Services on Demand
Journal
Article
Indicators
-
Cited by SciELO -
Access statistics
Related links
-
Cited by Google -
Similars in
SciELO -
Similars in Google
Share
Revista Colombiana de Química
Print version ISSN 0120-2804On-line version ISSN 2357-3791
Rev.Colomb.Quim. vol.37 no.1 Bogotá Jan./Apr. 2008
OBTENCIÓN Y CARACTERIZACIÓN DE CARBONES ACTIVADOS A PARTIR DE SEMILLAS DE Mucuna Sp
OBTENTION AND CHARACTERIZATION OF ACTIVATED CARBONS FROM SEEDS OF Mucuna Sp
OBTENÇÃO E CARACTERIZAÇÃO DE CARVÕES ATIVADOS A PARTIR DE SEMENTES DE Mucuna Sp
Jaime E. Vargas1, Liliana Giraldo1, Juan C. Moreno2
1 Departamento de Química, Facultad de Ciencias, Universidad Nacional de Colombia, Sede Bogotá, Bogotá, Colombia. lgiraldogu@unal.edu.co
2 Departamento de Química, Facultad de Ciencias, Universidad de los Andes, Bogotá, Colombia. jumoreno@uniandes.edu.co
Recibido: 23/11/07 – Aceptado: 07/04/08
RESUMEN
Se obtiene una serie de carbones activados a partir de un material lignocelulósico por activación física con vapor de agua. Mucuna Sp es el nombre científico de las semillas utilizadas como precursor lignocelulósico en este trabajo, las cuales se trituran y se tamizan para posterior carbonizado, con el objetivo de obtener carbón granular. Se estudia el efecto de la variación de la temperatura (600-900 °C) y el tiempo (1-10 h) de activación, y su relación con las propiedades texturales del carbón.
Los carbones activados obtenidos con diferentes porcentajes de quemado (Burn-off) se caracterizaron por adsorción física de N2 a 77K. Se evaluó la capacidad de adsorción en solución de los carbones activados por medio del índice de yodo y el índice de azul de metileno. Se encontró una correlación entre los Burn-off y las áreas superficiales aparentes calculadas por el método BET con valores cercanos a los 1000 m2g-1, así como con los volúmenes de microporo comprendidos entre 0,060 y 0,400 cm3g-1, calculados por el método DR y el método Alfa. La capacidad de adsorción en solución arroja resultados satisfactorios debido a que presenta una buena correlación con los datos de porosidad, factor importante este último a la hora de determinar la posible aplicación del carbón activado.
Palabras clave: activación, precursor lignocelulósico, adsorción, isotermas.
ABSTRACT
A series of activated carbons from a lignocellulosic material is obtained by a physical activation with water vapor. Mucuna Sp is the scientific name of the seed used as a lignocellulosic precursor. In this work the seeds are crushed and sieved before carbonizing them to obtain granular activated carbon. The effect of temperature (600-900 °C) and time of activation (1-10 h) was studied as well as the relationship with the textural properties of the carbon.
The activated carbons obtained with different percentages of Burn-off were characterized by physical adsorption of N2 at 77K. We evaluated the ability of adsorption in solution of the activated carbons by iodine index and the methylene blue index.
We found a correlation between Burn-off and the apparent surface area calculated by the BET method with values close to 1000 m2g-1, as well as microporo volumes between 0.060 and 0.400 cm3g-1 calculated by the DR method and the method alpha. The adsorption capacity in solution gives good results, because the results show good correlation with the porosity data. This is very important when determining the possible applications of the activated carbons.
Key words: Activation, lignocellulosic precursor, adsorption, isotherm.
RESUMO
Obtém-se uma série de carvões ativados a partir de um material lignocelulósico por activação física com vapor de água; Mucuna Sp é o nome científico das sementes utilizadas como precursor lignocelulósico neste trabalho as quais se trituram e se tamizan para posterior carbonizado, com o objetivo de obter carvão granular. Estuda- se o efeito da variação da temperatura (600-900° C) e o tempo (1-10 h) de activação, e sua relação com as propriedades texturales do carvão.
Os carvões ativados obtidos com diferentes percentagens de queimado (Burn-off) caracterizaram-se por adsorção física de N2 a 77 K. Avaliou-se a capacidade de adsorção em solução dos carvões ativados por meio do índice de iodo e o índice de azul de metileno.
Se encontrou uma correlação entre os Burn-off e as áreas superficiais aparentes calculadas pelo método BET com valores próximos aos 1000 m2g-1, bem como com os volumes de microporo compreendidos entre 0,060 e 0,400 cm3g-1 , calculados pelo método DR e método alfa. A capacidade de adsorção em solução arroja resultados satisfatórios devido a que apresenta uma boa correlação com os dados de porosidade, fator importante este ultimo à hora de determinar a possível aplicação do carvão ativado.
Palavras-chave: Activação, precursor lignocelulósico, adsorção, isotermas.
INTRODUCCIÓN
La obtención de carbones activados a partir de material lignocelulósico es ampliamente usada en la industria química debido al bajo costo y a la abundancia de este tipo de materiales en la naturaleza. Este tipo de precursores son también muy importantes, pues permiten la obtención de carbones activados con variedad de tamaños y distribuciones de poro, variando las condiciones de preparación tales como temperaturas y tiempos de activación (1).
Debido a todos estos beneficios, en los últimos años un gran número de investigaciones se han encaminado hacia la búsqueda de precursores que permitan obtener carbones activados con buenas propiedades texturales bajo condiciones moderadas (2, 3) con el fin de disminuir costos de operación sin sacrificar la obtención de un carbón apropiado para una aplicación específica.
Las propiedades finales de un carbón activado están determinadas en gran medida por el material precursor, debido a que es éste quien establece en forma esencial las características estructurales del carbón resultante; cabe recordar que lo que se hace durante un proceso de activación es básicamente abrir poros que se han podido tapar por depósito de alquitranes pero respetando la estructura original del carbonizado del material de partida (4).
Es posible entonces imaginar que todos los carbones activados tendrán estructura diferente y, por tanto, la ubicación y el tamaño de sus poros será también muy diferente, fenómeno que tendrá una gran influencia en el potencial de adsorción del carbón obtenido.
La gasificación con vapor de agua es una de las técnicas más convenientes de activación física de un carbón activado, ésta ofrece ventajas frente a otros agentes activantes ya que produce mayor porosidad en menos tiempo y con temperaturas relativamente menores (5), por esta razón, la activación física de los carbones que se obtendrán en este trabajo será con vapor de agua.
El “ojo de buey” –también conocida como “ojo de venado”– es una semilla de tamaño mediano que recibe su nombre por la similitud con el ojo del animal. La planta madre de estas semillas es la Mucuna Sp, un bejuco trepador leñoso del cual existen tres especies en América: m. fawcetti, m. sloanei y m. urens. Son usadas principalmente en textiles, fibras y artesanías, siendo este último el uso más extendido debido a su gran resistencia y apariencia. Se encuentra abundantemente en zonas tropicales, a la orilla de los ríos, matorrales y selvas húmedas o lluviosas, en el sur de México, El Salvador, Guatemala, y desde Costa Rica hasta Colombia.
En este trabajo se obtuvieron 14 muestras de carbón activado con diferentes grados de activación, los cuales se caracterizaron por adsorción física de nitrógeno a 77 K, y por adsorción en solución de yodo y azul de metileno obteniendo los respectivos índices para cada uno. Se pretende estudiar un material poco utilizado como precursor carbonáceo, así como las propiedades texturales de los carbones obtenidos a partir de dicho material.
METODOLOGÍA
Pretratamiento
La semilla de “ojo de buey”, que originalmente tiene un diámetro aproximado de 3 cm, se somete a un proceso de molienda y posterior tamizado con el objetivo de obtener un material con tamaño de partícula uniforme de aproximadamente 4mmde diámetro. La molienda se realiza en un molino convencional, con previa partición manual de la semilla de manera que ésta pueda entrar en el molino.
Carbonización
La carbonización se realizó por lotes en un horno horizontal marca Carbolite, utilizando una celda de cuarzo con una capacidad aproximada de 150 gramos de material lignocelulósico; la carbonización se realizó a 450 °C, en un flujo de nitrógeno de 150-160 cm3min-1 con una rata de calentamiento de 10 °C min-1. Una vez se alcanzó la temperatura fijada, el proceso de carbonización continuó por 1 hora.
Activación
Con el fin de mejorar la capacidad adsorbente del carbonizado, éste se sometió a un proceso de gasificación con una mezcla de nitrógeno/vapor de agua. Las temperaturas varían entre 600 y 900 °C, de acuerdo con reportes de literatura y con resultados obtenidos en trabajos anteriores (6, 7, 8,), los tiempos de residencia se variaron entre 5 y 10 horas, con el fin de estudiar su efecto durante el proceso de activación. La mezcla N2/vapor de agua que se usó para la activación se generó con flujo de nitrógeno de 100 cm3min-1 e inyectando agua destilada mediante una bomba peristáltica calibrada con un flujo constante de 0,50 cm3min-1 (equivalente a 666 cm3min-1 de vapor de agua determinado a 25 °C y 1 atmósfera de presión) para cada temperatura de activación.
Caracterización
La porosidad de los carbones activados se evaluó por adsorción física de nitrógeno a 77 K en un equipo semiautomático Autosorb 3B, después de desgasificadas las muestras a 250 ºC durante 3 horas. Las áreas superficiales aparentes se calcularon a partir de la ecuación BET, y el volumen de microporo por el método DR y el método Alfa. La adsorción en solución se realizó de acuerdo con la norma ASTM 4607 con revisión del 2006 para el caso del índice de yodo, y la norma NTC 4467 para el caso de la adsorción de azul de metileno.
RESULTADOS Y DISCUSIÓN
Los resultados obtenidos en la activación física con vapor de agua se muestran en la Figura 1.

Se observa claramente el incremento del porcentaje de activación (Burn-off) con el aumento del tiempo, así como con la temperatura. A temperaturas bajas y tiempos prolongados, los porcentajes de activación son bajos comparados con temperaturas de activación más altas como en el caso de 900 °C, en la que se requiere tan sólo dos horas para obtener un carbón activado con Burn-off elevado (86,14%), confirmando los reportes de bibliografía donde la activación física con vapor de agua produce carbones activados con altos Burn-off en periodos de tiempo más cortos que otros agentes activantes, debido a que es más reactivo con la superficie carbonosa (9).
El efecto de la temperatura en la activación es más evidente al comparar una muestra obtenida a 600 °C durante 10 horas con un Burn-off de 33,83%; y una con Burn-off similar (30,35%) obtenida a 700 °C para la cual se require 1 hora de activación. Lo mismo sucede para los carbones activados a 800 y 900 °C que se obtienen con menores tiempos de activación produciendo carbones con Burn-off similares a los obtenidos a 700 °C en un mayor tiempo.
La serie más importante es la activada a 700 °C, aquí se obtiene la mayor parte de intervalos de Burn-off posibles que permiten comparar las diferencias texturales para carbones con Burn-off similares pero activados a diferentes temperaturas.
La nomenclatura que se usa para las muestras de carbón activado obtenidas es la siguiente: VA-600-5, en donde VA hace referencia al agente activante (vapor de agua), el siguiente número 600 hace referencia a la temperatura de activación y seguido el tiempo de activación.
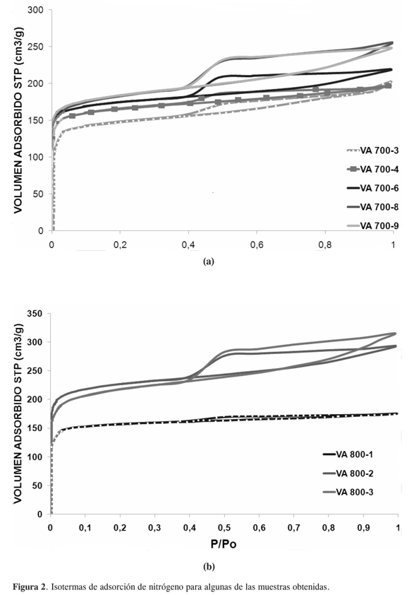
En las Figuras 2 (a) y (b) se observan las isotermas de adsorción de nitrógeno a 77 K para algunas de las muestras a diferentes temperaturas y tiempos de activación. Las isotermas son de tipo I en todos los casos donde se observa una mayor adsorción a presiones relativas bajas, característica de sólidos microporosos, que se curva alrededor de un valor de presión relativa de 0,05 originando un pequeño empinamiento que indica una amplia distribución de tamaño de microporos. La parte siguiente de la isoterma no es completamente lineal, fenómeno que indica la continuación del proceso de adsorción a presiones relativas mayores debido a la presencia de mesoporosidad desarrollada, que se genera por el agente activante y el flujo usado durante el proceso de activación (10, 11).

En las isotermas se observa la relación entre los porcentajes de activación y la capacidad de adsorción de los carbones, entre mayor es el porcentaje de activación mayor es la adsorción de nitrógeno. Para el caso de las muestras activadas a 700 °C durante 8 y 9 horas con Burn-off correspondientes a 63,83% y 65,72%, los volúmenes de adsorción son muy similares, hecho que concuerda con los valores de Burn-off también muy cercanos. Para las muestras activadas a 800 °C durante 2 y 3 horas, las isotermas de adsorción se encuentran en regiones muy cercanas; sin embargo, los valores de Burn-off correspondientes a 68,50 y 79,58% respectivamente, difieren un poco, hecho que se atribuye a un mayor desarrollo de área externa para la muestra con mayor Burn-off evidenciado en la parte de presiones relativas altas de la isoterma y un bucle de histéresis más amplio.
Los resultados obtenidos por el tratamiento de los datos de las isotermas de adsorción se muestran en la Tabla 1. Los volúmenes de microporo se calculan por el método DR; por el método Alfa (α) se calcula también el volumen de microporos y la superficie externa, utilizando como isoterma patrón la propuesta por Rodríguez-Reinoso (13). La superficie “aparente” o “equivalente” es calculada por el método BET (12, 14).

Los resultados de la Tabla 1 muestran que los diferentes tratamientos de activación de los carbones producen diferentes características texturales para cada uno de ellos. Se observa que aunque tengan valores de Burn-off parecidos obtenidos a diferentes temperaturas, sus propiedades texturales son diferentes en algunos casos.
El porcentaje de quemado o Burn-off muestra que las mayores pérdidas de peso están relacionadas con el desarrollo de área superficial. Se observa además que a mayores temperaturas el desarrollo de área superficial es también mayor, y no depende directamente del Burn-off, de esta manera una muestra activada a 700 °C durante 6 horas, VA 700-6, tiene un porcentaje de quemado de 56,90% y un área superficial de 531 m2g-1, si se compara con la muestra activada a 900 °C durante 1 hora, VA 900-1, y con un Burn-off similar al anterior, 57,62%, ésta tiene un área superficial de 702 m2g-1, observando una variación en el área superficial cercana a los 170 m2g-1, mientras que los valores de Burn-off tan solo varían en aproximadamente 1%. Si se observa la serie activada a 700 °C entre 7 y 9 horas, todas las muestras presentan valores de Burn-off muy cercanos que también están relacionados con los valores de área superficial los cuales son muy próximos, de esta manera la temperatura y tiempo de activación son las variables que determinan las propiedades texturales del carbón activado.
Los resultados de volumen de microporo obtenidos por el método DR y el método son comparables para las series activadas a 600, 700 y 900 °C; sin embargo, en la serie activada a 700 °C existen algunas diferencias entre las muestras que presentan valores altos de área externa (15).
En la Figura 3 se muestra la relación existente entre el volumen de microporo calculado por el método DR y los porcentajes de quemado.

Se observa un aumento del volumen de microporo con el incremento de pérdidas de peso. En las series activadas a 700 y 800 °C a valores de Burn-off altos hay una disminución leve del volumen de microporos, esto debido probablemente a que los microporos de mayor tamaño, por efecto del agente activante, continúan reaccionando, aumentan de tamaño y se convierten en poros más grandes, en este caso mesoporos, disminuyendo de esta manera el volumen de microporos y aumentando el valor de área externa. Además de una microporosidad considerable, las muestras presentan valores de superficie externa entre 20 y 120 m2g-1 (16).
En las Figuras 4 y 5 se observa la relación entre los índices de yodo y los volúmenes de microporo calculados por el método DR, y los índices de azul de metileno con volúmenes de microporo calculados por el mismo método. El índice de yodo está relacionado con el acceso de las moléculas de yodo a los microporos; se observa un aumento en la adsorción de yodo con el aumento del volumen de microporo, relacionado a su vez con las áreas superficiales que aparecen en la Tabla 1. Se evalúa además la adsorción de moléculas de mayor tamaño, por medio del índice de azul de metileno, encontrando un incremento en la adsorción de éste con el área superficial, hecho que confirma la facilidad del acceso de la molécula a los poros de adsorción, debido probablemente a que los carbones activados obtenidos tienen poros de mayor tamaño que favorecen la difusión de este tipo de moléculas cuando se encuentran en solución acuosa. No obstante, en la serie activada a 700 °C se observan valores de adsorción de azul de metileno muy cercanos entre las diferentes muestras, éstos se relacionan con el rango estrecho entre los volúmenes de microporo, lo que no permite apreciar diferencias significativas en los valores de adsorción. De esta manera este tipo de carbones activados serán apropiados para la adsorción de moléculas orgánicas de gran tamaño que se obtienen como subproductos de la industria química y alimentaria.


CONCLUSIONES
Se obtienen catorce muestras de carbón activado con diferencias en sus propiedades texturales, volúmenes de microporos que van desde 0,060 hasta 0,400 cm3g-1, y áreas superficiales BET que van desde 150 hasta 1100 m2g-1.
Se encuentra una correlación entre el porcentaje de activación (Burn-off), los tiempos y las temperaturas, estableciendo que mayores temperaturas de activación favorecen el aumento de las áreas superficiales y los volúmenes de microporos. Se observa que el vapor de agua como agente activante produce carbones con buena microporosidad, pero además favorece la formación de poros de mayor tamaño tales como mesoporos y macroporos, evidenciado esto en los valores de área externa obtenidos por el método alfa que también están relacionados con los Burn-off.
Los volúmenes de microporos están relacionados con los valores de área superficial, y los Burn-off, sin embargo, dependiendo de la temperatura de activación varían entre unos y otros. Los valores de área externa evidencian una disminución en el volumen de microporos para algunas de las muestras con valores de Burn-off altos.
Las semillas de Mucuna Sp utilizadas como precursor lignocelulósico para producir carbones activados por activación física con vapor de agua producen carbones activados con variadas propiedades texturales dependiendo de las condiciones de activación, y son apropiados para ser utilizados en adsorción en solución acuosa especialmente de moléculas orgánicas de gran tamaño molecular.
AGRADECIMIENTOS
Los autores expresan sus agradecimientos al convenio marco entre la Universidad de Los Andes y la Universidad Nacional de Colombia, y al acta de acuerdo entre los departamentos de química de las dos universidades.
REFERENCIAS BIBLIOGRÁFICAS
1. Marco Lozar J.P.; Suárez García F.; Cazorla Amorós D.; Linares Solano A. Aumento del rendimiento del proceso de activación de precursores lignocelulósicos por modificación de la etapa de carbonización. En: VII reunión del grupo español del carbón. Universidad de Granada. 2005. pp. 157-158. [ Links ]
2. Suhas P.; Carrot P.; Carrot Ribeiro M. Lignin-From natural adsorbent to activated carbon: a review. Bioresource Technology. 2007. 98: 2301-2312. [ Links ]
3. Marsh H.; Rodríguez Reinoso F. Controlled gasification of carbon and pore structure development. Science of carbon materials. Alicante: Universidad de Alicante. 2000. [ Links ]
4. Suzuki R.; Andrade J.; Sousa J.; Rollemberg M. Preparation and characterization of activated carbon from rice bran. Bioresource Technology. 2000. 98: 1985-1991. [ Links ]
5. Chang C.F.; Chang C.Y.; Tsai W.T. Effects of Burn-off and activation temperature on preparation of activated carbon from corn cob agrowaste by CO2 and steam. Journal of Colloid and Interface Science. 2000. 232: 45-49. [ Links ]
6. Rodríguez Reinoso F.; Molina Sabio M. Activated carbon from lignocellulosic materials by chemical and/or physical activation: an overview. Carbon. 1992. 30 (7): 1111-1118. [ Links ]
7. Yang T.; Chong Lua A. Characteristics of activated carbons prepared from pistachio-nut shells by physical activation. Journal of Colloid and Interface Science. 2003. 267: 408-417. [ Links ]
8. San Miguel G.; Fowler G.D.; Sollars C.J. A study of the characteristics of activated carbons produced by steam and carbon dioxide activation of waste tyre rubber. Carbon. 2003. 41: 1009-1016. [ Links ]
9. Gañan J.; Gonzales J.F.; Gonzales García A.; Ramiro E.; Sabio S.; Roman. Carbon dioxide-activated carbons from almond tree pruning: Preparation and characterization. Applied Surface Science. 2006. 252: 5993-5998. [ Links ]
10. Molina Sabio M.; Sánchez Montero J.; Juarez Galan J.; Salvador F.; Rodríguez Reinoso F.; Salvador A. Development of porosity in a char during reaction with steam or supercritical water. J. Phys. Chem. 2006. 110: 12360-12364. [ Links ]
11. Rouquerol F.; Rouquerol J.; Sing K. Adsorption by powders and porous solids, Principles, Methodology and applications. London: Academic Press.1999. [ Links ]
12. Martín M.J. Adsorción física de gases y vapores por carbones. Alicante: Universidad de Alicante (Publicaciones). 1990. [ Links ]
13. Rodríguez Reinoso F.; Martín Martínez J.M.; Prado Burguete C.; McEnaney B.A. Standard adsorption isotherm for the characterization of activated carbons. J. phys. Chem. 1987. 91: 515-516. [ Links ]
14. Marsh H.; Rodríguez Reinoso F. Activated Carbon. London: Elsevier. 2006. [ Links ]
15. Wu F.C.; Tseng R.L.; Hu C.C. Comparisons of pore properties and adsorption performances of KOHactivated and steam-activated carbons. Microporous and Mesoporous Materials. 2005. 80: 95-106. [ Links ]
16. Budinova T.; Ekinci E.; Yardim F.; Grima A.; Bjornobom E.; Minkova V.; Goranova M. Characterization and application of activated carbon produced by H3PO4 and water vapor activation. Fuel Processing Technology. 2006. 87: 899-905. [ Links ]













