Services on Demand
Journal
Article
Indicators
-
Cited by SciELO -
Access statistics
Related links
-
Cited by Google -
Similars in
SciELO -
Similars in Google
Share
Cuadernos de Administración
Print version ISSN 0120-3592
Cuad. Adm. vol.22 no.39 Bogotá Sep./Dec. 2009
* Este artículo se deriva del proyecto de investigación Factores que afectan la demanda de educación superior en Ingeniería, del Grupo de Investigación de Estadística Aplicada GRESAP, con registro rii-181-2006. Fue financiado por la Oficina para la Promoción y Gestión de la Investigación de la Pontificia Universidad Javeriana de Cali. Fecha de inicio: 22 de enero de 2007. Fecha de finalización: 14 de diciembre de 2007. El artículo se recibió el 26-06-2008 y se aprobó el 10-12-2009.
** Magíster en Economía Aplicada, Universidad del Valle, Cali, Colombia, 2008. Estadístico, Universidad del Valle,1996. Profesor del Departamento de Ciencias Naturales y Matemáticas, Pontificia Universidad Javeriana, Cali, Colombia. Correo electrónico: dgonzalez@javerianacali.edu.co.
RESUMEN
La reducción del número de estudiantes matriculados en primer semestre en las ingenierías durante los últimos años ha preocupado a las principales universidades ubicadas en el área metropolitana de Cali. Este trabajo analiza de forma microeconómica los factores que más inciden en la decisión de demandar educación superior en el área de las ingenierías. Para ello se utilizó una muestra de 1.025 estudiantes de primer semestre, matriculados durante los períodos 2006-1, 2006-2 y 2007-1 en la Pontificia Universidad Javeriana de Cali, a través de un modelo logit multinomial. Los resultados indican que las buenas experiencias en matemáticas y la autovaloración del rendimiento académico como sobresaliente en esa área aumentan la probabilidad de elegir una carrera en el área de las ingenierías. De igual manera, es más probable que sean hombres los que elijan carreras de ingenierías, que no se hayan matriculado anteriormente en otra carrera y que el padre sea quien sugiera su elección.
Palabras clave: regresión discreta y modelos de elección cualitativa, criterios para tomar decisiones, análisis de la educación.
ABSTRACT
In recent years, the reduction in the number of engineering first semester students has raised concerns in the main universities of the metropolitan area of Cali. Through a micro-economical approach, the current work analyzes the most influential factors affecting the decision to study an engineering career. For such purpose, we used a sample of 1,025 first semester students registered at Pontificia Universidad Javeriana of Cali during the 2006-1, 2006-2 and 2007-1 periods. The information was analyzed through a logit multinomial model. The results indicate that good experiences in mathematics and an outstanding academic performance self-concept regarding that area increase the odds of opting for engineering studies. Likewise, engineering students are more likely to be men who have not previously registered for any other career, and whose parents suggested the decision.
Key words: Discrete regression and qualitative choice models, decision making criteria, analysis of education.
RESUMO
A redução do número de estudantes matriculados no primeiro semestre nas engenharias durante os últimos anos tem preocupado às principais universidades localizadas na área metropolitana de Cali. Este trabalho analisa de forma microeconômica os fatores com maior incidência na decisão de demandar educação superior na área das engenharias. Para isso utilizou-se uma amostra de 1.025 estudantes de primeiro semestre, matriculados durante os períodos 2006-1, 2006-2 e 2007-1 na Pontifícia Universidade Javeriana de Cali, através de um modelo logit multinomial. Os resultados indicam que as boas experiências em matemática e a auto avaliação do rendimento acadêmico como sobressaliente nessa área aumentam a probabilidade de escolher um curso na área da engenharia. Da mesma forma, é mais provável que sejam homens os que escolham cursos de engenharia, que não tenham se matriculado antes em outro curso e que o pai seja quem sugira sua escolha.
Palavras clave: regressão discreta e modelos de escolha qualitativa, critérios para tomar decisões, analise da educação.
Introducción
Las instituciones de educación superior privadas de la región han mostrado su preocupación por el descenso del flujo de estudiantes que ingresa a las universidades a carreras de ingenierías. Durante los últimos períodos, el número de estudiantes matriculados a primer semestre presenta una tendencia decreciente (Gráfico 1), con una tasas del -5,48% en las universidades que poseen facultad de ingeniería y del -6,62% al excluirse la Universidad del Valle. Este problema, unido con los altos índices de deserción que presentan las carreras de esta área (49,9% según el Sistema de Prevención y Análisis de la Deserción en las Instituciones de Educación Superior [SPADIES]), constituye una amenaza para la estabilidad de estas facultades.
Con el fin de atenuar este fenómeno, estas facultades unieron esfuerzos para realizar la Feria de la Ingeniería, durante los tres últimos años, con el propósito de mostrar los trabajos que se están realizando en las diferentes áreas de la ingeniería, a fin de lograr un acercamiento de los estudiantes de último grado de formación secundaria a las universidades. A este evento han acudido alrededor de1.500 estudiantes por año.
Estas reducciones en el número de estudiantes matriculados contrastan con cifras publicadas en el número 252 de la revista Dinero sobre la cantidad de profesionales por área de conocimiento y sus respetivos salarios de enganche (Gráfico 2). Algunas áreas presentan alta densidad de profesionales por habitante, dentro de las que se destacan educación, administración, contaduría y derecho; mientras que áreas como ingenierías y salud presentan bajos niveles de concentración, aunque con sueldos superiores. Pruebas estadísticas sobre el coeficiente de correlación entre estas dos variables permiten concluir que no existe relación entre el número de profesionales y el sueldo de los universitarios por carrera (fig), lo que descarta que la escogencia de la carrera esté relacionada con la densidad de profesionales po rárea.
Con el propósito de ayudar a los bachilleres, universitarios y hogares en la elección de la carrera, el Ministerio de Educación colombiano viene trabajando en la consolidación del Observatorio Laboral para la Educación, a través de su Oficina de Apoyo y Seguimiento a la Educación Superior. Además de este objetivo, el Observatorio también permite orientar políticas y contribuir al mejoramiento de la calidad y pertinencia de los programas actuales y futuros (Min. Educación, 2007).
Este documento se enmarca dentro de la economía de la educación y está relacionado con la teoría del consumo para la demanda de educación, promulgada por Kodde y Ritzen (1984). Como modelo econométrico se utiliza un modelo logit multinomial, cuyo objetivo principal es detectar los principales factores individuales que influyen en la decisión que toma un joven al matricularse en una carrera de ingenierías en la Pontificia Universidad Javeriana de Cali (PUJ-Cali).
El artículo está dividido en cinco partes: la primera corresponde a la revisión de investigaciones sobre la demanda de educación superior en Colombia y en el mundo. La segunda parte corresponde al marco teórico, en el cual se presentan los principales conceptos de la demanda de la educación, con sus diferentes teorías y supuestos. Una tercera parte está relacionada con la metodología utilizada y la cuarta y quinta partes la conforman los resultados más importantes y las conclusiones.
1. Antecedentes
En Colombia, los estudios sobre demanda de educación en su gran mayoría están enfocados en los niveles de primaria y secundaria y, en menor cantidad, en la educación superior. Estos estudios se basan en las encuestas de hogares realizadas por el Departamento Administrativo Nacional de Estadística (DANE) y miden principalmente tasas de rendimiento de la educación en sus tres niveles, mediante la estimación de ecuaciones de Mincer; también presentan algunos problemas que resultan al modelar sin tener en cuenta externalidades pecuniarias presentes en las diferentes regiones y la no captura en la información de variables no observables, como habilidades, experiencia y destrezas de los individuos (Castellar y Uribe, 2000).
Uno de los pocos estudios realizados en Colombiasobrelademandadeeducaciónsuperior es el realizado por Tenjo (2003). En este se discute, desde un punto de vista estructural, el comportamiento de los flujos de la demanda de educación y, con base en métodos demográficos, realiza proyecciones hasta el 2015 del número de estudiantes matriculados por área de conocimiento, teniendo como supuesto principal las tasas de crecimiento constantes en el largo plazo. Analiza, además, los efectos de las variables del entorno familiar en el monto de los gastos familiares en educación. Concluye que la demanda de educación universitaria está afectada por los cambios estructurales de la población en Colombia, porque ha disminuido la población de jóvenes y, al mismo tiempo, se presentan mayor deserción escolar en la secundaria.
En el ámbito internacional se destaca el trabajo realizado por Mora (1989), en el cual se realiza un inventario de los trabajos más importantes sobre demanda de educación superior (Cuadro 1). El autor plantea una clasificación de acuerdo con el tipo de metodología empleada: estructural, si estudia el comportamiento de los flujos de los diferentes inscritos y matriculados a primer semestre, o analítica, si estudia los diferentes factores que la afectan desde el punto de vista individual. Por otro lado, clasifica los estudios según el tipo de información que utilizan como modelos: series temporales, datos secundarios por regiones y los que toman información directamente de los individuos a través de encuestas. Desde el punto de vista analítico e individual, este estudio presenta los factores que afectan la demanda de educación encontrados como significativos en los estudios.
Otro referente importante corresponde a Salas (2003), que clasifica los determinantes en tres grandes categorías: los que están relacionados con el estudiante o los estudios que se van a realizar, los determinantes que corresponden a características objetivas o subjetivas y los factores que se conciernen al presente o a expectativas futuras, los cuales se ilustran en el Gráfico 3.
Además de los factores mencionados en el Gráfico 3, los demandantes de educación superior ven afectadas sus decisiones por otros factores exógenos, como demográficos,económicos, individuales, sociales y familiares e institucionales (Mora, 1989); así como por la tasa de interés, la dinámica económica regional y mundial y los desarrollos tecnológicos.
Bordas (1980), en su libro Elección de carrera y profesión, menciona como principales factores que intervienen en la elección de la carrera universitaria inicialmente un componente que llama suerte o casualidad, es decir, un joven puede elegir una determinada carrera porque el centro universitario está cerca a su casa, porque su familia le ha reservado un puesto en la empresa familiar y para desempeñarlo es necesario que obtenga un determinado título profesional o porque piensa que si estudia una determinada carrera le será más fácil obtener determinado trabajo. Estos factores pueden conducir a elecciones erradas que llevan al fracaso profesional. Bordas aconseja a los jóvenes diciéndoles que no se debe aceptar lo primero que se les ofrezca y que esta decisión debe ser pensada con un poco más de dedicación. Enuncia como características individuales importantes la actitud, la inteligencia y los rasgos personales.
Estudios recientes realizados sobre la demanda de la educación superior, como el de Albert (2000), destacan las importantes influencias del contexto familiar, el nivel educativo de la madre y las perspectivas de empleo y de ingresos más elevados; sin embargo, es importante que el padre esté vivo, que la familia pertenezca a un estrato socioeconómico medio-alto y el género, pues los hombres tienen una menor probabilidad de ingresar a la universidad que las mujeres, especialmente porque ellas tienen mayores posibilidades de integrarse al mercado laboral. También manifiesta que los ciclos de la economía pueden generar aumentos en la demanda de educación en períodos de altas tasas de desempleo y reducción cuando la economía se reactiva. Estos efectos causados por el mercado laboral tienen retraso de entre cuatro y cinco años, lapso que dura la formación profesional.
Neira, Fernández y Ruzo (2003) estudiaron la demanda de educación superior en la comunidad gallega1 y destacaron la reducción del número de demandantes al ascender en la escala del nivel de educación, debido principalmente a factores socioeconómicos. Estos factores, al igual que los intelectuales, culturales y demográficos, están conformados tanto por variables exógenas sobre las cuales es poco lo que se puede actuar como por variables que dependen del individuo p. ej., su actitud y su aptitud, sobre las cuales es posible generar cambios que permitan modificar su apreciación acerca de la educación superior. Por esto recomiendan que las entidades de educación superior lleven a cabo estrategias publicitarias que permitan información completa de sus programas, posean una bolsa de empleo para aumentar la seguridad de empleo al finalizar los estudios superiores y brinden programas que se ajusten a las necesidades requeridas tanto por los individuos como por el mercado laboral.
En Salas y Martín-Cobos (2006) se utiliza un modelo logit multinomial para identificar los factores que inciden en la escogencia de la carrera entre las alternativas: (1) filosofía, geografía e historia, filología y pedagogía; (2) biología, geología, matemáticas, física, química, arquitectura técnica y arquitectura; (3) enfermería y medicina, y (4) derecho, economía y empresariales. Expresan que los estudiantes con mayores rendimientos académicos escogen carreras más largas y que son por tradición más difíciles. Concluye que entre los principales determinantes de la demanda de educación superior está el nivel académico de los padres y su ocupación. Y aunque existen diferencias entre la posición de los economistas y los psicólogos en cuanto a los factores, ambos coinciden en que quien decide lo hace pensando en obtener la mayor utilidad o satisfacción.
Otro estudio interesante es el realizado por Marcenario y Navarro (2001), sobre la primera cohorte del panel de hogares tomada en la Comunidad Europea sobre jóvenes entre los 18 y los 25 años de edad. Dentro de los resultados se detectó que finalizar el bachillerato con retraso genera una menor probabilidad de demandar educación superior y el tener hermanos mayores estudiando, genera incentivos para acceder a la educación superior.
2. Marco teórico
El concepto de educación puede presentar varias acepciones, dependiendo del contexto de estudio. Para los economistas la educación es un bien público con un mercado que tiene unas características especiales al que es posible aplicar algunas de sus teorías. Veamos a continuación algunas de estas.
Desde el punto de vista de la economía, la educación puede considerarse un bien especial que posee un mercado propio y obedece a leyes económicas de oferta y demanda, aparte de que presenta ciertas características especiales que hacen asumirla de forma separada. Esta categoría de bien permite utilizar una serie de herramientas, modelos y conceptos empleados en el estudio del comportamiento de mercados económicos asociados a bienes.
Dependiendo del interés que muestren los individuos por adquirir más educación, esta puede constituir un bien de consumo si la persona busca aumentar sus conocimientos; mientras que si su motivación está orientada a mejorar sus ingresos futuros, tener una mejor calidad de vida o conseguir un mejor trabajo, la educación es tomada como una inversión (Tenjo, 2003). Esta inversión podría constituir un capital no tangible que almacena la persona para ser utilizada durante su vida laboral futura.
Algunos economistas clasifican la educación como un bien público que genera externalidades y, por lo tanto, genera beneficios y costos tanto privados como públicos. Dentro de los privados se puede contar el aprendizaje de nuevos conocimientos, el incremento de ingresos producto de mejores oportunidades de empleo, los costos de matrículas, entre otras. Como públicos, la mejor capacidad de elección de gobernantes, menores tasas de criminalidad, mayor desarrollo y mantenimiento de la cultura (Call y Holahan, 1985). San Segundo (2001), en su libro Economía de la educación, resume en cuatro teorías principales la demanda de educación: teoría del capital humano, teoría de la señalización, teoría radical y la teoría del consumo (Cuadro 2).
La teoría del capital humano, desarrollada durante la década de los sesenta por autores como Schultz, Becker y Mincer (Eicher, 1988), constituye la primera teoría que estudia los determinantes que influyen en la demanda de educación. Esta afirma que la educación incrementa la productividad de las personas y, como consecuencia de este incremento, aumenta su capacidad de trabajo, sus destrezas y habilidades, y así las personas reciben mayores ingresos. Además, permite explicar las razones por las cuales las personas deciden cuánta y qué clase de educación deben tomar, esperando tener mejores rendimientos en su vida productiva futura.
Investigadores importantes en este campo, críticos de la teoría del capital humano como Blaug (1996), manifiestan que los ingresos que provienen del trabajo están relacionados con diferentes tipos de factores, además de la educación, como son las características de la persona, como el género, la raza o las destrezas innatas; el entorno familiar, como el número de miembros del hogar o el número de orden que se ocupa en el hogar; la duración de la escolaridad, además características de la región, como los sectores productivos principales de la región o el tamaño de las empresas empleadoras. Esta teoría plantea que no sólo la educación interviene en el incremento de los ingresos, sino que, conjuntamente con otras características del entorno y de la persona, explica el valor de sus ingresos laborales y de esta manera se genera una discusión que origina otras teorías.
Bajo la teoría de la señalización, los ingresos de una persona no sólo dependen de la cantidad de educación que esta posea (capital humano), sino que en su explicación intervienen, además de la educación, otras variables como son las capacidades innatas de los individuos (Pons, 2003), que generan una interacción importante con la educación y producen diferencias entre ingresos percibidos por personas con iguales niveles de educación. En nuestro caso, las capacidades innatas de los demandantes de educación superior pueden estar relacionadas con la selección de carrera. Desde esta teoría, las personas están interesadas en demandar educación con el objeto de indicarles a sus jefes o personas contratantes que tienen mejores capacidades para el desempeño de un trabajo.
La teoría radical sostiene que los ingresos que perciben las personas o su calidad de empleo están relacionados no sólo con el nivel educativo, sino también con factores como el cociente intelectual, la raza, el sexo, pero sobre todo con el origen socioeconómico (Salas Velasco, 2002).
La teoría del consumo establece que la educación es un bien normal y que su demanda depende principalmente de los ingresos familiares (Kodde y Ritzen, 1984). Dentro de esta teoría se encuentra la teoría de la elegibilidad, la cual asume que la educación es un bien de consumo capaz de originar en las personas ciertos beneficios y satisfacción que los economistas miden a través del concepto de utilidad. Este tipo de teorías fueron planteadas por Lévy-Garboua (1976).
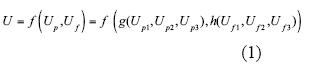
Bajo la teoría de la elegibilidad, los individuos toman la decisión de consumir o no educación superior. Esta decisión está muy relacionada con la función de utilidad de las personas. Bajo la visión de la educación como bien de consumo, las personas pueden demandar más educación, dependiendo de la conformación de su función de utilidad individual. La utilidad de las personas se puede dividir en dos partes, una relacionada con el tiempo presente Up y otra con el futuro Uf.A su vez, cada una de ellas se puede descomponer en una utilidad relacionada con la parte monetaria U1, otra con la parte no monetaria individual U2 y otra con la parte no monetaria no individual U3. Así es como una persona tieneunafuncióndeutilidad,comosemuestra en la ecuación 1.
La necesidad de demandar educación superior, al igual que otros bienes y servicios, depende de la estructura de la función de utilidad de cada persona. Existen personas que le dan mayor peso a la parte monetaria y, por lo tanto, estarían evaluando la posibilidad de que mayor rentabilidad les represente tomar o no educación superior y si lo hacen, cuál es el área más rentable; pero también existen individuos que priorizan su satisfacción personal por encima de lo económico. Estas personas, en el evento de decidirse por invertir en educación superior, escogen carreras no muy rentables; pero que les representan un mayor disfrute personal. Las que ponderan mayoritariamente la parte no monetaria no individual, si deciden realizar estudios superiores, tendrían mayor posibilidad de elegir carreras de corte social, que les permita ayudar a la comunidad.
Dentro de la teoría del consumo se enmarca el modelo de arbitraje entre rendimiento y riesgo, para el cual los individuos que creen tener una mayor oportunidad de éxito al escoger una carrera, de acuerdo con sus habilidades y rendimientos académicos obtenidos en los estudios de primaria y secundaria y su función de utilidad, se matriculan en determinadas áreas calificadas como más difíciles socialmente. Este modelo presenta los siguientes supuestos, como lo menciona Eicher:
Se puede suponer que, dado por sentado que hay igualdad de todo lo demás, los estudiantes prefieren aquellos estudios que ofrecen unas tasas de rendimiento anticipado elevadas.
Así mismo, suponiendo que hay igualdad en todo lo demás, los estudiantes prefieren carreras en las que tienen oportunidad de tener éxito.
Generalmente, los estudios más difíciles ofrecen tasas de rendimiento más elevadas, lo que implica un arbitraje entre rendimiento y riesgo por parte del estudiante.
No todos los estudiantes atribuyen la misma ponderación al riesgo en su arbitraje. Existe una diferencia sistemática según el origen socio-económico. El estudiante de origen modesto tenderá a ponderar más el riesgo por varias razones: a. El mercado de capitales es imperfecto. El coste de los estudios es más elevado para aquellos que no tienen los recursos y tienen que pedir prestado, que aquellos estudiantes cuya familia puede suministrar estas cargas. b. El mismo coste no tiene las mismas consecuencias para el que debe pedir prestado. Más allá de un cierto número de repeticiones y/o de reorientaciones en caso de fracaso, es posible que el importe de los reembolsos supere el suplemento de la renta esperada, e incluso, la renta total. (1988, p. 25)
El modelo matemático que representa esta teoría se presenta en la ecuación 2:
Donde PECij representa la probabilidad que tiene el individuo i de elegir la carrera j; Rj, la tasa interna de retorno anticipada de la carrera j; PFij, la probabilidad del individuo i de fracasar en la carrera j,y TSj, la tasa de sustitución entre el rendimiento y el riesgo.
De acuerdo con este modelo, puede existir una mayor dependencia entre la probabilidad de fracasar (PF) y la tasa de sustitución entre el rendimiento y el riesgo (TS) cuando la procedencia del estudiante es de estrato socioeconómicos bajo. Los resultados de este estudio están relacionados principalmente con el efecto que generan las preferencias individuales en la demanda de educación superior.
3. Metodología
Para buscar una aproximación a la función de utilidad descrita en la ecuación 1 se les aplicó una encuesta a estudiantes de primer semestre de los planes de estudio ofrecidos por la universidad, la cual complementada coninformación de la oficina de registro académico permitió la modelación a través de un modelo logit multinomial. A continuación se presentan la metodología empleada y los resultados obtenidos.
El estudio requirió aplicar un cuestionario de manera personal que se complementó con información de rendimiento académico. La población está compuesta por estudiantes de la PUJ-Cali, quienes realizaron su ingreso a primer semestre durante los períodos 2006-1, 2006-2 y 2007-1, para las tres facultades que posee la universidad: Facultad de Ingeniería, Facultad de Humanidades y Facultad de Ciencias Económicas y Administrativas. El tamaño de la población, de acuerdo con información suministrada por la Oficina de Registro Académico, es de 2.065 estudiantes para este período (Cuadro 3).
La muestra aleatoria2 estuvo conformada por 1.025 estudiantes de los tres primeros semestres de las tres facultades que posee la PUJ-Cali y compuesta en un 40% por estudiantes de la Facultad de Ingeniería, en un 27% por los de Humanidades y en un 33% por los de la Facultad de Ciencias Económicas y Administrativas. Esta información fue complementada con datos suministrados por la Oficina de Registro Académico de la universidad, como código, documento de identidad, nombre, género y resultados de las pruebas de Estado presentados por los estudiantes, y discriminada por las áreas de matemáticas, biología, filosofía, física, historia, geografía, química y lenguaje.
Con el fin de determinar cuáles factores influyen en la decisión de elegir un plan de estudios en ingeniería desde la teoría del consumo se utilizó el modelo de utilidad aleatoria, que se describe a continuación.
Los modelos de utilidad aleatoria fueron implementados por Edgell y Geisles (1980 para modelar de manera teórica la elección entre varias alternativas. Este tipo de modelos se basa en las siguientes hipótesis:
• Cada individuo pertenece a una clase homogénea determinada por su conducta.
• Cada individuo realiza su elección de manera racional y maximizando su propia utilidad o beneficio.
• El individuo posee toda la información necesaria previa a realizar su elección.
La utilidad que proporciona a un individuo i la elección de la alternativa j puede considerarse un valor aleatorio que se representa por:
Donde Vij representa una combinación lineal de constantes y características conocidas del individuo i y un componente aleatorio εij que no puede ser explicado por las características visibles del individuo i, y que permite responder por qué personas con características similares toman decisiones diferentes. Un individuo i prefiere la alternativa j sobre otra alternativa j' cuando la primera le produce una mayor utilidad que la segunda (Uij ≥ Uij,) para todo el conjunto de alternativas j'.
Es difícil determinar cuál alternativa va a elegir una persona de acuerdo con sus características; pero en lugar de esto se puede estimar la probabilidad de que esa persona elija una determinada alternativa. Este camino exige realizar una serie de supuestos sobre la variable aleatoria no observable εij, incluida su distribución3. En caso de que Uij≥ Uij, o Vij +εij'≥Vij' , es posible calcular la probabilidad de P(Vij - Vij≥ ij ε ij´) = P(εij' - εij' ≤ ≤ Vij - Vij ). tipos de modelos. En Medina (2003) se analizan diferentes modelos de elección discreta que se presentan el Cuadro 4.
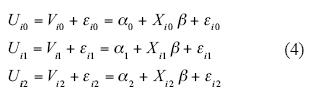
Para la modelación econométrica se utilizó un modelo de respuesta múltiple no ordenada multinomial empleado en análisis, donde el individuo debe de elegir entre m+ 1 alternativas diferentes (Cabrer,Sancho y Serrano, 2001) usando funciones de utilidad de acuerdo con la alternativa tomada. El modelo supone que las funciones de utilidad son lineales y presentan la siguiente forma (ecuación 4):
Cada elección producirá en cada individuo una utilidad Uij. Se trata entonces de comparar cuál de estas utilidades es mayor en cada caso. Esta comparación se puede representar así (ecuación 5):
El modelo en forma matricial puede ser representado de la siguiente manera:Donde Y representa una variable latente no observable (la preferencia); F(.), la función no lineal de una combinación lineal de las características -usualmente funciones como la normal (modelo probit) o la logística (modelo logit)-, dependiendo de los supuestos elegidos para ≥i; X, la matriz de características del individuo que son comunes a todas las alternativas y las características específicas de cada una de las alternativas; β el vector de coeficientes que se van a estimar; ≥i, el vector de variables aleatorias no observables ni modelables. La formulación de este modelo está restringida a la siguiente probabilidad:
Donde j corresponde al índice asociado con la alternativa j; βj , al vector de parámetros que se van a estimar, y Xj, a la matriz de datos del individuo i. Al estimar el modelo logit multinomial se presenta un problema de indeterminación, el cual se soluciona al tomar una de las categorías como base. En este caso, las probabilidades se transforman en:
Donde:
El cálculo de larazón de probabilidades entre la probabilidad P(Y=j)/P(Y=0) es llamado comúnmente odd ratio y permite obtener la siguiente igualdad:

Este antilogaritmo permite estimar los coeficientes y su derivada parcia lde Pj con respecto a Xj, lo que permite encontrar los efectos marginales. En este caso, el problema está relacionado con el estudio de los efectos individuales y, por lo tanto, el modelo adecuado es el logit multinomial.
En muchos casos relacionados con la estimación de demanda de bienes se presentan problemas con la metodología utilizada para seleccionar la muestra, causados por la imposibilidad de tener un marco muestral completo que permita elegir la muestra de manera aleatoria. Este problema puede ocasionar sesgos en la estimación de los parámetros, que puede llevar a sobreestimar o a subestimar los efectos de los diferentes factores sobre la decisión tomada.
De acuerdo con Lee (1983), el sesgo se produce al estimar un modelo con información incompleta. Este problema, en muchoscasos, es posible corregirlo siempre y cuando se posea la información requerida. El software Stata9 posee la rutina selmlog4 que permite corregir el sesgo de selección en modelos logit multinomiales, basados en Bourguignon, Fournier y Gurgand (2004).
4. Resultados
Los resultados encontrados muestran que un 97,5% de los estudiantes son solteros; en su mayoría viven en Cali (85,9%); proceden de familias de estratos 3, 4 y 5 (82,9%); un 78,4% viven en casa paterna o en casa propia y presentan un promedio de edad de 18,64 años. Además, sus padres están totalmente de acuerdo con la carrera que están cursando (81,1%) y costean sus estudios con recursos provenientes de sus padres en un 78,1% (Cuadro 5).
Los resultados de las pruebas de Estado muestran niveles promedios en el rango medio (30-50)5 en un 96% de los casos. Al comparar los resultados promedio para las tres facultades, los estudiantes de la Facultad de Ingeniería presentan los promedios más altos en todos los casos. En el Cuadro 6 se presentan la comparación de promedios y el análisis de varianza por área. Los promedios obtenidos por los estudiantes de ingenierías son significativamente diferentes a los de los estudiantes de las otras dos facultades (Humanidades y Ciencias Económicas y Administrativas) para las áreas de matemáticas, física, química y biología, y comparten el grupo con mayor puntaje con los estudiantes de Humanidades en las áreas de filosofía, historia, lenguaje y geografía.
4.1 Descriptivas de la Facultad de Ingeniería
Al estudiar la muestra de estudiantes de ingenierías, lasrazones por las cuales escogen su carrera principalmente se deben a la confianza en sus habilidades (58,3% de los casos), a las preferencias tenidas desde niños (38,4% de los casos), al haber recibido orientación profesional (38,4% de los casos), a sentirse atraídos por la institución (27,8% de los casos) y, en menor frecuencia, a los gustos y la motivación de obtener un empleo (Gráfico 4).
En una mayor proporción, los estudiantes de ingenierías autovaloran su rendimiento como sobresaliente en el colegio en matemáticas y ciencias naturales (Cuadro 7). Es necesario aclarar que las personas que se autovaloran como sobresalientes en un área determinada no necesariamente lo son; pero esta confianza les permite afrontar riesgos en el momento de tomar una decisión.
Al indagarlos sobre si alguna de las materias recibidas durante su formación en el colegio había influido en la elección de la carrera que actualmente cursan, un 78,7% de los casos manifestó que la matemática había sido esa materia, seguida de física (21,7% de los casos) y de química (8,8%) (Gráfico 5).
Entre las habilidades que creen tener los estudiantes de ingenierías que los ayudarán al mejor desempeño en la carrera que inician se destacan las habilidades matemáticas (33,8% de los casos) las creativas (23,6% de los casos) y las analíticas (16,9% de los casos) (Gráfico 6).
Otro elemento estudiado está relacionado con las personas que los ayudaron en el proceso de escogencia de la carrera. Para el área de ingenierías, se destacan el padre (41,1% de los casos) , la madre (30,3% de los casos), un familiar (26,5% de los casos), el estudiante mismo (22,2% de los casos), orientadores profesionales o profesores (14,6% de los casos) y amigos (14,1% de los casos) (Gráfico 7).
4.2 Estimación del modelo logit multinomial
La estimación del modelo logit multinomial se realizó con una muestra de 996 estudiantes. Aunque la base completa estaba conformada por 1.025 estudiantes, se presentaron varios casos de no respuesta en algunas preguntas, lo que redujo el número de observaciones. Para realizar la estimación se contó con el paquete econométrico Stata (versión 8). El modelo estimado es el siguiente:

De acuerdo con la encuesta realizada y los factores que están relacionados con la escogencia de la carrera, revisados al principio del artículo, se seleccionaron las variables que se listan en el Cuadro 8 para estimar el modelo (10).
Uno de los supuestos más importantes al estimar un modelo logit multinomial es la independencia de sus alternativas. Para contrastar este supuesto se realizaron pruebas de Hausman (Cuadro 9). Los resultados muestran que las tres alternativas son independientes.
La probabilidad del estadístico P(c2>509,34)=0,0000, correspondiente a la bondad de ajuste global del modelo estimado, permite aceptar la hipótesis alternativa sobre la significancia global del modelo, pues presenta un porcentaje de aciertos del 63%, valor que se puede considerar aceptable en este tipo de modelos.
La probabilidad de estudiar una carrera en el área de las ingenierías está relacionada principalmente con la influencia de la matemática en la elección de la carrera y por experiencias favorables en esta área durante el paso por el colegio en los cursos de matemáticas.
Señalar que la matemática fue la materia que influyó en la decisión de elegir la carrera aumenta la probabilidad de escoger ingenierías en un 33,1%. También es importante destacar que el factor de la autovaloración del rendimiento académico como sobresaliente en el área de las matemáticas aumenta la probabilidad de tomar esta decisión en un 13,7%. Por último, el rendimiento previo del estudiante, medido a través de los resultados de las pruebas de Estado en el área de las matemáticas indica una relación positiva, pues entre mayores puntajes en esta área, hay mayores probabilidades de elegir unacarrera en ingenierías, al igual que los resultados en las áreas de química y biología. Entre tanto, haber estado matriculado en otra carrera disminuye la probabilidad de matricularse en ingenierías en un 22,5% (Cuadro 10).
En cuanto a la formación académica de los padres, no se percibe ningún tipo de influencia en la elección a favor del área de las ingenierías, al igual que haber repetido un año electivo en el colegio; sin embargo, es más probable que la elección de la carrera en esta área haya sido sugerida por el padre y no por la madre, profesores u orientadores profesionales.
Para el área de humanidades es más probable que sean mujeres las que elijan una carrera de esta área, con padres con formación académica de posgrado. La ocupación laboral de la madre afecta negativamente esta elección. Es más probable que un estudiante de esta área haya estado matriculado en otra carrera antes de realizar esta elección y que haya repetido un año electivo durante sus estudios de primaria o secundaria y que la elección de la carrera en este campo haya sido sugerida por la madre o un profesor u orientador profesional y no por el padre.
Para los que eligen carreras del área de las ciencias económicas y administrativas es más probable que hayan estado matriculados en otra carrera antes de elegir la que cursan actualmente y que no hayan repetido años durante su estadía en el colegio. Es menos probable que un estudiante que haya obtenido puntajes altos en los exámenes de Estado opté por una carrera de esta área, al igual que jóvenes que autovaloren su rendimiento en matemáticas como sobresaliente. Por último, es menos probable que la elección de la carrera haya sido sugerida por profesores u orientadores profesionales, comparada con una decisión propia.
Los anteriores resultados pueden estar afectados por el sesgo de selección, por cuanto la muestra tomada incluye a los estudiantes matriculados en la PUJ-Cali y deja por fuera los estudiantes inscritos y admitidos pero que no se matricularon y a los estudiantes inscritosy no admitidos (23% de los estudiantes inscritos). Otra población no presente al momento de recoger la información corresponde a los estudiantes que por razones académicas, calamidad doméstica o vocacionales desertaron de sus respectivas carreras6 (Gráfico 8). La primera subpoblación mencionada no fue posible de ubicar para encuestar y bajo el supuesto de que se inscribieron al mismo tiempo en otras universidades con características semejantes a la PUJ-Cali y tomaron la decisión de matricularse en ellas, se obtuvo un mejor nivel de utilidad y se supuso que el efecto sobre los estimadores podría ser menor.
Conclusiones
Esta investigación estudia la demanda de educación superior en ingeniería a partir de información recogida en una encuesta hecha a estudiantes de primer año en la PUJ-Cali. A diferencia de otras investigaciones, que basan sus estudios en datos secundarios (encuesta de hogares y proyección de poblaciones), en esta se recoge información cuantitativa y cualitativa retrospectiva relacionada con el momento de realizar su elección.
Los resultados indican que los estudiantes con mejores promedios en las áreas de matemáticas, física y química en las pruebas de Estado corresponden a los matriculados en ingeniería, lo cual concuerda con lo planteado por Eicher (1988), en relación con que los estudiantes prefieren áreas en las cuales tienen mayor oportunidad de culminar sus estudios, y con Salas y Martin-Cobos (2006), quienes manifiestan que los estudiantes con mayores rendimientos académicos escogen carreras más largas y que son por tradición calificadas como más difíciles.
Para determinar los factores individuales que influyen en la elección de unacarrera de ingeniería se estimó un modelo logit multinomial. Los resultados indican la mayor probabilidad de que los estudiantes que eligen una carrera del área de las ingenierías sean hombres, quienes durante su estadía en el colegio presentaron buenas experiencias en el área de las matemáticas y las ciencias naturales y autovaloran su rendimiento académico en otras áreas durante el bachillerato en estas áreas como sobresaliente.
Una de las mayores comprobaciones de esta investigación corresponde a la verificación del vínculo existente entre buenas experiencias en matemática durante el colegio y la elección de una carrera en ingeniería. Esta relación puede fomentar la construcción de estrategias conjuntas entre colegios e instituciones de educación superior que promuevan la confianza de los jóvenes en habilidades matemáticas, pero también les permita identificar otros factores que hagan que la matemáticas no sean el único un factor decisorio en el momento de elegir una carrera de ingenierías.
Por otra parte, los estudiantes que eligen una carrera del área de las humanidades con mayor probabilidad son mujeres, no han tenido experiencias favorables en matemáticas durante su estadía en el colegio, no valoran su rendimiento en matemáticas como sobresaliente, han estado matriculados en otra carrera, repitieron un año electivo en primaria o secundaria y la elección de la carrera ha sido sugerida principalmente por la madre, profesor u orientador profesional y no por su padre; mientras que los estudiantes que eligen una carrera del área de la administración y las ciencias económicas tienen mayor probabilidad de hayan estado matriculados en otra carrera, no hayan perdido años lectivos en sus estudios previos y con poca probabilidad hayan elegido la carrera por sugerencia de profesores u orientadores profesionales.
No obstante las limitaciones del estudio por tratarse de un conglomerado particular con información retrospectiva, la ausencia de variables socioeconómicas en el modelo, la carencia de información perfecta y un pequeño sesgo de selección, esta investigación permite avanzar en el conocimiento de los factores individuales que inciden en la elección de la carrera de manera individual.
Es necesario fortalecer eventos de divulgación de trabajos relacionados con la ingeniería, como ferias y portales de internet, que permitan a los estudiantes de los colegios conocer e interesarse por las ingenierías y, de esta manera, asociarla con otros elementos además de la matemática como la creatividad, la imaginación, el diseño, entre otros. Adicionalmente, es necesario realizar estudios asociados con la demanda de educación superior y su comportamiento con relación a variables como el precio de las matrículas y los ingresos familiares; así como estudios que permitan evaluar la incidencia de los ciclos económicos y el mercado laboral de profesionales en la demanda de educación superior.
Notas al pie de página
1. Comunidad autónoma del norte de España.
2. El tipo de muestreo aleatorio utilizado en la recolección de la información primaria fue muestreo estratificado por facultad y dentro de este se realizó un muestreo por conglomerado, eligiendo de manera aleatoria los cursos correspondientes a los tres primeros semestres y encuestando a todos los estudiantes presentes el día de la intervención.
3. Si el supuesto sobre la distribución de ε es la distribución normal, la estimación de la probabilidad se realiza mediante un modelo probit; en el caso de ser multivariada, genera problemas computacionales de estimación. Si la distribución es de Gumbel, el modelo se estima a través de un modelo logit por medio del método de máxima verosimilitud.
4. La programación de este método se puede obtener en http://www.pse.ens.fr/gurgand/selmlog13.html.
5. El puntaje obtenido en los exámenes de Estado por área tiene la siguiente escala de medición: bajo, para valores menores a 30; medio, para valores entre 30 y 70, y alto, cuando la calificación es mayor a 70 puntos.
6. La tasa deserción promedio es del 10,66%, de la cual un 75% corresponde a los tres primeros semestres.
Lista de referencias
1. Albert, C. (2000). Higher education demand in Spain: The influence of labour market. Higher Education, 40, 2, 147-162. [ Links ]
2. Blaug, M. (1996). ¿Dónde estamos actualmente en la economía de la educación? En E.Oroval Planas (coord.), Economía de la educación (pp.17-37). Barcelona: Ariel. [ Links ]
3. Bordas, M. D. (1980). Elección de carrera y profesión. Barcelona: Oikos-Tau. [ Links ]
4. Bourguignon, F., Fournier, M. y Gurgand, M. (2004). Selection bias corrections based on the multinomial logit model: Monte-Carlo comparisons. Paris: Centre National de la Recherche Scientifique. Recuperado el 15 de diciembre 2009, de http://www.delta.ens.fr/abstracts/wp200420.pdf. [ Links ]
5. Cabrer, B. B., Sancho, A. y Serrano, D. G. (2001). Microeconometría y decisión. Madrid: Pirámide. [ Links ]
6. Call, S.T. y Holahan W.L. (1985). Microeconomía. México: Grupo Editorial Iberoamericano. [ Links ]
7. Castellar, C. E. y Uribe, J. I. (2000). La tasa de retorno de la educación en presencia de externalidades pecuniarias endógenas. Documento de Trabajo 55. Cali: CIDSE. [ Links ]
8. Dinero (2006, 28 de abril). Universidades ¿dan la talla? (252) Recuperado el 14 de diciembre de 2009, de http://www.dinero.com/edicion-impresa/caratula/universidades-dan-talla_25170.aspx. [ Links ]
9. Edgell, S.E. and Geisler, W.S. (1980). A set-theoretic random utility models of choice behavior. Journal of mathematical psychology, 21,265-278. [ Links ]
10. Eicher, J. C. (1988). Treinta años de economía de la educación. Ekonomiaz, (12), 11-37. [ Links ]
11. González, N., Gómez, J. C., Mora, J. J. y Zuluaga, B. (2004). Las ganancias de señalizar en el mercado laboral en Cali. Estudios Gerenciales, 92, 105-128. [ Links ]
12. Johnes, G. (1995). Economía de la educación, capital humano, rendimiento educativo y mercado de trabajo. Madrid: Ministerio de Trabajo y Seguridad Social. [ Links ]
13. Kodde, D. A. and Ritzen, J. M. (1984). Integrating consumption and investment motives in a neoclassical model of demand for education. Kyklos, 37 (4), 598-606. [ Links ]
14. Lee, L. F. (1983). Generalizad econometric model with selectivity. Econometrica, 51, 507-512. [ Links ]
15. Lévy-Garboua, L. (1976). Les demandes de l'étudiant ou les contradictions de l'université de masse. Revue Française de Sociologie, 17 (1), 53-80. [ Links ]
16. López, M. D. y Rivero, M. R. (2005). Tiempo de la madre y calidad de los hijos. Bogotá: Universidad de los Andes-CEDE. Recuperado el 14 de diciembre de 2009, de http://economia.uniandes.edu.co/publicaciones/d2005-14.pdf. [ Links ]
17. Marcenario, O. D. y Navarro, M. L. (2001). Un análisis microeconómico de la demanda de educación superior en España. Estudios de Economía Aplicada, 19 (3), 69-86. [ Links ]
18. Medina Moral, E. (2003). Modelos de elección discreta. Recuperado el 14 de diciembre de 2009, de http://www.uam.es/personal_pdi/economicas/eva/pdf/logit.pdf. [ Links ]
19. Ministerio de Educación de Colombia (2006). Cobertura: con calidad y equidad. Educación Superior. Boletín Informativo, (6), 1-5. Recuperado el 20 de octubre de 2006, de http://menweb.mineducacion.gov.co/educacion_superior/numero_06/portada.htm. [ Links ]
20. Estadísticas. En Graduados Colombia, Observatorio Nacional para la Educación3. (2007). Recuperado el 3 de abril de 2009, de http://www.graduadoscolombia.edu.co/html/1732/propertyvalue-40075.html.
21. Mora Ruiz, J.G. (1989). La demanda de la educación superior: una revisión de estudios empíricos. Revista de Educación /Ministerio de Educación y Ciencia, 288, 351-375. [ Links ]
22. Neira, I., Fernández, S. y Ruzo, E. (2003). La demanda de estudios superiores de economía por parte de los universitarios gallegos. Revista Gallega de Economía, 12 (1), 1-19. [ Links ]
23. Pons, E. (2003). La omisión de la capacidad innata en la estimación del rendimiento de la educación: una revisión. Revista de Educación, 330, 463-487. [ Links ]
24. Salas Velasco, M. (2002). Estimación de la rentabilidad y la inversión en educación universitaria de ciclo largo. Estadística Española, 44 (149), 89-112. [ Links ]
25. Educación superior y mercado de trabajo. (2003). Madrid: Grupo Editorial Universitario. [ Links ]
26. Martín-Cobos, P. M. (2006). La demanda de educación superior: un análisis micro económico con datos de corte transversal. Revista de Educación, 337, 327-349. [ Links ]
27. San Segundo, M. J. (2001). Economía de la educación. Madrid: Síntesis. [ Links ]
28. Tenjo Galarza, J. (2003). Demanda por educación superior: proyecciones para los siguientes quince años. Documentos de Economía 4. Bogotá: Facultad de Ciencias Económicas y Administrativas de la Pontificia Universidad Javeriana. [ Links ]





















