Services on Demand
Journal
Article
Indicators
-
Cited by SciELO -
Access statistics
Related links
-
Cited by Google -
Similars in
SciELO -
Similars in Google
Share
Innovar
Print version ISSN 0121-5051
Innovar vol.19 no.33 Bogotá Jan./June 2009
José Enrique Devesa Carpio* & Mar Devesa Carpio**
* Profesor titular de la Universidad de Valencia, España, facultad de economía, Universidad de Valencia, España. Correo electrónico: enrique.devesa@uv.es
** Titular de escuela universitaria, Universidad de Valencia, España. Correo electrónico: mar.devesa@uv.es
Resumen
El objetivo principal del trabajo es analizar, desde una óptica financiero-actuarial, la existencia y amplitud de los desincentivos a la jubilación distinta de la ordinaria (65 años) que aplica la Seguridad Social en España. Para el desarrollo del trabajo se ha utilizado una nueva metodología basada en la combinatoria, en lugar de trabajar con datos de carreras laborales reales o de utilizar carreras generadas aleatoriamente. Además, se han aplicado técnicas financieras y actuariales.
El presente artículo se ubica dentro de los estudios que analizan la equidad de los sistemas de pensiones, y, en concreto, de pensiones de jubilación del Régimen General en España. Aunque con un carácter meramente informativo, también se ofrecen los resultados diferenciados por sexo.
La conclusión más relevante del estudio es que existe un desincentivo tanto para la jubilación anticipada como retrasada; siendo más importante cuanto más alejada esté la edad de jubilación del individuo de la edad ordinaria de jubilación, que actualmente es de 65 años.
Palabras clave:
equidad, tanto interno de rendimiento, España, pensión de jubilación, sistema de reparto, seguridad social.
Abstract
This work's main objective was to analyse the existence and breadth of disincentives for retirement (apart from the ordinary one, i.e. being aged 65) applied by the Spanish social security system from a financial-actuarial viewpoint. A new combinatory analysis-based methodology has been used instead of working with data regarding real working-life or using randomly-produced careers. Financial and actuarial techniques were also applied.
This article is in line with studies analysing equity in pension systems, more concretely general regime retirement pensions in Spain. Even though it is merely informative, gender-differentiated results are also offered.
The study's most relevant conclusions concern the fact that there is disincentive against both anticipated and delayed retirement; this is more important when an individual's retirement age is further removed from ordinary retirement age (this currently being 65).
Key words:
equity, internal rate of return, Spain, retirement pension, distribution system, social security.
Résumé
L'objectif principal de ce travail est d'analyser, du point de vue financier actuaire, l'existence et l'importance des mesures de dissuasions de départ en retraite à un âge différent de l'âge normal (65 ans) appliquées par la sécurité sociale en Espagne. Une nouvelle méthodologie est utilisée, basée sur la méthode combinatoire, au lieu d'employer les données de carrières d'emplois réels ou d'utiliser des carrières engendrées aléatoirement. En outre des techniques financières et actuaires ont été appliquées.
Cet article fait partie des études qui analysent le caractère équitable des systèmes de pensions, et, plus concrètement, du système de mise à la retraite du régime général en Espagne. D'autre part, de façon seulement informative, des résultats différenciés par sexe sont aussi offerts.
Les conclusions les plus importantes de cette étude déterminent qu'il existe un système de dissuasion autant pour la retraite anticipée que pour le départ à la retraite postposé ; et ceci d'autant plus si l'âge de départ à la retraite de l'individu est plus éloigné de l'âge normal de mise à la retraite, celui-ci étant actuellement de 65 ans.
Mots-clefs:
caractère équitable, forfait interne de rendement, Espagne, mise à la retraite, système de répartition, sécurité sociale.
Resumo
O objetivo principal do trabalho é analisar, desde uma ótica financeira-atuarial, a existência e extensão dos desincentivos à aposentadoria distinta da ordinária (65 anos) que se aplica à seguridade social na Espanha. Tem-se utilizado uma nova metodologia baseada na combinatória, em lugar de trabalhar com dados de carreiras profissionais reais ou de utilizar carreiras geradas aleatoriamente. Além disso, tem-se aplicado técnicas financeiras e atuariais.
O presente artigo localiza-se dentro dos estudos que analisam a eqüidade dos sistemas de pensões, e, em concreto, de pensões de aposentadoria do regime geral na Espanha. Ainda que com um caráter meramente informativo, também se oferecem os resultados diferenciados por sexo.
As conclusões mais relevantes do estudo são que existe um desincentivo tanto para a aposentadoria antecipada como tardia; sendo mais importante quanto mais afastada esteja a idade de aposentadoria do indivíduo da idade ordinária de aposentadoria, que atualmente é de 65 anos.
Palavras chave:
eqüidade, tanto interno de rendimento, Espanha, pensão de aposentadoria, sistema de repartição, seguridade social.
1. Introducción
Es un hecho que en el sistema de pensiones contributivas de jubilación de la Seguridad Social en España, existe un elevado porcentaje de afiliados que optan por jubilarse antes de la edad ordinaria de 65 años.
Así, el propio Ministerio de Trabajo y Asuntos Sociales español, en una nota de prensa[1], afirma:
- En cifras absolutas, en los ocho primeros meses de 2005 se han jubilado en el sistema de la Seguridad Social un total de 150 078 trabajadores. De ellos, 60 957 se han jubilado con menos de 65 años, de los que 39 805 (un 65,30%) han sido con coeficiente reductor de la pensión; 3 415 trabajadores por tener bonificación en la edad de jubilación reconocida en función de las especiales condiciones de penosidad del trabajo realizado; 4 399 han accedido a través de la jubilación anticipada especial a los 64 años -con contrato de relevo- y 13 338 a través de la jubilación parcial.
A la vista de estos datos y obviando razones de índole personal o profesional[2], pretendemos, en este trabajo, contestar a la pregunta sobre la existencia de alguna razón financiero-actuarial para que las personas se jubilen anticipadamente, incluso con la penalización que supone la aplicación de los coeficientes reductores. Dicho de otra forma, si existe un incentivo para la jubilación anticipada por parte de la Seguridad Social. Análogamente, lo plantearemos en el caso de que se decida retrasar la fecha de jubilación. El análisis se va a desarrollar sólo para el caso del Régimen General de la Seguridad Social española.
Después de esta breve introducción, en el segundo apartado revisaremos la normativa sobre jubilación anticipada y retrasada. En el tercero se expondrá el modelo utilizado para determinar los coeficientes reductores y ampliadores, mientras que en el cuarto se presentarán los principales resultados. En el apartado quinto se comentarán las principales conclusiones y, por último se referencia la bibliografía.
2. El marco legislativo español
En España, el sistema financiero-actuarial utilizado por la Seguridad Social está basado en el sistema de reparto de prestación definida. Una de las características más relevantes de un sistema de reparto es que las prestaciones causadas no quedan financiadas en el momento en que se producen, sino que existe un contrato intergeneracional implícito y perpetuo, en virtud del cual, a cambio de las aportaciones que los trabajadores realicen durante su etapa activa, recibirán una pensión pagada por los que estén activos en cada momento.
A continuación, en este apartado se va a pasar revista a la normativa española respecto al método de cálculo de la pensión inicial, tanto en el caso de la jubilación ordinaria como en el de la jubilación anticipada y retrasada.
2.1 Jubilación ordinaria
De forma abreviada, los requisitos para la jubilación ordinaria son:
- Como norma general, haber cumplido los 65 años de edad.
- Para los trabajadores en situación de alta o asimilada a la de alta, un período mínimo de cotización de 15 años, de los cuales dos deben estar comprendidos dentro de los 15 años inmediatamente anteriores al momento de causar el derecho.
- La cuantía de la pensión inicial[3] se determina aplicando a la base reguladora el porcentaje que corresponda en función de los años cotizados.
- La base reguladora es el cociente que resulta de dividir por 210 las bases de cotización del interesado durante los 180 meses inmediatamente anteriores a aquél en que se produzca el hecho causante.
- Las bases de cotización de los 24 meses inmediatamente anteriores a la fecha del hecho causante se toman por su valor nominal. Las restantes bases de cotización se actualizarán de acuerdo con la evolución del Índice de Precios al Consumo desde los meses a los que aquéllas correspondan hasta el mes 25, previo al del hecho causante, a partir del cual se inicia el período de las bases de cotización tomadas en su valor nominal.
- Integración de lagunas. Si en el período que haya de tomarse para el cálculo de la base reguladora aparecieran meses durante los cuales no existiera obligación de cotizar, las lagunas de cotización se integrarán para los exclusivos efectos de dicho cálculo, con la base mínima de cotización, vigente en cada momento en el Régimen General para los trabajadores mayores de 18 años.
- Exoneración de cuotas. Los empresarios y trabajadores quedarán exentos de cotizar a la Seguridad Social por desempleo, Fondo de Garantía Salarial, formación profesional y por contingencias comunes, salvo por incapacidad temporal derivada de las mismas, respecto de aquellos trabajadores por cuenta ajena con contratos de trabajo de carácter indefinido, así como de los socios trabajadores o de trabajo de las cooperativas, siempre que tengan cumplidos 65 o más años de edad y acrediten 35 o más años de cotización efectiva a la Seguridad Social, sin que se computen para estos efectos las partes proporcionales de pagas extraordinarias.
- Porcentaje aplicado. El porcentaje es variable en función de los años de cotización a la Seguridad Social, y se aplica una escala que comienza con 50% a los 15 años, aumentando 3% por cada año adicional comprendido entre el decimosexto y el vigésimo quinto y 2% a partir del vigésimo sexto hasta alcanzar un máximo de 100% a los 35 años, excepto cuando se acceda a la pensión de jubilación a una edad superior a los 65 años, en cuyo caso el porcentaje aplicable será el resultante de sumar a 100%, 2% adicional por cada año completo que se haya cotizado desde el cumplimiento de los 65 años, siempre que el interesado tenga acreditados 35 años de cotización[4]. En el caso general de jubilación a los 65 años, la regla aplicable (fórmula de beneficio por años de servicio) produce teóricamente un desincentivo al trabajo[5], como se puede ver en el gráfico 1.

2.2 Jubilación anticipada
Aunque la regla general para solicitar el pase a la jubilación es tener cumplidos los 65 años de edad, ésta puede ser rebajada[6], sólo para trabajadores en alta o en situación asimilada a la de alta, en determinados supuestos:
A) A partir de los 60 años para quienes hubiesen sido cotizantes en alguna de las mutualidades laborales de trabajadores por cuenta ajena con anterioridad al 1º de enero de 1967[7], con aplicación de los siguientes coeficientes, según sea:
A.1.) Cuando el trabajador acceda a la pensión desde un cese voluntario en el trabajo o cuando acredite 30 o menos años de cotización, la cuantía de la pensión se reducirá en 8% por cada año o fracción de año que, en el momento del hecho causante, le falte para cumplir la edad de 65 años, según se ve en el cuadro 1.

A.2.) Cuando el trabajador acredite más de 30 años completos de cotización y acceda a la pensión desde un cese en el trabajo, por causa no imputable al trabajador, los porcentajes de reducción de la cuantía de la pensión serán, en función de los años completos cotizados, los que figuran en el cuadro 2.

B) Aquéllos que no tengan la condición de mutualista podrán acceder a la jubilación anticipada,
B.1.) Reuniendo los siguientes requisitos:
- Tener 61 años de edad real.
- Acreditar un período mínimo de cotización efectiva de 30 años.
- Encontrarse inscritos, como demandantes de empleo, en las oficinas del servicio público de empleo, durante un plazo de, al menos, seis meses inmediatamente anteriores a la fecha de solicitud de jubilación.
- Que el cese en el trabajo, como consecuencia de la extinción del contrato de trabajo, no se haya producido por causa imputable a la libre voluntad del trabajador[8].
B.2.) También podrán acceder a la jubilación -cumplidos los requisitos exigidos en los apartados a), b) y c) del subepígrafe B.1.), siempre que la extinción de la relación laboral anterior haya venido precedida por alguna de las causas señaladas en el apartado d) del subepígrafe B.1.)- las siguientes personas:
- los beneficiarios de la prestación de desempleo, cuando ésta se extinga por agotamiento del plazo de duración de la prestación o por pasar a ser pensionista de jubilación, de conformidad con lo señalado en las letras a) y f), apartado 1, del artículo 213 de la Ley General de la Seguridad Social (LGSS).
- Los beneficiarios del subsidio por desempleo, de nivel asistencial, mayores de 52 años.
- Los trabajadores mayores de 52 años que no reúnan los requisitos para acceder al subsidio por desempleo de mayores de dicha edad, una vez agotada la prestación por desempleo, y continúen inscritos como demandantes de ocupación en las oficinas del servicio público.
La pensión que resulte, por aplicación a la base reguladora del porcentaje correspondiente, será objeto de reducción mediante la aplicación, por cada año o fracción de año que, en el momento del hecho causante, le falte al trabajador para cumplir los 65 años, de los coeficientes reductores que aparecen en el cuadro 3.

C) Existe también la posibilidad de jubilarse con menos de 65 años, sin aplicación de los citados coeficientes reductores, desde determinados supuestos con regulación específica, entre los que cabe citar:
C.1.) La jubilación especial a los 64 años. Modalidad de jubilación que, como medida de fomento del empleo, rebaja la edad mínima de jubilación exigida de 65 años a 64 años, sin la aplicación de coeficientes reductores por edad, permitiendo a los trabajadores por cuenta ajena acceder a la pensión de jubilación con los mismos derechos económicos que si tuvieran 65 años cumplidos; para ello, deben pertenecer a una empresa que, en virtud de convenio o pacto, esté obligada a sustituir, simultáneamente, al trabajador que se jubila por otro trabajador que se encuentre inscrito como desempleado en la correspondiente Oficina de Empleo.
C.2.) La jubilación parcial[9]. Se considera jubilación parcial la iniciada después del cumplimiento de los 60 años, simultánea con un contrato de trabajo a tiempo parcial y vinculada o no con un contrato de relevo celebrado con un trabajador en situación de desempleo o que tenga concertado con la empresa un contrato de duración determinada. Los trabajadores por cuenta ajena, integrados en cualquier régimen de la Seguridad Social, que tengan 60 años cumplidos y reúnan las demás condiciones exigidas para tener derecho a la pensión contributiva de jubilación de la Seguridad Social, podrán acceder a la jubilación parcial cumpliendo una serie de requisitos.
C.3.) Incluso, en el propio Régimen General, la edad ordinaria de jubilación puede ser rebajada o anticipada en aquellos grupos o actividades profesionales, cuyos trabajos sean de naturaleza excepcionalmente penosa, peligrosa, tóxica, siempre que los trabajadores afectados se encuentren en situación de alta o asimilada a la de alta y cumplan los demás requisitos generales exigidos en cuanto a período de cotización y hecho causante[10]. Estos grupos son:
C.4.) Trabajadores minusválidos. A partir del 1º de enero de 2004, los trabajadores por cuenta ajena afectados por una minusvalía igual o superior a 65% podrán acceder anticipadamente a la jubilación, sin reducción de la cuantía de la pensión. La edad ordinaria de 65 años, exigida para el acceso a la pensión de jubilación, se reducirá en un período equivalente al que resulte de aplicar al tiempo efectivamente trabajado los coeficientes que se indican, siempre que durante los períodos de trabajo realizados se acrediten los siguientes grados de minusvalía:
- El coeficiente de 0,25, en los casos en que el trabajador tenga acreditado un grado de minusvalía igual o superior a 65%.
- El coeficiente de 0,50, en los casos en que el trabajador tenga acreditado un grado de minusvalía igual o superior a 65% y acredite la necesidad del concurso de otra persona para la realización de los actos esenciales de la vida ordinaria.
2.3 Jubilación retrasada
Entendemos por jubilación retrasada aquélla que se produce con posterioridad a la edad ordinaria de jubilación, que actualmente es de 65 años. Lo más relevante para el análisis posterior es la exoneración de cuotas y el incremento del porcentaje aplicado para la determinación de la pensión inicial, tal y como se ha comentado en el subtítulo de jubilación ordinaria.
3. El modelo
Como se ha comentado en el resumen, el objetivo principal del trabajo es cuantificar los coeficientes que se tendrían que aplicar en el Régimen General de la Seguridad Social española para determinar la pensión inicial en el caso de jubilación anticipada y retrasada, con la finalidad de conseguir la equidad intrageneracional, lo cual implica que todos los trabajadores que se jubilen en el mismo momento tengan el mismo tanto interno de rendimiento real (TIR)[11], independientemente de la edad a la que se jubilen. Dicho en otras palabras, que el sistema sea equitativo para todos los que se jubilen en el mismo año, independientemente de la edad a la que accedan a la jubilación.
Se va a tomar como referencia a un trabajador que se jubile a la edad de 65 años, que acumule entre 35 y 45 años de cotizaciones. Aunque los coeficientes que aplica la Seguridad Social son independientes del sexo, también vamos a ofrecer los datos separados para cada sexo, ya que, por la hipótesis establecida, se necesita como paso intermedio para obtener el valor conjunto.
Las fuentes de datos utilizadas en el trabajo se han obtenido de:
- Los anuarios de Estadísticas Laborales de la Seguridad Social, y de los Informes Estádisticos de la Seguridad Social española, para toda la información de cotizaciones y pensiones.
- La Encuesta de Estructura Salarial de 2002 proporcionada por el Instituto Nacional de Estadística (INE) español, para obtener la estructura de las bases de cotización.
- El Instituto Nacional de Estadística español (INE) para los datos del índice de precios al consumo (IPC).
- El Boletín Estadístico del Banco de España para la variación salarial media. En este caso se ha tenido que recurrir a las siguientes series para poder enlazarlas[12]:
- De 1964-1976: retribución por hora trabajada.
- De 1976-1981: salario medio mensual por persona ocupada.
- De 1981-2002: ganancia media por trabajador y mes.
- Para los años anteriores a 1964 se ha utilizado una aproximación lineal.
Las hipótesis básicas que se van a asumir son las siguientes:
- Se va a utilizar como referencia exclusivamente el Régimen General de la Seguridad Social española, ya que, además de que representa el mayor número de afiliados (para 2004 el 71,65% del total -incluido el régimen de funcionarios del Estado-) y el de mayor cuantía total de pensiones (para 2004 el 64,52% del total -incluido funcionarios del Estado-), en los regímenes especiales existe una casuística tan grande en cuanto a tipos de cotización, bases de cotización, edad de jubilación reducida, etc., que es muy difícil asignar correctamente las cotizaciones y las pensiones.
- Se van a utilizar datos de 2004 por ser los últimos disponibles en su totalidad.
- El crecimiento nominal de las pensiones futuras utilizado ha sido de 2%.
- La inflación esperada utilizada ha sido de 2%.
- Las tablas de mortalidad-supervivencia han sido las del "INE 1998-99".
De forma resumida, el procedimiento para cumplir los objetivos propuestos se basa en[13]:
- Determinar los distintos flujos de cotizaciones y de pensiones de jubilación que puede recibir un trabajador que se jubile con una edad entre 60 y 70 años.
-
Los pasos para obtener los flujos de cotizaciones son los siguientes:
- Se parte de la base de cotización en el año de referencia (2004) -que se determina a partir de la distribución de los salarios recogida en la Encuesta de Estructura Salarial de 2002-, de la tasa de cotización aplicable en 2004 para la contingencia de jubilación[14] y del volumen total de cotizaciones. La base de cotización se ajusta de tal forma que, manteniendo la misma distribución que la de la Encuesta de Estructura Salarial, la aplicación del tipo de cotización permita recaudar una cuantía igual al volumen total de cotizaciones que figura en el Anuario de Estadísticas Laborales de la Seguridad Social para 2004.
- Mediante un proceso diagonal descendente y teniendo en cuenta los valores históricos de la variación de los salarios y del índice de precios al consumo, se obtiene el resto de bases de cotización pasadas, en términos reales.
- Dada la complejidad y las continuas modificaciones legales que sufrió el sistema de Seguridad Social entre los años 1959 y 2004 (período que se ha utilizado para los cálculos), la reconstrucción de los tipos de cotización pasados (que se aplicaban sobre distintas clases de bases[15]) es una tarea casi imposible, por lo que se ha utilizado como tipo de cotización, para todo el período de estudio, el mismo que se ha determinado para 2004[16].
-
En lugar de obtener trayectorias aleatorias para las bases de cotización (lo cual podría implicar carreras laborales sin sentido económico), se han generado de tal forma que, fijado el número de años de estudio (desde 1959 a 2004, es decir, 46 datos) y fijado el número de años de cotizaciones (varían entre 35 y 45 años), no se afectaran las bases de cotización a partir de años concretos de cotización. Esto supone tener en cuenta cuáles son las combinaciones que se pueden establecer y cuáles de esas combinaciones suponen, en un año cualquiera, que ha habido cotización y en cuáles no, suponiendo equiprobabilidad. Así, si representamos por t el número total de años en que es posible haber cotizado (en nuestro caso siempre es igual a 46), por c el número de años en que realmente se ha cotizado (entre 35 y 45) y por n el número de años que realmente no se ha cotizado (evidentemente será igual a t-c) el número total de combinaciones T, vendrá dado por el número combinatorio:

Siendo: t: el número total de años en que es posible haber cotizado,
c: el número de años en que realmente se ha cotizado,
T: el número total de combinaciones posibles.
Este valor T se utilizará como denominador para calcular el promedio de cotizaciones y de bases reguladoras.
Por otro lado, el número de veces que habrá cotizado en un año determinado C, vendrá dado por:

Siendo:
C: el número de veces que habrá cotizado en un año determinado.
Por último, el número de veces que no habrá cotizado N se puede obtener como la diferencia entre T y C, o como el número combinatorio:

Siendo:
N: el número de veces que no habrá cotizado en un año determinado.
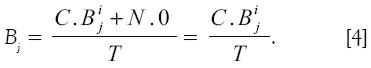
Con todo ello, la base de cotización promedio de un año cualquiera j, que representaremos por Bj, será igual a:
Siendo:
Bj: base de cotización promedio del año j,
Bij: base de cotización determinada inicialmente para el año j.
En la ecuación [4] aparece un cociente donde el denominador es el número total de combinaciones y el numerador es la suma de dos componentes: la primera es el producto del número de combinaciones en los que aparezca alguna cotización multiplicado por la cuantía de la base de cotización que hemos determinado inicialmente (Bij), más una segunda componente que es igual al producto del número de combinaciones en las que no aparece cotización, multiplicado por la cuantía cotizada que, como es nula, convierte este segundo sumando en cero[17].
-
Para la obtención de las pensiones de jubilación se ha procedido de la siguiente forma:
-
En primer lugar, hay que determinar la base reguladora[18], para lo cual hay que calcular el promedio de las bases de cotización de los últimos 15 años antes de la jubilación. Para determinarlas se ha seguido el mismo procedimiento que en el caso descrito para las bases de cotización, excepto que (como se comentó en el apartado 2) en el caso de que no exista cotización en un año determinado se integran por la base de cotización mínima[19] Bmj, con lo que la base de cotización promedio utilizada para el cálculo de la base reguladora de un año cualquiera j, que representaremos por BRj, será igual a:

- El siguiente paso es actualizarlas, de la forma como se ha comentado en el apartado 2, aunque ahora referido a períodos anuales. Por lo tanto, las bases de cotización de los dos años inmediatamente anteriores a la fecha del hecho causante se toman por su valor nominal. Las restantes bases de cotización se actualizarán de acuerdo con la evolución del índice de precios al consumo desde los años a que aquéllas correspondan hasta el segundo año antes de la fecha de jubilación.
- Con los datos anteriores y la tasa de sustitución correspondiente, se calcula el valor de la pensión inicial y se obtiene el valor actual actuarial de las pensiones, según el índice de revalorización estimado y según las tablas de mortalidad elegidas.
Siendo:
Bmj: base de cotización mínima del año j,
BRj: base de cotización promedio utilizada para el cálculo de la base reguladora del año j.
-
- Con estos datos se procede a calcular el tanto interno de rendimiento real de un trabajador que se jubila a la edad de 65 años, con las distintas posibilidades de años cotizados (entre 35 y 45). Por último, se calcula el tanto interno de rendimiento real promedio de los valores obtenidos (suponiendo equiprobabilidad), siendo este resultado el que se va a tomar como referencia. En este caso, como corresponde a la normativa actual, se aplica una tasa de sustitución de 100% a la base reguladora.
- Por último, aplicando la exoneración de cuotas cuando corresponda, se determina cuál es la tasa de sustitución y, por diferencia, el porcentaje reductor o "aumentador" que habría que aplicar a la base reguladora de cada trabajador para que existiera equidad intrageneracional por sexos, es decir, para que todos los trabajadores del mismo sexo que se jubilen en un año determinado, tengan el mismo tanto interno de rendimiento real que el trabajador de referencia. Posteriormente, se calcula para el conjunto de individuos, independientemente de su sexo, de la manera como lo aplica la Seguridad Social.
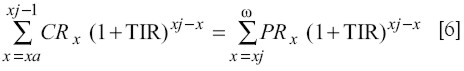
Es importante señalar que con el método basado en las combinaciones no hace falta fijar una edad de entrada, ya que se contemplan todas las posibilidades. Además, dado el rango de años cotizados (35 a 45) y el número total de posibles años de cotización (46), se puede asegurar que siempre habrá, al menos, dos años de cotizaciones entre los últimos 15 años, por lo que no hace falta realizar ningún ajuste adicional, ya que todos tendrán derecho a la jubilación. Teniendo en cuenta lo anterior, la ecuación para determinar el TIR real es la siguiente:

CRx: cotización en términos reales pagada a la edad x.
PRx: pensión en términos reales, corregida por la probabilidad de supervivencia, recibida a la edad x.
ω: edad límite de la tabla de mortalidad.
xa: edad de entrada en el mercado laboral.
xj: edad de jubilación.
TIR: tanto interno de rendimiento real.
4. Resultados
Una vez expuesto el modelo, vamos a pasar a mostrar los resultados de su aplicación al caso del Régimen General de la Seguridad Social española con los datos del año 2004.
Como se ha comentado anteriormente, el individuo de referencia es una persona que se jubila a los 65 años con un período de cotizaciones entre 35 y 45 años, con lo que la tasa de sustitución aplicable es de 100%.
Entre las múltiples posibilidades que se han expuesto en el segundo apartado para acceder a la jubilación anticipada, y dado que el objetivo del trabajo es determinar si existe un incentivo para anticipar o retrasar la edad de jubilación, creemos que la que más sentido tiene para llevar a cabo la comparación con los resultados que hemos obtenido es la del cuadro 1, ya que es la única en la que existe la libre elección del trabajador, no estando condicionada por la exigencia de que el cese en el trabajo sea por causa no imputable al mismo. De todas formas, la comparación con cualquier otro colectivo sería un problema sencillo de resolver.
El valor promedio de cada uno de los coeficientes que aparecen en el cuadro 4 y en el cuadro 5, se han obtenido como media ponderada de los flujos de cotizaciones y de pensiones según el porcentaje que supone el número de afiliados de cada sexo al Régimen General de la Seguridad Social de 2004[20]. Estos porcentajes son de 59,33% para varones y de 40,67% para mujeres. De esta forma, se pretende que los coeficientes reductores que deberían aplicarse sean únicos para todos los cotizantes (como ocurre en la actualidad) y que, además, reflejen la situación actual del mercado de trabajo.
Así, en el cuadro 4 se pueden observar los coeficientes que se aplican en la actualidad y los que habría que utilizar según el método descrito para que todos los individuos que se jubilen este año tengan el mismo tanto interno de rendimiento real. Como el individuo de referencia se jubila a los 65 años y ha cotizado entre 35 y 45 años, su coeficiente reductor siempre es cero; dicho de otra forma, su tasa de sustitución, que es de 100%, no se ha modificado. En todos los casos, los coeficientes reductores que habría que aplicar según el modelo están muy por debajo de los que está utilizando en la actualidad la Seguridad Social, alcanzando la máxima diferencia relativa en el caso de 60 años, donde el coeficiente reductor promedio según nuestro modelo sería de 21,67%, mientras que según la normativa actual es de 40%, lo que supone, en términos relativos, 84,56% de exceso de penalización. En el caso de los 64 años, la diferencia relativa pasaría a algo menos de 58%. Esto significa que sí existe un desincentivo importante a la jubilación anticipada desde el punto de vista estrictamente financiero actuarial.
Por otro lado, en el cuadro 5 se pueden observar los coeficientes que se aplican en la actualidad y los que habría que utilizar según el método descrito para que todos los individuos que se decidan por la jubilación retrasada durante el año de estudio, tengan el mismo tanto interno de rendimiento real. En todos los casos, los coeficientes "ampliadores" que habría que aplicar según el modelo están muy por encima de los que está utilizando en la actualidad la Seguridad Social, alcanzando la máxima diferencia relativa en el caso de 70 años, donde el coeficiente "ampliador" promedio según nuestro modelo sería de 25,75%, mientras que según la normativa actual es de 10%, lo que supone un exceso de penalización de 61,17%. Para el resto de edades, la diferencia relativa es mucho más parecida que en el caso de la jubilación anticipada. Esto significa que el incentivo que ofrece la Seguridad Social para la jubilación retrasada, desde el punto de vista estrictamente actuarial, es muy pequeña.
En el gráfico 2 se pueden ver las tasas de sustitución en el caso de la jubilación anticipada y retrasada, tanto para los datos obtenidos en el modelo como para los que aplica actualmente la Seguridad Social. Aunque es difícil de apreciar a simple vista, la función obtenida con el modelo es convexa para cada uno de los tramos anteriores y posteriores a los 65 años. Si, como ocurre en la actualidad, se quisiera utilizar una función lineal para determinar los coeficientes conjuntos[21], habría que descontar 4,33% (en la actualidad es 8%) por cada año que faltara para alcanzar los 65 en el caso de la jubilación anticipada, mientras que para la jubilación retrasada habría que incrementar la tasa de sustitución en 5,15% (en la actualidad es 2%) por cada año que excediera de los 65.

5. Conclusiones
A nuestro modo de ver, el principal aporte del trabajo es proporcionar un modelo que permita determinar, desde el punto de vista actuarial, los porcentajes reductores y ampliadores que tendría que aplicar la Seguridad Social para que el tanto interno de rendimiento real de todos los que se jubilaran en la misma fecha fuera idéntico.
Además, se presenta una metodología novedosa que no está basada ni en la creación de carreras laborales aleatorias, ni en la aplicación de datos reales, sino en la combinatoria. La utilización de esta metodología se explica por su sencillez y porque los resultados no deberían ser muy diferentes de los obtenidos por otros métodos, ya que el concepto en el que está basado -el TIR real- es una medida relativa y no absoluta.
Los resultados obtenidos con el modelo son claros: existe un desincentivo financiero actuarial muy importante para la jubilación anticipada y el incentivo que ofrece la Seguridad Social para retrasar la edad de jubilación es insuficiente, a pesar de que este último viene por dos vías: por la exoneración de cuotas y por el aumento de la tasa de sustitución. En concreto, para la jubilación anticipada habría que aplicar un coeficiente reductor por cada año que le faltara para cumplir los 65 de 4,33%, en lugar del 8% actual. Este coeficiente, según nuestro modelo, sería de 5,15% por cada año que excediera de 65 para la jubilación retrasada, en lugar del 2% actual. Como se puede observar, tanto para la jubilación anticipada como para la retrasada existe una fuerte penalización, por lo que la edad aconsejable para la jubilación, desde un punto de vista financiero actuarial, es 65 años.
Además, las diferencias relativas entre las tasas de sustitución actuales y las obtenidas en el modelo son mayores cuanto menor es la edad de la persona que se quiera jubilar anticipadamente, mientras que para la jubilación retrasada es mayor en valor absoluto cuanto mayor es la edad de jubilación.
Evidentemente, estos resultados podrían ser diferentes si se tuviera en cuenta otro tipo de ventajas para el trabajador, provenientes del propio sistema de Seguridad Social (como el complemento a mínimos) o ajenas a la Seguridad Social (por ejemplo, de la propia empresa), como ocurre habitualmente en la jubilación anticipada, pero que en el presente trabajo no hemos tenido en cuenta.
Sería conveniente comprobar, en trabajos futuros, los resultados que se obtendrán en años posteriores para verificar la validez de los coeficientes calculados, y más teniendo en cuenta que se ha utilizado una media ponderada por el número de afiliados de cada sexo. Otro de los objetivos futuros es extender el análisis al resto de regímenes de la Seguridad Social e incorporar períodos de cotización inferiores a los 35 años; todo ello para poder comprobar si existen diferencias significativas. Así mismo, sería interesante compararlo con la utilización de datos reales, como son los que ha puesto a disposición de los investigadores la Seguridad Social, mediante la Muestra Continua de Vidas Laborales.
Apéndice
A continuación presentamos, de forma muy resumida, algunos cuadros donde se recogen las principales características de los sistemas contributivos de pensiones de la Seguridad Social española. En el cuadro 1 aparecen los tipos de cotización para el conjunto de las contingencias comunes (jubilación, incapacidad permanente, viudedad y orfandad y favor familiar) para cada uno de los regímenes que forman la Seguridad Social española. En España, además del denominado Régimen General, existen unos regímenes especiales de autónomos, Agrario por cuenta ajena y Agrario por cuenta propia[22], Empleados de Hogar, Trabajadores del Mar, Minería del Carbón y Funcionarios del Estado. En el cuadro 2 se recogen los requisitos y condiciones para la pensión de jubilación en cada uno de estos regímenes aplicables al período objeto de estudio. En el cuadro 3 figuran las principales magnitudes relacionadas, en este caso, con el conjunto de contingencias de todo el sistema contributivo de pensiones de la Seguridad Social española para los años 2002, 2003 y 2004.
Pie de página
[1] Disponible en: http://www.tt.mtas.es/periodico/seguridadsocial/200511/SS20051127.htm.
[2] Entre otras, podrían citarse:
Los incentivos por parte de la empresa.
- El binomio ocio-trabajo.
- La adecuada planificación del ahorro-previsión.
- La utilización para abandonar la vida laboral de la jubilación en lugar de la incapacidad, en edades próximas a la jubilación ordinaria. Así, en las tablas de invalidez del Régimen General de la Seguridad Social española, se observa un descenso muy acusado de la tasa de incapacidad en los años cercanos a los 65, sobre todo cuando se presume que el grado de incapacidad que se va a otorgar es el de total para la profesión habitual y no el de incapacidad absoluta para todo trabajo. Véase a este respecto: Instituto de Actuarios Españoles (1991).
[3] Esta es la variable relevante, ya que la revalorización posterior de la pensión afecta a todas las pensiones de jubilación contributivas por igual.
[4] En la Ley 40/2007, del 4 de diciembre, sobre Medidas en Materia de Seguridad Social, que desarrolla el Acuerdo alcanzado por el Ejecutivo y los agentes sociales en julio de 2006, se han ampliado de forma sustancial los incentivos, ya que se establece que en todos los supuestos de prolongación voluntaria de la vida laboral (incluidos los que tengan menos de 35 años cotizados) más allá de la edad ordinaria de jubilación, se aplicará un incremento de 2% de la pensión por cada año cotizado después de los 65. Además, este incremento sube a 3% para los trabajadores con carreras de cotización de 40 años. Disponible en: http://www.boe.es/boe/dias/2007/12/05/pdfs/A50186-50200.pdf.
[5] Un análisis en profundidad de este aspecto, puede consultarse en Valdés (2002).
[6] Véase Ley 35/2002, del 12 de julio, sobre medidas para el establecimiento de un sistema de jubilación gradual y flexible.
[7] También están incluidos:
- Los trabajadores ingresados en RENFE, con anterioridad al 14 de julio de 1967.
- Los trabajadores pertenecientes a FEVE, a las Compañías Concesionarias de Ferrocarriles de uso público y a la empresa Ferrocarriles Vascos, S.A., ingresados en dichas empresas con anterioridad al 19 de diciembre de 1969.
- Quienes estuvieran comprendidos en el campo de aplicación del Régimen Especial de la Minería del Carbón el día 1° de abril de 1969 y fueran cotizantes de alguna de las mutualidades laborales del carbón el 31 de enero de 1969 o con anterioridad.
- Los trabajadores comprendidos en el campo de aplicación del Régimen Especial de los Trabajadores del Mar el día 1° de agosto de 1970.
[8] Entendiendo por libre voluntad del trabajador la inequívoca manifestación de voluntad de quien, pudiendo continuar con su relación laboral y no existiendo razón objetiva que la impida, decide poner fin a la misma.
[9] El Ministerio de Trabajo y Asuntos Sociales está presentando recursos para frenar el incremento en los ajustes de plantillas, por parte de las empresas, a través de este método. Por otro lado, en la Ley 40/2007 sobre Medidas en Materia de Seguridad Social, que desarrolla el Acuerdo alcanzado por el Ejecutivo y los agentes sociales en julio de 2006, se establece que la edad para tener derecho a este tipo de jubilación pasa a 61 años, para homogeneizarlo con los requisitos exigidos para acceder a la jubilación anticipada.
[10] Pueden verse las características particulares de cada grupo en: http://www.seg-social.es/inicio/?MIval=cw_usr_view_Folder&LANG=1&ID=28464.
[11] Desde el punto de vista financiero-actuarial el TIR es el tipo de interés de la Ley de Capitalización Compuesta que iguala el valor actual actuarial de los flujos de cotizaciones (en este caso se suponen ciertas) y el valor actual actuarial de los flujos de pensiones (en este caso hay que ajustarlas por la probabilidad de supervivencia, ya que este tipo de prestaciones se materializa en rentas vitalicias). El adjetivo "real" que acompaña al TIR hace referencia a que se va a trabajar en términos reales y no con valores nominales, tanto para cotizaciones como para pensiones.
[12] El hecho de utilizar diferentes series no es un problema importante en este caso, ya que nos interesa tener las variaciones salariales y no los valores absolutos.
[13] El procedimiento completo, aunque para períodos quinquenales y enfocado a la determinación de la deuda implícita, se puede ver en Devesa (2007) Devesa y Devesa (2005 y 2008).
[14] Dado que no hay asignación legalmente establecida para la contingencia de jubilación, se considera, de acuerdo con los datos del presupuesto de la Seguridad Social española, que del total de cotizaciones por contingencias comunes aplicables al Régimen General, 49,41% (la proporción que supone la cuantía de las pensiones de jubilación del Régimen General de la Seguridad Social sobre el total de cotizaciones del mismo régimen) se destinará a la contingencia de jubilación, lo que proporciona un valor del tipo de cotización de 13,98%, frente a un porcentaje total de cotización de 28,30%. Valores similares han sido utilizados, entre otros en: Jimeno y Licandro (1999), Devesa et al. (2002) y Devesa y Devesa (2008).
[15] Un buen resumen de los distintos tipos de cotización y de las diferentes bases que se aplicaron se puede ver en Monasterio (1992).
[16] Aunque esto pueda parecer una hipótesis fuerte, el hecho de que el objetivo del trabajo sea comparar los resultados en términos relativos (en función del TIR) para un individuo que se jubila a los 65 años con el resto de individuos que se jubilen a edades diferentes, implica que en todos los casos utilizaremos el mismo tipo de cotización. Podría plantear mayores problemas el hecho de que se quisiera obtener una comparación en términos absolutos.
[17] A pesar de que el segundo sumando es igual a cero, hemos preferido mantenerlo para luego poder aplicarlo directamente al cálculo de la base reguladora.
[18] En lugar de trabajar con datos mensuales, se va a hacer con datos anuales por comodidad operativa.
[19] Se ha partido de la base de cotización mínima de 2004 y se han calculado las de años anteriores aplicando la variación del IPC correspondiente.
[20] El coeficiente reductor promedio no coincide con la media ponderada de los coeficientes obtenidos para cada sexo, ya que la función TIR no es lineal.
[21] Estos valores son los que minimizan las desviaciones respecto a los obtenidos para cada edad.
[22] El Régimen Especial Agrario, en lo que respecta a los trabajadores por cuenta propia ha pasado a integrarse en el Régimen de Autónomos, con fecha de efecto de 1º de enero de 2008.
Referencias bibliográficas
En la elaboración de este artículo se utilizaron varios números del Boletín Estadístico del Banco de España.
Devesa, J. E. & Devesa. M. (2005). Una medida del desequilibrio financiero-actuarial del Sistema de Pensiones a partir de la deuda implícita de la Seguridad Social. Trabajo presentado en el VIII Encuentro de Economía Aplicada, Murcia, España. [ Links ]
Devesa, J. E. & Devesa. M. (2007). ¿Existe un verdadero desincentivo para la jubilación anticipada por parte de la Seguridad Social? Trabajo presentado en las VII Jornadas de Economía Laboral, Gran Canaria, España. [ Links ]
Devesa, J. E. & Devesa, M. (2008). Desequilibrio financiero-actuarial en el sistema de pensiones de jubilación del Régimen General. Revista de Economía Aplicada, XVI(46), 85-117. [ Links ]
Devesa, J. E., Lejárraga, A. & Vidal. C. (2002). El tanto de rendimiento de los sistemas de reparto. Revista de Economía Aplicada, 10(30), 109-132. [ Links ]
Devesa, M. (2007). El desequilibrio financieroactuarial del sistema contributivo de pensiones de la Seguridad Social española. Tesis doctoral, Universidad de Valencia. Extraído desde http://www.tesisenxarxa.net/TDX-1128108-090646/. [ Links ]
Feldstein, M. (1974). Social security, induced retirement and aggregate capital accumulation. Journal of Political Economy, 82(5), 905-926. [ Links ]
Franco, D. (1995). Pension liabilities: Their use and misuse in the assessment of fiscal policies. Economic Papers, 110, Bruselas, Luxemburgo, Comisión Europea. [ Links ]
Gokhale, J. & Smetters, K. (2005). Measuring social security's financial problems. NBER Working Paper Series, 11060. Extraído desde http://www.nber.org/papers/w11060. [ Links ]
Instituto de Actuarios Españoles. (1991). Análisis biométrico de la pensión de invalidez. Actuarios, 5, III trimestre. [ Links ]
Instituto Nacional de Estadística. (1999). Tablas de mortalidad 1998-99. Extraído desde http://www.ine.es/daco/daco42/mortalidad/metodologia.pdf. [ Links ]
Instituto Nacional de Estadística. (2004). Encuesta de Estructura Salarial 2002. Extraído desde http://www.ine.es/inebase/cgi/um?L=& N=&O=pcaxis&M=%2Ft22%2Fp133%2Fa2002. [ Links ]
Jimeno, J. F. & Licandro, O. (1999). La tasa interna de rentabilidad y el equilibrio financiero del sistema español de pensiones de jubilación. Investigaciones Económicas, 23(1), 129-143. [ Links ]
Ministerio de Trabajo y Asuntos Sociales. (2005). Informe Estadístico 2004. Extraído desde http://www.seg-social.es/inicio/?MIval=cw_usr_view_Folder&LANG=1&ID=46477#46478. [ Links ]
Ministerio de Trabajo y Asuntos Sociales. (2006). Anuario de Estadísticas Laborales 2004. Extraído desde http://www.mtas.es/estadisticas/ANUARIO2004/index.htm. [ Links ]
Monasterio, C. (1992). La financiación de las pensiones públicas en España. En Los sistemas de la Seguridad Social y las nuevas realidades sociales (pp. 207-233). Madrid: Ministerio de Trabajo y Seguridad Social. [ Links ]
Nieto, U. & Vegas, J. (1993). Matemática actuarial. Madrid: Mapfre. [ Links ]
Valdés, S. (2002). Políticas y mercados de pensiones. Santiago de Chile: Universidad Católica de Chile. [ Links ]
Van den Noord, P. & Herd, P. (1993). Pension liabilities in seven major economies. Working Paper, 142, París: OCDE. [ Links ]












