Services on Demand
Journal
Article
Indicators
-
Cited by SciELO -
Access statistics
Related links
-
Cited by Google -
Similars in
SciELO -
Similars in Google
Share
Revista Colombiana de Cirugía
Print version ISSN 2011-7582
rev. colomb. cir. vol.29 no.3 Bogotá July/Sept. 2014
1 Departamento de Cirugía, Facultad de Medicina, Universidad de La Sabana, Chía, Colombia
2 Departamento de Cirugía, Facultad de Medicina, Universidad de Antioquia-Unidad de Oncología, Hospital Pablo Tobón Uribe, Medellín, Colombia
Correspondencia: Álvaro Sanabria, MD, MSc, PhD, FACS, Chía, Colombia. Correo electrónico: alvarosanabria@unisabana.edu.co
Fecha de recibido: 18 de junio de 2014. Fecha de aprobación: 20 de junio de 2014.
Resumen
Introducción. El profesionalismo es un área de interés en las facultades de medicina del mundo. El uso de un cuestionario puede ser útil para evaluar el profesionalismo en Colombia. El objetivo fue evaluarlo en estudiantes de medicina, mediante la escala de actitudes ante el profesionalismo de Penn State University College of Medicine (PSCOM) y su cambio al pasar de los semestres básicos a los clínicos.
Métodos. Se hizo un estudio de corte trasversal con 250 estudiantes de medicina, utilizando la escala PSCOM. Se determinaron variables socioeconómicas y académicas. Se midieron las actitudes hacia el profesionalismo. Los datos se reportan en frecuencia y se comparan entre los semestres básicos y los de clínicas.
Resultados. Hubo una reorganización de prioridades dentro de cada dominio de la escala, en comparación con lo propuesto originalmente. La mayor frecuencia de respuesta negativa fue de 58 % en el dominio servicio. Varios ítems decayeron al pasar de los semestres básicos a los de clínicas.
Conclusión. Las actitudes de los estudiantes ante los factores que caracterizan el profesionalismo médico, demuestran que existen debilidades importantes que son un desafío para la educación de pregrado y que requieren estrategias que permitan desarrollar las habilidades profesionales dentro del currículo.
Palabras clave: ética profesional; competencia profesional; estudios de validación; liderazgo; traducciones.
Abstract
Introduction: Professionalism is a subject of interest in medical schools around the world. The use of a questionnaire could be useful to assess professionalism in Colombia. The aim was to assess The Penn State University College of Medicine (PSCOM) Professionalism Questionnaire in medical students and its change from basic to clinical settings.
Methods: We completed a cross-sectional survey of 250 medical students using the PSCOM scale. We assessed socioeconomic and academic variables. Attitudes toward professionalism were also measured. Data are reported in frequency and comparisons were made between the basic and the clinical semesters.
Results: We found reorganization in the priorities within each original scale domain in comparison with the original order. The most negative answer was 58% in the service domain. Some items decreased when students went from basic to clinical semesters.
Conclusion: Medical students' attitudes toward factors that define professionalism show important weaknesses. This is a challenge for graduate education and it makes it necessary to introduce strategies to develop professional skills into the curriculum.
Key words: ethics, professional; professional competence; validation studies; leadership; translations.
Introducción
La educación en las facultades de medicina se centra en el desarrollo de las habilidades necesarias para prevenir la enfermedad, mantener la salud, diagnosticar tempranamente la enfermedad y tratarla precozmente1. Wojtczak va mucho más allá y define la profesión como "un cometido moral, una profesión cuyos miembros comulgan con una serie de principios válidos desde el inicio de sus actividades, como el respeto hacia los demás, la empatía, la compasión, la honestidad, la integridad, el altruismo y la excelencia profesional". Estos son, entonces, los principios que definen el profesionalismo médico, el ideal de formación durante el pregrado2. Swick, et al.3,4, describen cuatro principios fundamentales del profesionalismo médico: subordinación de los intereses propios a los del paciente, observancia de los estándares morales y éticos superiores, capacidad de respuesta a las necesidades de la sociedad, y fortalecimiento y desarrollo de los valores humanos, mientras que, The American Board of Internal Medicine5 lo define con seis elementos: altruismo, responsabilidad, excelencia, cumplimiento del deber, honestidad e integridad, y respeto por el otro.
No obstante la importancia de desarrollar estas competencias durante el pregrado, las facultades de medicina han mostrado poco interés en medir y desarrollar las habilidades que hacen parte del profesionalismo médico. En el "Professionalism project" de la American Board of Internal Medicine, se encontró que en Estados Unidos el comportamiento profesional disminuye durante el pregrado6,7. En parte, esto se debe a lo complejo de su definición y a la ausencia de instrumentos objetivos para evaluar el profesionalismo8. Previamente, Blackall, et al.9, desarrollaron el instrumento The Penn State University College of Medicine (PSCOM) Professionalism Questionnaire, con base en los seis criterios establecidos por la American Board of Internal Medicine y lo evaluaron en 765 médicos y 392 estudiantes, con buena validez y confiabilidad. Posteriormente, Bustamante y Sanabria10 adaptaron culturalmente la misma escala al español y la validaron, y obtuvieron resultados similares a los del instrumento original. Como el profesionalismo es un área de interés creciente en la educación médica, instrumentos como el PSCOM pueden ser útiles para medir las actitudes de los estudiantes ante el profesionalismo y los cambios que se sufren durante el pregrado en Colombia, donde esta área ha sido poco explorada.
El objetivo de este estudio fue evaluar las actitudes de los estudiantes de medicina ante los criterios de profesionalismo establecidos por la American Board of Internal Medicine, utilizando el instrumento PSCOM validado al español y observando su cambio entre los semestres básicos y los clínicos.
Materiales y métodos
Este proyecto fue aprobado por el Comité de Ética en Investigación de la Universidad de La Sabana. El instrumento PSCOM fue validado previamente y los detalles metodológicos fueron explicados en profundidad en otra publicación10. Básicamente, la escala se empleó en estudiantes mayores de edad de la Facultad de Medicina de la Universidad de La Sabana, desde el primero hasta el duodécimo semestre.
La invitación a participar voluntariamente fue hecha por uno de los investigadores en cada semestre, durante las reuniones periódicas que se llevan a cabo. Se aplicó simultáneamente un instrumento que valoraba variables demográficas y académicas. La escala consta de seis grupos, cada uno de ellos con seis actitudes, que reflejan los elementos del profesionalismo médico (responsabilidad, altruismo, servicio, excelencia, honestidad e integridad, y respeto). A cada actitud debían responder en dos sentidos; frecuencia de cumplimiento y orden de importancia de cada actitud. Se hizo una recategorización dividiendo las respuestas como negativas, para las respuestas "nunca", "poco" y "algunas veces", y como positivas, para las respuestas "frecuentemente" y "siempre". Los semestres fueron recategorizados como básicos del 1 al 5 y como clínicos del 6 en adelante.
Los datos se tabularon en el programa Excel (Microsoft) y se transcribieron para análisis estadístico al programa Stata 9.0. Las variables categóricas se muestran como frecuencias y, las continuas, como promedio y desviación estándar. Se hizo un análisis descriptivo y de tendencia por semestres, utilizando la prueba de ji al cuadrado, para variables categóricas, y el análisis de varianza ANOVA, para las variables continúas.
Resultados
La invitación a participar se presentó a todos los estudiantes adultos de la Facultad (aproximadamente 700). Se recibieron 286 cuestionarios y se excluyeron 36 (13 %) por información incompleta. Finalmente, se analizaron 250 cuestionarios. Las características de la población se presentan en la tabla 1.

El criterio que tuvo mayor número de respuestas consideradas negativas fue "Participa en procesos de acción correctiva en contra de aquellos que incumplen con los estándares de conducta profesional" del dominio servicio, (58 %), seguido del criterio "Asiste a las reuniones de la facultad, a seminarios y presentaciones de las investigaciones de los estudiantes como demostración de apoyo" del dominio altruismo (50 %) y del criterio "Se toma el tiempo para revisar el trabajo de sus colegas y suministrar comentarios y sugerencias significativas y constructivas para mejorarlo" del dominio responsabilidad (43 %).
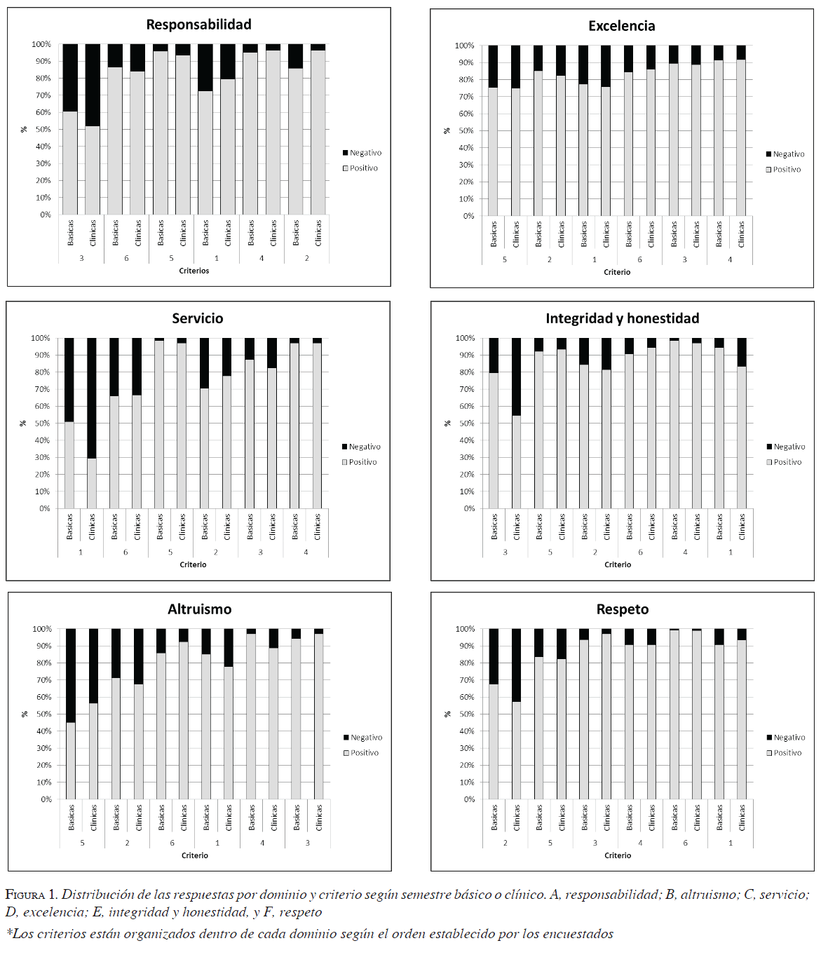
En la figura 1 se muestra la distribución de las respuestas por dominio y por criterio, divididas por semestres básicos y clínicos. Se puede apreciar que siempre se consideró como de mayor importancia en cada dominio, aquel criterio que poseía más respuestas negativas.
Para el dominio responsabilidad, hubo una caída importante del criterio "Se toma el tiempo para revisar el trabajo de sus colegas y suministrar comentarios y sugerencias significativas y constructivas para mejorarlo" desde los semestres básicos a los de clínica (60,5 % a 51,8 %), aunque no fue estadísticamente significativa (p=0,1), pero, se observó un aumento estadísticamente significativo del criterio "Mantiene relaciones médico-paciente sin tratar de sacar provecho económico personal, de la privacidad o ventajas sexuales" (85,9 % a 96,3 %; p<0,05).
Para el dominio altruismo, hubo un aumento importante del criterio "Asiste a las reuniones de la facultad, a seminarios y presentaciones de las investigaciones de los estudiantes como demostración de apoyo" (45,1 % a 56,5 %; p=0,07) y del criterio "Trabaja respetuosamente en colaboración con el equipo en beneficio de proveer un mejor cuidado del paciente o como contribución a la investigación" (85,9 % a 92,6 %; p=0,09) al avanzar de los semestres básicos a los de clínicas, pero, hubo una disminución del criterio "Muestra interés en iniciar y ofrecer ayuda para el desarrollo profesional y personal de un colega" (85,2 % a 77,8 %; p=0,1) y del criterio "Aprecia y respeta la naturaleza diversa de los sujetos de investigación o pacientes y honra dichas diferencias en su trabajo" (97,2 % a 88,9 %; p<0,01).
Para el dominio servicio, hubo una caída significativa del criterio "Participa en procesos de acción correctiva en contra de aquellos que incumplen con los estándares de conducta profesional" (50,7% a 29,6%; p<0,01) y un aumento del criterio "No busca avanzar en su carrera a costa de otros" (70,4 % a 77,8 %; p=0,1).
Para el dominio excelencia, los criterios se mantuvieron estables.
Para el dominio integridad y honestidad, hubo una disminución en el criterio "Informa sobre errores médicos o de investigación" (79,6 % a 54,6 %; p<0,01) y del criterio "Asume su propia responsabilidad personal en la toma de decisiones sobre el cuidado del paciente" (94,4 % a 83,3 %; p<0,01).
Finalmente, para el dominio respeto, hubo una disminución del criterio "Divulga los conflictos de interés en el desarrollo de los deberes y actividades profesionales" (67,6 % a 57,4 %; p=0,09).
Discusión
El profesionalismo se considera actualmente como un conjunto de valores, conductas y relaciones que fundamentan la confianza que el público deposita en los médicos. En gran medida, la calidad de la atención médica depende de las actitudes y conductas del personal de la salud11. El documento The Professionalism Project reveló que, durante el pregrado, los estudiantes de medicina pierden comportamientos profesionales. Patenaude, et al.12, en una cohorte a tres años, observaron que el desarrollo moral durante la carrera de medicina se estancaba en más del 70 % y empeoraba en 13 % de los estudiantes. Sin embargo, no tenemos información local que permita determinar cuál es el estado de los estudiantes respecto a las actitudes profesionales. Los instrumentos para medir el profesionalismo en idioma español son pocos. Esto impide identificar las debilidades del desarrollo profesional durante el pregrado y evaluar las intervenciones que se diseñen para mejorar las habilidades profesionales.
En este trabajo se enfatizaron los seis elementos que conforman el profesionalismo médico según la American Board of Internal Medicine.
En el dominio de responsabilidad, el criterio de mantener relaciones médico-paciente sin tratar de sacar provecho económico personal, de la privacidad o ventajas sexuales, en orden de importancia, fue elegida como el ítem más importante. Beca, et al.13, describieron la forma en la que los estudiantes veían la relación médico-paciente: "Los estudiantes tenemos derecho a tener un paciente con quien aprender, pero siempre y cuando cumplamos con nuestros deberes de tratar bien al enfermo, ser respetuosos y no hacer algo que no sepamos. Aunque lo sepamos, si incomodamos al paciente no debemos hacerlo" y este hallazgo fortalece el papel del estudiante dentro de los equipos de salud. Preocupa que casi el 25 % de los estudiantes no considere el criterio de mantener los estándares científicos y basar las decisiones en evidencia científica y experiencia, como muy positivo y que, aproximadamente, el 45 % no considere relevante revisar el trabajo de los colegas y hacer críticas constructivas en busca del mejoramiento personal.
Para el primer caso, es factible pensar que aún no hay una penetración completa de la filosofía de la medicina basada en la evidencia y la toma de decisiones con base en pruebas dentro de la formación médica en el país, y que todavía se siguen los preceptos de la medicina basada en la "eminencia" o la medicina basada en la "experiencia"14. No obstante, con el paso a los semestres clínicos esta situación mejora y puede ofrecerse, como explicación alterna, el poco uso de la medicina basada en la evidencia en los semestres de básicas. El mensaje fundamental es que el médico debe ganar en destrezas y habilidades para hacer valoraciones independientes de la información científica circundante y, por lo tanto, para poder evaluar la credibilidad de los contenidos. Un claro entendimiento del conocimiento científico subyacente a los problemas que trata, proporcionará un mejor cuidado de los pacientes.
Para el segundo caso, es evidente que la carencia de programas para el desarrollo de las habilidades de comunicación durante la carrera, hace que los estudiantes consideren que las críticas pueden ser mal vistas o mal aceptadas y que es mejor no inmiscuirse en el trabajo de los colegas, perdiéndose así la posibilidad de una evaluación por pares, que es fundamental para el mejoramiento personal y del equipo de salud15,16. Esta situación empeora en los semestres clínicos y puede deberse a la ausencia de un trabajo en equipo dentro de los grupos médicos.
En el dominio altruismo, llama la atención que un número importante de estudiantes (50 %) considera irrelevante la asistencia a las reuniones de la facultad, a seminarios y presentaciones de las investigaciones de los estudiantes como habilidad profesional y que 30 % no considera importante el apoyo al profesorado joven. Durante la práctica profesional, los encuentros académicos y las discusiones abiertas con los más jóvenes alimentan un círculo virtuoso de conocimiento. El estar dispuesto a aprender y ampliar los conocimientos que obtenga por sí mismo o mediante la capacitación para mejorar el desempeño de las actividades que tiene encomendadas, es una de las condiciones básicas para ofrecer una buena atención en salud. Es posible pensar que el desinterés que los estudiantes ven en sus profesores ante estas actividades puede influenciar su percepción, aunque la situación mejora en los semestres clínicos. El 18 % de los encuestados no considera importante iniciar y ofrecer ayuda para el desarrollo profesional y personal de un colega, situación que empeora en los semestres clínicos y que está acorde con lo sugerido para el dominio de responsabilidad.
En el dominio servicio, solo 41,6 % de los encuestados participa de forma activa en los procesos de acción correctiva en contra de aquellos que incumplen los estándares de conducta profesional, circunstancia que se podría interpretar en dos sentidos: el primero, que no se sienten con la suficiente seguridad como para corregir a otros, o segundo, que piensan que si a ellos les sucediera no les gustaría que los pusieran en evidencia.
Debe tenerse en cuenta el rechazo de los médicos a la palabra "error" y que, cuando se presenta, sobreviene un sentimiento de culpa, especialmente si el error ha generado daños en la integridad física del paciente. El 15 % de los encuestados no considera importante ofrecer voluntariamente su experiencia y habilidad para el bienestar de la comunidad, 28 % piensa que es posible avanzar en la carrera a costa de otros y 34 % no encuentra relevante contribuir a la misión de enseñanza.
A pesar de que en otros estudios los estudiantes consideran que el médico debería actuar de acuerdo con principios éticos, con actitud de servicio, humildad, altruismo e integridad17, dichos hallazgos no se reprodujeron en el presente estudio. En un medio donde cada día se reducen las posibilidades de atención y en donde el médico es un agente social que puede generar cambios, la economía de mercado ha hecho mella en la conciencia social del médico y ha dado paso a que se mercantilicen los servicios, dejando de lado los valores éticos y morales consagrados en el juramento hipocrático18.
En relación con el dominio excelencia, 19 % de los encuestados no considera importantes las manifestaciones de compasión dentro del desarrollo profesional, 24,8 % desconoce el liderazgo como una habilidad profesional, 16 % no reconoce la adaptabilidad al cambio como una habilidad profesional importante y 15 % no reconoce sus propias limitaciones. Esto refleja, como se ha repetido en otros apartes, la falta de programas enfocados en el desarrollo de dichas habilidades dentro del currículo médico. El médico está llamado a ejercer labores de liderazgo en su comunidad y requiere de la adaptabilidad al cambio y de la autorregulación dentro de un sistema de salud que cambia bajo las presiones políticas y económicas del entorno. No obstante, encontrar que 91,6 % de los encuestados respeta la autonomía de los pacientes y les ayudan a tomar decisiones informadas, y que 89,2 % promueve la justicia dentro del sistema de salud, es muy alentador pues va en la misma dirección de pensamiento que expresa la Academia Nacional de Medicina, en el prefacio del informe "Ley 100: Reforma y Crisis de la Salud"19.
En relación con el dominio integridad y honestidad, solo el 83,2 % informa sobre los errores médicos y esta situación empeora durante los semestres clínicos. En medicina, el error tiene especial significación ya que se vincula, por lo general, con una actividad que pone en riesgo la vida o la integridad física de los pacientes. Se parte de la base de que el error no es intencional, pero que existen factores que favorecen que la actividad médica sea proclive a que se cometan errores, como el cambio constante de las estrategias diagnósticas y terapéuticas, y la predictibilidad azarosa propia de la biología humana20. Solo un cambio de cultura donde el error se vea como un problema del proceso y no del individuo, puede lograr el cambio de la actitud de ocultar los errores. Solo el 83,2 % de los encuestados participa en actividades enfocadas a lograr una excelencia en el cuidado de los pacientes y 89,6% asume su propia responsabilidad en la toma de decisiones sobre la atención del paciente. Los sistemas de mejoramiento de la calidad, tan socorridos en otras áreas como la aviación y la administración, deben ser incluidos como estrategias que los médicos deben aprender y aplicar como parte de su desempeño profesional.
Finalmente, en relación con el dominio respeto, 17 % no está comprometido en la implementación de un cuidado rentable del paciente y 37 % no divulga los conflictos de intereses en el desarrollo de los deberes y actividades profesionales. La formación del médico no hace énfasis en la visión comunitaria del cuidado y el uso racional de los recursos del sistema, ni en la posición de conflicto que se adquiere cuando se participa en actividades de la industria farmacéutica y los efectos que esta tiene sobre los patrones de prescripción21,22. Sin embargo, el 92 % de los encuestados considera importante la defensa de los intereses del paciente o sujeto de investigación por encima de los intereses personales, lo que va en el mismo sentido de la literatura actual23. El principio de que no todo lo que "se puede" se "debe hacer", establece el límite entre lo posible y lo aceptable.
Es importante hacer claridad sobre las debilidades de este estudio. La primera se deriva del instrumento, pues este solo mide percepciones y no acciones. Es esperable que la situación sea peor a la presentada, por lo que se sabe de otros estudios similares en que se ha comparado lo que piensan los médicos con lo que en realidad hacen24. En segundo lugar, esta encuesta fue de carácter voluntario. Se sabe que aquellos que responden encuestas de este tipo tienden a ofrecer calificaciones más altas en relación con los que no responden, lo que sugiere también que la situación puede ser peor que la presentada25. En tercer lugar, los resultados provienen de una universidad privada de la ciudad capital, por lo cual no se refleja la situación global del país. Todas estas debilidades deben tenerse en cuenta al momento de analizar las conclusiones.
Finalmente, es posible decir que las actitudes de los estudiantes ante los factores que conforman el profesionalismo médico, demuestran que existen debilidades importantes que son un desafío para la educación de pregrado y que se requieren estrategias que permitan desarrollar las habilidades profesionales dentro del currículo.
Financiación: Universidad de La Sabana, Chía, Colombia.
Referencias
1 Quintana O. Los objetivos de la medicina. Rev Calidad Asistencial. 2003;18:132-5. [ Links ]
2 Wojtczak A. Profesionalismo médico: una problemática global. Educ Med. 2006;9:144-5. [ Links ]
3 Swick HM, Szenas P, Danoff D, Whitcomb ME. Teaching professionalism in undergraduate medical education. JAMA. 1999;282:830-2. [ Links ]
4 Swick HM. Toward a normative definition of medical professionalism. Acad Med. 2000;75:612-6. [ Links ]
5 American Board of Internal Medicine. Project Professionalism. Fecha de consulta: 3 de noviembre de 2013. Disponible en: http://www abimfoundation org/Resource-Center/Bibliography/~/media/Files/ResourceCenter/Projectprofessionalism ashx [serial online] 2001. [ Links ]
6 Morales-Ruiz J. Formación integral y profesionalismo médico: una propuesta de trabajo en el aula. Educ Med. 2009;12:73-82. [ Links ]
7 Wynia MK, Latham SR, Kao AC, Berg JW, Emanuel LL. Medical professionalism in society. N Engl J Med. 1999;341:1612-6. [ Links ]
8 Ginsburg S, Regehr G, Hatala R, McNaughton N, Frohna A, Hodges B, et al. Context, conflict, and resolution: A new conceptual framework for evaluating professionalism. Acad Med. 2000;75:S6-11. [ Links ]
9 Blackall GF, Melnick SA, Shoop GH, George J, Lerner SM, Wilson PK, et al. Professionalism in medical education: The development and validation of a survey instrument to assess attitudes toward professionalism. Med Teach. 2007;29:e58-62. [ Links ]
10 Bustamante E, Sanabria A. Adaptation of The Penn State College of Medicine Scale to assess professionalism in medical students to the Spanish Language. Biomédica. 2014;34:1-25. [ Links ]
11 Páez X. El profesionalismo en medicina o la buena práctica. Rev Venez Endocrinol Metab. 2008;6:1. [ Links ]
12 Patenaude J, Niyonsenga T, Fafard D. Changes in students' moral development during medical school: A cohort study. CMAJ. 2003;168:840-4. [ Links ]
13 Beca JP, Browne F, Valdebenito C, Bataszew A, Martínez MJ. Student patient relationship from the patient's point of view. Rev Med Chil. 2006;134:955-9. [ Links ]
14 Isaacs D, Fitzgerald D. Seven alternatives to evidence based medicine. BMJ. 1999;319:1618. [ Links ]
15 Stroud L, Wong BM, Hollenberg E, Levinson W. Teaching medical error disclosure to physicians-in-training: A scoping review. Acad Med. 2013;88:884-92. [ Links ]
16 Crommelinck M, Anseel F. Understanding and encouraging feedback-seeking behaviour: A literature review. Med Educ. 2013;47:232-41. [ Links ]
17 García-Huidobro D, Núñez F, Vargas P, Astudillo S, Hitschfeld M, Gennero R, et al. Undergraduate medical students' expectative of their desired profile as medical doctors. Rev Med Chil. 2006;134:947-54. [ Links ]
18 Patiño J. Ley 100 de 1993: reforma y crisis de la salud. Medicina. 1999;21:1-4. [ Links ]
19 Comisión de Salud de la Academia Nacional de Medicina. Ley 100 de 1993: reforma y crisis de la salud. Primera edición. Bogota:Academia Nacional de Medicina de Colombia; 1999. [ Links ]
20 Gluck PA. Medical error theory. Obstet Gynecol Clin North Am. 2008;35:11-7. [ Links ]
21 Tonelli MR. Conflict of interest in clinical practice. Chest. 2007;132:664-70. [ Links ]
22 Camilleri M, Parke DW. Perspective: Conflict of interest and professional organizations: Considerations and recommendations. Acad Med. 2010;85:85-91. [ Links ]
23 Sox H. Annals of Internal Medicine's Harold Sox, MD, discusses physician charter of professionalism. Interview by Brian Vastag. JAMA. 2001;286:3065-6. [ Links ]
24 Williams J. Public perception Vs. the facts. Fecha de consulta: 1º de mayo de 2014. Disponible en: http://makewealthhistory.org/2013/07/11/public-perception-vs-the-facts/. [ Links ]
25 Johnson TP, Wislar JS. Response rates and nonresponse errors in surveys. JAMA. 2012;307:1805-6. [ Links ]












