Services on Demand
Journal
Article
Indicators
-
Cited by SciELO -
Access statistics
Related links
-
Cited by Google -
Similars in
SciELO -
Similars in Google
Share
Revista Finanzas y Política Económica
Print version ISSN 2248-6046
Finanz. polit. econ. vol.7 no.1 Bogotá Jan./June 2015
https://doi.org/10.14718/revfinanzpolitecon.2015.7.1.7
ARTÍCULO DE REFLEXIÓN
DOI: http://dx.doi.org/10.14718/revfinanzpolitecon.2015.7.1.7

EL CONTROL DE SISTEMAS DINÁMICOS CAÓTICOS EN ECONOMÍA: APLICACIÓN A UN MODELO DE HIPERINFLACIÓN1
CONTROL OF CHAOTIC DYNAMICAL SYSTEMS IN ECONOMICS: APPLICATION IN A HYPERINFLATION MODEL
O CONTROLE DE SISTEMAS DINÂMICOS CAÓTICOS EM ECONOMIA: APLICAÇÃO A UM MODELO DE HIPERINFLAÇÃO
GRACIELA CHAPARRO GUEVARA a
LORENZO ESCOT MANGAS b
Universidad Complutense de Madrid, Madrid, España.
a Doctor (c) en Economía. Magíster en Economía, Especialista en Matemática Aplicada. Economista. Dirección de correspondencia: Universidad Complutense de Madrid, Campus de Somosaguas, Pozuelo de Alarcón 28223, Madrid, España. Correo electrónico: graciech@ucm.es
b Doctor en Economía y Magíster en Análisis Económico y Economía Financiera. Profesor titular de Economía Aplicada, Departamento de Política Económica, Facultad de Estudios Estadísticos, de la Universidad Complutense de Madrid, Madrid, España. Dirección de correspondencia: Avda. Puerta Hierro, s/n 28040, Madrid, España. Correo electrónico: escot@ucm.es
Recibido: 30 de julio de 2014. Concepto de evaluación: 25 de noviembre de 2014. Aprobado: 27 de noviembre de 2014
RESUMEN
El presente artículo tiene por objetivo estudiar el control del comportamiento caótico de un sistema dinámico de hiperinflación empleando el método propuesto por Ott, Grebogy y Yorke (1990) (método OGY), el cual busca controlar la dinámica caótica de un sistema perturbando levemente alguno de sus parámetros. El método se ejemplificará por medio de la aplicación logística, y posteriormente se empleará en un modelo de hiperinflación (Punita, 2011) para estabilizar los precios en una órbita estacionaria de periodo uno.
Palabras clave: control del caos, método OGY, hiperinflación.
JEL: C61, E31, E37, E52
ABSTRACT
This article examines control of chaotic behavior in a dynamic hyperinflation system using a method proposed by Ott, Grebogi, and Yorke (1990) (OGY method), which seeks to control the chaotic dynamic by slightly perturbing some of the system's parameters. An example of the method is given through logistic application, and it is subsequently applied in a hyperinflation model (Punita, 2011) to stabilize prices in a stationary one-period orbit.
Keywords: control of chaos, OGY method, hyperinflation.
RESUMO
O presente artigo tem como objetivo estudar o controle do comportamento caótico de um sistema dinâmico de hiperinflação por meio do método proposto por Ott, Grebogy e Yorke (1990) -método OGY-, o qual busca controlar a dinâmica caótica de um sistema perturbando levemente algum de seus parâmetros. O método se exemplificará por meio da aplicação logística; em seguida, será empregado num modelo de hiperinflação (Punita, 2011) para estabilizar os preços numa órbita estacionária de período um.
Palavras-chave: controle do caos, método OGY, hiperinflação.
INTRODUCCIÓN
El estudio de los sistemas dinámicos caóticos se enmarca en el campo de la dinámica no lineal, y su interés se centra en el análisis de los procesos cuya evolución temporal es irregular e impredecible, a pesar de estar regida por una ley de movimiento determinista que describe la evolución temporal del sistema. La dinámica caótica busca explicar el origen de la irregularidad observada en una serie temporal. Por su parte, el control de los sistemas caóticos intenta suprimir dicha irregularidad -exógena o endógena al sistema- estabilizando el sistema generador de la serie en un movimiento regular.
Existen múltiples aportes que tratan de aplicar los sistemas caóticos al estudio de la economía (Faggini, 2009: Guégan, 2009; Fernández, Escot y Grau-Carles, 2012; Fernández y Grau-Carles, 2014). Algunas de estos se centran en la modelización dinámica de diferentes variables económicas, que intentan proporcionar una explicación endógena a la irregularidad y aperiodicidad de estos fenómenos económicos (ciclo y crecimiento económico, redistribución de la renta, evolución de los precios de los activos financieros y mercados de capitales, etc.). Otro tipo de contribuciones tienen un carácter más empírico y tratan de analizar las series temporales económicas, a fin de detectar comportamientos caóticos en el sistema dinámico generador de dichas series, aunque este sea desconocido.
El presente trabajo se ubica entre un tercer tipo de aportes, todavía no muy numeroso, que busca aplicar las técnicas del control de sistemas caóticos al estudio de la dinámica económica. En este artículo mostraremos que esta teoría del control -una rama de la matemática aplicada y de la ingeniería que se ocupa del análisis y el diseño de sistemas de control- puede aplicarse al diseño de políticas económicas que persigan estabilizar la economía; esto es: la principal motivación del presente artículo es mostrar cómo la teoría del control de sistemas dinámicos caóticos permite deducir reglas óptimas de intervención de política económica y cómo puede utilizarse para sustentar teóricamente el uso de reglas de política monetaria.
Los primeros trabajos que emplearon estas técnicas de control en sistemas dinámicos económicos podemos hallarlos en Tustin (1953), Phillips (1954), Timbergen (1952) y Allen (1967). Un campo importante de aplicación se encuentra en el control óptimo: en áreas como la economía de la empresa se ha empleado para la planificación de la producción y para el control de inventarios, y existe también gran cantidad de trabajos de aplicación a sistemas macroeconómicos (Tena, 1990). Asimismo, las técnicas de la teoría del control moderna se han empleado en diferentes modelos económicos, como en el caso de Barbolla y Gómez (1987), quienes controlan un modelo macroeconómico a través del uso datos de la economía española.
Sin embargo, existe relativamente poca investigación en el control de sistemas dinámicos caóticos en economía, en comparación con los resultados provenientes de otras áreas de la ciencia. Allí, su importancia como tema de investigación puede apreciarse por el número de artículos y libros publicados cada año2, a partir del trabajo seminal de Ott, Grebogy y Yorke (1990) (OGY), el cual busca estabilizar una órbita periódica inestable de un atractor extraño perturbando levemente un parámetro del sistema.
En general, los diferentes métodos de control del caos (Cheng y Dong, 1993) buscan hacer que un sistema dinámico caótico tenga un comportamiento deseado o buscado. En efecto, existen situaciones en las que el comportamiento caótico no es deseado, por lo que la estabilización de la dinámica del sistema, mediante la eliminación de los comportamientos irregulares, se convierte en un objetivo deseable. Es en estos casos cuando el control del caos resulta aconsejable.
La estabilización de los comportamientos caóticos implica, en general, estabilizar alguno de los múltiples equilibrios dinámicos periódicos o cuasiperiódicos existentes en la dinámica del sistema en régimen de comportamiento caótico. Estos equilibrios regulares se encuentran en el interior de los atractores caóticos o extraños, aunque con el caos se han convertido en intrínsecamente inestables (Gandolfo, 2009, pp. 549-552).
Existen diferentes contribuciones que aplican las técnicas de control del caos a modelos no lineales de dinámica económica. Holyst et al. (1996, 1997, 2000), Ahmed y Hassan (2000), Salarich y Alasty (2009) y Chen y Chen (2007) aplican el control del caos a modelos microeconómicos de competencia empresarial. Por su parte, Haag, Hagel y Sigg (1997) usan técnicas de control para estabilizar sistemas económicos urbanos. Kaas (1998), Bala, Majumdar y Mitra (1998) y Kopel (1997) han aplicado los métodos de control a modelos de desequilibrios dinámicos. Mendes y Mendes (2008) aplican el método OGY un modelo de ciclo endógeno de generaciones solapadas. Finalmente, Wieland y Westerhoff (2005) muestran cómo utilizar diferentes métodos de control (incluido el OGY) para estabilizar la evolución de los tipos de cambio.
En este artículo se estudiará el control de comportamiento caótico de un sistema dinámico empleando el método OGY sobre un modelo de hiperinflación (Punita, 2011) compuesto por cuatro ecuaciones: a) demanda de saldos reales, b) inflación-dinero, c) déficit presupuestal del gobierno y d) ingresos por impuesto inflacionario. Estas cuatro ecuaciones se resumirán en la especificación de una ecuación dinámica de la inflación, en la que los movimientos en los precios actuales influirán en los cambios de los precios futuros, en un proceso de realimentación que generará soluciones estables, soluciones cíclicas y soluciones caóticas. El objetivo del control será la estabilización de los precios en un ciclo de periodo uno (solución estacionaria).
CONTROL DEL CAOS POR EL MÉTODO OGY
En general, la dinámica emplea el concepto de atractor para referirse al comportamiento en el cual se estabiliza un sistema dinámico en el largo plazo. Técnicamente, un atractor de un sistema dinámico es un subconjunto del espacio de fases que es invariante bajo la acción del sistema, es decir, las trayectorias o soluciones de un sistema dinámico que parten de condiciones iniciales dentro del atractor permanecerán confinadas dentro de él. Los atractores son equilibrios dinámicos estables del sistema, puesto que son los estados en los cuales el sistema se estabiliza y permanece de manera indefinida o hasta que se produzca una alteración externa; por el contrario, los repulsores representan equilibrios dinámicos inestables.
Los atractores están constituidos por estados o puntos del sistema. Una secuencia de estados o puntos genera una órbita que será recorrida por la trayectoria o solución del sistema a partir de una condición inicial. Por tanto, la forma en que esté constituido un atractor (por un punto o por un conjunto de puntos) caracterizará el comportamiento del sistema en el largo plazo. Los atractores pueden ser:
- De punto fijo. Compuesto por un único punto que representa un estado estacionario del sistema. La órbita de un punto fijo es una secuencia constante del mismo estado del sistema.
- De ciclo límite. La órbita del sistema está compuesta por un conjunto finito de puntos que la solución recorre de forma periódica. Representa un estado oscilatorio del sistema.
- Toro. La órbita está compuesta por un conjunto finito de puntos que la solución recorre de forma cuasiperiódica.
- Extraño. La órbita del sistema está compuesta por un número infinito de puntos que la solución recorre de forma aperiódica; esto es, las trayectorias no pasan o repiten su tránsito por puntos o estados de la órbita que ya habían sido visitados. Estas soluciones muestran irregularidad en su movimiento.
Este comportamiento aperiódico e irregular generado por un sistema dinámico determinista, cuando queda atrapado en un atractor extraño, se conoce como caos determinista y es propio de los sistemas dinámicos no lineales. En efecto, el único equilibrio dinámico estable al que puede llegar un sistema dinámico lineal es al de un atractor de tipo punto fijo, por lo que solo incluyendo no linealidades en el sistema es posible que aparezcan comportamientos dinámicamente más ricos y complejos (ciclos límites, toros o caos).
Una característica importante de los sistemas dinámicos caóticos es que muestran distintos tipos de comportamiento a largo plazo cuando se modifican los valores de los parámetros del sistema. En general, los diferentes atractores se estabilizan o desestabilizan (se convierten en repulsores) según el valor que toman los parámetros que definen la dinámica del sistema. En este sentido, si la irregularidad de las soluciones proviene de algún valor concreto de un parámetro, este podrá ser ajustado levemente para que desaparezca el comportamiento caótico, y de esta forma corregir los movimientos irregulares producidos por el sistema cuando se encuentra en régimen de comportamiento caótico. A este procedimiento se le conoce como control del caos y permite, como se ha comentado, estabilizar o convertir un comportamiento irregular en un comportamiento periódico y regular, esto es, alejar al sistema del atractor extraño lo suficiente como para que el nuevo equilibrio pase a ser un punto fijo, un atractor periódico o uno cuasiperiódico.
Dentro de los métodos de control del caos existen diferentes alternativas:
- Método OGY (Ott, Grebogy y Yorke, 1990). Es un método de control local para estabilizar órbitas periódicas inestables que se encuentran en un atractor extraño. La regla de control del método OGY implica cambiar alguno de los parámetros del sistema; sin embargo, esta regla solo actúa cuando el sistema pasa cerca de la órbita que se quiere estabilizar, lo que permite aplicar el control sin necesidad de realizar grandes alteraciones en los parámetros del modelo.
- Targeting method (Shinbrot et al., 1990). Es un método de control global del caos que, a su vez, se subdivide en forward targeting method y forward-backward method.
- Método GM (Güémez y Matías, 1993). Método que busca estabilizar una órbita a través de pulsos periódicos proporcionales al estado del sistema.
- Método DFC (delayed feedback control) (Pyragas, 1992). Método de control del caos aplicado a sistemas en tiempo continuo y que consiste en agregar una señal lineal de realimentación a la variable del sistema.
- Método CF (constant feedback) (Parthasarathy y Sinha, 1995; Wieland, 2002). Modelo aplicado a sistemas en tiempo discreto.
Descripción del método OGY
El artículo de Ott, Grebogi y Yorke (1990) expuso por primera vez un procedimiento de control del caos. Este método consiste básicamente en aplicar una pequeña perturbación a un parámetro del sistema cuando una trayectoria se acerque o pase de forma natural por una órbita periódica inestable del atractor extraño, a fin de estabilizarla allí. Este procedimiento usa esencialmente tres características de los atractores extraños que hacen precisamente que el sistema pueda ser controlado:
- Sensibilidad a las condiciones iniciales. Una característica importante de los atractores extraños es que las soluciones dentro del atractor son sensibles a las condiciones iniciales; es decir, dos trayectorias en el espacio de fases que empiezan en condiciones iniciales próximas se separarán de manera exponencial a medida que transcurre el tiempo. Este comportamiento ocurre básicamente en sistemas dinámicos no lineales, en los cuales la presencia de términos o magnitudes que interactúan de forma multiplicativa conduce a la falta de proporcionalidad entre los valores iniciales y los valores finales del sistema (o entre la causa y el efecto), lo cual deriva en que pequeños cambios en los valores iniciales provoquen grandes cambios en los resultados finales.
- Existencia de órbitas periódicas inestables. Dentro de un atractor extraño existirá una cantidad infinita de puntos periódicos inestables arbitrariamente cerca de cualquier otro punto del atractor; es decir, los puntos pertenecientes a las órbitas periódicas (puntos fijos, ciclos límite) seguirán presentes en un atractor extraño, pero serán puntos inestables. Por el resultado del teorema de Ly y Yorke (1975), las órbitas periódicas inestables dentro de un atractor extraño podrán ser de cualquier periodo.
- Ergodicidad.La hipótesis del movimiento ergódico fue propuesta por Boltzman en 1871 y de acuerdo con ella, todos los movimientos de un sistema pasan arbitrariamente cerca de cualquiera de sus estados posibles si se espera un tiempo suficiente. Según esta hipótesis, durante su evolución temporal, una trayectoria del sistema dinámico recorrerá secuencialmente todos los puntos de cada una las órbitas periódicas inestables alojadas en el atractor extraño.
De acuerdo con estas tres propiedades, el control de una trayectoria caótica se realizará cuando esta se aproxime ergódicamente a una órbita periódica inestable deseada que se encuentra en el atractor; en este momento se aplicará una pequeña perturbación al parámetro del sistema, lo que hará que la trayectoria se mueva hacia la vecindad de la órbita periódica deseada y se estabilice allí. La sensibilidad a las condiciones iniciales hará posible alterar el comportamiento del sistema mediante pequeñas perturbaciones en los parámetros.
Supóngase que desea estabilizarse una trayectoria caótica en una órbita periódica inestable del sistema, por ejemplo, una órbita periódica de periodo uno o punto fijo del sistema. Este punto tiene asociada una estructura geométrica, esto es, una dirección o variedad estable y una dirección o variedad inestable. Las trayectorias son atraídas hacia el punto fijo siguiendo la variedad estable y son repelidas siguiendo la variedad inestable. La idea básica es realizar pequeñas perturbaciones lineales sobre el parámetro del sistema para llevar esta trayectoria, siguiendo la variedad estable del punto fijo deseado y alejándola de la variedad inestable. Esto solo puede lograrse si la trayectoria se encuentra en la región de control, esto es, en un pequeño vecindario del punto fijo. Cuando la trayectoria se encuentra en esta región, se activa la ley de control que actúa sobre el parámetro del sistema, en tanto la trayectoria caótica, siguiendo la dirección estable, se estabilizará en el punto fijo del sistema. En caso de que no sea activada la ley de control, la trayectoria continuará con su movimiento caótico natural.
Ecuaciones de control
Se tiene el sistema dinámico discreto:

Donde
es una función suave de sus variables. La ecuación [1] indica que el estado actual del sistema depende de su estado anterior y del valor del parámetro p. El fundamento de la aplicación del método OGY es la variación controlada del parámetro del sistema (p), cuando se encuentre en una pequeña proximidad de su valor nominal pO. Esta variación estará restringida dentro de un rango:
El procedimiento consistirá en aproximar linealmente la ecuación [1] en un punto fijo inestable del sistema (xO, pO):

Donde A es una matriz jacobiana cuyas derivadas parciales serán evaluadas en el punto fijo (xO, pO) y B es un vector n-dimensional:
El control se introduce en el sistema, suponiendo que el parámetro p es una función lineal de la variable Xn:

Donde KT es una matriz 1 x n-dimensional y se determina de forma que el punto fijo (xO, pO) sea estable. Al sustituir [3] en [2], se obtiene:

El punto fijo será estable si la matriz (A-BKT) es asintóticamente estable, es decir, si todos los valores propios de A son en módulo menor que la unidad. La ley de control [3] se activa cuando la trayectoria Xn se aproxima a la pequeña vecindad de la órbita periódica elegida, es decir, cuando
, con lo cual la perturbación p-pO será pequeña. De otra forma, la trayectoria del sistema evolucionará de acuerdo con el valor nominal del parámetro pO. Empleando la técnica del emplazamiento de los polos, se determina el valor de KT para que la matriz tenga valores propios (llamados polos reguladores) previamente especificados.
Técnica del emplazamiento de polos
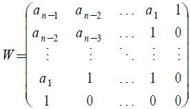
El problema del emplazamiento de polos consistirá en determinar el valor del vector KT de forma tal que los polos reguladores o valores propios {μ1, ... μn} de la matriz (A-BKT) tengan unos valores especificados previamente. De acuerdo con Ogata (1998), Romeiras, Grebogi, Ott y Dayawansa (1992) y Solé y Manrubia (2001), una condición necesaria y suficiente para que la matriz (A - BKT) tenga polos reguladores ubicados en posiciones elegidas de forma arbitraria es que el sistema sea de estado completamente controlable, es decir, que la matriz de controlabilidad C n X n tenga rango n3:

Si el sistema es de estado completamente controlable, entonces todos los valores propios de la matriz A pueden ubicarse arbitrariamente. La solución al problema del emplazamiento de polos está dada por la fórmula de Ackermann:
Donde T = CW, y
Donde {a1, ..., an} son los coeficientes del polinomio característico de A:

Por su parte, {a1, ..., an} son los coeficientes del polinomio característico deseado (A - BKT):

De acuerdo con Romeiras et al. (1992), la elección de la matriz de ganancias de realimentación KT se puede hacer de diferentes formas. En principio, cualquier elección de los polos reguladores dentro del círculo unidad es válida. Sin embargo, como con la variación del parámetro de control se busca llevar la trayectoria caótica a la dirección estable de la órbita periódica elegida en cada iteración, entonces una elección adecuada corresponderá a igualar los valores propios {μ1, ... μn} de la matriz (A - BKT), llamados polos reguladores, con los valores propios estables de la matriz A (λs(A)), a la vez que igualar a 0 los valores propios inestables de A (λu(A)). Esto hará que KT tenga una dirección paralela a la dirección estable del punto periódico elegido.
El método OGY de control del caos tiene la desventaja de que al linealizar alrededor de un punto fijo pueden incrementarse los errores de aproximación y aumentarse el nivel de ruido del sistema. Su ventaja es que puede aplicarse tanto a sistemas dinámicos en tiempo continuo usando la sección de Poincaré como a series temporales. A continuación se usará el método OGY para estabilizar una trayectoria caótica de la aplicación logística en una órbita de periodo 1 y luego en una órbita de periodo 2.
Control de la aplicación logística
Dada la aplicación logística:

Esta es una de las aplicaciones más estudiadas en dinámica caótica y representa un sistema dinámico discreto de una dimensión. Su espacio de fases es el intervalo [0,1] de la recta real. El parámetro r gobierna el comportamiento del sistema reduciendo o incrementando el valor de x; por tanto, el cambio en su valor hará que la ecuación tenga distintos tipos de comportamiento (gráfica 1):

- 0 < r < 1, el sistema se estabiliza en un atractor de punto fijo: xO = 0.
- 0 < r < 3, el atractor es un punto fijo diferente de cero: xO = 1 - 1/r.
- 3 < r < 1 + √6, el punto fijo se torna inestable y el atractor es una órbita estable de periodo 2.
- A medida que va aumentando el valor de r , los puntos que forman cada órbita irán perdiendo su estabilidad y darán paso a la formación de un nuevo ciclo estable cuyo periodo se habrá doblado: pasará de un ciclo de periodo 4 a uno de periodo 8, 16, 32… A este proceso se le llama bifurcación o doblamiento de r∞ ≈ 3.569, después del cual no puede seguirse ninguna pauta de doblamiento de periodo.
- r∞ < r ≤ 4, la ecuación tiene infinitos puntos periódicos inestables y las soluciones no convergirán a ninguna órbita estacionaria o periódica. El nuevo equilibrio dinámico será un atractor extraño.
Cuando el sistema se encuentra bajo régimen caótico, los atractores de punto fijo y los ciclos límite de periodo finito seguirán existiendo como equilibrios dinámicos, pero serán inestables y conformarán un conjunto denso en el intervalo [0,1]. Siguiendo a Lai (1994), estabilizaremos una trayectoria caótica de la aplicación logística en una órbita de periodo uno x* = 0,7368 (figura 4) y luego en una órbita de periodo dos (figura 5) con componentes x(1) = 0,3737 y x(2) = 0,88944. Se usará el valor nominal de rO = 3,8 para el cual la aplicación muestra comportamiento caótico (gráfica 2).




Como se mencionó, en el atractor extraño se encuentra una cantidad infinita de órbitas periódicas inestables, por lo que puede elegirse cualquiera de ellas para estabilizar el comportamiento caótico del sistema (gráfica 3).
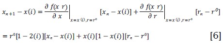
El parámetro r será graduado dentro de un pequeño rango alrededor del valor nominal [rO δ, rO + δ], esto es, [3,8 - δ, 3,8 + δ] con δ << 1. La perturbación máxima elegida es δmax = 0,005. Como el movimiento dentro de un atractor caótico es ergódico, una trayectoria con condición inicial arbitraria xO y con probabilidad unitaria pasará cerca de la vecindad de la órbita periódica elegida. Debido a la sensibilidad a las condiciones iniciales, la trayectoria rápidamente se desviará de la órbita periódica. El control hará que con la variación del parámetro la trayectoria permanezca en la vecindad de la órbita periódica y se estabilice en ella. Llamando x(i) a la órbita periódica elegida, la dinámica de la aplicación logística linealizada en la vecindad de esta órbita será:

La ley de control se elige de tal forma que xn+1 se aproxime a la vecindad de x(i) en la siguiente iteración; por lo tanto, xn+1 - x(i) = 0 , y despejando se obtiene:

La ley de control [7] se activa cuando la trayectoria xn aparece en la pequeña vecindad de la órbita periódica elegida x(i), es decir, cuando δxn = [xn - x(i)] << 1 y, por lo tanto, la perturbación δrn es pequeña. De otra forma, el sistema evolucionará de acuerdo con el valor inicial del parámetro ro .
La diferencia en el cálculo de la ley de control de un mapa de dimensión uno y un mapa de dos o más dimensiones es que las direcciones estable e inestable de las órbitas periódicas elegidas para estabilizar el comportamiento caótico tornarán más complicado el cálculo del algoritmo de control.
CONTROL DE MODELO DE HIPERINFLACIÓN
Punita (2011) presenta un modelo de hiperinflación en el que el dinero y los precios exhiben comportamiento caótico. La especificación consta de tres parámetros, los cuales, dependiendo del valor que tomen, darán lugar a un comportamiento estable de los precios (convergiendo a un punto fijo o a un ciclo límite) o a un comportamiento inestable (oscilando de forma caótica). La formulación del modelo se explica a continuación.
Demanda de saldos reales. La función de demanda de dinero se formula bajo la hipótesis de que una variación en los saldos reales depende principalmente de la variación en la tasa de inflación:

Donde
es la demanda real de dinero en el periodo t, e es la base de los logaritmos naturales, p(t) es la tasa de inflación en el periodo t y b > 0 es una constante. La elasticidad de la demanda de saldos reales respecto a la tasa de inflación es -bp.
Inflación-dinero. El vínculo entre inflación y dinero establece un proceso dinámicamente inestable por medio del cual la oferta monetaria estimula o provoca la inflación:

Donde m(t) es la tasa de crecimiento de la oferta monetaria.
Déficit presupuestal del Gobierno. Durante la hiperinflación, este déficit está relacionado con el crecimiento de la oferta monetaria, debido a que la cantidad de dinero se incrementa en una gran cantidad para que el gasto del Gobierno en términos nominales (G) sea cubierto con recursos reales; del mismo modo, los ingresos tributarios en términos nominales (T) caen rápidamente, debido a los atrasos en el cálculo y el pago de impuestos. Por lo tanto, el déficit presupuestario (BD) está definido como:

Durante la hiperinflación, la financiación del déficit con deuda o con préstamos es limitada, lo que implica que el Gobierno no tenga otra alternativa que imprimir dinero para financiar su déficit. Así, se tiene:

Donde ΔM(t) es el incremento en el stock de dinero en el periodo t. Al dividir [11] por la oferta de dinero en el periodo t, M(t), se obtiene:

Puede verse que las altas tasas de crecimiento del dinero m(t) se originan en un intento de financiación del déficit presupuestario.
Ingresos por impuesto inflacionario. Cuando el Gobierno financia su déficit imprimiendo dinero y el público lo agrega a su posesión de saldos nominales para mantener constante el valor real de sus saldos monetarios, se dice que el Gobierno está financiándose a través de un impuesto inflacionario T(t)/P(t), que corresponde al producto de la tasa de impuesto (la tasa de inflación) y el objeto del impuesto (la base monetaria real):

El ingreso total es máximo cuando la primera derivada de esta expresión con respecto a P(t) es 0 y la segunda derivada es negativa. Por lo tanto, la tasa de impuesto sobre los saldos monetarios reales -por ejemplo, la tasa de inflación- que produce los ingresos máximos por inflación fiscal en [14] es igual a (1/b). La relación de los ingresos de la tasa de inflación recogidos en términos reales con el déficit presupuestario medido en términos nominales se asume con un rezago de un periodo en la recepción del impuesto. La ecuación [14] se multiplica por P(t-1) para obtener los ingresos de la tasa de inflación en términos nominales. Esto produce la siguiente ecuación:

Dinámica caótica de la hiperinflación
El ingreso máximo recibido por el Gobierno estaría en la tasa de inflación óptima p* = (1/b). Una mayor tasa de inflación no produciría proporcionalmente mayores ingresos, pues los saldos monetarios reales disminuirían en respuesta a tasas de inflación más altas; así, una mayor tasa de inflación daría menores ingresos al Gobierno para financiar su déficit. Cuando esto ocurre, el déficit empezaría a expandirse, como también lo haría la tasa de crecimiento del dinero; en consecuencia, la economía tendría inflación a tasas sucesivamente mayores, lo cual generaría un patrón de hiperinflación donde la evolución temporal de los precios sería creciente y explosiva. Esta dinámica puede observarse al sustituir [16] en [9] para producir la siguiente ecuación en diferencias de primer orden para la tasa de inflación:

Haciendo las siguientes dos sustituciones:

Se obtiene el siguiente modelo caótico de inflación con tres parámetros:

Donde φ representa la ratio entre el gasto del gobierno y la oferta monetaria y θ indica la ratio entre el nivel de inflación en el periodo anterior y la oferta monetaria en el periodo t. Ambas variables son exógenas a la dinámica de la economía, en la medida en que su evolución viene determinada por las decisiones de política fiscal y monetaria, y en este sentido pueden considerarse parámetros de control del sistema dinámico. Con este modelo puede observarse cómo los precios de una economía en condiciones de hiperinflación pueden seguir evoluciones temporales distintas de la creciente y explosiva; es decir, los precios pueden converger hacia un atractor de punto fijo, oscilar alrededor de un ciclo límite o exhibir comportamiento caótico (gráfica 6).

El objetivo del control será estabilizar los precios en un ciclo de periodo uno. Siguiendo el método OGY para el control del caos, estabilizaremos los precios en el punto fijo pO ≈ 0,195 (gráfica 7) para un valor nominal del parámetro θO = 3,4, con φ = 0,7 y b = 1,3. La perturbación máxima usada es δmax = 0,2.

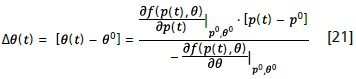
Al linealizar p(t+1) =φ -θ p(t)e-bp(t) en torno a un punto fijo (pO, θO) se obtiene:

En este punto, elegimos el control Δθ (t) =θ [ (t-) θO] de forma que en la iteración p(t+1) la trayectoria caótica llegue al punto fijo, es decir, p(t+1) - pO = 0. De esta forma, puede despejarse:

Por tanto:

La ley de control [22] constituye una regla de política monetaria para la estabilización de la hiperinflación en el modelo presentado. La regla establece que las variaciones en la política monetaria (variaciones enθ ) dependen de la desviación de la inflación respecto a la inflación que quiere estabilizarse; así, cuando la inflación sea mayor que la inflación objetivoθ , subirá, es decir, la política monetaria debe hacerse restrictiva según [18b], mientras que cuando la inflación esté por debajo de la inflación objetivo la política, debe hacerse expansiva.
Aplicando la ley de control [22] es posible estabilizar la trayectoria de los precios que determina el sistema [19] cuando este se encuentra en régimen de comportamiento caótico. La figura 8 muestra la evolución de la inflación en ausencia de control del sistema. Cuando la política monetaria sigue la regla de control [22], es posible estabilizar la inflación en una tasa constante determinada a priori por la autoridad monetaria (figura 9).


CONCLUSIÓN
En este artículo hemos presentado una metodología procedente de la teoría del control de sistemas dinámicos caóticos para sustentar teóricamente el uso de reglas de política monetaria, al igual que para mostrar cómo su aplicación a sistemas económicos permite deducir reglas óptimas de intervención de política económica. En efecto, uno de los campos de investigación más fructíferos en las últimas décadas en dinámica caótica se encuentra en el uso de métodos de control que buscan suprimir o estabilizar el comportamiento caótico.
En economía es factible suponer que tal estabilización pueda ejercerse a través del uso de política económica, en la medida en que las autoridades puedan operar sobre las variables que actúan como parámetros de control, es decir, sobre los impuestos, el tipo de interés o el gasto del gobierno. Asimismo, podemos suponer que, aplicando los métodos de control del caos, puede mejorarse la eficacia de las acciones de las autoridades económicas, en la medida en que, efectuando leves variaciones en sus instrumentos de política, se estabilizarían variables económicas cuyas fluctuaciones aperiódicas e irregulares provengan de un proceso no lineal.
En este artículo hemos vinculado la teoría del control de sistemas dinámicos (caóticos) con el uso de reglas de política monetaria, a través de la aplicación del método OGY para la estabilización del movimiento errático de los precios. La aplicación de este método de control a un modelo de hiperinflación ha permitido deducir una regla de política monetaria, donde la intervención implica que la oferta monetaria varíe levemente en cada periodo, en función de la desviación de la inflación respecto al nivel de equilibrio que desea estabilizarse.
Uno de los resultados que se derivan de esta aplicación es que las técnicas de control de sistemas dinámicos caóticos proporcionan una fundamentación teórica al uso de reglas de política monetaria, en especial a las reglas tipo Taylor, que hasta el momento han sido concebidas como simples reglas prácticas. Un segundo resultado derivado de la aplicación de estas técnicas de control para la economía es que las políticas económicas de "ajuste fino" pueden ser muy eficaces para estabilizar la economía. Este resultado contrasta con lo que propugna la teoría tradicional ortodoxa, que ha rechazado por completo este tipo de instrumentos de política de stop and go, basándose, entre otras, en la hipótesis de expectativas racionales, las cuales, de hecho, se tornan inconsistentes cuando se utilizan modelos de comportamiento caótico.
NOTAS
1 Parte de este trabajo fue presentado en las XI Jornadas Internacionales de Política Económica (Bilbao, 30 y 31 de mayo de 2013). Volver
2 Rega et al. (2010) mencionan ocho libros, nueve números especiales en las revistas científicas de mayor renombre y trece artículos de revisión o de resumen en las principales revistas científicas internacionales, y resaltan que el número de publicaciones continúa en aumento cada año. Volver
3 El determinante de la matriz debe ser diferente de 0. Volver
4 Donde
Volver
5 La ecuación [19] es una ecuación no lineal trascendental de primer orden por lo cual el punto fijo es hallado por métodos numéricos o gráficos. Volver
REFERENCIAS
1. Ahmed, E. y Hassan, S. Z. (2000). Controlling chaos in cournot games. Nonlinear Dynamics Psycology and Life Sciences, 2, 189-194. [ Links ]
2. Allen, R. G. (1967). Macro-economic theory: a mathematical treatment. Londres: MacMillan. [ Links ]
3. Bala, V., Majumdar, M. y Mitra, T. (1998). A note on controlling a chaotic tatonnement. Journal of Economic Behavior and Organization, 33, 411-420. [ Links ]
4. Barbolla, R. y Gómez, J. P. (1987). Control de sistemas macroeconómicos. Estudio de un caso para la economía española. Investigaciones Económicas, 11(1), 101-131. [ Links ]
5. Bolotin, Y., Tur, A. y Yanovsky, V. (2009). Chaos, concepts, control and constructive use. Berlín: Springer-Berlag. [ Links ]
6. Cagan, P. (1956). The monetary dynamics of hiperinflation. En M. Friedman (Ed.), Studies in the quantity theory of money (pp. 25-117). Chicago: The University of Chicago Press. [ Links ]
7. Chen, L. y Chen, G. (2007). Controlling chaos in an economic model. Physica A, 374, 349-358. [ Links ]
8. Chen, G. y Dong, X. (1993). Control of chaos. A survey. En IEEE Transactions on Circuits and Systems. Preceedings of the 32nd Conference on Decision and Control (pp. 469-474.). San Antonio, Estados Unidos: IEEE. [ Links ]
9. Fernández Díaz, A., Escot, L. y Grau-Carles, P. (2012). What's new and useful about chaos in economic science. Cuadernos de Trabajo de la Escuela Universitaria de Estadísitca, núm. CT02/2012. [ Links ]
10. Fernández Díaz, A. y Grau-Carles, P. (2014). Dinámica caótica en economía (teoría y aplicaciones). Madrid: Delta. [ Links ]
11. Faggini, M. (2009). Chaos and chaotic dynamics in economics. Nonlinear Dynamics, Psychology, and Life Sciences, 13(3), 327-340. [ Links ]
12. Gandolfo, G. (2009). Economic dynamics. Berlín: Springer-Verlag. [ Links ]
13. Guégan, D. (2009). Chaos in economics and finance. Annual Reviews in Control, 33(1), 89-93. [ Links ]
14. Güemes, J. y Matías, M. A. (1993). Control of chaos in unidimensional maps. Physics Letters A, 181, 29-32. [ Links ]
15. Haag, G., Hagel, T. y Sigg, T. (1997). Active stabilization of a chaotic urban system. Discrete Dynamics in Nature and Society, 1, 127-134. [ Links ]
16. Holyst, J. A., Hagel, T., Haag, G. y Weidlich, W. (1996). How to control a chaotic economy. Journal of Evolutionary Economics, 6, 31-42. [ Links ]
17. Holyst, J. A., Hagel, T. y Haag, G. (1997). Destructive role of competition and noise for microeconomics chaos. Chaos, Solitons and Fractals, 7, 1489-1496. [ Links ]
18. Holyst, J. A.y Urbanowicz, K. (2000). Chaos control in economical model by time delay feedback method. Physica A, 287, 587-598. [ Links ]
19. Kaas, L. (1998). Stabilizing chaos in a dynamic macroeconomic model. Journal of Economic Behaviour and Organization, 33, 313-332. [ Links ]
20. Kopel, M. (1997). Improving the performance of an economic system: controlling chaos. Journal of Evolutionary Economics, 7, 269-289. [ Links ]
21. Lai, Y.-C. (1994). Controlling chaos. Computers in Physics, 8(1), 62-67. [ Links ]
22. Li, T. y Yorke, J. A. (1975). Period three implies chaos. American Mathematical Monthly, 82, 985-992. [ Links ]
23. Mendes, V. M. y Mendes, D. A. (2008). Controlling endogenous cycles in an OLG economy by the OGY method. ISCTE Lisbon University Institute Working Paper, 08/08. [ Links ]
24. Ogata, K (1998). Ingeniería de control moderna. México: Prentice-Hall. [ Links ]
25. Ott, E., Grebogi, C. y Yorke, J. (1990). Controlling chaos. Physical Review Letters, 64(11), 1196-1199. [ Links ]
26. Parthasarathy, S. y Sinha, S. (1995). Controlling chaos in unidimensional maps using constant feedback. Physical Review E, 51(6), 6239-6242. [ Links ]
27. Phillips, A. W. (1954). Stabilization policy in a closed economy. Economic Journal, 64, 290-323. [ Links ]
28. Punita, R. (2011). Chaos models and the monetary dynamics of hiperinflation. International Business and Economics Research Journal, 10(11), 109-118. [ Links ]
29. Pyragas, K (1992). Continuous control of chaos by self-controlling feedback. Physics Letters A, 170, 421-428. [ Links ]
30. Rega, G., Lenci, S. y Thompsom, J. M. (2010). Controlling chaos: the OGY method, its use in mechanics, and an alternative unified framework for control of non-regular dynamics. En M. Thiel et al. (Eds.), Nonlinear dynamics and chaos: advances and perspectives. Berlín: Springer-Verlag. [ Links ]
31. Romeiras, F., Grebogi, C., Ott, E. y Dayawansa, W. P. (1992). Controlling chaotic dynamical systems. Physics D, 58(165), 81-100. [ Links ]
32. Salarich, H. y Alasty, A. (2009). Chaos control in an economic model via minimum entropy strategy. Chaos, Solitons and Fractals, 40, 839-847. [ Links ]
33. Shinbrot, T., Ott, E., Grebogy, C. y Yorke, J. (1990). Using chaos to direct trajectories to targets. Physical Review Letters, 65(26), 3215-3218. [ Links ]
34. Solé, R. y Manrubia, S. (2001). Orden y caos en sistemas complejos. Barcelona: Universidad Politécnica de Cataluña. [ Links ]
35. Tena, E. (1990). Control óptimo de sistemas lineales con expectativas racionales. Investigaciones Económicas, 14(1), 85-111. [ Links ]
36. Timbergen, J. (1952). On the theory of cconomic policy. Ámsterdam: North Holland. [ Links ]
37. Tustin, A. (1953). The mechanism of economic systems: an approach to the problem of economic stabilization from the point of view of control system engineering. Cambridge: Harvard University Press. [ Links ]
38. Wieland, C. (2002). Controlling chaos in higher dimensional maps with constant feedback: an analytical approach. Physical Review E, 66, 1-8. [ Links ]
39. Wieland, C. y Westerhoff, F. H. (2005). Exchange rate dynamics, central bank interventions and chaos control methods. Journal of Economic Behavior & Organization, 4(2), 189-194. [ Links ]












