Services on Demand
Journal
Article
Indicators
-
Cited by SciELO -
Access statistics
Related links
-
Cited by Google -
Similars in
SciELO -
Similars in Google
Share
Cuadernos de Administración
Print version ISSN 0120-3592
Cuad. Adm. vol.20 no.34 Bogotá July/Dec. 2007
* Este artículo es parte de un trabajo investigativo preparado por el autor como requisito para aspirar al título de Magíster en Economía. El artículo se recibió el 05-04-2006 y se aprobó el 04-12-2007.
** Magíster en Economía, Pontificia Universidad Javeriana, Colombia, 2006; Administrador de Empresas Universidad del Norte, Barranquilla, Colombia, 1999. Actualmente es profesor catedrático del Departamento de Administración de Empresas de la Universidad del Norte, Barranquilla, Colombia. Correo electrónico: aamalfig@electricaribe.com
RESUMEN
La comercialización minorista de electricidad fue un monopolio regulado, pero las tendencias a la liberalización de mercados han llegado también a los servicios públicos. Luego es relevante analizar los efectos que esta interacción entre firmas competidoras generará en los precios. Para ello se indaga por un marco que permita explicar el comportamiento estratégico que adoptan las firmas participantes en la actividad de comercialización de electricidad minorista. A partir de la identificación de un conjunto limitado de posibles alternativas de organización empresarial estratégica, se construye un modelo de un juego extensivo que permite identificar el comportamiento óptimo que adoptarán las empresas, tomando en cuenta las actuaciones óptimas de los otros agentes. Además, se propone un análisis de decisiones empresariales eficientes bajo las posibilidades disponibles en el juego, en cuanto a la organización empresarial, la decisión de mantenerse compitiendo o de retirarse y la posibilidad de adquirir a los competidores. El modelo aporta evidencia de que el juego puede proveer mejoras en el bienestar general de la sociedad, pero siempre lo hará primero en los consumidores de altos ingresos, en perjuicio de los consumidores de bajos ingresos.
Palabras clave: comercialización de electricidad, comportamientos estratégicos, juegos extensivos, entrada y salida de firmas, discriminación de precios.
ABSTRACT
Electricity retail merchandising was a regulated monopoly but market liberalization trends have also reached public utilities, making it relevant to analyze the price effects that such an interaction among competing firms will generate. To do so, this article theoretically seeks a framework to enable explaining the strategic behavior that the firms participating in electricity retail merchandising activities will adopt. After identifying a limited set of possible strategic business organization alternatives, an extensive game model is built, which allows identifying the optimum behavior that the companies will adopt, taking into account the optimum conduct of all other stakeholders. An analysis of efficient business decisions is also proposed, considering the possibilities available in the game regarding the business organization, the decision to keep competitive or to get out of the game, and the possibility of acquiring the competing firms. The model contributes evidence that the game may provide improved general welfare for the society, but it will always do so first for high-income bracket consumers and against low-income bracket consumers.
Key words: Electricity merchandizing, strategic behavior, extensive games, entry and exit of companies, price breakdown.
Introducción
La comercialización minorista de electricidad es el segmento de la cadena del sector eléctrico de más reciente desarrollo como negocio. En la mayoría de los países del mundo sigue siendo una actividad integrada con la distribución de energía. En algunas economías desarrolladas se están llevando a cabo procesos tendientes a introducir o profundizar un esquema de competencia en ese segmento de la industria. La Comisión de Regulación de Energía y Gas de Colombia (CREG) ha pretendido desde hace cerca de seis años implementar un marco de competencia en la comercialización minorista de electricidad.
Esta actividad implica que el comercializador actúa como intermediario entre los productores del insumo (empresas generadoras de electricidad) y los consumidores. Este negocio requiere instalar equipos de medida en el sitio de consumo. Esos medidores son consultados para conocer el consumo del cliente y, por medio de un documento comercial (factura), solicitarle el pago.
Aquellas empresas que obtengan ventajas tecnológicas en estas actividades podrán ofrecer precios más bajos y capturar mercado. Esta visión es apoyada por aquellos que creen en la liberalización de la comercialización de electricidad como actividad; uno de los principales defensores de esta visión es el profesor Stephen Littlechild (2002)1.
A pesar de esta visión, en la comercialización de electricidad hay seis particularidades que se deben tener en cuenta en el análisis de la disputabilidad del mercado:
1. El suministro de electricidad es un servicio público, y la mayoría de los países consideran de interés nacional que exista una cobertura total de dicho servicio. Para asegurarse de que esto sea posible normalmente crean la figura de proveedor universal del servicio o suministrador de último recurso.
2. Existen importantes costos de cambio de comercializador. Costo de los equipos de medición de la energía.
3. La energía que compran los distribuidores como comercializadores de último recurso normalmente se mide en unos pocos “puntos frontera”. Ellos deben velar por que la diferencia entre la energía que se compra sea lo más cercana posible a la suma de la energía que factura a todos y cada uno de sus clientes en sus medidores individuales (controlar las llamadas pérdidas de energía).
4. A pesar de que la electricidad es un bien homogéneo, los costos la operación comercial no lo son para todos los tipos de mercados. Es decir, los costos de atender zonas compuestas por clientes de altos ingresos serán muy diferentes a los costos de atender grupos de consumidores de bajos ingresos2.
5. La existencia de consumidores de muy bajos ingresos en zonas donde el costo de operación comercial puede resultar demasiado alto implicó que los reguladores establecieran métodos de fijación de precios máximos con el objetivo de limitar la posición dominante del proveedor de último recurso. Además, los reguladores con frecuencia impiden la discriminación de precios entre consumidores. Es decir, no es posible para una empresa ofrecerle precios diferentes a dos usuarios.
Estas situaciones particulares imponen ciertas dudas sobre la posibilidad de que el esquema de competencia por la comercialización de electricidad sea posible con profundidad y eficiencia para todos los segmentos de la sociedad. Uno de los principales detractores de los esquemas competitivos en esta actividad es el profesor Paul Joskow (2000 y 2003).
1. Un modelo secuencial de posibles estrategias
El modelo pretende analizar los resultados de una iteración entre agentes que compiten por un conjunto de mercados diferenciados, pero en los que se consume un bien homogéneo(electricidad). Supóngase, primero, la existencia de un incumbente, con las obligaciones de ser proveedor de última instancia y, además, de tener la capacidad instalada para atender a todo el mercado.
Paso seguido, se introduce la posibilidad de que otros proveedores ingresen al mercado. Ellos serán llamados entrantes. Estos competidores enfrentan dos limitaciones: pueden cobrar como máximo el precio regulado que hoy enfrenta el monopolista y también deben ofertar mediante un precio uniforme (un precio único para todos los consumidores que atiendan).
El incumbente mantiene la obligación de proveedor de última instancia, a pesar del ingreso de los competidores. La llegada de competidores puede implicar una reducción del conjunto de clientes que atiende el incumbente. A este último, como entidad única, no se le permite discriminar precios, pero sí crear otras empresas comercializadoras de su propiedad para atender a los consumidores que pueden ser tentados por otros entrantes; podría ofrecer un precio diferenciado por medio de esa otra empresa.
Entonces, se le abrirá la posibilidad de crear empresas de comercialización independientes, para que hagan las veces de competidores en los mercados donde más peligro se corre de que lleguen otros agentes a competir. Estas empresas serán llamadas en el transcurso del documento división-empresas. En este modelo, se introducirá la posibilidad de que el monopolio intente perpetuarse mediante la adquisición de sus competidores entrantes. Entonces los pasos del juego son:
1. El incumbente decide mantener la integración de su empresa atendiendo la totalidad de los mercados en disputa.
2. Discrimina precios dividiendo la atención de sus mercados con la creación de una o varias división-empresa que sirvan para atender los mercados en disputa (autodescreme). En última instancia, las utilidades o pérdidas de sus divisiones empresariales las recibirá él en un 100%.
Una vez el incumbente ha decidido su estructura empresarial, es turno del entrante. Este último debe determinar si entra o no a competir en el mercado. Tal determinación será tomada bajo un importante grado de incertidumbre con respecto a su capacidad competitiva frente a la que pueda presentar el incumbente. Entonces las alternativas del entrante son:
1. No competir. En este caso, el entrante obviamente no obtiene beneficio alguno. Esta solución conducirá a que se mantenga un monopolio de propiedad por parte del incumbente. Si él ha dividido el mercado, se puede decir que habrá un monopolio de propiedad pero un oligopolio de estructura, pues existirá una división-empresa que actuará como entrante, aun cuando es propiedad del mismo incumbente.
2. Competir. Cuando el entrante ingresa al mercado inicia un juego competitivo estratégico con el incumbente.
Dada la presencia de competidores, el incumbente puede intentar perpetuar el monopolio, mediante las adquisiciones:
1. Adquirir. En ese caso, el incumbente deberá pagar por el entrante una cifra que, al menos, sea tan grande como el valor presente de las utilidades que esperaba obtener el entrante. Ello será posible tanto si el incumbente está integrado como si hubiera separado parte de su operación. En ambos casos estará perpetuándose el monopolio por adquisición.
2. No adquirir. En ese caso, se dará un duo-polio, cuando el incumbente se mantiene integrado, o un oligopolio, en la medida en que haya separado sus operaciones. En el caso del duopolio, el entrante escogerá el tamaño del mercado que va a atender y el incumbente simplemente atenderá la demanda que le reste. En el segundo caso, la división-empresa creada y el entrante definirán sus mercados de atención mediante el esquema competitivo. Las divisiones-empresas actuarían como un entrante. Si existen otros entrantes, competirán contra estas; si no los hay, simplemente tomarán su parte del mercado que les maximiza el beneficio, y el resto será atendido por su casa matriz, el incumbente.
3. Entonces las etapas del juego propuesto son las presentadas en el Gráfico 1.

Si el incumbente se mantiene integrado (no crea las divisiones-empresas) y adquiere a sus competidores, existirá un monopolio en la estructura del mercado y en la propiedad de las actividades. Si el incumbente crea las divi-siones-empresas y adquiere a los competidores entrantes, existirá un duopolio en la estructura de mercado (tipo Stackelberg, donde la división-empresa es el líder, y el incumbente, el seguidor), pero monopolios de propiedad, pues ambas firmas tienen los mismos dueños.
Uno de los principales modelos teóricos (Gráfico 2) que simulan este tipo de condiciones de mercado fue desarrollado por Spence (1977) y Dixit (1980), que se basó en los conceptos de barreras de entrada de Bain (1956) y Weisäcker (1980). Ellos demuestran mediante un modelo que los incumbentes pueden evitar con credibilidad la entrada de nuevos competidores, al instalar una capacidad suficientemente grande. En este caso, el incumbente no acude a una amenaza de precios, sino que toma decisiones sobre el tamaño de su planta.

Un modelo que extiende los estudios del modelo Dixit-Spence fue desarrollado por Rasmusen (1988). Ese trabajo demuestra que las conclusiones del modelo de Dixit sólo son válidas si el incumbente no puede adquirir al entrante. En este modelo, el incumbente encuentra adecuado adquirir al entrante, una vez la entrada ha ocurrido.
El modelo de Rasmusen (Gráfico 3) ayudó a explicar muchos casos donde la estrategia de limit pricing no funcionaba, y llegaba competencia a mercados que incluso podían resultar poco rentables. Pero la sola expectativa de ser adquiridos, puede ser un incentivo suficiente para entrar en competencia.

2. Formalización y solución del juego
El juego propuesto es un juego de una sola vez, que parte desde la organización industrial del incumbente hasta un equilibrio competitivo de la industria, después de pasar por varias posibilidades de elección. Su propósito es evaluar los resultados de un esquema competitivo particular que se ha difundido especialmente en la comercialización minorista de electricidad. Para ello se han dado varias posibilidades a los agentes y eso hace que el juego implique un largo proceso económico que termina con equilibrios, que en primera instancia pueden considerarse sostenibles. Dada esa concesión de completitud se ha considerado poco realista el supuesto de repeticiones infinitas en este.
2.1 Formalización del juego
Se aprovecha la notación y estructura propuesta por Vega-Redondo (2003):
Jugadores: J={0,1,2}. J es el conjunto de los jugadores, y se denotará 0 a un jugador ficticio que representa el estado de la naturaleza. El jugador 1 será el incumbente que hoy está instalado en el mercado, y el jugador 2, el entrante.
J={Naturaleza,Incumbente,Entrante}
Orden de los eventos: para identificar los nodos es necesario definir algunos conceptos. Existe un conjunto de eventos que se llamará K; así mismo, una relación R que implica el concepto de precedente, una relación P que indica el concepto de inmediatamente precedente y una relación P-1 que señala el concepto de inmediatamente subsiguiente. Por lo tanto, si los eventos que hacen parte de K son:
K = {xo, Integrar, Dividir, Entrar, No Entrar, adquirir, No Adquirir}
Entonces, las relaciones de orden de estos eventos estarán dadas por los siguientes subconjuntos de predecesores y sucesores:

Además, se identificará un conjunto de nodos finales, aquellos que dan final al juego como Z:
Z={NoEntrar, Adquirir, NoAdquirir}
Las relaciones de precedencia y sucesión permiten definir el árbol de decisión del juego (Gráfico 4):

Los subconjuntos de K, llamados Ki, denotan las acciones de cada jugador, pero estas deben circunscribirse a que dicha acción sea posible en cada momento del juego, dadas las reglas de antelación y sucesión ya definidas:
K0 ={x0}
K1 ={Integración, División, Adquirir, NoAdquirir}
K2 ={Entrar, NoEntrar}
Los pagos de cada jugador en cada historia terminal Z reflejan toda la historia del juego y se pueden definir mediante el problema de optimización, de acuerdo con las posibilidades de cada agente, en cada una de las situaciones.
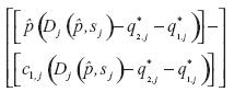
La demanda del mercado j ante un precio Pi,j del proveedor i en ese mercado j y unas transferencias sj (subsidios, expresados como un porcentaje del precio que pagará el gobierno) que realiza el gobierno para los consumidores de ese mercado j se definirá así: Dj(pij,sj)
Las funciones que representan los costos en los que incurre el proveedor i por atender una cantidad de demanda qi,en ese mercado sería: ci(qij)
Esta función de costos incluye todos los costos de la cadena del sector, que el comercializador i tenga que asumir en virtud de su situación estratégica y su capacidad tecnológica.
2.1.1 HT1 (integrar, entrar, no adquirir)
Cuando el entrante ingresa al mercado, este tiene la capacidad de decidir el tamaño del mercado que desea atender3. El modelo que se va a resolver aquí es un duopolio tipo Stackelberg, donde el líder es el entrante, y el seguidor, el incumbente. El entrante debe entrar ofertando cierta cantidad, de conformidad con su capacidad instalada y a un precio p2 que debe ser inferior al del incumbente p^ por normas del mercado.
El incumbente enfrenta la desventaja de ser el proveedor de última instancia4. Esto implica que el incumbente debe mantener una capacidad suficiente para atender a la totalidad del mercado.
2.1.1.1 Pago del entrante
La función que desea maximizar el entrante puede ser representada así, para cada mercado:
El entrante escogerá una cantidad q 2,j que responderá en alguna medida su decisión de capacidad instalada.
Luego debe definir un precio p2, tal que p<p^ . El precio p2 debe ser el más alto posible, pero que siempre sea menor al de incumbente y que la diferencia en precios cubra posibles costos de cambio de comercializadora.
2.1.1.2 Pago del incumbente
Dado que el incumbente debe proveer la totalidad de la demanda que requieran los consumidores, y al igual que el entrante debe asumir el precio regulado que se le imponga, no tiene alternativa de elección.
En consecuencia, el pago del incumbente depende de las elecciones que haga el entrante.
2.1.1.3 Efectos en los consumidores
Dada la presencia de los costos del cambio de comercializador, aquellos clientes con mayores consumos tendrán la mayor probabilidad de generar economías al decidir cambiarse al proveedor entrante, que les ofrece un precio inferior. Los consumidores de consumos muy bajos que no encuentren económicamente viable cambiarse hacia el nuevo agente tendrán que seguir consumiendo al precio que el incumbente les coloque, por alto que sea.
2.1.2 HT2 (integrar, entrar, adquirir)
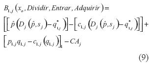
En este caso, el incumbente aplica un único precio p^ a la totalidad de sus clientes en todos sus mercados. La demanda de todos los j segmentos de mercado es totalmente atendida por este, y ella depende del precio de venta p^ y de los subsidios o contribuciones sj aplicables a cada estrato. Sin embargo, para poder estar solo en el mercado, el incumbente habrá tenido que adquirir al entrante; para ello, el entrante paga un valor CA (costo de adquisición), que viene a mermar el valor de la operación del incumbente. La expresión siguiente describe la función de pagos del incumbente en esta solución.
2.1.2.1 Pago del incumbente
El mercado atendido por el entrante5 es adquirido por el incumbente, lo cual significa que los accionistas del entrante han obtenido una renta espontánea, resultado de un proceso de negociación con el incumbente. Esa cifra ha sido llamada CA, y debe ser mayor o igual al valor presente de los beneficios que esperan obtener dichos accionistas por su participación en el mercado. La cifra, además, debe ser menor o igual al valor presente de los beneficios que obtiene el incumbente al atender a los clientes previamente capturados por el entrante.
2.1.2.2 Pago del entrante
El pago del entrante sería una composición lineal del valor presente de (1) y el valor presente del mercado para el incumbente:
Donde α es un parámetro que determina el peso del entrante en la negociación del precio de adquisición, y que debe surgir de un proceso de negociación entre incumbente y entrante.
En este caso, el pago para los dos agentes proviene de un proceso de negociación cuyo requisito es que las utilidades del incumbente al atender el mercado sean superiores a las del entrante. Es decir:

Si esta condición se cumple, será posible la negociación entre los agentes.
El auge de la teoría de juegos dio lugar al análisis de los procesos puja de negociación por la definición del precio de un bien entre dos partes. Quizás el principal avance en este tema descansa en un modelo desarrollado por Stahl (1972) y ampliado por Rubinstein (1982).
Para que exista posibilidad de negociación, es necesario que el bien valga más para el comprador que para el vendedor. Las valoraciones pueden normalizarse asumiendo que el valor del comprador es la unidad y la del vendedor es cero. Entonces, cualquier propuesta de negocio puede identificarse como un valor 
Cuando el negocio se cierra el comprador obtiene 1–γ, y el vendedor, γ.
La parametrización de este modelo implica un proceso intertemporal, donde se supone que en cada período se alternan comprador y vendedor para realizar ofertas y contraofertas sucesivas, que se manejarán en tiempo discreto
El Gráfico 5, tomado de Vega-Redondo (2003), ilustra el proceso descrito.
La estrategia solución para el proponente en un horizonte infinito sería demandar una cantidad de excedente de, al menos: 1/1+δ. En ese mismo caso, la contraparte sólo aceptará ofertas superiores a δ/1+δ , y rechazaría el resto. El modelo de Stahl y Rubinstein resulta valioso para simular precios de negociación bilaterales que pueden extenderse en el tiempo por la puja entre las partes.
2.1.2.3 Efectos en los consumidores
En este caso, el incumbente se perpetúa asumiendo un importante costo en la adquisición del mercado del entrante. Los consumidores que eventualmente eran atendidos por el entrante vuelven con el incumbente asumiendo el precio que este les coloque. En consecuencia, los beneficios de los consumidores por los menores precios que ofrece el entrante desaparecen. Una parte de esta renta se la lleva el incumbente, y otra, el entrante, que se retira del mercado vendiendo su participación.
2.1.3 HT3 (integrar, no entrar)
En este caso, el incumbente es el único agente en el mercado, y debe atender toda la demanda presente a los precios p1 y subsidios sj, dados sus costos de operación c1,j.El potencial entrante se mantiene por fuera del mercado y, en consecuencia, su pago es cero.
2.1.3.1 Pago del entrante
B2,j (xo, Integrar, No Entrar) = 0 (5)
2.1.3.2 Pago del incumbente
El incumbente no puede elegir nada y simplemente debe aceptar su utilidad determinada por su función de costos y los precios regulados.
2.1.3.3 Efectos en los consumidores
En este caso, los consumidores siguen percibiendo los mismos precios que ya tenían con el incumbente, pues no existe un proceso competitivo.
2.1.4 HT4 y HT7 (dividir, entrar, no adquirir)
Las decisiones del entrante cuando el incumbente ha separado su gestión en divisiones-empresas tienen una importante incertidumbre sobre la capacidad de competir de las divisiones-empresas que ha creado el incumbente. Cuando este último se mantiene integrado, el entrante sabe que prácticamente tiene el camino libre para capturar mercado; pero, en este caso, puede estar en problemas si las divisiones-empresas tienen costos de gestión más bajos que él. Menores costos de gestión significarán precios más competitivos.
2.1.4.1 Pago del entrante
El pago del entrante dependerá de su capacidad de competir frente a las divisiones-empresas creadas por el incumbente:
Ciertamente (7) resulta casi igual a (1), pero la diferencia radica en que en este caso las cantidades y precios no son una elección como en (1), sino el resultado de un juego competitivo en (7). El modelo competitivo que se va a emplear es el de Bertrand6, con restricciones de capacidad y empleando una regla de racionamiento eficiente.
2.1.4.2 Pago del incumbente
En este caso, el pago del incumbente se compone de los pagos que se obtienen de cada una de las divisiones-empresas que ha creado para hacer contrapeso a la competencia, y adicionalmente del pago de la casa matriz, que sigue actuando como incumbente (es decir, debe seguir atendiendo la demanda residual).
El pago del incumbente se puede subdividir en dos partes:
• Pago de la casa matriz al atender la demanda residual no atendida por las divisiones-empresas creadas por su grupo, ni por competidores externos. Este pago sería:

• Pago de las divisiones-empresas por la atención de la demanda que ellas logran capturar en un proceso competitivo con los otros agentes externos. Este pago sería:

2.1.4.3 Efectos en los consumidores
En este caso se presenta un proceso competitivo en firme que, mediante la búsqueda de eficiencia de las divisiones-empresas y de los entrantes, debe conducir a mejores precios para aquellos clientes a los cuales les resulte conveniente asumir los costos del cambio de comercializador. Entonces, aunque este proceso competitivo sostenido debe reflejar excedentes de consumidor, los clientes de mayores consumos tienen una mejor oportunidad de percibirlos.
2.1.5 HT5 y HT8 (dividir, entrar, adquirir)
2.1.5.1. Pago del incumbente
El entrante es adquirido por el entrante, lo cual significa que los accionistas del entrante han obtenido una renta espontánea, resultado de un proceso de negociación con el incumbente. Se puede construir de forma similar a las HT4 y HT7.
2.1.5.2 Pago del entrante
Donde b es un parámetro que determina el peso del entrante en la negociación del precio de adquisición, y que debe surgir de un proceso de negociación entre incumbente y entrante.
2.1.5.3 Efectos en los consumidores
En este caso, el proceso de competencia entre entrantes y divisiones-empresa desaparece con la adquisición. Las divisionesempresas sobreviven y los clientes atendidos por ellas tendrán acceso a menores precios y percibirán un beneficio. Sin embargo, sólo los clientes que encuentren conveniente asumir los costos del cambio de comercializador, dados los menores precios, se beneficiarán de esta circunstancia.
2.1.6 HT6 y HT9 (dividir, no entrar)
En este caso el monopolista ha decidido discriminar precios por mercado mediante la división de su empresa en menores compañías especializadas por mercado.
2.1.6.1. Pago del entrante
2.1.6.2. Pago del incumbente
El incumbente no puede elegir nada y simplemente debe aceptar su utilidad determinada por su función de costos y los precios regulados.
2.1.6.3 Efectos en los consumidores
Al igual que en el caso anterior, los clientes atendidos por las divisiones-empresa tendrán acceso a menores precios y percibirán un beneficio. Pero sólo los clientes que encuentren conveniente asumir los costos de cambio de comercializador, dados los menores precios, serán los que se beneficien. El Gráfico 6 presenta un esquema que orienta la solución del juego. Nótese que su solución final depende de resultados de juegos parciales con diferentes condiciones; pero los resultados de equilibrio de cadajuego aportan los insumos para la solución final.
2.2 Solución del juego mediante inducción hacia atrás
El proceso de inducción hacia atrás (back- ward induction) permite identificar las posibles soluciones de un juego estratégico secuencial.
2.2.1 Adquisición
Siguiendo este procedimiento, lo primero que se debe definir es si el incumbente intentará comprar al entrante o no. La decisión de adquirir al entrante o no será tomada por el incumbente comparando dos posibles pagos:
• El beneficio que obtendrá el incumbente al atender el mercado que le queda, aceptando la presencia del incumbente.
• El beneficio que obtendrá el incumbente al atender por sí solo todo el mercado, pagando para ello al incumbente una suma CA, que será resultado de un proceso de negociación.
2.2.1.1. Cuando el incumbente se mantiene integrado
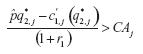
En el caso de que el incumbente decida mantenerse integrado, este podrá adquirir al entrante si se cumple la siguiente desigualdad:

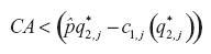
Si el beneficio marginal que obtiene el incumbente al capturar la demanda del entrante mediante la adquisición es superior a CA, entonces habrá posibilidades para que el entrante sea comprado.
La posibilidad de la presencia del entrante reside en que los precios del entrante sean inferiores a los del incumbente. Entonces:

Además, es posible que el incumbente tenga importantes niveles de economías de escala. Recuérdese que él por su obligación de ser proveedor de último recurso mantiene instalada la capacidad necesaria para atender la totalidad del mercado. Por ello el incumbente enfrentará menores costos que los que tendrá el entrante al atender el mercado en disputa.

De acuerdo con esto, los beneficios del incumbente al atender el mercado son mayores que los del entrante:

El proceso de negociación se resume como una repartición de un excedente entre entrante e incumbente. Tal excedente se puede definir como la diferencia entre el valor que tiene el mercado para el comprador (incumbente) y el valor del mercado para el vendedor (el entrante). Tal excedente se puede definir así:

Entonces, cualquier propuesta de precio entre uno y otro agente puede ser expresada sin pérdida de generalidad como un valor
que será pagado por el bien(el excedente)en cuestión. Cuando la transacción se materializa a cualquier precio g , el vendedor (entrante) recibirá un beneficio neto igual g , mientras el comprador (el incumbente) obtendrá un beneficio 1–g . Evidentemente g y 1–g son las participaciones que obtendrán cada uno de los agentes del excedente total que se definió antes.
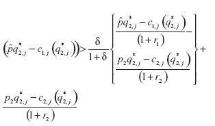
Por el modelo de Rubinstein (1982), el incumbente ofrecerá comprar al entrante, y guardará para sí una fracción 1/1δ del excedente. En ese mismo caso, la contraparte aceptará la oferta del excedente remanente. Ahora, es posible identificar el pago que tendrá el incumbente cuando adquiere (Ecuación 3) y compararlo contra el pago cuando no adquiere (Ecuación 2):

De acuerdo con la ecuación, esto será expresando el valor de adquisición como la suma entre los beneficios esperados por el entrante más una fracción del excedente que se va a negociar. De conformidad con el modelo de Rubinstein se obtiene:
De allí que se pueda expresar la función pago cuando hay adquisición como:
La primera parte de la ecuación es la utilidad como monopolista, que es mermada por el costo de la adquisición (13). La función pago cuando no hay adquisición sería (Ecuación 2):
Esta puede ser expresada así:
En esta ecuación la primera parte es la utilidad como monopolista, la cual es mermada por no atender la demanda que capturó el entrante. Si se comparan las segundas partes de las ecuaciones (14) y (15), se puede demostrar que siempre se cumple la siguiente relación entre el costo de adquisición y el beneficio de la explotación7:

Es fácil demostrar que la desigualdad se cumple y por ello el incumbente siempre escogerá adquirir a los entrantes cuando mantiene el negocio integrado.

2.2.1.2 Cuando el incumbente crea las divisiones-empresas
El hecho de que el incumbente haya creado las divisiones-empresas implica que los mercados en disputa sean atendidos por las divisiones-empresas y los entrantes. La demanda residual será cubierta por el incumbente.
Los costos marginales de las divisiones-empresas y los entrantes no deben ser muy diferentes, pues deben tener condiciones de operación muy parecidas. Si las capacidades instaladas por los dos agentes del mercado son suficientes para atender la totalidad de la demanda, se tendrá una competencia por precios (Bertrand); esto conducirá a que los precios de ambos sean iguales.
En el caso de que haya restricciones de capacidad, habrá diferencias de precios. En esta situación será necesario usar una regla de racionamiento para definir cuáles clientes comprarán a precios bajos y cuáles serán racionados.
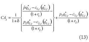
Al comparar las ecuaciones (8) y (9) n valor presente, se confrontan los beneficios que obtendrán las divisiones-empresas al atender todo el mercado sin la presencia del entrante, pero pagando un valor CA para evitar su presencia; lo anterior contra el pago de las divisiones-empresas, que aceptan la presencia del entrante sin adquisición. Esa desigualdad entre (8) y (9) se puede simplificar así:

Nótese que los beneficios del incumbente al realizar la compra son valorados al precio de venta del incumbente p^ , igual que en el caso anterior. La diferencia trascendental entre este proceso y el que se analizó cuando se mantiene la integración está en que tanta demanda podrá capturar un entrante que en última instancia es la base de la negociación

Entonces, todas las conclusiones sobre la adquisición obtenidas en el caso de la integración siguen siendo válidas cuando hay división en las empresas del incumbente, pues aunque el precio de venta del entrante 2 surgirá de su competencia tipo Bertrand Edgeworth con la empresa-división de cada mercado, este siempre debe ser más pequeño que el del incumbente p^.
No obstante, hay dos diferencias en el resultado: la primera estará en el tamaño del mercado que capturará el entrante, el cual será mucho más pequeño y posiblemente igual a cero, pues existe una división-empresa dispuesta a competir por los mercados más apetecidos. La segunda diferencia es precio de venta. En el primer análisis, este precio de venta surgía de un modelo Stackelberg, donde el entrante es el líder y el incumbente es el seguidor. Ahora el precio de venta surgirá de una competencia por precios con restricciones de capacidad.
Dado que el precio de venta del entrante es menor que el del incumbente, el valor del mercado será siempre mayor para el comprador (incumbente) que para el entrante (vendedor). El costo de adquisición responderá nuevamente al que se obtuvo mediante el modelo de Rubinstein, pero con la parametrización de cantidades y precios propios de este esquema. Además, en este caso, el entrante será un precio aceptante, es decir, el pago final se dará por una propuesta del comprador y no por una exigencia del vendedor, por lo cual la participación del excedente que recibirá el entrante será

Entonces:

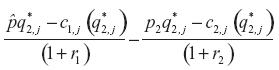
Como en el caso de la integración, el pago del incumbente en una eventual adquisición siempre será mayor que cuando no lo hace:

2.2.2 Entrada
En el proceso de entrada, el entrante debe definir si entra o no al mercado y con cuánta capacidad. Posteriormente a esa decisión, se da un juego competitivo con los otros agentes en el mercado. Siguiendo el modelo Bertrand-Edgeworth.
Defínase Dj(p) como la función de demanda jdel mercado y, en consecuencia, la función de demanda inversa del mercado permite definir el precio de equilibrio:
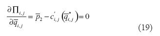
El cálculo de las condiciones de primer orden arroja el siguiente resultado:
El nivel óptimo de
es aquel nivel de capacidad instalada que maximiza el beneficio de la firma.
En este caso particular, existen restricciones que deben analizarse. Se sabe que el comercializador entrante no puede ofertar un precio superior al que hoy presenta el incumbente. Además, si existen costos de cambio de comercializador, entonces debe ofrecerse algún valor agregado a los consumidores para que decidan realizar el cambio.
El entrante sabe que tendrá que llegar ofreciendo un precio de venta que le permita capturar mercado;uno que sea tan bajo como para cubrir los cambios de comercializador y generar un incentivo al cambio. Tal precio de venta es un límite para el entrante y él tomará la decisión de cuánta capacidad instalar pensando en ese límite.
Suponiendo que el precio límite es -p2 . El problema a maximizar por el entrante será:
El cálculo de las condiciones de primer orden arroja el siguiente resultado:
Entonces:
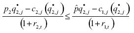
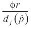
Esta sería la capacidad óptima que debe instalar el entrante dado un precio máximo p2 . Para determinar este precio máximo se utilizará un modelo de costos de cambio de proveedor propuesto por Varian y Shapiro (1998). Por ejemplo, si el costo de cambiar de comercializador es una cifra φ y los costos de oportunidad del cliente típico son r, el precio máximo que puede cobrar el entrante para poder capturar algo de un determinado mercado j sería:

Donde φr es la fracción que se va a amortizar por período del costo de cambio de comercializador, asumiendo que nunca más se tendrá que volver a asumir dicho costo8.
Los costos de cambio de comercializador implican una restricción en los precios de venta de los entrantes, y en la cantidad de usuarios que pueden atender, pues para muchos de los usuarios no será “rentable” asumir los costos del cambio de proveedor dado el consumo que tienen. Si dj (p^) es la demanda individual, es muy pequeña, el cociente
es muy grande y probablemente el descuento en el precio que tendría que ofrecer el entrante sería demasiado alto.
Desde un punto de vista estrictamente teórico, el precio de venta del entrante será una cantidad:

Donde λ > 0.
La capacidad óptima que debe instalar el entrante será aquella que cumple con la condición de primer orden:
a un precio dado:
2.2.2.1 Cuando el incumbente se mantiene integrado
Supóngase ahora que el entrante decide tener una capacidad instalada positiva
que responde a la regla de optimización de capacidad antes mencionada. Él sabe que si escoge un precio ligeramente inferior al máximo posible, podrá captar cualquier cantidad de mercado que desee.
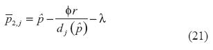
Entonces el precio del entrante tendría que responder a una condición de optimización, pero sujeta a la restricción de que el precio que defina no sea superior a:
Donde λ > 0 y λ ≈ 0 . Es decir, un precio tal que justifique al consumidor asumir los costos de cambio de comercializador y, además, ganar una cantidad λ por unidad de producto consumida. El ejercicio de optimización del precio respondería a la siguiente condición:
El precio que satisface esta condición sería el óptimo, pero si dicho precio supera la condición (21) en un determinado mercado, entonces la empresa entrante no podrá ofertar en ese mercado. A ese precio p2, el entrante podrá capturar una demanda en cada mercado j en los que se cumpla la condición (21) y que responderá a la siguiente condición:
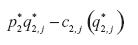
En los mercados donde sea posible la entrada, el entrante tendrá el siguiente pago máximo por su operación (al reemplazar la ecuación 21 en la ecuación 7):
En la etapa final del juego se sabe que habrá una adquisición por parte del incumbente, y que el valor de dicha adquisición sería el pago que obtendría el entrante. En ese caso, el entrante solicitará la repartición del excedente
, y esta partición será aceptada por el incumbente (Ecuación 13):

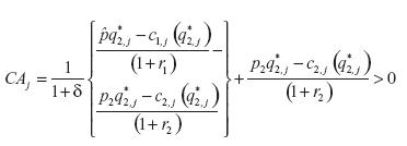
Esta expresión es positiva, pues el precio de venta del entrante es menor al del incumbente y los costos marginales del entrante son mayores que los del incumbente; luego el pago que obtendrá el entrante cuando llega al mercado será el valor de adquisición. Dicho valor es positivo y, por ende, mayor al pago cuando decide no entrar, que es cero. Dado que CAj > 0 , para el entrante:
2.2.2.2 Cuando el incumbente crea las divisiones-empresas
En este caso, el incumbente ha creado las divisiones-empresas mediante un proceso de optimización de la capacidad instalada, idéntico al del entrante. Entonces, ambas empresas exhibirán una capacidad instalada que será definida mediante el algoritmo que se explicó en el proceso de entrada a la industria y que puede ser diferente dependiendo de la tecnología de producción que tengan.
Si la división-empresa es más competitiva que el entrante:

Si la división-empresa tiene mejor tecnología de producción, podrá presentar un precio tal que
El precio de la división-empresa será menor que el del entrante externo y que el del incumbente. Dado un nivel de capacidad de producción
en la división empresa, tal que:

Entonces la demanda atendida por la firma 1 será:

La demanda atendida será la máxima posible dada la capacidad instalada. Mientras tanto, la firma 2 atendería la demanda restante hasta su propia limitación de capacidad. Se obtendrían con (7):

Si las divisiones-empresas son capaces de vender a un precio más bajo que el del entrante, este tendrá muchos problemas para capturar demanda, pues las divisiones-em-presas tendrán una capacidad instalada propia importante, pero además la posibilidad de atender parte de sus clientes aprovechando la infraestructura del incumbente (que es suficientemente grande para atender todo el mercado); adicionalmente, podrá hacerlo a costos marginales muy bajos, pues de cualquier forma el incumbente incurre en ese costo (es un costo hundido para el incumbente).
Para resumir: Si p1,j < p2 mientras el entrante esté amenazando el mercado
Probablemente, si el mercado no está amenazado por un entrante externo, la división-empresa atenderá la porción de mercado que puede atender con su capacidad propia, independiente de la del incumbente

Bajo estas circunstancias, lo más probable es que los pagos del entrante cuando el incumbente se mantiene integrado sean más grandes que cuando el incumbente crea las divisiones-empresas y es capaz de vender a precios más bajos que el entrante externo.

Sin embargo, previamente se vio que el pago del entrante cuando llega a un mercado no está determinado sólo por su operación, sino por la expectativa de la adquisición. Entonces el pago responderá al modelo de valoración del costo de adquisición, pero la posición negociadora del entrante estará mucho más limitada y afanada por la presencia de un margen de contribución muy pequeño y aceptará alguna propuesta del incumbente. De acuerdo con el juego de Rubinstein, el que acepta recibirá:
En este caso, el pago del entrante puede llegar a ser cero si este ha sido muy poco competitivo. En esta situación, el entrante tiene afán de negociar y probablemente esté enfrentando pérdidas operativas mientras logra pactar la porción del mercado que tiene capturada con el incumbente. Entre más altos sean los costos fijos de operación, mayor presión tendrá el entrante por negociar. Por ello en algún momento del tiempo terminará cediendo la mayoría del excedente al incumbente. Si p1,j< p2 , el entrante aceptará la propuesta del entrante en cualquier momento. Eso hará que CAj > 0.
Si la negociación se alarga mucho en el tiempo, las cantidades que pueda captar el entrante con precios más altos que los de las divisiones-empresas se reducirán a cero; en cuyo caso al final CAj = 0 y el entrante saldrá con las manos vacías del mercado y probablemente con una historia de pérdidas. Ciertamente, el incumbente no tiene afán por negociar, pues la porción que el entrante ha capturado 
Entonces, si,p1,j< p2, para el entrante sería mejor no entrar en el negocio.
Si en el entrante es más competitivo que la división-empresa
Si el entrante externo tiene mejor tecnología de producción, podrá presentar un precio tal que:

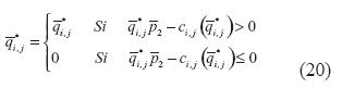
En ese caso, el ejercicio competitivo será como la situación anterior, acondicionada a una regla de racionamiento eficiente, donde 
En este caso, el entrante es capaz de capturar la porción que desea de cada mercado y cumple a cabalidad sus procesos de optimización. Por ello puede aspirar al precio de adquisición, aunque mientras esté en el mercado enfrentará la pérdida de sus costos fijos:

El precio de adquisición será positivo y, por ende, habrá suficiente incentivo para entrar.
2.2.2.3 Conclusiones de esta etapa del juego
En esta etapa del juego, quien debe decidir si entra o no al mercado es el entrante externo. En caso de que el incumbente se mantenga integrado, podrá capturar una buena porción de la demanda (la que le sea óptima) y aspirar a un valor de adquisición:

Que será positivo y, por consiguiente, ofrece suficiente incentivo al entrante para que ingrese al mercado. En ese caso escoge

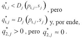
Cuando el incumbente crea las divisiones-empresas, el valor de adquisición y el afán por el negocio dependen de la situación del entrante en el mercado. Si el entrante no logra ofrecer precios tan bajos como los de la división empresa p1j,<p2 , entonces
en cuyo caso
B2,j (División, NoEntra) > B2,j (División, Entra)
Aquí el entrante no tiene incentivos para ingresar al mercado, y escoge
Si p1j,<p2 entonces el entrante capturará una buena porción de demanda, haciendo un fuerte daño al incumbente y negociando en las mismas condiciones que cuando no hay división. Por ello si p1j,<p2:
B2,j (División, Entra) > B2,j (División, NoEntra)
Entonces el entrante ingresa al mercado y escoge
Ante la incertidumbre de qué tan bajo puede llegar el precio de la división empresa del incumbente, el entrante debe definir una función de pago como el valor esperado del costo de adquisición:

Donde 1– φ ) es la probabilidad de que la división-empresa del incumbente logre ofrecer un precio más bajo que el entrante y j es la probabilidad de que la división-empresa del incumbente ofrezca un precio más alto o igual que el del entrante. Más formalmente:

El mínimo valor que puede tomar el valor esperado del costo de adquisición es 0, en caso de que haya certeza sobre la capacidad de las divisiones-empresas para vender a menores precios que el entrante.
Naturalmente, cualquier duda sobre si las di-visiones-empresas son capaces de competir o no darán lugar a la llegada de entrantes, deseosos de ser adquiridos en un futuro cercano. Si el valor esperado del costo de adquisición es positivo, el entrante escoge
; en cualquier otro caso
2.2.3 División de la empresa
En esta etapa del juego, el entrante debe tomar la decisión de cómo gestionar su negocio: mediante una sola empresa incumbente o mediante varias empresas comercializadoras especializadas por cada uno de los j mercados y un incumbente que actúa como proveedor de último recurso, que atiende la demanda residual.
2.2.3.1 Cuando se mantiene integrada la empresa
En el caso de que se mantenga integrado, el incumbente tendría la siguiente función de pagos:

El costo de adquisición en este caso corresponderá al que se determinó en la Ecuación 13:

El precio de venta del entrante estará limitado por el estimado en la Ecuación 21 para cada mercado j, pero se optimizaría de acuerdo a la condición (22). Y las cantidades que se van a atender son las propias del proceso de optimización:

2.2.3.2 Cuando se crean las divisiones-empresas del incumbente
En el caso de que se divida la gestión, el incumbente tendría la siguiente función de pagos:

2.2.3.3 Conclusiones de esta etapa del juego
Cuando el entrante vende a un precio más bajo que las divisiones-empresas, la captura que puede hacer es prácticamente la misma, sin importar si el incumbente está integrado o no. Pero hay una diferencia en la función de pagos, y es que cuando el incumbente crea las divisiones-empresas, la porción de cada mercado que estas atienden debe ser vendida a un precio inferior al que vende el entrante. Por ello, en ese caso, el pago del incumbente será menor cuando separa la gestión a cuando mantiene integrada la empresa.

Cuando el entrante no puede vender más bajo que las divisiones-empresas, el pago del incumbente es más grande cuando crea las divisiones-empresas, porque técnicamente Donde: reduce la expectativa del valor de adquisición del entrante a casi cero.
Se puede concluir que cuando las divisiones-empresas pueden competir efectivamente, la estrategia de separación funciona para desmotivar la entrada de nuevos entrantes. El incumbente tendrá que seguir vendiendo parte de la demanda a precios más bajos que p^, e infinitesimalmente menores a los de p2 para poder capturar el mercado. Pero de esa forma evita la entrada de nuevos agentes y el pago de altos costos de adquisición.

2.2.4 Equilibrio perfecto en subjuegos y sus consecuencias
Unificando las conclusiones de cada etapa del juego por inducción hacia atrás se puede determinar que:
Si el incumbente puede crear las divisiones-empresas de tal forma que sean competitivas en precio, entonces la estrategia del incumbente será crear tales divisiones. Esa decisión será tomada bajo la certeza de que los entrantes llegarán al mercado. Los entrantes, siempre que tengan alguna incertidumbre sobre la capacidad competitiva de las divisiones-empresas, entrarán en los mercados
Tal decisión la toman los entrantes bajo la certeza de que sus empresas serán adquiridas por el incumbente, y después de creadas sus empresas recibirán como pago un valor positivo que es el costo de adquisición CA.
Esa certeza existe, pues el incumbente siempre encontrará provechosa la estrategia de adquirir a sus competidores, pues esos mercados valen más para el incumbente que para cualquiera de los entrantes.
En el caso de que el incumbente pueda crear las divisiones-empresas de tal forma que p1, j < p2, el equilibrio estará compuesto por la historia terminal HT6 (dividir, no entrar), pues si entrara no lograría capturar mercado alguno y, en cambio, asumiría los costos fijos.
Si el incumbente no encuentra una forma de que sus potenciales divisiones-empresas puedan tener precios más bajos que los del entrante p1 j,> p2, el incumbente no debería crear las divisiones-empresas, sino mantenerse integrado. La decisión de mantenerse integrado sucede porque el incumbente no logra evitar la captura de mercado que realiza el entrante mediante la creación de las divisiones-empresas.
Esa decisión, al igual que en el caso anterior, será tomada bajo la certeza de que los entrantes llegarán al mercado 
Tal decisión la toman los entrantes bajo la certeza de que sus empresas serán adquiridas por el incumbente, y después de creadas, sus empresas recibirán como pago un valor positivo que es el costo de adquisición CA.
Esa certeza existe, pues el incumbente siempre encontrará provechosa la estrategia de adquirir a sus competidores, pues esos mercados valen más para el incumbente que para cualquiera de los entrantes.
En el caso de que el incumbente no pueda crear las divisiones-empresas de tal forma que p1,j >p2, el equilibrio estará compuesto por la historia terminal HT2 (integrar, entrar, adquirir).
Efectos en los consumidores de estos equilibrios de mercado:
Desde un punto de vista más analítico, lo que resulta muy interesante de estas conclusiones es que el modelo de competencia no se consolidará mientras se mantenga esta estructura de mercado.
En el largo plazo, el incumbente será quien atienda estos mercados y los conseguirá mediante una estrategia de descreme de precios, creando las divisiones-empresas en los mercados en peligro o adquiriendo a aquellos competidores que se atrevan a entrar al mercado.
En el caso de que el incumbente no pueda crear divisiones-empresas competitivas p1,j >p2, el excedente del consumidor no se está incrementando con el esquema competitivo propuesto pues, como se ha visto, salvo en períodos en los que existe un entrante, es el incumbente quien en última instancia sigue atendiendo la demanda.
Este modelo de competencia provoca que el excedente del consumidor sólo se incremente en los mercados que atiende el entrante y ello sólo sucede transitoriamente. En este caso, los beneficios de la competencia los absorben los consumidores temporalmente hasta que se ejecuta la adquisición de los entrantes. El proceso de adquisición hace que desaparezcan los excedentes de consumidor que introdujo la competencia; además, provoca que el incumbente traslade una parte importante de su excedente del productor al entrante oportunista.
Desde el punto de vista de la distribución de la riqueza, se observa que el incremento en el excedente del consumidor sólo ocurre sobre aquellos mercados que son de interés del entrante. Los mercados donde puede penetrar el entrante son aquellos de consumos suficientemente altos para asumir los costos de cambio de comercializador y en los cuales los costos de atención son bajos.
Este concepto se origina en la condición (21), que determina el precio máximo con el que se puede penetrar el mercado. En el caso de que el incumbente sí pueda crear divisiones-empresa competitivas (p1j< p2), el excedente del consumidor se incrementa para los consumidores atendidos por esas divisiones. En este caso, los beneficios de la competencia permanecen, pues las divisiones-empresas no desaparecen como en el caso anterior.
Entonces, cuando (p1j< p2) se generan excedentes para el consumidor de manera permanente, pero estos sólo surgen para los mercados que pueden asumir los costos de cambio. Se puede esperar que eso suceda especialmente en los mercados de altos ingresos.
Conclusiones
• La liberalización de la actividad de comercialización de electricidad para que se convierta en un mercado competitivo puede no tener alcances convenientes sobre todos los consumidores de una sociedad. Esta actividad reviste particularidades que dificultan la entrada de agentes a participar en los estratos ingresos medios y bajos.
• El costo de cambio de comercializador, representado en los costos de los equipos necesarios para pasarse del incumbente al entrante, son una barrera que será superada entre más alto sea el consumo de los consumidores, y probablemente sea infranqueable para los consumidores de bajos ingresos.
• Las firmas entrantes tienen incentivos a la entrada en los mercados de consumidores de altos ingresos no solamente para explotar la actividad en esos segmentos de bajos costos para la empresa y altos consumos, sino también porque saben que el incumbente tendrá incentivos para eventualmente adquirirlos. Ese proceso de adquisición les generará a los entrantes rentas extraordinarias más grandes que las provenientes de la explotación de la actividad.
• Las firmas incumbentes, para dificultar la entrada de esos competidores, intentarán discriminar precios. La discriminación está prohibida para las empresas individuales, por ello el incumbente creará nuevas empresas, llamadas divisiones-empresas, que serán de su propiedad e tratará de sentar una competencia a los entrantes en sus mismas condiciones.
• Si no hay forma de crear tales divisiones-empresas bajo una estructura tecnológica suficientemente competitiva, su creación será inútil en el intento por desestimular la llegada de competidores. En ese caso, lo mejor que puede hacer el incumbente es mantenerse integrado e intentar perpetuar su monopolio adquiriendo a los competidores que lleguen.
• Se pudo concluir que el incumbente siempre tendrá un incentivo a la adquisición por un precio suficientemente bueno como para que el entrante venda. Sin embargo, también se concluyó que el valor de la negociación será mucho más grande cuando el incumbente tiene una empresa integrada que cuando las ha separado.
• La apertura a la competencia en esta actividad podrá traer como consecuencia que las firmas involucradas adopten estrategias encaminadas a la discriminación de precios, lo que tiene efectos adversos y muy cuestionables en los consumidores de menores ingresos.
• La creación de las divisiones-empresas impondrá al entrante la necesidad de competir por precios. Si las divisionesempresas son lo suficientemente competitivas, irremediablemente se llevarán los precios a su mínimo posible que son los costos marginales. Ante esta situación, los entrantes no podrían recuperar sus costos fijos. Bajo esta circunstancia se conseguiría desestimular totalmente la llegada de entrantes a esos mercados disputables.
• El esquema de competencia impondrá costos importantes sobre el incumbente, pues su condición de proveedor de último recurso le impide adaptar su tamaño de planta.
• El esquema tradicional de gestión mediante un monopolio regulado puede llegar a ser mejor o peor en términos de bienestar, ello depende de las características de las funciones de demanda y del tamaño de los mercados disputables y no disputables; pero, sin duda, los efectos sobre la distribución y la desigualdad son más deseables que los de este extraño esquema de competencia.
Notas al pié de página
1. Profesor Stephen C. Littlechild. Director de la Oficina de Regulación de Electricidad en Inglaterra. Director general de Oferta de Electricidad entre 1989 y 1998. Desde 1975 hasta 1989, fue profesor del Departamento de Economía Industrial de la Universidad de Birmingham. Desde 1972 hasta 1975, fue profesor de Economía Aplicada y jefe de economía, econometría, estadísticas y mercadeo del Aston Management Centre. Ha sido profesor de varias instituciones académicas de Estados Unidos, incluidas las universidades de Stanford, New York y Chicago.
2. Las zonas de residencia de clientes de altos ingresos cuentan con buenas vías de acceso, métodos de seguridad urbana efectivos, buena infraestructura de servicios públicos y con un método de construcción basado en propiedad comunitaria. Estas condiciones son muy diferentes a las que se presentan en los sectores de menores ingresos, que en ciudades latinoamericanas engloban a la mayoría de la población.
3. Desde el punto de vista estrictamente legal, resulta posible para un cliente solicitarle a un entrante que le provea el servicio. Sin embargo, el entrante tiene medios a su alcance para evitar atender usuarios que no le resultan atractivos; por ejemplo: limitar la información de sus precios y servicios a ciertos grupos de consumidores, no ofrecer facilidades que sí le permite a sus clientes deseados en la compra de equipos de medida o no proveer la orientación suficiente en un proceso que puede resultar complejo.
4. Tiene que proveer servicios a todos aquellos clientes que ningún otro agente desee atender.
5. Adquirir el mercado puede interpretarse como adquirir los contratos o derechos de suministro sobre un grupo de clientes particulares.
Lista de referencias
1. Bain, J. (1956). Barriers to new competition. Cambridge: Harvard University Press. [ Links ]
2. Baumol, W. J. (1982). Contestable markets: An uprising in the theory of industry structure. American Economic Review, 72, (1), 1-9. [ Links ]
3. Panzar J. and Willing, R. (1982). Contestable markets and the theory of industry structure. New York: Harcourt Brace Jovanovich. [ Links ]
4. Beato, P. and Fuente, (1999). Retail competition in electricity. IADB Working Paper. Washington March 1999. IFM-118. [ Links ]
5. Dixit, A. (1980). The role of investment in entry deterrence. Economic Journal, 90, 95-06. [ Links ]
6. Edgeworth, F. Y. (1925). The pure theory of monopoly (vol. 1). London: McMillan. [ Links ]
7. Green, R. (1990). Electricity deregulation in England and Wales. Cambridge,
8. Electricity markets: Challenges for economic research. (2003, september). Documento presentado en the Research Symposium European Electricity Markets, The Hague. [ Links ]
9. Joskow, P. (2000). Why do we need electricity retailers? Or, can you get it cheaper wholesale? Recuperado el 25 de noviembre del 2005, de http://econ-www.mit.edu/files/1127 [ Links ]
10. The difficult transition to competitive electricity markets in the
11. Kamien, M. I. and Zang, I. (1990). The limits of monopolization through acquisition, Quarterly Journal of Economics, 105, 465-499. [ Links ]
12. Littlechild, S.(2002). Competition in retail electricity. Recuperado el 25 de noviembre del 2005, de http://ideas.repec.org [ Links ]
13. Mas Colell, A., Whinston, M. and Green, J. (1995). Microeconomic theory. Oxford: Oxford University Press. [ Links ]
14. Mulder, M., Shestalova, V. and Lijesen, M. (2005, 8 de octubre). Vertical separation of the energy distribution industry: a cost-benefit analysis. Documento presentado en la Cuarta Conferencia sobre Investigación en Infraestructura Aplicada. Berlín, Alemania. [ Links ]
15. Osborne, M.(2004). An introduction to game theory. New York: Oxford University Press. [ Links ]
16. Pigou, A. (1920). The economics of welfare. 4th Ed. London: MacMillan. [ Links ]
17. Rasmusen, E. (1988). Entry for buyout. Journal of Industrial Economics, 36 (3), 281-299. [ Links ]
18. Rubinstein, A. (1982). Perfect equilibrium in a negotiation model. Econometrica, 50, 97-110. [ Links ]
19. Rey, P. and Tirole, J. (1986). The logic of vertical restraints. American Economic Review, 76, 921-939. [ Links ]
20. Shapiro, C. and Varian, H. (1999). Information rules. Boston: Harvard Business School Press. [ Links ]
21. Spence, A. M. (1977). Entry, capacity, investment, and oligopolistic pricing. Bell Journal of Economics, 8, 534-544. [ Links ]
22. Spulber, D (1999). Market microstructure: Intermediaries and the theory of the firm. Cambridge: Cambridge University Press. [ Links ]
23. Stahl, I. (1972). Negotiation theory. Stockholm: Economics Research Institute at Stockholm School of Economics. [ Links ]
24. Tirole, J. (1988). The theory of industrial organization. 3th Ed. Cambridge, Mass: The MIT Press. [ Links ]
25. Varian, H. and Shapiro, C. (1998). Switching Costs. Recuperado el 11 de diciembre de 2007, de http://www.inforules.com/models/m-switch.pdf [ Links ]
26. Vega-Redondo, F.(2003). Economics and the theory of games. Cambridge: Cambridge University Press. [ Links ]
27. Weisäcker, C. C. von (1980). A welfare analysis of barriers to entry. Bell Journal of Economics, (2), 399-420. [ Links ]
28. Yoshida, Y. (2002). Bertrand edgeworth price competition with strictly convex cost functions. Discussion Paper 64. Tokyo: Department of Economics, Seikei University. [ Links ]



































