Services on Demand
Journal
Article
Indicators
-
Cited by SciELO -
Access statistics
Related links
-
Cited by Google -
Similars in
SciELO -
Similars in Google
Share
Tecnura
Print version ISSN 0123-921X
Tecnura vol.15 no.29 Bogotá July 2011
Comparación del modelo Wavelet multifractal entre una red ethernet y una red MANET
Comparison of model Wavelet multifractal between an ethernet network and a network MANET
Edgar Alirio Aguirre Buenaventura1, Gabriel Alberto Puerta Aponte2
1 Ingeniero en control electrónico e instrumentación, estudiante de la Maestría en Ciencias de la Información y las Comunicaciones de la Universidad Distrital Francisco José de Caldas. Bogotá, Colombia. eaaguirreb@correo.udistrital.edu.co
2 Licenciado en Electrónica, estudiante de la Maestría en Ciencias de la Información y las Comunicaciones de la Universidad Distrital Francisco José de Caldas. Bogotá, Colombia. gapuerta@correo.udistrital.edu.co
Fecha de recepción: 30 de mayo de 2011 Fecha de aceptación: 29 de agosto de 2011
Resumen
El presente artículo describe el comportamiento del tráfico en dos nodos de una red MANET de 600 nodos conectados a 40 servidores de servicio web. Lo anterior basado en un escenario simulado en NS2, del cual se obtuvo las trazas de tráfico que se analizaron en MATLAB con el toolbox llamado: MWM publicado por la University Rice con autoría de Matthew Crouse y Vinay Ribeiro, esto con el fin de hallar las regiones que tengan un coeficiente de auto similitud alto.
Palabras clave: Autosimilar, MANET, multifractal, simulación, tráfico, traza.
Abstract
This article describes the behavior of traffic on two nodes of a MANET network of 600 nodes connected to 40 server’s web service. This scenario based on a simulated NS2, which was obtained traffic traces that were analyzed in MATLAB with a toolbox called: MWM published by Rice University authored by Matthew Crouse and Vinay Ribeiro, this in order to find regions with a coefficient of high self-similarity.
Key words: Self-similar, MANET, multifractal, simulation, traffic, trace.
1. Introducción
Tradicionalmente el análisis de tráfico de una red se ha modelado de forma estocástica describiendo el comportamiento del sistema y la demanda de los usuarios en la red, este tipo de análisis es adecuando en las redes de conmutación de circuitos donde se consideran los tiempos entre llegadas independientes entre sí (tiempos entre llamadas y duración de las llamadas, tiempos entre llegada de paquetes y longitud de los paquetes, tiempos entre solicitud de conexiones y duración de las sesiones, etc. [1].
Recientemente se observó en el análisis de trazas de tráfico la existencia de una autocorrelación entre las variables, y que ésta puede llegar a ser persistente en el tiempo, lo cual describe el fenómeno de auto similitud en el tráfico en una red LAN Ethernet [2]. Lo anterior es una característica importante del tráfico fractal y se puede visualizar también por la escalabilidad de la traza, la cual se toma a partir de los patrones de llegada de las demandas de servicio que los usuarios generan y se puede medir en términos de paquetes, celdas, llamadas, flujos, conexiones, bits, o cualquier otra unidad de información adecuada [1]. Al observar esta traza de tráfico en diferentes instantes de tiempo partiendo desde la mayor escala hasta la menor, no se puede encontrar la diferencia entre ellas, pudiendo determinar la relación entre varias partes de la señal por medio de su autocorrelación, así, esta función resulta de gran utilidad para encontrar patrones repetitivos dentro de una señal, por tanto, nos permite saber la similitud que hay entre una señal y ella misma desplazada en tiempo [3], [4].
Dentro de las características de los procesos auto similares se encuentra la dependencia a largo plazo (LRD, Long Range Dependence), la cual dice que los cambios de una señal por más pequeños que sean al aumentar la escala ya no son menospreciables y por el contrario causan efectos muy grandes en la señal, aun cuando los valores de la autocorrelación sean pequeños.
La dependencia de largo plazo tiene un impacto significativo en el comportamiento de las colas en el tráfico de una red en cada uno de los elementos que lo componen creando una cola pesada (heavy-tail) por lo que la cola decrece sub-exponencialmente causando un incremento notable en el retardo de los paquetes [3]. Todas estas características describen la fractalidad del tráfico de una red que incluye características de Movimiento Browniano Fraccional (FBM) y Ruido Gaussiano Fraccional (FGN), hay que tener en cuenta que no todos los análisis de teletráfico se ajustan bajo estas características y en esos casos los modelos tradicionales son muy funcionales, básicamente depende del tipo de tráfico que los usuarios demanden y del tipo de red, las distribuciones de poisson son el mejor ejemplo la cuál es una distribución de probabilidad discreta la cual describe, a partir de una frecuencia de ocurrencia media, la probabilidad que ocurra un determinado número de eventos durante cierto periodo de tiempo.
2. Modelo de tráfico
El elemento más importante en este análisis es el tráfico de la red el cual en nuestro caso particular es tráfico multifractal, el tráfico es el elemento de información generado por los usuarios los cuales la envían en forma de paquetes y tramas las cuales llegan a los dispositivos de enrutamiento los cuales se encargan de dirigir esta información a los lugares adecuados, estos dispositivos presentan unas características determinadas que ayudan al tráfico de la red los cuales tienen un tiempo de servicio, existen unos más rápidos que otros de esta propiedad y otras más depende la capacidad de atención de la información tratada, actualmente el tráfico se modelo bajo dos características el tráfico no auto similar y el tráfico auto-similar, en el primero se encuentran modelos como los de ON-OFF, Poisson, Gaussiano, y Markov, los cuales presentan determinado tipo de distribución de datos.
3. Modelo de tráfico multifractal mwm
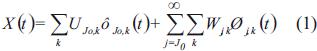
El Modelo Wavelet Multifractal (MWM) es un importante modelo de tráfico, el cual captura las principales características estadísticas del tráfico en redes de comunicaciones, con gran eficiencia computacional [3], [5], la transformada wavelet discreta representa a una señal real unidimensional X(t) en términos del cambio de desplazamiento y la versión dilatada de una función wavelet pasabandas ψ(t) y el cambio de una función de escala pasa bajos con la función φ(t), por tanto, para algunas funciones wavelet y de escala seleccionadas, las versiones dilatadas y desplazadas øj,k (t):= 2j/2 ø (2jt - K) y ôj,k (t):= 2j/2ô (2jt - K)j k &εZ constituye una base ortonormal y la señal se puede representar por la ec. (1): [6], [7]
Con:
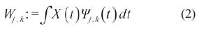
Para una wavelet ψ(t) centrada en el instante de tiempo igual a cero y una frecuencia f0, el coeficiente Wavelet Wjk la medida de la señal está alrededor del tiempo 2-j,k 2j ƒ0 y el coeficiente de escala U j,k muestran información del promedio local en el tiempo 2-j k , en la transformada Wavelet se llama a j el índice de escala y a k se le llama índice de tiempo.
Lamentablemente, a pesar de su gran simplicidad, los modelos fractales como movimiento Gaussiano fraccional o el movimiento Browniano fraccional tienen significativas limitaciones por cierto tipo de modelos naturales [5], hay que tener en cuenta que el tráfico siempre es positivo y está lleno de picos a diferencia de la señal gaussiana y presenta dependencia de largo plazo, pero además presenta una dependencia de corto plazo, también poseen comportamientos de escala que no concuerdan completamente con la auto-semejanza estricta de estos modelos [8].
En [5] se desarrolla un modelo de Wavelet basado en una señal positiva, estacionaria y con datos LRD (dependencia de largo rango), el cual es la Wavelet de Haar, que garantiza que no tenga incrementos no negativos con la simple condición que X(t) sea positivo si (Wj,k ): ≤Uj,kpara todo j, k
El modelo Wavelet multifractal MWM se considera positivo con los coeficientes Wavelet Wj,k =Aj,k Uj,k con los multiplicadores Aj,k como variables independientes aleatorias los cuales toman valores en el intervalo [-1, 1], por tanto "de esta manera el MWM es capaz de capturar con gran precisión el espectro de potencia (y, consecuentemente, la dependencia de rango largo) de una traza real de tráfico mediante el ajuste adecuado de las varianzas de los multiplicadores. Simultáneamente, y a diferencia de otros modelos, el MWM también puede reproducir la positividad y las estadísticas de orden superior de trazas reales de tráfico". [8].
4. Metodología
Para este análisis se tomó la primera traza de tráfico BC-pAug89 la cual contienen un millón de arrivos de paquetes de una red ethernet de Bellcore Morristown Research and Engineering. La cual fue realizada a las 11:25 el 29 de agosto de 1989 durante un tiempo de 3142.82 segundos y se presenta en la Fig. 1 el tráfico que ofrece el primer servidor a la red, la segunda traza de tráfico fue realizada en el simulador network simulator 2 (NS2), donde se representó un escenario de descarga web de una red MANET con 460 nodos y 40 nodos como servidores web donde se realizaron las descargas de tráfico, cada una de éstas en cada servidor con un tamaño promedio de dos gigabits con un tiempo de simulación de 16,200 segundos, siendo todos estos paquetes. También se presenta en la Fig. 3 el tráfico del nodo 400 y en la Fig. 6 el tráfico del nodo 200, una red ethernet presenta una infraestructura fija, la cual permite modelar el tráfico de cierta forma, pero la red ad hoc y en especial una red MANET presenta una variación en su topología siendo ésta en la mayoría de los casos una red dinámica que está en constante movimiento, además sus nodos de comunicaciones son heterogéneos y representan diferentes dispositivos, desde teléfonos móviles, computadoras portátiles, agendas personales, sensores móviles y un gran sin número de dispositivos, sumado a esto las características de los dispositivos son especiales, porque tienen poca autonomía, sus recursos son limitados, tienen poca capacidad de procesamiento y poca capacidad de almacenamiento y frente a la red su ancho de banda es limitado, por ejemplo, la tarjetas de red inalámbricas presentan menos rendimiento que las tarjetas de red para cable, todas estas características hacen que este tipo de red sea de especial interés para su análisis sumado al auge de dispositivos móviles, lo cual aumente la escalabilidad del sistema.
La descripción de autosimiltud se reconoce en la Fig. 1 donde existe una dependencia de largo plazo y la señal tiene un parámetro de Hurts de 0.8.
5. Resultados
Para este experimento se tomaron las trazas de tráfico de las Figs. 1, 2, 3 y 5 para procesarlas por medio del modelo MWM, éstas fueron tratadas en un subdirectorio de Matlab llamando MWM publicado por la University Rice con autoría de Matthew Crouse y Vinay Ribeiro; el resultado del primer experimento se observa en la Fig. 1 donde se representa la respuesta del Modelo Wavelet Multifractal de la traza de tráfico BC-pAug89, descrita anteriormente.
Después de hacer la comparación gráfica entre trazas de tráfico generadas directamente como resultado de una simulación en el network simulator 2 NS2, al tomar las gráficas de la salida del simulador, hay cierta creencia a encontrar auto-similitud y escalabilidad entre diferentes secciones de la misma gráfica, pero no es evidente su condición de auto-similitud.
En la traza de tráfico BC-pAug89 representada en la Fig. 1, se pueden identificar fácilmente tres regiones auto-similares con un grado auto-correlación alto, éstas se encuentran en los siguientes intervalos (0, 0.5) (1, 5) y (2.5, 2.9).
El experimento realizado en Ns2 correspondió a la simulación de una red MANET donde la traza de tráfico del servidor es representada en la Fig. 2, después de realizar el proceso MWM se obtuvo la señal que se observa en la Fig. 7, donde se resaltan dos regiones que muestran auto-similitud con otra región, como sería el ejemplo de los siguientes intervalos: (0, 600) (1200, 300) (800, 10000) (12000, 14000).
La simulación del tráfico de la red MANET se observa en la Fig. 4, el comportamiento de un nodo dentro la topología planteada, a primera vista la condición de autosimiliridad gráfica es evidente, pero en este caso no nos interesa la autosimiliridad gráfica si no el proceso de autosimilitud estadística, al realizar el proceso MWM se observa en la Fig. 8 la condición de auto correlación de alto rango alta y la dependencias de largo plazo, por lo que aparecen no menos de 6 regiones que presenta condición de auto-similitud. Para la traza de la Fig. 5 se realizó el mismo tratamiento MWM y es sorprendente la gran similitud que presenta la traza resultante con la de la Fig. 8, en esta figura no menos de 8 regiones presentan un alto grado de auto-similitud.
A la señal de tráfico de la Fig. 3 se le hizo un aumento para observar mejor su comportamiento, la que se representa en la Fig. 4, asi mismo la Fig. 5 que corresponde al tráfico del nodo 200 tiene un acercamiento, estas gráficas nos permitieron deducir la auto-similitud del tráfico de toda la red.
El tráfico sobre los nodos de una red MANET presentan una gran similitud sin importar su estado dinámico y cambio de posición o topología, por tanto se concluye que este tráfico representado en la red Ethernet y la red MANET muestran condiciones importantes de fractalidad expresadas en la auto-similitud y la dependencia de largo rango que permiten realizar análisis estadísticos como el presentado en este artículo.
6. Conclusiones
En este artículo se presentó un análisis de tráfico entre una red Ethernet y una simulación de tráfico de una red MANET y su análisis por medio del Modelo Wavelet Multifractal (MWM), como método para determinar las características de fractalidad en una red de datos por medio de los parámetros de autosimiltud y de la dependencia de largo rango.
Este trabajo se realizó por medio del software de simulación de redes NS2 por el cual se logró generar tráfico fractal en un conjunto de nodos móviles de comunicaciones configurados como una red MANET.
Los resultados obtenidos muestran la distribución de datos y su comportamiento, demostrando la posibilidad de analizar el tráfico de una red por medio de métodos como el desarrollado en este artículo.
Referencias
[1] M. Alzate, "Introducción al Tráfico Autosimilar en redes de comunicaciones", Revista Ingeniería, Universidad Distrital, vol. 6, no. 2, 2001. [ Links ]
[2] W. Leland, M. Taqqu, W. Willinger, and D. Wilson, On the self-similar nature of Ethernet Traffic, IEEE/ACM Trans. Networking, vol. 2, pp. 1-15, 1994. [ Links ]
[3] O. Bassa and D. Rincón, Caracterización de tráfico TCP con propiedades fractales sobre redes WLAN, Tesis de grado, Universidad Politécnica de Cataluña, Oct. 2006. [ Links ]
[4] L. Contreras, G. Ospina, M. Aurelio y Alzate Monroy, "Cascadas conservadoras aplicadas a la predicción de tráfico multifractal," Revista Ingeniería, Universidad Distrital, vol. 11, no. 1, 2006. [ Links ]
[5] R. Riedi, M. Crouse, V. Ribeiro, and R. Barniuk, "A Multifractal Wavelet Model with application to network traffic," Transactions on Information Theory, vol. 45, no. 3, Apr. 1999. [ Links ]
[6] I. Daubechies, Ten Lectures on Wavelets. New York: Siam. 1992. [ Links ]
[7] M. Vetterli, and J. Kovacevic, Wavelets and Subband Coding. Englewood Clif's, NJ: Prentice-Hall. 1995 [ Links ]
[8] M. Alzate, "Internet: ejemplo de complejidad en sistemas tecnológicos", en Mal-donado, C. (ed.) Derivas de Complejidad, Universidad del Rosario, 2011. [ Links ]
























