Services on Demand
Journal
Article
Indicators
-
Cited by SciELO -
Access statistics
Related links
-
Cited by Google -
Similars in
SciELO -
Similars in Google
Share
Tecnura
Print version ISSN 0123-921X
Tecnura vol.15 no.29 Bogotá July 2011
Control de admisión para redes móviles AD HOC con base en estimación de ancho de banda disponible
Control of admission for AD HOC mobile network based on estimates available bandwidth
Marco A. Alzate1, Leydi J. Támara2
1 Ingeniero electrónico, doctor en Ingeniería. Docente de la Universidad Distrital Francisco José de Caldas. Bogotá, Colombia. malzate@udistrital.edu.co
2 Ingeniera electrónica, estudiante de la Maestría en Ciencias de la Información y las Comunicaciones de la Universidad Distrital Francisco José de Caldas. Bogotá, Colombia. lejotaro@gmail.com
Fecha de recepción: 19 de mayo de 2011 Fecha de aceptación: 29 de agosto de 2011
Resumen
Los algoritmos de control de admisión en redes alambradas pueden monitorear el tráfico sobre cada uno de los enlaces punto-a-punto con el fin de determinar el ancho de banda disponible para los flujos a lo largo de diferentes rutas y basar su decisión en la diferencia entre el ancho de banda disponible y el ancho de banda requerido. Infortunadamente, esto no es posible en una red móvil ad hoc (MANET) por varias razones, entre las que se destacan dos: (1) en la MANET, una transmisión entre dos nodos adyacentes consume el ancho de banda de muchos nodos vecinos, lo cual dificulta la estimación del ancho de banda disponible. (2) Un nodo que se admite tiene un efecto sobre la red que va mucho más allá de reducir el ancho de banda disponible en una cantidad previsible; al contrario, puede afectar la distribución espacial de los flujos existentes así como las probabilidades de colisión. En estas condiciones, no es fácil para un algoritmo de control de admisión determinar la magnitud de los flujos que deben ser admitidos para aprovechar los recursos de comunicación sin saturar la red. Este es un artículo de reflexión en el que discutimos algunos de los principales aspectos asociados con la interacción entre estos dos problemas fundamentales y proponemos un nuevo enfoque de investigación al respecto.
Palabras clave: Ancho de banda disponible, control de admisión, estimación, redes móviles AD HOC.
Abstract
The admission control algorithms in wired networks can monitor traffic on each of the links point-to-point in order to determine the available bandwidth for the flows along different routes and base their decision the difference between the available bandwidth and the bandwidth required. Unfortunately, this is not possible in a mobile ad hoc network (MANET) for several reasons, among which two stands out: (1) In the MANET, a transfer between two adjacent nodes consumes the bandwidth of many neighbors, which difficult to estimate the available bandwidth. (2) A node that supports has an effect on the network that goes far beyond reducing the bandwidth available in a predictable amount, on the contrary, it can affect the spatial distribution of existing flows and the likelihood of collision. In these conditions, it is easy for an admission control algorithm to determine the magnitude of the flows should be admitted to exploit the resources of communication without saturating the network. This is a refection article where we discuss some major issues associated with the interaction between these two fundamental problems and propose a new approach to investigation.
Key words: Available bandwidth, admission control, estimation, mobile AD HOC networks.
1. Introducción
En una red móvil ad hoc (MANET) los nodos se conectan a través de enlaces inalámbricos sin ninguna infraestructura de comunicaciones [1]. Cuando algunos nodos pueden estar fuera del rango de transmisión de otros nodos de la red, se hace necesario contar con un mecanismo de comunicación multisalto, el cual se debe auto-organizar de acuerdo con los cambios dinámicos de topología producidos por la movilidad de los nodos [2]. Si a esto se añade que el medio de transmisión inalámbrico limita el desempeño por los fenómenos de propagación, ruido e interferencia, y que la naturaleza compartida de este medio exige mecanismos de acceso múltiple que manejen el problema de los nodos escondidos y los nodos expuestos, se hace clara la dificultad de diseñar y operar una MANET de manera eficiente [3].
En este contexto, ofrecer garantías de calidad de servicio (QoS) en términos de una cota inferior en el ancho de banda disponible, una cota superior en el retardo o en la variabilidad del retardo, o una cota superior en la tasa de paquetes perdidos, resulta una tarea especialmente difícil, puesto que ella requiere asignar y mantener recursos para cada flujo a lo largo de la ruta por la cual se transmite [4]. Una funcionalidad mínima en este sentido es la de permitir a los nodos de la red determinar si al menos los recursos disponibles a lo largo de una ruta permitirían atender un flujo adicional sin reducir los niveles de servicio que se ofrecen a los flujos existentes. El proceso de decisión respecto a aceptar o rechazar un nuevo flujo, denominado Control de Admisión, se constituye en un módulo fundamental de cualquier esquema de QoS [5]. Como el criterio fundamental para esta decisión es determinar si los recursos que necesita el nuevo flujo están disponibles a lo largo de la ruta, un elemento fundamental de este módulo sería la estimación de dichos recursos disponibles [6]. Infortunadamente, la naturaleza compartida y sujeta a errores del medio de transmisión y la volatilidad de la topología hacen que estos recursos estén cambiando dinámicamente de manera imprevisible [7]. En este artículo discutiremos, a partir de una extensa revisión bibliográfica sobre el tema, los principales aspectos asociados con el problema general de estimar el ancho de banda disponible a lo largo de una ruta para facilitar las decisiones de un proceso de control de admisión en una MANET.
2. Estimación de ancho de banda
En una red alambrada resulta fácil monitorear el tráfico sobre los enlaces punto-a-punto, para determinar el ancho de banda disponible en cada enlace como la capacidad del enlace menos el promedio del tráfico que cursa por el mismo; el ancho de banda disponible en una ruta será el mínimo ancho de banda disponible en los enlaces que la conforman. Pero esta definición no es válida en una red MANET por el simple hecho de que no existen enlaces punto-a-punto sino enlaces compartidos, de manera que la energía se irradia al espacio con la esperanza de que el receptor reciba una porción suficiente a pesar del ruido y la interferencia. Por esta razón, un enlace entre dos nodos se da solamente por la condición de que cada uno de ellos se encuentre dentro del rango de transmisión del otro, por lo que dos enlaces no pueden usarse simultáneamente si el receptor de uno de ellos está dentro del rango de interferencia del transmisor del otro enlace.
La Fig. 1, tomada de [8], muestra, por ejemplo, cómo la capacidad de transmisión de dos enlaces se afecta a medida que cambia la distancia entre ellos, de acuerdo con un estudio de simulación en Qualnet® [9]. El escenario se describe en la Fig. 1(a): Dos enlaces IEEE 802.11b de 2Mbps se forman entre dos pares de nodos transmisor/ receptor, separados 320 metros entre ellos. El primer enlace está conformado por los nodos Tx 1 y Rx1, mientras que el segundo enlace lo constituyen los nodos Tx 2 y Rx 2. Los transmisores envían paquetes de 1400 bytes de longitud a sus respectivos receptores de manera tal que, tan pronto logran enviar un paquete, ya disponen de un nuevo paquete para ser enviado. Los nodos del segundo enlace se mueven hacia la derecha a la misma velocidad, incrementando la distancia d entre los transmisores de 0 a 1700 metros. La Fig. 1(b) muestra la fracción de capacidad disponible para cada enlace en cada posición. Hasta los 500 metros de distancia, se puede observar el efecto del protocolo MAC arbitrando el acceso al medio con cierta equidad (a pesar de dicho favorecimiento al enlace 2, pues el receptor del enlace 1 se encuentra más sumergido dentro de la interferencia producida por el transmisor del enlace 2). A partir de los 500 metros los transmisores ya no pueden percibir directamente la presencia de la portadora del otro, lo cual produce colisiones repetidas que reducen el caudal de ambas fuentes a menos del 20% de la capacidad. A medida que crece la distancia, el segundo enlace se aísla de la interferencia del primer transmisor mientras que el receptor del primer enlace permanece inmerso en la interferencia del segundo transmisor, lo que conduce a una amplia región de 500 metros en la que el enlace 2 posee toda la capacidad y no deja nada de ancho de banda para el enlace 1. A partir de 1200 metros, la interferencia de Tx 2 sobre Rx 1 comienza a reducirse, al punto que algunos paquetes de Tx 1 empiezan a llegar a su destino. Los enlaces no se independizan entre ellos sino hasta después que la distancia entre los transmisores supera los 1700 metros. Si consideramos que en una MANET puede haber muchos pares de nodos intentado usar un medio común de transmisión, notamos cuán difícil puede llegar a ser la estimación del ancho de banda disponible entre dos nodos adyacentes. Más aún, en rutas multisalto, un mismo paquete que debe ser retransmitido ocupa varias veces el mismo medio físico de comunicación, pues los enlaces adyacentes no se pueden usar simultáneamente.
A pesar de estas complejas interacciones, en la mayoría de la literatura se siguen usando los principios básicos de estimación de ancho de banda, propios de las redes alambradas [10], [17]. Esto es, cada nodo estima la fracción de tiempo que el medio de transmisión permanece ocupado según su antena de recepción, u, y calcula el ancho de banda disponible para él como C(1-u), donde C es la tasa de transmisión. El ancho de banda disponible a lo largo de una ruta se calcula como el mínimo de los anchos de banda disponible percibidos por los nodos que componen la ruta, como se indica en la Fig. 2. A la luz de lo que hemos discutido en esta sección, queda claro que ésta es una medida muy inexacta pues no sólo ignora los efectos de los nodos ocultos y los nodos expuestos, sino que ignora la auto-interferencia debida a los paquetes que ocupan varias veces el medio de transmisión sobre enlaces adyacentes.
Sólo recientemente algunos autores han considerado métodos más elaborados que tienen en cuenta los fenómenos planteados. En [18], por ejemplo, usan un enfoque diferente para estimar el ancho de banda disponible en una MANET IEEE 802.11. Si un paquete con una carga útil de s bits está listo para su transmisión en el nivel MAC en el instante t s, y después del proceso de transmisión su reconocimiento se recibe en el instante t r, el caudal de transmisión de ese paquete es s/ (t r - t s ). El ancho de banda disponible para ese nodo se calcula como el promedio temporal de los caudales de los paquetes exitosos en una ventana de tiempo dada. Sin embargo, este método no permite estimar el ancho de banda disponible en una ruta, pues sabemos que la auto-interferencia no admite igualarlo al mínimo de los anchos de banda disponibles para los nodos que componen la ruta. Por eso, en [19], los mismos autores incluyen información sobre el uso del canal en k saltos consecutivos, diseminada en paquetes de Hello, para considerar la sincronización de los períodos de ocupación entre nodos vecinos. También usan interpolación de Lagrange para considerar la probabilidad de colisión a partir de los paquetes de Hello perdidos. Aunque [18], [19] proponen un estimador más exacto que los usados típicamente, todavía sufre de algunas dificultades como la imprecisión en la consideración del tiempo de Backoff, la suposición de que el rango de interferencia y el rango de percepción de portadora son iguales, la imprecisión al considerar el tiempo de disponibilidad total como el producto de los tiempos de disponibilidad locales, etc.
En [20] se propone una forma práctica y simple para estimar el ancho de banda total en una ruta, Ad Hoc Probe. Se envían pares de paquetes de prueba de igual longitud, L, simultáneamente entre el origen y el destino. Se supone que a cada paquete se le puede calcular el retardo en una sola dirección (OWD - One Way Delay), esto es, la diferencia entre el tiempo en que se recibe en el destino menos el tiempo en que se envía en la fuente. Se considera que el par de paquetes de prueba que experimente la mínima SOWD (Sum of OWD) no sufrió errores de retransmisión ni de encolamiento. La dispersión D entre los dos paquetes de prueba asociados con el mínimo SOWD se considera el mínimo tiempo necesario para transmitir un paquete de longitud L (Fig. 3). El principio es simple, la técnica de medición es eficiente y los resultados, en redes con poca carga, son precisos. Sin embargo, la medición que entrega es la máxima tasa de transmisión con paquetes de L bits que se puede alcanzar si todos los recursos de la red estuvieran disponibles. No se obtiene el dato correspondiente a otras longitudes de paquete ni el ancho de banda disponible para ninguna longitud de paquete.
En [21] se propone un método de estimación del ancho de banda disponible para cualquier longitud de paquete, basado en Ad Hoc Probe. Se utilizan pares de paquetes de prueba de dos longitudes diferentes y con ellos se estiman los parámetros que determinan la capacidad de la ruta para cualquier longitud de paquete. Posteriormente, se asocia la variabilidad de los gaps y los OWD con la disponibilidad de esa capacidad, para lo cual se usa una técnica neurodifusa que conduce a un procedimiento eficiente, efectivo, oportuno y preciso (Fig. 4). Sin embargo, los resultados mostrados en [21] son sólo de simulación, pues no se ha hecho ninguna implementación práctica de su método. Los modelos analíticos de [20], [21] explican con claridad la complejidad de los fenómenos asociados con la estimación del ancho de banda disponible en redes MANET.
En [21] se introduce el concepto de canal espacial, que consiste en un grupo de enlaces activos entre los cuales sólo uno puede utilizarse a la vez. Este canal espacial es la verdadera unidad de recurso de comunicación, como el enlace en el mundo de las redes alambradas punto-a-punto.
3. Control de admisión
En algunos contextos, el control de admisión podría ser tan simple como el cálculo de una desigualdad: Si la suma del ancho de banda ocupado por los flujos actuales y el flujo nuevo superan el ancho de banda total de la ruta, rechace la solicitud de admisión. Si no, acéptela (22). Sin embargo, la variabilidad en los flujos de entrada y, en el caso de las MANET, la variabilidad en el ancho de banda de las rutas, requieren considerar con cuidado ese simple proceso de decisión. En efecto, en el contexto de las MANET, los componentes de un sistema de control de admisión "tan simple" deben incluir no solamente los descriptores de tráfico y procesos de medición para determinar los valores de dichos descriptores, sino que también deben incluir descriptores de la capacidad de las rutas y procesos de medición para determinar los valores de dichos descriptores, como se ilustra en la Fig. 5.
Los descriptores de tráfico son los parámetros que caracterizan la variabilidad de los flujos de datos. Típicamente se usan los parámetros del cálculo de Cruz [23], [24], en los que en un período de longitud t se espera que la fuente transmita no más de b+rt bytes, donde b es el pico máximo permitido y r es la tasa promedio. Para asegurar estas características, en el punto de acceso suele utilizarse un sistema de traffics happing tal como el balde de permisos.
Los descriptores de capacidad, en condiciones de enlaces punto-a-punto, son sencillamente las tasas de transmisión de los enlaces. Pero, dadas las características de las MANET descritas en la sección anterior, el ancho de banda de una ruta es un proceso estocástico con propiedades de variabilidad tan cambiantes como las del tráfico mismo. Queda claro que se necesita un conjunto de descriptores para la capacidad de la red que se puedan asociar con los respectivos descriptores de tráfico para hacerlos comparables. En este sentido, el concepto de ancho de banda efectivo o ancho de banda equivalente [25] podría ser de utilidad, pues se refiere a la mínima cantidad de ancho de banda que una fuente necesita para satisfacer sus requerimientos de QoS, e involucra tanto las propiedades estadísticas del flujo como las características de los enlaces por lo que circula (capacidad y buffer) y las demandas de QoS exigidas. Sin embargo, extender este concepto a las condiciones de variabilidad de la capacidad en una MANET no ha sido un esfuerzo fructífero hasta ahora [26], en particular por la necesidad de considerar los efectos de interferencia en un canal espacial.
Los procesos de medición constituyen el aspecto más difícil en el contexto de las redes ad hoc, como se describió en el numeral anterior para el caso del ancho de banda disponible. El tráfico de entrada se puede medir con las mismas técnicas desarrolladas para las redes alambradas, aunque sus características en puntos intermedios de la red puedan ser muy diferentes debido a la interacción con las diferentes capas de la arquitectura funcional de la MANET. Dicha medición sigue siendo difícil aún en redes alambradas debido a las características del tráfico moderno, tales como la dependencia de rango amplio, por ejemplo [27]. Medidas concomitantes tales como la tasa de paquetes perdidos o los retardos en las llegadas de los reconocimientos pueden ser de gran utilidad para caracterizar tanto el tráfico como los recursos [3]. En estos procesos se suele usar una ventana de tiempo durante la cual se toman medidas a intervalos regulares, a partir de las cuales se calculan estadísticas como promedios, picos y varianzas, por ejemplo.
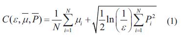
Los criterios de admisión pueden tomar muchas formas diferentes. En general, se trata de que la tasa total de los flujos admitidos no supere un nivel de comparación preestablecido. En el caso de las MANET, este nivel de comparación también deberá ajustarse con las variaciones de ancho de banda, BW, como la determinada por Ad Hoc Probe. Por ejemplo, si se permite que la tasa agregada de una clase de flujos exceda c(ε) con probabilidad ε, en un período en el que el promedio de la capacidad de la ruta se pudo establecer como BW será necesario que C(ε) + P ≤: BW, donde P es el promedio de la tasa generada por el flujo nuevo [28]. Algunas extensiones sugieren usar otros parámetros para la capacidad efectiva, C(ε, µ, σ2), donde µ y σ2 son, por ejemplo, la media y la varianza de las medidas observadas. Por ejemplo, en [29] se usa un elaborado modelo matemático para estimar la capacidad efectiva de N fuentes con tasas pico Pi y tasas promedios µi,i=1,2,..., N, como en la Ec.(1).
Para cualquier distribución del tráfico agregado, siempre que no tenga dependencia de rango amplio. Las tasas promedio y pico de cada flujo pueden medirse o tomarse directamente de los parámetros del token bucket con el que se ajusta la tasa de entrada.
Por supuesto, el problema con las MANET es que, típicamente, las variaciones de BW también se dan en escalas de tiempo más pequeñas que la duración de los flujos debido a las interacciones dentro de cada canal espacial. Por eso sería necesario determinar parámetros semejantes para la capacidad,
para un conjunto apropiado de parámetros, θj, j=1,2,... Es precisamente esta caracterización de la capacidad de la ruta la que no se ha logrado aún [26].
4. Control de admisión en manet
Como se ha venido mencionando a lo largo de este artículo, las particularidades de las MANET exigen perspectivas diferentes para la gestión de garantías de QoS. Los problemas asociados con el medio, como la interferencia de terminales escondidos y terminales expuestos, la falta de una coordinación centralizada, la poca disponibilidad de recursos, la variación dinámica de la topología de la red debida al movimiento, y la naturaleza compartida y propensa a errores del medio de comunicación son, entre otros, las dificultades a sortear. Estas condiciones conducen a una alta imprecisión en la estimación del estado de los recursos de la red, cuando, para ofrecer garantías de QoS entre extremos, es necesario que el esquema de control de admisión permita asignar recursos para cada flujo a lo largo de una ruta.
Sin embargo, se han propuesto diferentes alternativas para lograr dicho control de admisión de una manera efectiva. En trabajos como INSIGNIA [30] y MMWN [31] se enfocan en soluciones de nivel superior sin considerar el problema de la asignación de ancho de banda bajo las interacciones del canal espacial (nodos escondidos y nodos expuestos). En SWAN [11] y VMAC [18], las decisiones de admisión se basan solamente en el conocimiento de los recursos locales sin considerar las interacciones de nodos aledaños que pueden interferir insospechadamente dentro del canal espacial. Para resolver estos problemas, sería necesario obtener información sobre la contienda por recursos dentro de cada canal espacial. Algunas propuestas al respecto sugieren intercambiar información de ancho de banda entre nodos a dos o tres saltos (lo cual puede generar una sobrecarga excesiva) [6]. Este intercambio puede lograrse haciendo broadcast a dos o tres saltos, o haciendo broadcast con una mayor potencia.
Sin embargo, creemos que aún el conocimiento preciso del estado de la red no puede ser suficiente para tomar una decisión de admitir o rechazar un nuevo flujo. En efecto, dadas las interacciones dinámicas entre los muchos elementos que participan en una red Ad Hoc, el criterio de decisión debe ir mucho más allá de comparar los recursos disponibles estimados con los recursos requeridos por el nuevo flujo. De hecho, ni siquiera un preciso conocimiento del estado de la red sería suficiente para tomar la decisión en el sentido en que está bien demostrado que el ingreso de un nuevo flujo altera las probabilidades de colisión y transmisión en todos los canales espaciales que atraviese el flujo, cambiando por completo el panorama mismo de la distribución de recursos entre los flujos [21]. Por eso, en nuestras actividades de investigación, pensamos respondernos la siguiente pregunta: ¿Cómo serían las nuevas condiciones de la red si el nuevo flujo es admitido?
En particular, pensamos utilizar una de las dos formas propuestas en [6] para determinar los canales espaciales en los que cada nodo participa, y usar un alto número de mediciones concomitantes para hacer un análisis de cuánto y cómo cambiarían las condiciones de la red si aceptamos el nuevo flujo. Las alternativas van desde desarrollar un modelo matemático que relacione las medidas obtenidas en expresiones cerradas y permita responder la pregunta mediante técnicas analíticas, hasta usar técnica de simulación distribuida que permita evaluar las nuevas condiciones en un tiempo mucho menor al tiempo real, pasando por la exploración de técnicas de inteligencia computacional o técnicas de agentes móviles adaptivos que aprendan los efectos de nuevos flujos en las condiciones de la red a partir de las características observadas [32].
5. Conclusiones
Los esquemas tradicionales de control de admisión se basan en comparar la capacidad disponible con la capacidad requerida por el nuevo flujo y aceptarlo si existen suficientes recursos para atenderlo. En este artículo hemos verificado que este esquema resulta poco útil en una MANET por dos razones principales. En primera instancia, las mediciones mismas resultan muy difíciles de lograr con precisión debido a la naturaleza compartida y sujeta a errores del medio de comunicación, y debida a la naturaleza distribuida y volátil de la red misma. En segunda instancia, aún si las medidas fueran precisas, los efectos del nuevo flujo exceden al simple cálculo aritmético de una reducción en la cantidad de recursos disponibles.
En este artículo recorrimos la literatura para encontrar evidencias de la enorme dificultad que conlleva obtener de manera eficiente y oportuna una estimación precisa del ancho de banda disponible entre dos nodos de una MANET. Luego vimos cómo este módulo resulta necesario para establecer un esquema de control de admisión basado en los criterios tradicionales de reducir la medida de los recursos disponibles en la cantidad consumida por el nuevo flujo. Sin embargo, también argumentamos que este criterio no es suficiente, pues los efectos de un nuevo flujo en la disponibilidad de recursos no se limitan a reducir la cantidad disponible de los mismos, sino que altera por completo los patrones mismos de transmisiones y colisiones que ocurren dentro de la red.
Por estas razones, terminamos proponiendo un trabajo de investigación en el que se busque la manera de responder a una pregunta más decisiva y precisa: ¿Cómo cambiarían las condiciones de la red si se admite el nuevo flujo? Si los cambios son aceptables, el flujo sería admitido; en otro caso se rechazaría. Los procedimientos necesarios para responder dicha pregunta deben ser objeto de una gran cantidad de actividades de investigación que aún está por hacer.
Referencias
[1] O. Tonguz and G. Ferrari. Ad Hoc Wireless Networks. John Wiley and Sons, Chichester: England, 2006. [ Links ]
[2] C. Perkins, Ad Hoc Networking. Addison Wesley, 2001. [ Links ]
[3] M. Alzate, End-to-end Available bandwidth Estimation in IEEE 802.11b Ad Hoc Networks, Tesis doctoral en Ingeniería Electrónica, Universidad de los Andes, 2008. [ Links ]
[4] M. Karimi, QoS Provisioning in MANETs. In: Xin Wang. Mobile Ad Hoc Networks: Protocol Design. In Tech Open Access Publisher, Rijeka: Croatia, 2011. [ Links ]
[5] R. Zhang, and I. Rubin, "Stable fow admission and routing for mobile ad hoc networks," IEEE Military Communications Conference, MILCOM 2006, Washington, 2006. [ Links ]
[6] Y. Yang, and R. Kravets, "Contention-Aware admission control for Ad Hoc networks". IEEE Transactions on Mobile Computing, vol. 4, 2005. [ Links ]
[7] M. Rahman, and A. Rahman, QoS Support in Wireless Ad Hoc Networks. In: Misra, S.; Woungang, I; and Chandra, S. Guide to Wireless Ad Hoc Networks. London: Springer Verlag, 2009. [ Links ]
[8] M.A. Alzate, et ál. "End-to-end bandwidth and available bandwidth estimation in multi-hop IEEE 802.11b ad hoc networks," 42nd Annual Conference on Information Sciences and Systems, University of Princeton, 2008. [ Links ]
[9] Qualnet. Qualnet Simulator, version 3.9.5. [En línea]. Disponible en: http://www.scalable-networks.com. [ Links ]
[10] S. Lee, et ál. "INSIGNIA: an IP-based quality of service framework for mobile ad hoc networks," Journal of Parallel and Distributed Computing, Special issue on Wireless and Mobile Computing and Communications, Academic Press, vol. 60, 2000. [ Links ]
[11] G. Ahn, et ál. "SWAN : service differentiation in stateless wireless ad hoc networks," IEEE Transactions on Mobile Computing, vol. 1, Jun. 2002. [ Links ]
[12] C. Chaudet, and I. Guerin, BRuIT - Bandwidth Reservation under Interferences influence. European Wireless Conference, Florence: Italy, 2002. [ Links ]
[13] Q. Xue, and A. Ganz, "Ad Hoc QoS on-demand routing in mobile ad hoc networks," Journal on Parallel and Distributed Computing, vol. 63, 2003. [ Links ]
[14] K. Xu, et ál. "Adaptive bandwidth management and qos provisioning in large scale ad hoc networks," IEEE Military Communications, Milcom: Boston, 2003. [ Links ]
[15] L. Chen, and W. Heinzelman, "QoS-aware routing based on bandwidth estimation for mobile ad hoc networks," IEEE Journal on Selected Areas in Communications, Mar. 2005 [ Links ]
[16] C. Sarr, C. Chaudet, Chelius, G. Guèrin, and I. "A node-based available bandwidth evaluation" in IEEE 802.11 Ad Hoc Networks. First International Workshop on System and Networking for Smart Objects, Fukuoka, Japan, 2005. [ Links ]
[17] C. Sarr, C. Chaudet, G. Chelius, and I. Guérin, "Improving accuracy in available bandwidth estimation for 802.11-based ad hoc networks," INRIA Research Report N° 5935, 2006. [ Links ]
[18] S. Shah, K. Chen and K. Nahrstedt, "Available bandwidth estimation" in IEEE 802.11-based Wireless Networks. First ISMA/CAIDA Workshop on Bandwidth Esitimation, 2003. [ Links ]
[19] C. Sarr, C. Chaudet, G. Chelius, and I. Guérin, "Bandwidth estimation" for IEEE 802.11 based ad hoc networks. IEEE Transactions on Mobile Computing, vol. 7, Aug. 2008. [ Links ]
[20] L. Chen, T. Sun, G. Yang, M. Sanadidi and M. Gerla, AdHoc Probe: "Path capacity probing in wireless ad hoc networks," First IEEE International Conference on Wireless Internet, Budapest, 2005. [ Links ]
[21] M. Alzate, N. Pena, and M. Labrador, Capacity, Bandwidth, and Available Bandwidth in Wireless Ad Hoc Networks: Definitions and Estimation. In: Xin Wang (Ed.) Mobile Ad-Hoc Networks: Protocol Design. Intech Open Access Publisher, 2011. [ Links ]
[22] R. Gibbens, F. Kelly, and P. Key, "A decision-theoretic approach to call admision control in ATM networks," IEEE Journal on Selected Areas in Communications, pp. 1101-1114, Aug. 1996. [ Links ]
[23] R. Cruz, "A Calculus for Network Delay. Part I: Elements in Isolation."IEEE Trans. On Information Theory, vol. 37, 1991. [ Links ]
[24] R. Cruz, "A calculus for network delay. Part II: network analysis," IEEE Trans. On Information Theory, vol. 37, 1991. [ Links ]
[25] R. Gibbens, "Traffic characterization and effective bandwidths for broadband network traces," Stochastic Networks: Theory and Applications, vol. 4, pp. 169-179, 1996. [ Links ]
[26] M. Salamanca, Effective Bandwidth Estimation for Real-time Traffic in IEEE 802.11 Ad Hoc Networks. Propuesta de tesis doctoral. Facultad de Ingeniería, Universidad de los Andes, 2011. [ Links ]
[27] M. Alzate, "Introducción al Tráfico Auto-semejante en Redes de Comunicaciones," Revista INGENIERIA, Universidad Distrital, 2001. [ Links ]
[28] R. Guerin, H. Ahmadi, and M. Naghshineh, "Equivalent capacity and its application to bandwidth allocation in high speed networks," IEEE Journal on Selected Areas in Communications, vol. 9, pp. 968-981, Sept. 1991, [ Links ]
[29] S. Floyd, "Measurement based admission control," Computer Communications Review, july 1996. [ Links ]
[30] S. Lee, G. Ahn, X. Zhang, and A. Campbell, "INSIGNIA: An IP-based quality of service framework for mobile ad hoc networks," Journal of Parallel and Distributed Computing, vol. 60, 2000. [ Links ]
[31] R. Ramanthan, and M. Steenstrup, "Hierarchical organized multi hop mobile wireless networks for QoS support," Mobile Networks and Applications, vol. 3, 1998. pp. 101-119. [ Links ]
[32] M. Alzate, and M. Mejía, "Ingeniería de Sistemas Complejos Aplicada a Redes de Comunicaciones." In: Maldonado, C. Fronteras de la ciencia y complejidad, Universidad del Rosario, 2010. [ Links ]



















