INTRODUCCIÓN
La revolución industrial y el incremento demográfico exponencial son las principales causas para que el dióxido de carbono (CO2), el principal gas de efecto invernadero (GEI), haya aumentado de 275 a 414 partes por millón (ppm) desde el periodo preindustrial hasta 2021 (NOAA, 2021). Sin embargo, la máxima concentración que puede soportar nuestro planeta para conservar un ambiente apropiado es de 350 ppm (Hansen et al., 2008). Este excedente de CO2 viene ocasionando el cambio climático, estimándose un actual calentamiento global antropogénico de 1.0 °C con respecto a los niveles preindustriales (IPCC, 2019; NASA, 2021). La inestabilidad climática tiene repercusiones negativas sobre la agricultura, la seguridad alimentaria y los recursos naturales, principalmente en la población rural (FAO, 2020).
Los Sistemas Agroforestales (SAF) combinan las medidas para la adaptación al cambio climático, la mitigación de emisiones de GEI y el desarrollo sostenible, pues inmovilizan el carbono de la atmósfera para almacenarlo en su biomasa (Riofrío et al., 2013; Fonseca et al., 2021). De igual manera, los sistemas silvopastoriles (SSP) son una alternativa para la captura de carbono que permite a los productores recibir pagos por servicios ambientales y generar ingresos a corto y largo plazo por el pastoreo y la madera (Seeberg, 2010; Díaz et al., 2020). Dependiendo de la especie forestal, la estructura del sistema y los factores edafoclimáticos, se pueden almacenar de 36.72 a 112.56 Mg.C ha-1 (Anguiano et al., 2013; López et al., 2015). Sin embargo, son escasos los registros sobre su potencial de almacenamiento de carbono (Miranda et al., 2007; Riofrío et al., 2013), especialmente en los Andes peruanos, donde existe un vacío de investigación (Oliva et al., 2017).
Las especies del género Eucalyptus han sido plantadas en más de 90 países debido a su rápida adaptabilidad, crecimiento y corta rotación (IUFRO, 2018; Ghosh et al., 2020), pero muchas son susceptibles a heladas y ataques de patógenos como el Eucalyptus globulus Labill. (Hunter et al., 2009; Oberschelp et al., 2020). El Eucalyptus viminalis Labill. ha sido introducido en diferentes países por su buen crecimiento, por su resistencia a heladas y por responder adecuadamente en SSP (Cappa et al., 2010; Scaramuzzino et al., 2019). En la sierra de Cajamarca, a partir de los años 70, el Centro de Investigación y Capacitación Forestal (CICAFOR) evaluó la introducción de diferentes especies y procedencias de Eucalyptus (Carton & Chávez, 2018), determinando que E. viminalis presentó buen prendimiento y crecimiento en áreas donde E. globulus era afectada por las bajas temperaturas (INFOR & FAO, 1983). En gran parte de los predios agrícolas andinos se siembra E. globulus (Dourojeanni, 2009), lo cual responde a un uso tradicional por encima de aspectos técnicos (Silva, 2012). Esta especie se emplea como linderos perimétricos o como macizos en áreas relegadas, pues sus raíces compiten con los cultivos (Carton & Chávez, 2018), destinando los mejores suelos netamente para cultivos o pastos.
Considerando la necesidad de reducir la concentración de GEI y el vacío de investigación sobre captura de carbono en SSP en los Andes peruanos, así como fomentar la pluralización de la producción rural basada en aspectos técnicos, se plantea la hipótesis que E. viminalis tiene potencial para capturar y almacenar carbono en un SSP en conjunto con los demás depósitos en Cajamarca, Perú. Además, se establecen como objetivos específicos determinar el mejor modelo de biomasa área para la especie y estimar las reservas de carbono a nivel de los diferentes componentes del SSP.
MATERIALES Y MÉTODOS
Área de estudio
El SSP está ubicado en el distrito de Gregorio Pita, provincia de San Marcos, departamento de Cajamarca, en los 07°16´32´´ de latitud sur y 78°13´07´´ de longitud oeste y a una altitud de 2800 m, específicamente en el Anexo Experimental Cochamarca perteneciente al Instituto Nacional de Innovación Agraria (INIA) (Figura 1). El SSP pertenece al bosque seco Montano Bajo Tropical (BS-MBT) (GORE Cajamarca, 2019). La precipitación anual es de 733 mm, distribuida principalmente de octubre a marzo. Las temperaturas mínima, promedio y máxima son de 10.7, 16.5 y 24.9 °C respectivamente, con presencia de heladas entre junio y agosto (SENAMHI, 2014; SENAMHI, 2021). Los suelos son de tipo Vertisol crómico y Vertisol lúvico según la clasificación de la FAO y cuentan con depósitos de material detrítico, fino carbonatado, de textura media a pesada en los primeros 30 a 50 cm, (Franco Arcilloso a Franco Arcilloso Limoso); pH ligeramente alcalino (8.0-8.2); y profundidad efectiva moderada a ligeramente profunda (0-30 cm). Estos suelos son de Clase VI según su capacidad de uso potencial (Poma & Vega 1987; Villar et al., 2014).

Figura 1. Ubicación del sistema silvopastoril con rebrotes de E. viminalis de 9 años instalados a 3 x 1.5 m, Cajamarca, Perú bh-MT: bosque húmedo Montano Tropical; bs-MBT: bosque seco Montano Bajo Tropical; bs-PT: bosque seco Premontano Tropical
El SSP fue instalado en el año 2000 sobre una hectárea y tiene a E. viminalis por componente vegetal leñoso. Las semillas para la producción de plantones provinieron de las investigaciones realizadas por CICAFOR en la introducción de especies forestales en la región Cajamarca. La instalación se realizó a distanciamientos de 3 y 1.5 m entre hileras y plantas respectivamente. En el año 2011, se aprovechó el componente arbóreo a tala rasa, y actualmente el sistema está conformado por 3 206 rebrotes de 9 años comprendidos en 1 377 tocones, con diámetros a 1.3 m de altura (DAP) de 2.5-25.5 cm, alturas totales (Ht) de 4.5-25.1 m y diámetros de copa (DC) de 0.75-2.54 m. Estas variables dasométricas fueron determinadas siguiendo la metodología de Cancino (2006). La composición florística del componente vegetal no leñoso está representada por la asociación de especies forrajeras cultivadas pertenecientes a las familias Poaceae: Phalaris sp. (falaris), Dactylis sp. (pasto ovillo), y Lolium sp. (rye grass ecotipo cajamarquino); y Fabaceae: Trifolium pratense L. (trébol rojo). Estas especies presentan una densidad relativa de 60, 16, 8, y 17 % respectivamente, determinada según lo establecido por Aguirre (2013).
Modelo para estimar la biomasa arbórea
Se realizó un censo a la población forestal del sistema, en el cual cada rebrote fue evaluado como individuo independiente. Las variables medidas fueron el DAP y las Ht con forcípula e hipsómetro Suunto respectivamente. Con los datos generados en el censo y mediante un muestreo sistemático, se seleccionaron 44 individuos representativos, abarcando todas las clases diamétricas de la población (ancho de clase de 4.5 cm). La biomasa se estimó siguiendo la metodología establecida por Picard et al. (2012), i.e., análisis destructivo, por su exactitud en estimaciones de biomasa de árboles multicaules (Razo et al., 2013). Se seleccionaron los individuos en los componentes fuste con corteza, ramas, ramillas (d<2.5) y hojas y frutos. Estos individuos fueron pesados en campo. De cada componente se extrajeron muestras que fueron codificadas y trasladadas al laboratorio del Programa Nacional Forestal (PNF) para secado a 103 y 70 ºC (para madera y hojas respectivamente) hasta que el peso fuera constante (Andrade & Ibrahim, 2003; Rügnitz et al., 2009). Se obtuvieron la biomasa de cada componente (mediante extrapolación) y la total de cada individuo (con la sumatoria de fuste, ramas, ramillas, hojas y frutos).
Las variables dasométricas (DAP y Ht) fueron correlacionadas con la biomasa usando la prueba paramétrica de Pearson (α ≤ 0.05), en aras de identificar la mejor variable predictora (Ruiz et al., 2019). Se ajustaron 14 modelos para estimar la biomasa (Tabla 1). Los modelos M12 al M14 son los propuestos por Campos y Leite (2013), que integran variables binarias o ficticias (TX). En los dos primeros (M12 y M13) se realizó el ajuste para biomasa total o del fuste con los valores de 0 o 1, y en el último (M14) se realizó el ajuste con valores de 0-0, 1-1 y 0-1 para la biomasa total, del fuste y de hojas más frutos. Para seleccionar los mejores modelos, se consideró la validez estadística mediante los test de “F” y “t” (α ≤ 0.05), además del coeficiente de determinación (R 2), el coeficiente de determinación ajustado (R 2 adj ), el error cuadrado medio (ECM), el sesgo (E) y el error padrón residual (S yx ). Además, se consideró la homocedasticidad y normalidad de los residuos (Cancino, 2006; Soares et al., 2011; Hirigoyen et al., 2021).
Tabla 1 Modelos probados para predecir la biomasa aérea en rebrotes de E. viminalis de 9 años en un sistema silvopastoril instalado a 3 x 1.5 m, Cajamarca, Perú

W: Biomasa (kg); DAP: Diámetro a la altura del pecho (cm); Ht: Altura total (m); h: Altura comercial (m); Ln: Logaritmo natural; β0, β1, β2, β3 y β4: parámetros de los modelos; ε: error aleatorio; N°: Número.
Fuentes: 1. Soares et al. (2011); 2. Brown (1997); 3. Husch et al. (2003); 4. Campos & Leite (2013)
Estimación de carbono y CO2 en el SSP
La biomasa de los rebrotes se calculó con la ecuación alométrica que mejor estimó la biomasa total y con los datos generados en el censo. Se cuantificaron la necromasa (la capa de órganos y tejidos muertos desprendidos de los árboles como ramas, ramillas, hojas, flores, frutos y ritidomas) y la biomasa del componente herbáceo utilizando 12 parcelas de muestreo de 0.25 m2 distribuidas de forma sistemática (Andrade & Ibrahim, 2003). Se colectó y cortó todo el material registrando su peso verde total, y se extrajo una submuestra de 200 g que fue trasladada al laboratorio para secado a 60 ºC (Rügnitz et al., 2009). El factor de conversión entre materia seca y fresca se determinó usando la siguiente fórmula:
MSmuestra = (MSsubmuestra / MFsubmuestra) x MFmuestra
donde MS muestra es la materia seca de la muestra (kg/0.25m2), MF submuestra es la materia fresca de la submuestra (kg), MS submuestra es la materia seca de la submuestra (kg) y MF muestra es la materia fresca de la muestra (kg/0.25m2). Acto seguido, se estimó por extrapolación la cantidad de biomasa por hectárea.
El contenido de carbono (C) y dióxido de carbono equivalente (CO2eq) en la biomasa seca se calculó multiplicando la biomasa seca por los factores 0.5 y 3.67 (IPCC, 2014). El carbono orgánico del suelo (COS) fue muestreado a una profundidad de 30 cm (Rügnitz et al., 2009) en las parcelas donde se evaluaron las pasturas. Se extrajo una submuestra de medio kilogramo, que fue analizada en el laboratorio de Análisis de Suelos, Plantas, Aguas y Fertilizantes de la Universidad Nacional Agraria la Molina (Perú) para determinar la densidad aparente (Da) y la concentración de carbono orgánico (% CO). El COS almacenado en el sistema se estimó mediante la fórmula usada por Miranda et al. (2007):
COS = Fc * Da * P * A
donde COS es el carbono orgánico almacenado en el suelo del SSP (Mg C ha-1), Fc es la fracción de carbono (%CO/100), Da es la densidad aparente del suelo (Mg/m3), P es la profundidad de muestreo (m) y A es el área del SSP (m2).
Procesamiento de datos y análisis estadístico
Los datos de biomasa y carbono fueron calculados en Excel (Microsoft, 2020) y el análisis estadístico en R (R Development Core Team, 2020). La correlación y modelado se llevaron a cabo con los paquetes y comandos cor, corrplot, lm y nls (Bates & Chambers 1992; Chambers, 1922; Wei et al., 2021).
RESULTADOS
Modelamiento de la biomasa arbórea
La biomasa arbórea se distribuyó principalmente en el fuste, y en mínima proporción en las hojas, ramas, ramillas y frutos, con 87.9, 4.8, 3.6, 3.3 y 0.4 % respectivamente (Figura 2a). Se evidenció que la distribución de la biomasa varió entre clases diamétricas, existiendo mayor variabilidad principalmente en las primeras clases y/o componentes menores. El porcentaje de biomasa del fuste aumentó hasta la clase [11.5-16.0] para posteriormente disminuir, contrario a lo que ocurrió en las hojas (Figuras 2b y 2e). Además, se evidenció que, a medida que los rebrotes crecían, su biomasa en las ramas y frutos aumentó, pero disminuyó la existente en las ramillas (Figura 2c, 2d y 2f).

Figura 2 Distribución (%) de la biomasa según componente y clase diamétrica en rebrotes de E. viminalis de 9 años en un sistema silvopastoril instalado a 3 x 1.5 m, Cajamarca, Perú
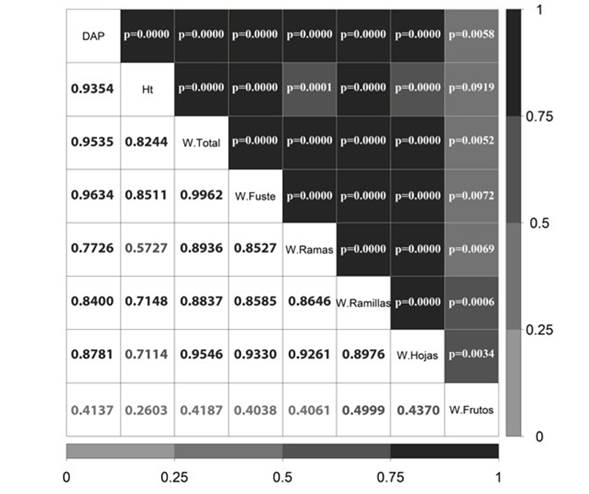
El DAP presentó mayor correlación con la biomasa total y de componentes (p < 0.05) en comparación con la variable Ht, siendo la principal variable predictora de los modelos. Hubo un alto grado de asociación entre DAP y la biomasa total y del fuste, pero esta disminuyó para los componentes menores, como es el caso de las ramas, ramillas y frutos (Figura 3).

Figura 3 Correlación de variables dasométricas y biomasa en rebrotes de E. viminalis de 9 años en un sistema silvopastoril instalado a 3 x 1.5 m, Cajamarca, Perú
Los modelos que presentaron significancia (tests de “F” y “t”) y mejores indicadores estadísticos se muestran en la Tabla 2. El modelado de los frutos no presentó ajustes significativos. Las funciones de los modelos seleccionados para estimar la biomasa total (M4), fuste (M11), ramas (M11), hojas (M9) y biomasa total o del fuste u hojas más frutos (M14) presentaron mejor conformación con respecto a los datos observados en campo (Figuras 4a, 4b, 4c, 4e y 4f) en comparación con el de ramillas (M4) (Figura 4d). La variabilidad de la biomasa total fue explicada en un 98.84 % por DAP, así como en 88.45 y 73.12 % en hojas y ramillas respectivamente. En el caso del fuste y las ramas, fue necesario incorporar la Ht para explicar la variabilidad de 99.35 y 88.50 % respectivamente. El grado de explicación de los modelos disminuyó conforme los componentes contenían menor biomasa, lo cual concuerda con lo obtenido en la correlación (Figura 3). No obstante, el uso de variables ficticias en los modelos M12 y M14 permitió una mejor estimación de estos componentes (R 2=0.9902 y 0.9897).
Tabla 2 Modelos con mejores ajustes para predecir la biomasa total y por componente en rebrotes de E. viminalis de 9 años en un sistema silvopastoril instalado a 3 x 1.5 m, Cajamarca, Perú

W: Biomasa (kg); DAP: Diámetro a 1,3 m de altura (cm); Ht: Altura total (m); h: Altura comercial (m); Ln: Logaritmo natural; TX2:Variable ficticia con valores de 0 o 1 para estimar la biomasa total o del fuste; TX1 y TX2:Variables ficticias con valores de 0-0, 1-1 y 0-1 para estimar la biomasa total o del fuste o de hojas más frutos; R2: Coeficiente de determinación; R2 adj: Coeficiente de determinación ajustado; ECM Error cuadrado medio; E: Sesgo; Syx : Error padrón residual; N°: Número.
Estimación de carbono y CO2 en el SSP
La biomasa acumulada en el SSP se distribuyó principalmente en los rebrotes de E. viminalis, con 113.57 Mg.ha-1 (89.0 %), seguido de hojarasca y herbácea, con 8.72 y 5.34 Mg.ha-1 respectivamente (6.8 y 4.2 %). Existe un total de 127.64 Mg.ha-1 de biomasa en todo el sistema. El carbono capturado en el sistema estuvo mayoritariamente en el suelo, con 91.38 Mg.ha-1 (58.9 %), seguido de carbono arbóreo con 56.79 Mg.ha-1 (36.6 %), hojarasca con 4.36 Mg.ha-1 (2.8 %) y, en menor proporción, el herbáceo con 2.67 Mg.ha-1 (1.7%). El carbono y CO2eq capturados en todo el sistema fueron 155.20 y 569.58 Mg.ha-1 .
El componente vegetal leñoso del sistema logró acumular 122.29 Mg.ha-1 de biomasa (arbórea y hojarasca), los cuales representaron un total de 61.15 y 224.41 Mg.ha-1 de C capturado y CO2eq respectivamente. El incremento anual de biomasa en los rebrotes fue de 12.62 Mg MS ha-1, lo cual representa una fijación 6.31 Mg.C ha-1 año-1, con un secuestro de 23.16 Mg CO2eq ha-1 año-1. De forma individual, cada rebrote, así como el árbol que lo origina, capturan anualmente 1.97 y 4.59 kg C, equivalentes a una fijación de 7.22 y 16.83 kg CO2 año-1 respectivamente.
DISCUSIÓN
Modelamiento de la biomasa arbórea
En la actualidad, son nulos los reportes de estimación de biomasa de E. viminalis en la región de Cajamarca y en el Perú. La biomasa se distribuyó principalmente en el fuste, y las proporciones entre los componentes variaron conforme crecieron los individuos, resultados similares a los obtenidos con la misma especie en Argentina (Ferrere et al., 2008; Ferrere et al., 2014). Al nivel de otras especies del género Eucalyptus, se han reportado las mismas tendencias para E. urograndis y E. grandis en Perú y Brasil (Ribero et al., 2015; Valverde et al., 2019; Ramírez & Chagna, 2019). La variación en la distribución de biomasa entre los componentes menores está asociada principalmente a su naturaleza efímera, pues estos varían con el desarrollo de los rebrotes (Kuyah et al., 2013; Dimobe et al., 2018).
El DAP fue la principal variable predictora de la biomasa total, ramillas y hojas, comprobando lo sostenido por Kuyah et al. (2013) y Ruiz et al. (2019), quienes señalan la existencia de altas correlaciones y regresiones significativas con esta variable predictora. Sin embargo, cuando es alta, la variación no logra explicar adecuadamente, pues se considera que los individuos con el mismo diámetro presentan la misma estimación, por lo cual es necesario incorporar de más variables (Diéguez et al., 2005; Cancino, 2006). Tal es el caso de las ramas, donde el modelo que estimó mejor la biomasa incluyó la Ht . Los ajustes estimaron adecuadamente la biomasa total y del fuste, presentando R 2 y R 2 adj cercanos a 1 y ECM, E y S yx a 0, similares a los obtenidos para E. viminalis en Argentina (Ferrere et al., 2008) y para otras especies de eucaliptos (Mello & Gonçalves 2008; Hirigoyen et al., 2021). El grado de estimación disminuyó para los componentes menores debido al menor grado de correlación con las variables independientes, lo cual concuerda con el reporte de Ferrere et al. (2014) para la misma especie y con otras investigaciones (Muñoz et al., 2008; Fonseca et al., 2021). Esto, debido a que los componentes menores (ramillas, follaje, flores y frutos) presentan efimeridad y dependen de aspectos fisiológicos que afectan las relaciones alométricas (Rubilar et al., 2005). Los modelos M12 y M14, que usaron variables binarias, presentaron buenos indicadores (R 2 = 0.9902 y 0.9897; E = 0.1603 y 1.4825), semejantes a los obtenidos por Soares et al. (2007). Esto demuestra que el uso de estas variables genera consistencia en las estimaciones por componentes, en especial de los menores (Campos & Leite, 2013).
Tabla 3 Biomasa acumulada y carbono almacenado en Mg.ha-1 a nivel de los cuatro depósitos del sistema silvopastoril con rebrotes de E. viminalis de 9 años instalados a 3 x 1.5 m, Cajamarca, Perú

Mg: mega gramo (equivalente a tonelada); ha: hectárea. Los valores en paréntesis corresponden al porcentaje.
Estimación de carbono y CO2 en el SSP
El carbono depositado en la fracción aérea del componente forestal de 9 años (56.79 Mg.ha-1) es comparable con lo estimado por Álvarez et al. (2005) y Cárdenas (2016), quienes refieren reservas de carbono entre 71 y 213 Mg.ha-1 para E. globulus en macizos de 13 y 24 años en España y de 15 años en Perú. Sin embargo, esto es superior a lo reportado por Cuellar et al. (2016) en macizos de E. globulus de 25 años en Junín-Perú, que almacenaron 30.8 Mg.C ha-1 en promedio. El carbono capturado anualmente por el componente forestal (6.31 Mg.C ha-1) fue inferior en 0.19 Mg.C ha-1 año-1 para E. grandis ubicados en Ecuador (Ramírez & Chagna 2019), pero superior en 1.42 y 0.97 Mg.C ha-1 año-1 para macizos de E. globulus instalados en Ancash y La Libertad (Perú) respectivamente (Cárdenas 2016; Alfaro 2017). En la región de Cajamarca, otras especies forestales de importancia económica y ecológica como Pinus patula y Pinus radiata reportaron valores de 5.84 y 5.44 Mg.C ha-1 año-1 respectivamente en plantaciones de 13 años ubicadas en Porcón (Mendo 2008). Asimismo, para macizos de P. patula de 10 años, se reportó 1.69 Mg.C ha-1 año-1 en Chota (Mirez, 2021) y, para Polylepis racemosa en un SSP de 17 años, se registraron valores de 5.82 Mg.C ha-1 año-1 en La Encañada (Mantilla 2016). Los resultados obtenidos en la investigación (6.31 Mg.C ha-1 año-1) son superiores a los reportes existentes para la región de Cajamarca en otras especies forestales, demostrando la eficiencia de la especie para capturar carbono, pues es una especie latifoliada de hoja ancha que absorbe el CO2 en mayores cantidades y resiste a las heladas (INFOR & FAO, 1983; Villar et al. 2014). Además, el elevado nivel de carbono almacenado está probablemente asociado al tipo de plantación agroforestal (con arreglo espacial geométrico) y la alta capacidad de rebrote del eucalipto (con 3 206 rebrotes ha-1), que, de acuerdo con el principio modular, presentan características de crecimiento independiente (Causton 1985; Picard et al., 2012).
La capacidad de la necromasa forestal para retener carbono (4.36 Mg.ha-1) fue similar a la obtenido con E. globulus (4.2 Mg.C ha-1) en Perú (Cuellar et al., 2016), pero superior a la reportada en SSP instalados en México y Perú, que almacenaron 1.2 y 2.62 Mg.C ha-1, respectivamente (Espinoza et al., 2012; Oliva et al., 2017). Los altos niveles de carbono almacenado en este depósito pueden atribuirse a la densidad del componente forestal del sistema (Anguiano et al., 2013) y las características de las hojas de eucalipto, que presentan corta vida y caen en gran cantidad durante la época de estiaje (Cuellar et al., 2016). Esto, sumado a la porción de necromasa desprendida de la corteza.
Los pastos del sistema pueden ser cortados tres veces al año (Villar et al., 2014), lo cual representaría una captura de 8.01 Mg.C ha-1, una cantidad superior a la estimada en un SSP ubicado en Paraguay (6.01 Mg.C ha-1 año-1) (Díaz et al., 2020). Lo anterior refleja que las pasturas tropicales tienen gran potencial para la producción primaria neta (Botero 2003), en especial la asociación entre gramíneas y leguminosas, que han dado buenos resultados de acuerdo con su genotipo en la zona de Cajamarca (Vallejos et al., 2020; Vallejos et al., 2021).
El contenido de COS del SPP (91.38 Mg.ha-1) fue superior al manifestado por Oliva et al. (2017), quienes determinaron un almacenamiento de 81.24 Mg.C ha-1 en un SPP andino compuesto por Pinus patula y herbáceas nativas. De igual forma, dicho contenido fue superior al reporte de Lok et al. (2013), quienes cuantificaron el COS de tres sistemas ganaderos tropicales, determinando niveles máximos de 65.3 Mg.C ha-1 para un SSP basado en Panicum maximum Jacq. y Leucaena leucocephala (Lam.) de Wit.
El sistema conformado por E. viminalis presentó mayor COS que otros usos de la tierra como macizos de E. globulus y pasturas, los cuales refieren cantidades de 59.81 a 155.77 Mg.ha-1 para el primer caso y 38.73 Mg.ha-1 para el segundo (Cuellar et al., 2016; Cárdenas 2016). El almacenamiento de COS depende de la especie forestal, la combinación de los agroecosistemas, las condiciones climáticas y las propiedades del suelo (Bravo et al., 2007), así como con la cantidad y calidad de biomasa devuelta al suelo y la MO (Lok et al., 2013; López et al., 2015). Los altos niveles de COS del sistema son atribuibles a la capacidad que este tiene para conservarlos, aportando y reciclando MO. Dichas características convierten a los suelos de los SAF andinos en importantes reservorios de carbono (Andrade & Ibrahim, 2003).
El carbono total almacenado en el sistema (155.20 Mg.ha-1) está comprendido en los valores reportados para los SAF en zonas tropicales, que van de 65.6 a 338.9 Mg.C ha-1 (de Jong et al., 2000). Además, esto es superior a lo reportado para SSP instalados en Paraguay, Perú y México, que capturaron 92.13, 112.56 y 36.72 Mg.C ha-1, respectivamente (López et al., 2015; Oliva et al., 2017; Díaz et al., 2020). Las variaciones en las reservas de carbono entre los SSP y sus componentes son atribuidas al clima, el tipo de suelo, las especies forestales, la estructura del sistema y la densidad de los árboles (Anguiano et al., 2013).
CONCLUSIONES
El Eucalyptus viminalis tiene potencial para capturar y almacenar carbono en una asociación silvopastoril, i.e., en comparación con otras especies forestales instaladas en otros sistemas de uso de la tierra en la región de Cajamarca, debido a que es una especie latifoliada de hoja ancha con alta capacidad de rebrotes y resistencia a heladas, así como a la efimeridad de sus componentes menores, que contribuyen a la fijación del carbono en el suelo. Puede concluirse que la especie, instalada bajo este sistema, representa un importante reservorio de carbono que aporta a contrarrestar el cambio climático en los Andes peruanos. Además, por su plasticidad, esta logra hacer compatible la producción y la conservación. El DAP fue la variable que permitió explicar la biomasa existente en el componte arbóreo aéreo mediante el modelo Ln W = -2.1864 + 2.4502Ln DAP, con un R 2 de 0.99. El carbono capturado en el sistema fue de 155.20 Mg.ha-1, distribuido principalmente en el suelo y los rebrotes, con 91.38 y 56.79 Mg.ha-1 respectivamente, valores superiores a los reportados en otros estudios.















