Services on Demand
Journal
Article
Indicators
-
Cited by SciELO -
Access statistics
Related links
Cited by Google -
Similars in
SciELO
Similars in Google
Share
Cuadernos de Economía
Print version ISSN 0121-4772On-line version ISSN 2248-4337
Cuad. Econ. vol.24 no.43 Bogotá Dec. 2005
CRECIMIENTO ECONÓMICO Y BALANZA DE PAGOS: EVIDENCIA EMPÍRICA PARA COLOMBIA
ECONOMIC GROWTH AND BALANCE OF PAYMENTS: EMPIRICAL EVIDENCE FOR COLOMBIA
Mario García Molina
Andrés Quevedo Caro*
* M. García es profesor asociado de la Escuela de Economía de la Universidad Nacional de Colombia y A. Quevedo es profesor de la Universidad Externado de Colombia. Enviar los comentarios al correo: mgarciamo@unal.edu.co. Artículo recibido el 16 de agosto de 2005, aprobada su publicación el 1 de noviembre.
Resumen
En el presente trabajo se caracteriza el vínculo entre el sector externo y el crecimiento para el caso colombiano durante el periodo 1952-2000 y se llega a verificar la ley de Thirlwall en ese periodo. Es decir, que existe una relación de largo plazo entre el crecimiento del PIB y el crecimiento de las exportaciones, las elasticidad ingreso y precio de la demanda de importaciones y la tasa de cambio real. Siendo la tasa de crecimiento de 4,4% el centro de gravedad hacia el cual tendió el país en el largo plazo.
Palabras claves: Colombia, modelos keynesianos, ley de Thirlwall, comercio exterior. JEL: C32, E12, F43.
Abstract
The article characterises the link between the foreign sector and growth in Colombia 1952-2000. Thirlwall’s law was tested and found to be valid for this period. There was a long-term relationship between GDP and export growth, income and price elasticity of demand for imports and the real exchange rate. The country gravitated towards a 4.4% growth rate in the long run.
Key words: Colombia, Keynesian models, Thirlwall law, foreign trade. JEL: C32, E12, F43.
Résumé
Ce travail caractérise le lien entre le secteur externe et la croissance du cas colombien pendant la période allant de 1952 à 2000 et l´on en vient à vérifier la loi de Thirlwall. C´est-à-dire qu´il existe une relation à long terme entre la croissance du PIB et la croissance des exportations, l´élasticité du revenu et du prix de la demande des importations et le taux de change réel. Le taux de croissance de 4,4% étant le centre de gravité vers lequel le pays a tendu sur le long terme.
Mots clés: Colombie, modèles keynésiens, loi de Thirlwall, commerce extérieur. JEL: C32, E12, F43.
Este trabajo pretende otorgar evidencia acerca del vínculo entre el sector externo y el crecimiento económico a través del papel de las divisas, para el caso colombiano en el periodo 1952-2000. Los diferentes análisis propuestos por los economistas que han incluido el tema del crecimiento económico pueden ser clasificados en dos grandes grupos, entre quienes privilegian las variables de oferta y aquellos que resaltan la importancia de la demanda como elemento explicativo del crecimiento.
Para el primer grupo existe una función de producción agregada, tradicionalmente abordada por medio de modelos de crecimiento endógeno, donde “las diferencias en las tasas de crecimiento entre países están, en principio, determinadas por la tasa de crecimiento de la productividad total de los factores” (Krugman 1989), es decir que el crecimiento está definido por la oferta1.
Desde el punto de vista metodológico, no obstante lo extendida que ha sido su utilización, las funciones de producción agregada han sido fuertemente criticadas por autores como Fisher (1971), Shaikh (1980) y Simon (1981) y más recientemente McCombie (1991); quienes demostraron que las estimaciones de esta clase de estudios tan sólo reflejan una identidad de la función de producción agregada puesto que ésta siempre generará resultados estadísticos adecuados exista o no dicha función.
En la otra alternativa se afirma que el crecimiento económico está determinado por factores de demanda, ya que los “factores de oferta y progreso tecnológico son en gran medida endógenos a un sistema económico que depende del crecimiento del producto” (Thirlwall 1997). Dentro de esta corriente, uno de los trabajos más importantes es precisamente el de Thirlwall (1979), quien creó una versión dinámica del multiplicador de comercio de Harrod, conocida como Ley de Thirlwall. Según ésta, las exportaciones tienen un papel determinante en la evolución económica ya que el déficit en cuenta corriente no puede ser financiado permanentemente y, por lo tanto, la disponibilidad de divisas impone restricciones al crecimiento fijando un límite superior a la demanda agregada.
LA LEY DE THIRLWALL Y LA RELACIÓN CRECIMIENTO ECONÓMICO - BALANZA DE PAGOS
Como mencionamos antes, la economía clásica y la neoclásica consideran que la fuente principal del crecimiento es la acumulación de los factores. En efecto, el surgimiento de las teorías del crecimiento económico de la década de 1990 (Grossman y Helpman 1991), permitieron vincular al sector externo y el crecimiento, gracias, por ejemplo, a la inclusión de la productividad marginal de los insumos importados2. En este orden de ideas, vale la pena resaltar el trabajo de Krugman (1989) en el cual se establece que la tasa de crecimiento de una economía explica lo ocurrido en el sector externo; específicamente, en las elasticidades ingreso de la demanda de importaciones y exportaciones.
No obstante lo extendida que se encuentra la visión anterior, existen otros autores que mantienen posiciones de demanda para sustentar la existencia de una relación en el sentido opuesto a la mencionada, es decir, del desempeño de las exportaciones e importaciones al crecimiento del PIB.
Dentro de este conjunto de autores, vale la pena mencionar la visión de los modelos de dos y tres brechas3, que “se remonta a las ideas sobre ‘estrangulamiento externo’ de países subdesarrollados propuestas por los economistas estructuralistas latinoamericanos en los años cincuenta” (Taylor 1979, 123), y establece limitaciones al crecimiento provenientes de la capacidad de un país para generar ahorro (brecha de ahorro) y de la flexibilidad de la producción (brecha comercial).
En una línea similar, la economía poskeynesiana ha otorgado un papel preponderante a la relación que tiene la evolución del sector externo con el crecimiento económico. La idea central descansa en que “los poskeynesianos han generalizado a Keynes (1936) fundamentalmente dirigiendo su análisis económico para tratar con la cuestión del crecimiento económico de una nación cuando el comercio externo es un componente importante de la demanda agregada” (Davidson 1997, 312). Uno de los esfuerzos más interesantes por configurar la visión anterior es la ley de Thirlwall, en la cual se otorga a la evolución de la balanza de pagos de un país un papel determinante en el crecimiento económico; por lo cual la explicaremos detenidamente.
Se parte de la identidad básica de equilibrio de la balanza de pagos4:
| PX+EF* = P*EM | [1] |
Donde X representa las exportaciones reales, M las importaciones reales, P el precio interno de las exportaciones (en moneda nacional), P* el precio externo de las importaciones (en divisas), F* el déficit de la cuenta corriente5 y E la tasa de cambio nominal.
Calculando las tasas de variación de la ecuación [1] y utilizando la identidad q = Px/(Px + EF*), que refleja la porción inicial de las exportaciones en el flujo total de divisas medido en precios corrientes internos:
| [2] |
Donde las letras minúsculas representan las tasas de crecimiento de las variables representadas en mayúscula. Diferenciando las funciones tradicionales de demanda de importaciones y exportaciones, con elasticidades constantes de ingresos y precios, se obtiene:
| h < 0, p > 0 | [3] |
| j < 0, x > 0 | [4] |
Donde x y m representan las tasas de crecimiento de las exportaciones e importaciones respectivamente, mientras que y es la tasa de crecimiento del ingreso interno real, w la tasa de crecimiento del ingreso mundial real, h y p y j y x las elasticidades precio e ingreso de las exportaciones e importaciones respectivamente. Solucionando el sistema se obtiene:
| [5] |
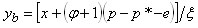
Donde [5] representa la tasa de crecimiento de largo plazo del ingreso interno real de una economía restringido por la situación de balanza de pagos (yb), y señala que las variaciones del ingreso real mundial, los flujos de capital extranjero en términos reales, los términos de intercambio y las elasticidades precio e ingreso de las exportaciones e importaciones determinan el desempeño del crecimiento económico de largo plazo en una economía.
Al suponer q = 1, válido en una perspectiva de largo plazo, y manipular la ecuación [5], utilizando la función de demanda de las exportaciones, se establece que el crecimiento económico de largo plazo está determinado por la tasa de crecimiento de las exportaciones, los términos de intercambio y las elasticidades precio e ingreso de las importaciones:
| [6] |
Un supuesto adicional utilizado para economías desarrolladas, consiste en tener una tasa de cambio real estacionaria
, lo cual simplifica la ecuación al encontrar que la tasa de crecimiento del ingreso compatible con el equilibrio de largo plazo en la balanza de pagos es igual a la tasa de crecimiento de las exportaciones, sobre la elasticidad de las importaciones:
| [7] |
Esta versión simplificada es la que comúnmente ha sido denominada la ley de Thirlwall. Detrás de la ley se encuentra la idea de que los flujos de capital desempeñan tan sólo un papel marginal en las diferencias entre las tasas de crecimiento internacionales, y que son las diferencias entre las elasticidades ingreso de la demanda de exportaciones e importaciones las que tienen el mayor poder explicativo de las disparidades en el crecimiento económico; en virtud de lo cual:
[...] dado que en el largo plazo la cuenta corriente (o, al menos, el balance básico) debe estar en equilibrio, el hecho de que yb = y sugiere que son los ajustes del ingreso (por medio del multiplicador de comercio exterior de Harrod o, más generalmente, el supermultiplicador de Hicks) los que aseguran que esto ocurra (McCombie 1997, 347).
Las exportaciones son “el único componente que puede proporcionar las divisas para pagar por el componente importado de otros componente de la demanda” (Thirlwall 1997, 380).
CRECIMIENTO ECONÓMICO Y BALANZA DE PAGOS
Una comparación gráfica de la evolución para Colombia del PIB, la tasa de cambio y las exportaciones, sugiere la existencia de una relación de largo plazo entre estas variables (gráficas 1 a 3).
No son muchos los trabajos que tratan de verificar en Colombia el efecto que los factores de demanda tienen en el crecimiento económico, sin embargo Currie (1990), siguiendo las conclusiones de Allyn Young, después de mencionar la dificultad de estimar cuantitativamente esta clase de problema, afirma que “si el tamaño del mercado limita la rentabilidad de especializarse y asegurar economías de escala, entonces una extensión del mercado, en términos reales, crea economías adicionales”.
GRÁFICA 1
LOGARITMO DEL PIB DE COLOMBIA, 1952-2000
GRÁFICA 2
LOGARITMO DE LAS EXPORTACIONES, 1952-2000

GRÁFICA 3
ÍNDICE DE LA TASA DE CAMBIO REAL, 1952-2000
Como mencionamos antes, no obstante la aparente relación de largo plazo entre exportaciones, tasa de cambio y PIB, la capacidad explicativa que sobre el crecimiento económico podría tener el modelo de restricción al crecimiento impuesta por la balanza de pagos, como habitualmente es conocida la ley de Thirlwall, la mayoría de los trabajos que se han elaborado respecto al tema para el caso colombiano, han preferido profundizar otro tipo de análisis, como los modelos de tres brechas (Sánchez 1996) y los de crecimiento endógeno (Posada 1995).
Tal vez el único intento en esta dirección fue el trabajo de López y Cruz (2000), quienes intentaron verificar el cumplimiento de dicha ley para varios países de América Latina, entre los cuales se encontraba Colombia. Sin embargo, el procedimiento adelantado en este trabajo no fue el indicado, puesto que se contrastó el desempeño del modelo en su forma reducida, hizo los análisis de cointegración con un número de observaciones demasiado bajo, otorgó a Colombia una importancia minoritaria en su estudio para dedicarse a países como Argentina y no incluyó la tasa de cambio real en las estimaciones de las elasticidad de la demanda de importaciones; omisión que sólo tiene sentido si la tasa de cambio real es estacionaria. Todo lo anterior justifica estimar el modelo en una versión más extendida, correspondiente a la ecuación [6].
La aproximación gráfica en diferencias de las series en logaritmos indica la posibilidad de que tengan una relación de largo plazo (gráfica 4).
No obstante lo anterior, se realizó la prueba de Dickey-Fuller sobre cada una de las series, para lo cual fue necesario identificar el verdadero proceso generador de los datos. El procedimiento que se siguió para tal efecto fue partir de la expresión más general, en la cual se tienen en cuenta la constante y la tendencia y un número suficientemente alto de rezagos de la variable y se inicia un procedimiento iterativo hasta que el último rezago sea significativo. El siguiente paso fue establecer los componentes determinísticos que deberían ser contemplados, para ello fue necesario acudir al algoritmo de Perron que sugiere un procedimiento recursivo, el cual finaliza al encontrar un rechazo de la hipótesis nula. En el cuadro 1 se encuentran los resultados de dicho procedimiento para las tres series mencionadas.
GRÁFICA 4
DIFERENCIAL DEL LOGARITMO DE PIB, TASA
DE CAMBIO REAL Y EXPORTACIONES, 1952-2000

CUADRO 1
PRUEBAS DE RAÍZ UNITARIA (ADF) SOBRE LAS VARIABLES
* Rechazo de la hipótesis de raíz unitaria de acuerdo con los valores críticos de MacKinnon al 5%.
Como se puede ver, tanto en el PIB como en la tasa de cambio real y en las exportaciones, se tiene que la prueba de Dickey-Fuller no encuentra información suficiente para rechazar la existencia de una raíz unitaria con el 95% de confianza cuando dichas variables se encuentran en niveles, pero sí cuando están en diferencias.
Dada toda esta información, se confirma que la tasa de cambio real, al no ser constante en el tiempo para Colombia, debe permanecer dentro de la ecuación de Thirlwall. Con la intención de hacer una revisión empírica de la ecuación [6] es posible realizar una especificación funcional que involucra las primeras diferencias de la representación lineal logarítmica de la misma:
| [8] |
En la cual aparecen dos identidades, incluidas con un objetivo notacional, para verificar el cumplimiento de la ley de Thirlwall:
| a = 1/x | [a] |
| [b] |
La definición [a] al ser el inverso de la elasticidad ingreso de la demanda de importaciones en el largo plazo, opera como multiplicador estimado de las exportaciones. Por su parte, la igualdad [b] es el coeficiente de la tasa de cambio real.
Existen varias formas de verificar el cumplimiento de la ley (McCombie 1997), pero en su mayoría no se encuentran exentas de desventajas en materia de robustez y exactitud. Por la razón anterior, se revisará un test que ya ha sido probado con éxito en otros países (fundamentalmente desarrollados) en los cuales ha demostrado ser el más preciso.
La metodología empleada fue desarrolla por McCombie (1997), con la intención de corroborar la ley para un país en forma individual, y consiste en la definición de una elasticidad ingreso de la demanda de importaciones “teórica” que el autor define como aquella que iguala exactamente la tasa de crecimiento de la balanza de pagos restringida con la actual, como sigue:
| [9] |
Con dicha elasticidad teórica se hace una prueba de significancia estadística cuya hipótesis nula establece su igualdad con el valor estimado de la elasticidad ingreso de la demanda obtenida por medio de una regresión econométrica; que equivale a la hipótesis de que el país mantiene una balanza de pagos restringida.
Con el ánimo de incorporar el efecto de la tasa de cambio real, y de esta forma desarrollar una prueba acorde con el contexto colombiano, fue necesario modificar la ecuación [9] de la siguiente forma:
| [10] |
Para hacer la estimación, en primer lugar se obtuvo la elasticidad ingreso de la demanda de las importaciones para el periodo muestral. Dicha evaluación fue realizada incluyendo la serie del PIB en precios constantes de 1975, las importaciones en millones de dólares de 1975, el índice tasa de cambio real y una variable dummy que recogió el efecto de la apertura económica. Las pruebas no utilizan valores críticos corregidos por la presencia de variables dummy, dado que esta práctica es común en la literatura, tal y como lo menciona Oliveros (2001).
El resultado muestra un valor de 5,903 de la prueba de estacionariedad de los errores, que al ser confrontado con los valores críticos de Engle y Yoo (1987) permite afirmar que al interior del modelo se presenta una relación de largo plazo entre las variables en cuestión. El cuadro 2 muestra la ecuación de cointegración, que superó las diferentes pruebas para los errores, sugeridas para este tipo de pruebas6.
CUADRO 2
ECUACIÓN DE COINTEGRACIÓN

El paso siguiente consiste en utilizar la estimación de x obtenida en 1,45, para determinar si es estadísticamente diferente de su valor teórico x* (1,67), obtenido mediante la manipulación algebraica que permitió llegar a [10] y que hemos denominado test de McCombie modificado. En la prueba de significancia estadística entre estos dos valores encontramos que no se puede rechazar la hipótesis nula de igualdad entre las dos elasticidades ingreso de la demanda de importaciones, concluyendo que la ley de Thirlwall se cumple en Colombia entre 1952 y 2000.
CUADRO 3
TEST DE McCOMBIE MODIFICADO
* Tasa de crecimiento logarítmica de la variable.
** Elasticidad precio de la demanda de importaciones.
Con ánimo ilustrativo realizamos una comparación entre las diferentes estimaciones de la tasa de crecimiento económico restringida por la balanza de pagos, obtenidas haciendo uso de las elasticidades ingreso y precio de la demanda de importaciones que se encuentran en varias investigaciones; dicha información puede ser apreciada en el cuadro 4 y del mismo se pueden extraer algunas afirmaciones7.
Lo primero que podemos afirmar al observar esta información, es que no considerar el efecto de la tasa de cambio real dentro de la ecuación de Thirlwall lleva a conclusiones diametralmente opuestas, ya que al incluir la tasa de cambio real se obtiene que el crecimiento real colombiano promedio para el periodo ha estado por encima de aquel que es coherente con el equilibrio en la balanza de pagos.
CUADRO 4
COMPARACIÓN ENTRE ESTUDIOS
* Tasa de crecimiento promedio del PIB.
** Tasa de crecimiento balanza de pagos restringida con supuesto de tasa de cambio real constante.
*** Tasa de crecimiento balanza de pagos restringida sin supuesto de tasa de cambio real constante.
Sin embargo, se debe poner especial atención al hecho de que los modelos de restricción al crecimiento impuesta por la balanza de pagos han sido especificados en una perspectiva de largo plazo, razón por la cual los estudios que involucren mayor número de años tendrán mejor poder explicativo8. Con el ánimo de enriquecer el análisis de la evolución de la restricción mencionada, realizamos comparaciones entre la información entregada por cada una de las diferentes estimaciones de la elasticidad ingreso de la demanda, sin entrar a cuestionar la metodología utilizada para su obtención y teniendo en cuenta la información macroeconómica que aparece en el anexo 2.
En el cuadro 4 es claro el incremento en la elasticidad ingreso de la demanda de importaciones en los últimos 25 años, al registrar un valor de 1,45 de 1952 a 2000 a 2,11 de 1982 a 2000; que tal como sugiere el modelo de restricción de balanza de pagos, estuvo acompañado por una disminución de más de un punto porcentual en la tasa de crecimiento de la economía. Lo anterior indica que el incremento en las exportaciones ocurrido durante el periodo en cuestión y el incremento en la tasa de cambio real no fueron suficientes para compensar el incremento en la elasticidad, sugiriendo que puede ser en gran medida responsable de la desaceleración en los niveles de crecimiento del país.
Existen varias razones para el alza mencionada en el párrafo anterior, entre las cuales vale la pena mencionar la política de liberación de importaciones (1973-1982), la apertura económica (1989-2002) y la revaluación del peso.
En el análisis entre periodos, es conveniente resaltar la igualdad entre la elasticidad estimada por Bairam y Oliveros, para 1961-1985 y 1984-1999, que registra un aumento de 0,8% en la tasa de crecimiento de equilibrio y una disminución en la tasa de crecimiento promedio de 1,4%; acompañada del incremento en la tasa de crecimiento de las exportaciones y en el índice de tasa de cambio real. Esto indicaría que al alcanzar mayores tasas de crecimiento económico con menores exportaciones, se acentuó la restricción al crecimiento que la balanza de pagos imponía en el momento, que fue subsanada temporalmente por una mayor disponibilidad de divisas provenientes de la bonanza cafetera (1976-79) y por mayores niveles de endeudamiento externo (1979-82), pero que en última instancia se reflejó en menores tasas de crecimiento efectivas, y condujo a los ajustes necesarios que permitieron incrementar la tasa de crecimiento de equilibrio.
Como podemos apreciar, la tasa de crecimiento económico estuvo por encima de aquella concebible con un equilibrio en balanza de pagos durante el periodo de 1982-2000; lo cual coincide con la disminución en el número de meses de importaciones cubierto con las reservas internacionales ocurrido entre los años 1982-19849, situación que fue rectificada en los años subsiguientes al retornar a dicha senda de crecimiento de equilibrio en balanza.
No es fortuito que durante la fase 1982-2000 la tasa de crecimiento de la economía estuviera muy por encima de la de equilibrio, mientras que al analizar la muestra para los años 1984-1999 estuviera relativamente cerca. Durante la etapa que diferencia el comienzo de los dos periodos mencionados (1982-1984), la economía experimentó un gran déficit en cuenta corriente, que incluso excedió el superávit en cuenta de capitales en USD 654, USD 1390 y USD 1.144 millones respectivamente.
El hecho de que no se verifique la ley de Thirlwall (al presentarse crecimientos del PIB superiores a los sugeridos por el modelo) durante algunos periodos, no justifica su inaplicabilidad en la economía colombiana sino que, al contrario, termina por ratificarla, puesto que para la muestra que incluye el mayor número de años (1952-2000), la tasa de crecimiento observada estuvo cerca de la de equilibrio, indicando que se ajusta a su nivel de equilibrio en el largo plazo.
GRÁFICA 5
VALORES COMPATIBLES CON CRECIMIENTO DE 4,4%
COMENTARIOS FINALES
Hicimos un repaso de las diferentes visiones del crecimiento en las que se permite incorporar el efecto de las reservas internacionales, lo cual permitió ubicar a la ley de Thirlwall como un modelo acertado para la economía colombiana. También llevamos a cabo el trabajo empírico que arrojó resultados satisfactorios. Respecto a trabajos realizados previamente, y que perseguían el objetivo de encontrar los determinantes del crecimiento económico, este artículo incorporó nuevas variables, un mayor número de años y evitó reproducir los problemas señalados para las metodologías utilizadas en otros trabajos.
A continuación se presentan las conclusiones del trabajo:
• La ley de Thirlwall se verifica para Colombia durante los años 1950-2000. Entonces, existe una relación de largo plazo entre el PIB y el comportamiento de las exportaciones, la elasticidad ingreso y precio de la demanda de importaciones y la tasa de cambio real. Siendo la tasa de crecimiento de 4,4% el centro de gravedad hacia el cual tendió el país en el largo plazo.
• La economía colombiana de las dos décadas pasadas se puede describir de la siguiente manera: el crecimiento económico fue superior al de equilibrio, lo cual no es sostenible en el largo plazo, dados los actuales determinantes de la balanza comercial. La elasticidad ingreso de la demanda se ha venido incrementando sustancialmente sin que las mayores exportaciones registradas durante el mismo periodo, así como los incrementos en la tasa de cambio real, hayan sido suficientes para compensar su efecto negativo sobre la economía.
• Las diferentes alternativas que se tendrían en materia de política económica para realizar un ajuste en los próximos años estarían dirigidas hacia dos frentes, disminuir la tasa de crecimiento del PIB actual o incrementar la tasa de crecimiento del PIB de equilibrio. La primera opción no parece razonable ya que supondría una tasa de crecimiento de 2% en el largo plazo, claramente inaceptable dadas las necesidades de desarrollo del país. Respecto a la segunda posibilidad –todo lo demás constante– implicaría cualquiera de las siguientes modificaciones, incrementos de las exportaciones promedio alrededor del 8% o incrementos en el ritmo promedio de devaluación a niveles del 12%.
• Dada la dificultad para realizar cualquiera de las dos modificaciones propuestas en el corto plazo, lo ideal sería una combinación de las dos. En la gráfica 5 se observan varias combinaciones que se podrían tener entre exportaciones y devaluación real, las cuales garantizarían niveles de crecimiento de equilibrio en balanza de pagos (4,4%), para diversos niveles de la elasticidad ingreso de las importaciones. En la misma gráfica se aprecia cómo las modificaciones en las dos variables mencionadas serían menos críticas si se produce una disminución en la elasticidad ingreso de las importaciones. Entonces, si esta última es de 1,91 las exportaciones deberían crecer en promedio 5% y la devaluación real debería ser 13,4%, pero si pasa a 1,2 la tasa de crecimiento promedio de las exportaciones debería ser 5,5% y la devaluación real 2%.
• Las decisiones de política económica en materia de importaciones y tasa de cambio han afectado la elasticidad ingreso de la demanda de importaciones, y por esta vía han deteriorado el crecimiento económico en las dos últimas décadas. Una reducción de la elasticidad ingreso se lograría imponiendo barreras arancelarias, cuotas, etc., algo difícil de incorporar en un entorno de internacionalización de la economía.
• Otra alternativa para obtener una reducción de la elasticidad ingreso de la demanda de bienes importados que sustituyan a los productos domésticos es la generación de políticas orientadas a modificar la estructura de la producción, buscando la diferenciación de los bienes nacionales y la reasignación entre el sector de bienes transables y el de no transables.
• La tasa de cambio tiene un papel importante, sin ser el principal, sobre la tasa de crecimiento de largo plazo de la economía. Sin tener en cuenta su efecto, se podría llegar a resultados errados en la verificación de la ley; con las implicaciones que esto tendría en materia de recomendaciones.
• La política comercial sugerida podría parecer inadecuada a las necesidades actuales de crecimiento y desarrollo del país pero es menos radical que la política de demanda necesaria para reestablecer el equilibrio.
NOTAS AL PIE
1. En este grupo vale la pena mencionar los esfuerzos por relacionar el papel de las reservas sobre el crecimiento; como por ejemplo el considerar el efecto que dicha variable tendría dentro de un modelo de crecimiento endógeno (Edwards 1996) o al afirmar por medio de una función de producción agregada que “el crecimiento está negativamente asociado con inflación, grandes déficit presupuestales y mercados de reservas internacionales distorsionados” (Fisher 1993). Fagerberg (1994) considera que “las nuevas tecnologías podrían estar involucradas en nuevos bienes de capital extranjeros, la importación de los cuales podría estar restringida por la oferta de divisas provenientes de las exportaciones”.
2. Otra clase de modelos de crecimiento endógeno utiliza la apertura económica para sugerir que los países más abiertos crecen más rápido, debido a que el recurso doméstico de invenciones tecnológicas es suficientemente fuerte para manejar la tasa agregada de innovaciones tecnológicas (Edwards 1996).
3. Para una revisión de los modelo de brechas económicas, ver Bacha (1990).
4. El modelo sigue fundamentalmente la presentación de Moreno (1998).
5. La omisión de variables relacionadas con los flujos de capitales está soportada en que estas pueden aliviar las restricciones de divisas, generadas por situaciones adversas en la cuenta corriente de la balanza de pagos sólo transitoriamente, y la ley está estructurada para el largo plazo.
6. Ver anexo 1, para revisar las pruebas sobre los errores.
7. No se recalcularon las elasticidades para los periodos de cada autor con los datos utilizados en el presente trabajo porque no tenían la suficiente extensión para la metodología empleada.
8. Debido a que los diferentes estudios reportados en el cuadro utilizan distintas metodologías y periodos de tiempo, es razonable esperar valores diferentes en las estimaciones, como ocurre en el caso de la elasticidad ingreso. No obstante, las dos estimaciones reportadas de la elasticidad precio difieren en gran medida, a pesar de tener casi el mismo periodo, motivo por el cual consideramos que nuestra estimación tiene mayor relevancia por cuanto se refiere a un periodo mucho más amplio. De todos modos el problema de la estabilidad de las elasticidades no ha sido tratado con profundidad en la bibliografía sobre el tema, y será tratado en un artículo independiente.
9. El número de meses cubierto con las reservas internacionales pasó de ser 10,7 en 1981 a 7,7; 5 y 6,7 para cada uno de los tres años consecutivos.
ANEXO 1
Prueba de cointegración

Prueba sobre los errores de la cointegración
Prueba de autocorrelación
ANEXO 2
VARIABLES MACROECONÓMICAS

REFERENCIAS BIBLIOGRÁFICAS
1. Bacha, E. “A three-gap model of foreign transfers and the GDP growth rate in developing countries”, Journal of Development Economics, 1990.
2. Bairam, E. “Levels of economic development and appropriate specification of the Harrod foreign-trade multiplier”, Journal of Poskeynesian Economics, 19(3), 1997.
3. Banco de la República. Principales Indicadores Económicos, 1923-1997. [ Links ]
4. Currie, L. Teoría macroeconómica y políticas de crecimiento, Bogotá, diciembre, 1990. [ Links ]
5. Charemza, W. and Deadman, F. New Directions in Econometric Practice, 1992. [ Links ]
6. Davidson, P. “Minisymposium on the Thirlwall Law and economic growth in an open-economy context”, Journal of Poskeynesian Economics, 19(3): 312, 1997.
7. Edwards, S. Crisis and Reform in Latin America, Washington, World Bank, 1996. [ Links ]
8. Engle, F. and Yoo, B. “Forecasting and testing in co-integrated systems”, Journal of Econometrics, 35, 1987.
9. Fagerberg, J. “Technology and international differences in growth rates”, Journal of Economic Literature, XXXII, septiembre, 1994.
10. Fisher, F. “Aggregate production function and the explanation of wages. a simulation experiment”, Review of Economics and Statistics, 1971.
11. Grossman, G. and Helpman, E. Innovation and Growth in the Global Economy, Cambridge: The MIT Press, 1991. [ Links ]
12. Krugman, P. “A model of balance of payment crises”, Journal of Money, Credit and Banking, 11(13), 1979.
13. Krugman, P. “Differences in income elasticity and trends in real exchange rates”, European Economic Review, mayo, 1989.
14. Leon-Ledesma, M. “An application of Thirlwall’s Law to the Spanish economy”, Journal of Post Keynesian Economics, Spring, 1999.
15. López, J. “Thirlwall’s Law and beyond: the Latin American experience”, Journal of Poskeynesian Economics, 22(3), 2000.
16. McCombie, J. S. L. “Estimating technical change in aggregate production functions: a critique”, International Review of Applied Economics, 5: 24-46, 1991.
17. McCombie, J. S. L. “On the empirics of balance of payments constraint growth”, Journal of Poskeynesian Economics, 1997.
18. Moreno, J. “México: crecimiento económico y restricción de la balanza de pagos”, Comercio Exterior, México, D. F., 48(6), junio, 1998.
19. Moreno, J. “México: Balance of payments-constrained growth in Central America: 1950-96”, Journal of Poskeynesian Economics, 22(1), 1999.
20. Obsfeld, M. “The logic of currency crises”, Cahiers Economiques Et Monetaires, 43, 1994.
21. Oliveros, H. “La demanda por importaciones en Colombia”, Borradores de Economía, 187, 2001.
22. Posada, C. Crecimiento económico, capital humano, ahorro e instituciones, Banco de la República, 1995. [ Links ]
23. Shaikh, A. “Laws of production and laws of algebra: Humbug II”, Growth, Profits and Property. Essays in the Revival of Political Economy, Cambridge: Cambridge University Press, 1980.
24. Simon, H. “On parsimonious explanations of production relations”, Scandinavian Journal of Economics, 81: 459-474, 1981.
25. Sánchez, F. “Ahorro y crecimiento en un modelo de tres brechas”, Revista Planeación y Desarrollo, 27(1), 1996.
26. Taylor, L. Macro Models for Developing Countries, New York: McGraw-Hill, 1979. [ Links ]
27. Thirlwall, A. P. “The balance of payments constraints as an explanation of international growth rate differences”, Banca Nazionale del Lavoro Quarterly Review, 1979.
28. Thirlwall, A. P. “Reflections on the concept of balance-of-payments-constrained growth”, Journal of Poskeynesian Economics, 19(3), 1997.
29. Zuccardi, I. “Demanda por importaciones en Colombia: una estimación”, Archivos de Macroeconomía, 153, 2001.













