte de la hipótesis que una economía nacional debería establecer un alto grado de interdependencia con aquellas que cuentan con reducidos niveles de riesgo. Asimismo, se relacionará menos con los países que presentan niveles de riesgo más elevados cosa que, a su vez, se compensa con niveles de rentabilidad atractivos (Isbell et al., 2006).
En el radar la posición ideal es la de los socios fundamentales que se caracterizan por ser países calificados con bajo nivel de riesgo y con los que se registran altos niveles de interdependencia.
Los riegos estratégicos, por su parte, son aquellas economías nacionales que tienen niveles de interdependencia similares a los socios fundamentales, pero con niveles de riesgo por debajo del umbral de investment grade (es decir, peor que el B+ de Stándard & Poor's). De acuerdo con los constructores de este índice, estas relaciones son indeseables a largo plazo para una economía próspera, ya que representan peligros estratégicos de primera magnitud.
Por su parte, los riesgos en potencia son aquellos países con los cuales se tienen relaciones económicas, donde la interdependencia de las variables en estudio es baja y la calificación de riesgo está muy por debajo del investment grade.
Por último, las oportunidades estratégicas son aquellas que se deben explorar y aprovechar, pues representan poco riesgo en términos globales y, por ejemplo, la economía colombiana aún no tiene grandes intercambios comerciales.
La zona intermedia del radar, concretamente la zona de los ratings intermedios (BBB+ a B+) son economías con las cuales se tienen relaciones relativamente profundas, aunque no tanto como las relaciones que sostiene con los socios fundamentales y que exhiben niveles de riesgo más altos, por ejemplo, que apenas tienen el nivel de rating del investment grade (BBB-).
2. METODOLOGÍA
El índice se elabora a partir de las principales partidas que conforman la balanza de pagos bilaterales de los distintos países (Isbell et al., 2006). Se considera que la interdependencia internacional de una economía está conformada por los movimientos de entrada y los de salida de bienes, servicios y capitales. Las variables que integran el índice Elcano de oportunidades y riesgos estratégicos son las siguientes:
- Exportación de bienes: V1
- Importaciones de bienes excepto energía: V2
- Importaciones de energía: V3
- Ingresos por turismo: V4
- Flujos de inversiones directas del país en el exterior: V5
- Flujos de inversiones directas extranjeras en el país: V6
- Stock de inversiones directas del país en el exterior: V7
- Stock de inversiones directas extranjeras en el país: V8
- Endeudamiento del país en el exterior: V9
- Endeudamiento del exterior con el país: V10
Todas las variables se toman en valores absolutos, pues lo que importa es la intensidad de la relación, con independencia de su sentido. Las únicas variables que pueden presentar signos negativos son los flujos netos de inversiones directas, específicamente cuando ocurren desinversiones.
En el caso colombiano, solo se trabajó con cuatro de estas variables debido a la falta de información en las bases de datos disponibles. Se ha descartado la variable V3 pues para el caso de Colombia no es relevante, ya que por el contrario es exportador de energía. Para el caso de los ingresos por turismo, no se cuenta con bases de datos históricas que contengan esta información, pues sólo a partir de 2006 se comenzó a tener en cuenta dentro de los informes presentados por el Ministerio de Comercio, Industria y Turismo colombiano. Lo mismo ocurre para el caso de las variables V7 y V8. Por su parte, la información correspondiente a la deuda externa (V9 y V10) se encuentra totalizada en deuda pública y privada y no desagregada por país.
Las variables se han renombrado para el cálculo del índice Elcano para Colombia, de la siguiente forma:
- Exportación de bienes: V1
- Importaciones de bienes: V2
- Flujos de inversiones directas del país en el exterior: V3
- Flujos de inversiones directas extranjeras en el país: V4
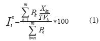
La fórmula construida por los investigadores para calcular el índice de interdependencia económica entre los países, es la siguiente:

Donde
m El número de variables utilizadas para la construcción del índice
Xkn La cantidad de la variable k intercambiada con el país n
Tk La cantidad total de la variable k intercambiada ese año
Pk La ponderación de cada variable Vk, que refleja el peso de cada variable y la proporción de intercambio con cada país respecto del intercambio total
Una vez calculado el índice de interdependencia, se ubica en el radar de acuerdo con la calificación de riesgo que le da Standard & Poor's a esa economía para un año determinado. Esta interdependencia se presenta como una magnitud adimensional y la ponderación que se le da a cada una de las variables es de 1.
3. ANÁLISIS DEL CASO
Como ya fue mencionado, los países incluidos en el cálculo del índice para este estudio son: Bolivia, Brasil, Canadá, Chile, Ecuador, Estados Unidos, España, México, Perú y Venezuela. En este caso se eligieron como períodos temporales los años 2003, 2005 y 2007, obteniendo los resultados que se muestran en los Gráficos 2 a 4.



Como puede verse en el radar, Estados Unidos se destaca como el único socio fundamental para cada uno de los años de estudio. Este resultado puede ser el reflejo de que es el principal destino de exportaciones de Colombia así como el principal origen de la Inversión Extranjera Directa (IED). Esto significa que la economía colombiana se encuentra en un bajo nivel de internacionalización por la alta dependencia económica y comercial concentrada en un solo país.
Dentro del grupo de países estudiados, Colombia tiene varias oportunidades estratégicas como Canadá, España y Chile. Si bien los niveles de interdependencia con estos países son bajos, representan un potencial que debería ser aprovechado y, por lo tanto, desarrollar estrategias para el incremento de ésta transformándolos en socios fundamentales.
Como retos estratégicos se encuentran México, Brasil, Perú, y para el año 2005, Venezuela, economías con las que Colombia tiene relaciones moderadamente profundas pero que exhiben niveles de riesgo relativamente alto.
Ninguna de las economías estudiadas se ubica en la zona de los riesgos estratégicos, mientras que sí se pueden situar varios riesgos en potencia, como Venezuela, Bolivia y Ecuador. En esta zona se encuentran países con los cuales Colombia posee relaciones económicas importantes pero que muestran un alto nivel de riesgo; es decir, estos países representan peligros económicos potenciales.
Es importante destacar que si bien Venezuela es el segundo socio comercial de Colombia, la evaluación del total de las variables, importaciones, exportaciones y los flujos de inversión bidireccionales, hace que el resultado del índice de interdependencia entre ambos no sea alto.
Para comprender mejor la ubicación de cada uno de los países en el radar, a continuación se presenta un resumen de la relación comercial de Colombia con cada uno de ellos.
4. RELACIÓN DE COLOMBIA CON SUS SOCIOS COMERCIALES
4.1. Riesgos en potencia
4.1.1. Bolivia
Es un país con un alto nivel de riesgo y con balanza comercial positiva respecto a Colombia, es decir, sus exportaciones hacia Colombia son mayores a las exportaciones que realiza Colombia hacia él (ver Tabla1).

Las exportaciones de Colombia a Bolivia tienen una fuerte diversificación, predominando entre ellas, productos con un importante valor agregado, mientras que las importaciones se caracterizan por ser commodities o derivados de ellas (ver Tabla 2).

Tanto los flujos de inversión colombiana en Bolivia como la IED de este país en Colombia son muy bajos y representan mínimos porcentajes sobre los totales. Cabe resaltar que este país se encuentra cerca geográficamente a Colombia y está incluido dentro de la Comunidad Andina de Naciones (CAN), lo cual hace que ciertos productos tengan preferencias de ingreso.
4.1.2. Venezuela
Fue el único país que cambió su ubicación en el radar en los años estudiados, pasó de ser un riesgo en potencia a un reto estratégico; sin embargo, en 2007 regresó a su ubicación inicial. Este cambio se refleja principalmente por una mejora en la calificación de riesgo país, que pasó de B- en 2003 a B+ en 2005; en 2007 volvió a ser calificada con una B- (Standard & Poor's, 2007).
En diciembre de 2006 Venezuela celebró elecciones presidenciales, donde fue reelegido el presidente Hugo Chávez Frías, extendiendo el periodo hasta 2013. Este no es un dato menor ya que significó un impacto importante en las relaciones con Colombia. Además, a lo largo de este mismo año, los procesos de integración sufrieron varios cambios, entre ellos el anuncio de su salida de la CAN y el G-3. Por otro lado, en 2007 también se formalizó la salida del Fondo Monetario Internacional y del Banco Mundial, anunciando, paralelamente, su ingreso al Mercosur. Aunque para el año 2003 la balanza comercial con Venezuela fue deficitaria, para los años posteriores, 2005 y 2007, los resultados fueron positivos para Colombia (ver Tabla 3).

La mayoría de productos que Colombia exporta e importa desde Venezuela son productos con valor agregado, como se puede ver en la Tabla 4.

La inversión extranjera directa de Venezuela en Colombia, sin incluir el sector petrolero y la reinversión de utilidades, es solamente el 0,9% de la IED total en Colombia. Según datos del Ministerio de Comercio, Industria y Turismo, para el 2007 Venezuela ocupó el lugar 15 entre los 78 países que invirtieron en el país.
4.1.3. Ecuador
Es un país cuya calificación del índice de riesgo se ubica en CCC+ (Standard & Poor's, 2007), por lo que se lo considera vulnerable al incumplimiento de pago de obligaciones. Con todo, mantiene una estrecha relación con la economía colombiana en temas de intercambio comercial. Esto se ve reflejado en la balanza comercial, la cual ha mostrado resultados positivos durante 2003, 2005 y 2007 (ver Tabla 5).

La Tabla 6 muestra los principales productos que son exportados desde y hacia Ecuador. La gran mayoría tienen valor agregado, con algunas excepciones, como las importaciones de arroz desde Ecuador.

En 2007, Ecuador desinvirtió alrededor de USD$ 3,2 millones de sus capitales invertidos en Colombia, esta cifra no tiene en cuenta el sector petrolero y la reinversión de utilidades. Colombia por su parte ha ido incrementando en los últimos años su inversión en Ecuador que a 2007 acumulaba USD$ 248,7 millones.
4.2. Retos estratégicos
4.2.1. México
Es uno de los retos de la economía colombiana pues durante los años estudiados permaneció en esa zona de radar, solo variando levemente debido a un incremento en el nivel de interdependencia y sobre todo por una mejoría en la calificación de riesgo para el año 2005. Se hace referencia a un aliado económico, miembro del G-3, el cual incluye entre otros un programa de desgravación que hasta el momento tiene el 92% del universo arancelario desgravado. La balanza comercial con México fue deficitaria para 2003, 2005 y 2007, como se puede ver en la Tabla 7.

Los principales productos que intercambian estos dos países son de alto valor agregado. Sin embargo, los productos importados desde México, tienen un valor comercial por unidad mucho mayor que los productos que le vende Colombia, lo que explica el déficit en la balanza comercial de la Tabla 8.

Los flujos de IED desde México representan un 9% sobre el total de la inversión para el 2007; mientras que la inversión colombiana en México representó un 7% sobre el total de la inversión colombiana en el exterior para 2007.
4.2.2. Brasil
Otro de los retos para Colombia, al igual que México, permaneció en la zona media durante los años de estudio. Es el miembro más importante del Mercosur (en lo referido a las relaciones con Colombia) y la primera economía sudamericana. La balanza comercial con Brasil fue negativa para 2003, 2005 y 2007, como se puede apreciar en la Tabla 9.

Como se puede ver en la Tabla 10, los productos que se importan del Brasil tienen valor agregado, mientras que los productos que Colombia le exporta son principalmente commodities.

Los flujos de IED desde Brasil representan un 14% sobre el total de la inversión para el 2007; mientras que la inversión colombiana en este país representó un 18,9% sobre el total de la inversión colombiana en el exterior para 2007.
4.2.3. Perú
Uno de los retos más importantes, es un miembro activo de la CAN por lo cual existe facilidad en el comercio entre las dos naciones. De acuerdo con el reporte de Standard & Poor's (2007), tuvo un muy buen record en políticas macroeconómicas, caracterizado por un alto nivel de crecimiento económico, baja inflación y disminución en el déficit fiscal. La balanza comercial de Colombia con Perú ha sido positiva para los periodos de estudio 2003, 2005 y 2007 (ver Tabla 11). En la Tabla 12 se muestran los principales productos importados y exportados entre Colombia y Perú.


La inversión peruana en Colombia es muy baja y solo representa un 0,3% del total de la IED; sin embargo, según datos proporcionados por el ministerio de Comercio, Industria y Turismo, el acumulado entre 1994 y 2007 fue de USD$ 73,3 millones. Por el contrario, para el año 2007 Colombia desinvirtió USD$ 387,3 millones.
4.3. Oportunidades estratégicas
4.3.1. Chile
El único país latinoamericano que representa una oportunidad estratégica, pues a pesar de no tener un nivel alto de interdependencia, es una economía que representa un bajo riesgo siendo la mejor calificada en América Latina. Sumado a esto, debe tenerse en cuenta el Acuerdo de Complementación Económica No. 24 firmado entre ambos países como un espacio de liberación comercial, que es importante aprovechar.
La balanza comercial es deficitaria para Colombia, esto quiere decir que son mayores las importaciones procedentes de ese país que las exportaciones que realiza Colombia hacia Chile. Las cifras de la balanza comercial para 2003, 2005 y 2007 se presentan en la Tabla 13.

Los principales productos intercambiados entre ambos países son especialmente commodities, como se puede ver en la Tabla 14.

La inversión extranjera directa de Chile en Colombia tuvo un incremento de USD$ 43,5 millones del 2006 al 2007, siendo el cuarto destino de las inversiones de capitales directos chilenos en el mundo.3 Esta inversión representa un 1,2% del total de IED en Colombia para 2007. Por su parte, la inversión colombiana en Chile también incrementó del año 2006 a 2007, en USD$ 21 millones y representó un 2,7% de las inversiones de capitales colombianos en el mundo.
4.3.2. Canadá
Es otra de las oportunidades estratégicas que Colombia debería aprovechar para convertirlo en un socio fundamental. Esto se debe a las negociaciones del Tratado de Libre Comercio entre Canadá por un lado y Colombia y Perú por el otro- iniciadas el pasado 16 de julio de 2007. Después de cinco rondas de negociaciones, el pasado 7 de junio de 2008 se logró llegar a un acuerdo y se está aún esperando su aprobación por los respectivos entes gubernamentales para empezar su vigencia.
Al realizar un análisis de las cifras de intercambio comercial entre Colombia y Canadá para los últimos cinco años, se puede encontrar que los resultados de la balanza comercial han presentado una tendencia deficitaria constante (ver Tabla 15). Para 2003, 2005 y 2007 los resultados fueron los siguientes, y los principales productos se muestran en la Tabla 16.


La IED de Canadá en Colombia solo representa el 0,2% del total de la inversión extranjera directa en el país. Por su parte aunque Colombia tiene inversiones en Canadá, no son representativas, y para 2007 fueron de USD$44,4 millones, sobre un total de USD$912.794 millones.
4.3.3. España
Colombia tiene con la Unión Europea el Régimen Especial de Estímulo del Desarrollo Sostenible y la Gobernanza (SGP PLUS), el cual concede desde 1971, preferencias comerciales a los países en desarrollo dentro de un sistema de preferencias arancelarias generalizadas, un beneficio que es, en muchas oportunidades, desaprovechado por Colombia.
El SGP PLUS se aplica a países en desarrollo que son vulnerables por su falta de diversificación y su insuficiente integración en el comercio mundial, al mismo tiempo asumen la responsabilidad de ratificar y aplicar los convenios internacionales sobre derechos humanos y laborales, protección del medio ambiente y gobernanza, por lo cual tendrán preferencias adicionales, destinadas a fomentar el crecimiento económico y de este modo responder positivamente a la necesidad de desarrollo sostenible, por tanto se suspenden los derechos ad valorem y los derechos específicos (excepto los combinados con un derecho ad valorem) para los países beneficiarios.4
Durante los últimos cinco años, la balanza bilateral entre España y Colombia pasó de deficitaria a superavitaria, como se puede observar en la Tabla 17.

Este resultado positivo ha sido jalonado principalmente por el buen desempeño de las exportaciones, en especial de las tradicionales (ver Tabla 18). En cuanto a las importaciones, estas han presentado un comportamiento positivo durante el periodo de estudio; entre el 2003 y 2005 crecieron en un 30% y entre 2005 y 2007 en un 36,7%.

El flujo de IED proveniente de España ha sido destinado sobre todo al sistema financiero, sector eléctrico y el transporte, que en 2007 representaron el 28,4%, 26,5% y 21,6% del total de la inversión en Colombia, respectivamente.5 Este total representó el 7,4% de la IED en Colombia para ese mismo año. Por su parte, la inversión colombiana en España no es muy representativa, siendo solo el 0,9% del total de la IED colombiana.
4.4. Socios fundamentales
4.4.1. Estados Unidos
Principal destino de las exportaciones de Colombia y principal origen de la IED en el país, con quien hasta el momento goza de la Ley de Preferencias Arancelarias Andinas y de Erradicación de Drogas (ATPDEA).
Al revisar las cifras de comercio exterior se encuentra que las exportaciones de Colombia hacia ese país crecieron en un 47% entre el 2003 y 2005, mientras que entre 2005 2007 crecieron en un 22%. La balanza comercial presenta resultados positivos para 2003, 2005 y 2007 (ver Tabla 19).

Como puede verse en la Tabla 20, los productos más representativos de exportación a Estados Unidos son commodities que no incluyen ningún valor agregado, mientras la gran mayoría de los productos importados, involucran un valor final más alto.

El 65,3% de la inversión colombiana en el exterior está concentrada en este país, lo que lo convierte en el primer receptor del capital colombiano. Como ya se había mencionado Estados Unidos también es el principal origen de la IED en Colombia, representa el 35,7% (USD$1.389 millones) del total.
5. CONCLUSIONES
Entre las principales conclusiones del trabajo se remarca que el nivel de internacionalización del comercio colombiano, en los períodos estudiados, es relativamente bajo. La principal evidencia es la presencia de un solo socio fundamental (Estados Unidos) que se establece ya sea como el principal destino de exportaciones y origen de importaciones, así como el principal origen de la Inversión Extranjera Directa.
Como ya fue mencionado, esto muestra que las interconexiones económicas de Colombia se concentran fundamentalmente en un solo país. Una razón que puede contribuir a esta situación es el hecho que varios de los actores que podrían ser algunos de los socios más importantes para el comercio colombiano son potencialmente riesgosos, como ocurre con Venezuela, Bolivia y Ecuador. Sin embargo, paralelamente, se están desaprovechando algunas oportunidades con un fuerte potencial como Canadá, España y Chile. Si bien en estos casos los niveles de interdependencia no son altos, representan oportunidades que deberían ser aprovechadas para transformarlos en socios fundamentales, más aun cuando se está a la espera de la entrada en vigencia del TLC con Canadá y con Chile.
Colombia debe procurar aumentar el número de sus socios fundamentales, no debe depender de la suerte de Estados Unidos, sobre todo porque gran parte del comercio está en manos de la prolongación del APTDEA o de la firma del TLC. Ante la coyuntura actual de las relaciones con Estados Unidos, donde se está a la espera de la transición del nuevo gobierno, y se enfrentan una crisis económica, estas decisiones seguramente pasarán a un segundo plano, para atender sus necesidades más inmediatas.
6. PREGUNTAS PARA DISCUSIÓN
Aun, en el marco del comercio exterior, se presentan muchas dudas del futuro cercano para Colombia:
- ¿Cómo afectará a Colombia el que no se firme el TLC con Estados Unidos y se pierdan las preferencias de APTDEA? ¿Cuáles sectores industriales serán los más perjudicados?
- ¿Deberá Colombia proseguir en la búsqueda de nuevos tratados de libre comercio, o por el contrario concentrarse en los que se han o están negociando y finalizar su proceso legal para ponerlos en vigencia?
- En abril del 2010 se terminaron las preferencias arancelarias de Colombia con el mercado venezolano dentro del marco de la CAN (Comunidad Andina de Naciones), ¿Qué tipo de tratado con este país debería impulsar Colombia?
- ¿Debe Colombia abrir sus oportunidades al Asia, con el crecimiento de países como China e India, o es mejor concentrarse en los vecinos de América?
- ¿Cuáles acciones propone usted para incentivar las exportaciones colombianas que siguen siendo unas de las más bajas del continente americano?
NOTAS AL PIE DE PÁGINA
1. Este caso de estudio se basa en los resultados del trabajo de posgrado preparado por los estudiantes (autores 2 y 3) para obtener el título de Especialistas en Gerencia de Negocios Internacionales, en la Universidad Icesi, 2008. Es propiedad de la Universidad Icesi.
2. Standard & Poor's es un proveedor de información sobre los mercados financieros. Una de las principales fuentes mundiales de calificaciones crediticias, índices, análisis, datos y evaluaciones de riesgo. Las calificaciones de riesgo crediticio, que van de AAA (nivel más alto de protección) a CCC (menor protección), se basan en el análisis de la calidad crediticia general.
3. Ministerio de Comercio, Industria y Turismo, Perfil Comercial de Chile.
4. Ver Sistema de Preferencias Arancelarias Generalizadas (SGP Plus), recuperado de http://www.proexport.com.co
5. Ministerio de Comercio, Industria y Turismo.
REFERENCIAS BIBLIOGRÁFICAS
1. Isbell, P. y Arahuetes, A. (2005). Amistades peligrosas y parejas ideales: el Índice Elcano de oportunidades y riesgos estratégicos para la economía española Análisis de los resultados preliminares, 2004- 2005. Documento de Trabajo (DT) 8/2005, Informes Elcano, Real instituto Elcano. Recuperado de http://www.realinstitutoelcano.org/documentos/173/IsbellArahuetes%20pdf.pdf [ Links ]
2. Isbell, P. y Arahuetes, A. (2006). III Índice Elcano de Oportunidades y Riesgos Estratégicos para la economía española: una perspectiva comparada con Brasil, EEUU y Alemania. Informes Elcano, Real Instituto Elcano [ Links ]
3. Standard & Poor's. (2007). Sovereign Ratings in Latin America from the Sovereign Ratings Group. Recuperado de http://www2.standardandpoors.com/spf/pdf/products/Sovereigns_Ratings_Latin_America_Book_2007.pdf [ Links ]
REFERENCIAS ELECTRÓNICAS
4. http://www.standardandpoors.com [ Links ]
5. http://www.mincomercio.gov.com [ Links ]
6. http://www.proexport.com.co [ Links ]












