SciELO - Scientific Electronic Library Online

 
vol.23 issue1In vitro callogenesis of peach (Prunus persica L.) var. Huayco rojo from leaf explantsProduction and quality of sorghum seed in Central Mexico under controlled pollination author indexsubject indexarticles search
Home Pagealphabetic serial listing  

Services on Demand

Journal

Article

Indicators

Related links

  • On index processCited by Google
  • Have no similar articlesSimilars in SciELO
  • On index processSimilars in Google

Share


Ciencia y Tecnología Agropecuaria

Print version ISSN 0122-8706On-line version ISSN 2500-5308

Cienc. Tecnol. Agropecuaria vol.23 no.1 Mosquera Jan./Apr. 2022  Epub Dec 31, 2021

https://doi.org/10.21930/rcta.vol23_num1_art:2055 

Alimentación y nutrición animal

Residuos de la industria alimentaria (snacks) como alimento en una lechería en el trópico alto colombiano

Food industry waste (snacks) as feedstuff in a Highland Colombian dairy

Joaquín Angulo-Arizala*  1 
http://orcid.org/0000-0003-3352-8795

Ana Nemocón-Cobos2 
http://orcid.org/0000-0003-4300-6843

Wilson Andrés Barragán Hernández3 
http://orcid.org/0000-0003-3528-4296

Jorge Gallo-Marín4 
http://orcid.org/0000-0002-1891-9141

Liliana Mahecha-Ledesma5 
http://orcid.org/0000-0003-3377-8399

1Universidad de Antioquia, Medellín

2Universidad de Antioquia, Medellín

3Corporación Colombiana de Investigación Agropecuaria, [AGROSAVIA], C. I. El Nus. San Roque

4Universidad de Antioquia, Medellín

5Universidad de Antioquia, Medellín


Resumen

El objetivo de esta investigación fue evaluar la inclusión de subproductos de la industria de snacks en la alimentación de vacas lecheras. En el norte de Antioquia (Colombia) se seleccionaron 10 vacas holstein y se sometieron a dos tratamientos: balanceado formulado con subproductos de snacks (SN) y balanceado convencional con base en maíz (CO), con cinco animales en cada tratamiento. El experimento se llevó a cabo con base en un diseño de sobrecambio de secuencia AB/BA. Se registró información de producción y calidad de leche, consumo de forraje (CF), concentrado (CC) y materia seca total (CMT), así como también costos de producción. Los datos fueron analizados con base en modelos mixtos. El tratamiento no afectó (p > 0,05) el CF ni el CMT, pero influyó (p < 0,05) en el CC, a favor del tratamiento SN. La inclusión de subproductos de snacks produjo similar (p > 0,05) volumen y calidad de leche, comparado con el tratamiento CO, aunque a menor costo de producción para el tratamiento SN. El análisis económico mostró un margen de utilidad neta diferencial por vaca/día de $635,91 a favor del SN. Estos resultados sugieren que la inclusión de subproductos de snacks en la dieta de vacas lecheras no afectó la producción ni la calidad de la leche, pero permitió reducir el costo de producción, aspecto importante para la competitividad de los sistemas de lechería especializados.

Palabras clave aperitivos; calidad de la leche; consumo de pienso; beneficio bruto; rendimiento lechero; ganado de leche; costos de producción; piensos concentrados

Abstract

This research aimed to evaluate the inclusion of byproducts from snacks industry in dairy cows’ feed. In the north of Antioquia (Colombia), 10 Holstein cows were selected and subjected to two treatments: concentrate feed formulated with snacks by-products (SN) and conventional concentrate based on corn (CO), with five animals in each treatment. The research was subjected to crossover design in a sequence AB/BA. Data regarding quality milk, intake of forage (CF), concentrate (CC), total dry matter intake (CMT), and productions cost were collected. Data analyses were conducted using mixed models. Treatment did not affect (p > 0.05) the CF or CMT, but affect (p < 0.05) CC, with more concentrate intake in SN. The inclusion of snacks by-products resulted in the same milk production and quality (p > 0.05) compared to CO, but with less costs. The economic analysis showed a differential net margin per cow/day of USD 0.17 for SN. This research suggested that inclusion of snacks by-products in dairy cows feed do not affect milk production and quality but result in fewer production costs and better net margins. These outcomes could improve the competitiveness of dairy farms.

Keywords by-products; concentrate feed; dairy cattle; feed consumption; gross margins; milk quality; milk yield; production costs; snacks foods

Introducción

Los sistemas de producción bovina de leche en el trópico alto colombiano se consideran un renglón importante de la ganadería del país (Nivia et al., 2018). Su participación porcentual en el inventario nacional alcanza el 6 % del total de bovinos, con un impacto en la productividad de leche que representa el 45 % del volumen nacional (Federación Nacional de Ganaderos [Fedegán], 2018). La participación porcentual en el volumen de leche nacional se sustenta en la producción de su hato predominantemente de la raza holstein-friesian, con producción diaria que oscilan entre 12-14 L/vaca (máximos de 27 L/vaca) y hatos que pueden registrar 25.000 L/ha/año (Carulla & Ortega, 2016).

La lechería de trópico alto en Colombia se desarrolla en pastoreo (Nivia et al., 2018). Sin embargo, el grado de especialización de los sistemas de producción y el potencial genético de las vacas demandan insumos externos, como alimentos balanceados (Carulla & Ortega, 2016), que, aunado a otros componentes del sistema, estrechan su margen de rentabilidad y lo hacen vulnerable a variaciones de divisas extranjeras (Barrios & Olivera, 2013; Fedegán, 2018).

El costo de producción de un litro de leche en condiciones del norte de Antioquia depende en más del 50 % del costo de alimentación, y la mayor variación de este costo está influenciada por la participación de fuentes de carbohidratos no fibrosos (Gómez-Osorio et al., 2017). Para este caso, el maíz, como uno de los principales referentes energéticos de los alimentos balanceados, induce una dependencia del costo total de la alimentación y del precio del dólar, dado que dos tercios de la demanda nacional es importada (CONPES 3675 de 2010).

Los animales en sistemas de producción pecuarios pueden funcionar como bio-procesadores, convirtiendo fuentes alimenticias no comestibles/palatables o no requeridas por humanos, en alimentos de alto valor biológico como carne, huevos y leche (Dou et al., 2018). Esta condición permite utilizar fuentes energéticas alternativas en reemplazo del maíz para la formulación de raciones en ganado de leche y mejorar la rentabilidad del sistema. Al respecto, Čolović et al. (2019) señalaron que existe un amplio rango de subproductos de la industria de alimentos y desechos de frutas y vegetales con potencial para ser empleados en la formulación de raciones en sistemas ganaderos.

Para las condiciones de la cuenca lechera de Antioquia, Gómez-Osorio et al. (2017) evaluaron el uso de pulpas cítricas, yuca y sorgo como fuentes energéticas para formular raciones en vacas lecheras, sin reportar diferencias significativas en la producción y calidad de la leche, comparadas con el empleo de maíz. Por el contrario, Angulo et al. (2012) reportaron diferencias en la producción de leche por período de evaluación y en el perfil de ácidos grados cuando se incluyeron rangos entre el 6 % y 18 % de desechos de frutas y vegetales como reemplazo parcial de fuentes energéticas convencionales en el alimento balanceado de vacas lecheras.

Las evidencias anteriores ilustran el uso de subproductos agroindustriales y desechos de frutas y vegetales como sustitutos energéticos en raciones para animales. Sin embargo, no se registran investigaciones asociadas al uso de desechos de snacks como alternativa de reemplazo parcial de fuentes energéticas convencionales en la alimentación de vacas lecheras.

Los snacks se definen como alimentos de consumo humano que se ingieren fuera del horario de comidas, están asociados a estilos de vida en los que las personas tienen poco tiempo para preparar sus alimentos y pueden ser saludables o tener impactos negativos en la salud. Este último efecto se asocia con altos contenidos de grasa, carbohidratos y bajo contenido de macroy microminerales, fibra y vitaminas (Hess et al., 2016; Mielmann & Brunner, 2019). Estos alimentos pueden ser dulces o salados y se producen a partir de procesos industriales aplicados a vegetales, granos y cereales (Cardona-Cuervo, 2016).

El consumo de snacks está bastante difundido en la población, dada su facilidad de acceso, bajo costo y mecanismos de distribución (Mielmann & Brunner, 2019). Reportes para México, en los cuales se encuestó a 21.503 personas (Duffey et al., 2014), señalaron que el consumo de snacks se puede dar en promedio dos veces por día en el 70 % de los adultos (> 59 años) y en el 77 % de los niños (7-11 años). En Colombia, a juicio del conocimiento en la literatura de los autores, no se tienen registros científicos de hábitos de consumo de snacks. Sin embargo, el Ministerio de Comercio, Industria y Turismo (2019) señala que el consumo de snacks, galletas, aceites y mantequillas en Colombia es de 42 kg per cápita/año. De igual forma, el mismo reporte sostiene que el sector de snacks y galletas (en el que también están incluidos los aceites) representa el 0,8 % y 6,8 % de PIB país e industrial, respectivamente, con potencial de crecimiento a diez años para snacks del 11 % y para galletas del 7,8 % anual. Estas cifras revelan el volumen comercial que representan estos productos en el mercado.

La dinámica de mercado de los snacks también acarrea desperdicio, debido a la pérdida de atributos cualitativos o nutricionales. El desperdicio ocurre principalmente en la etapa de distribución y retail (Departamento Nacional de Planeación, 2016), lo cual hace necesario que las empresas realicen la disposición de estos residuos, dado que los snacks representan una amenaza ambiental debido a su origen orgánico.

Los snacks, por ser sometidos a procesos de extrusión, adquieren características asociadas a bajo contenido de humedad, gelatinización, solubilización y dextrinización o formación de complejos de almidones, polimerización y texturización, inactivación parcial o completa de enzimas, caramelizado e inhibición de compuestos antinutricionales (Offiah et al., 2018). Atributos que pueden ser de interés en la formulación de alimentos para rumiantes.

El objetivo del presente estudio fue evaluar la viabilidad técnica y económica de la inclusión parcial de desperdicios de snacks como alimento en una lechería en el trópico alto colombiano.

Materiales y métodos

Localización del experimento

El experimento se llevó a cabo en la hacienda La Montaña, propiedad de la Universidad de Antioquia, ubicada en el municipio de San Pedro de los Milagros (Antioquia, Colombia). El área se caracterizó por una temperatura promedio de 15 °C, 2.350 m. s. n. m. y precipitación anual de 1.575 mm. Según Holdridge (1971), la zona se clasifica ecológicamente como bosque húmedo montano bajo (bh-MB).

Tratamientos evaluados

Se evaluó la respuesta productiva de los animales suplementados con dos tipos de alimentos balanceados, uno formulado con maíz (CO) y otro con subproductos de la industria de alimentos snacks (ponqués, galletas y frituras) (SN). Las cantidades de cada suplemento fueron calculadas según el nivel energético y los requerimientos nutricionales de cada animal. La base forrajera para ambos tratamientos se basó en pasto Cenchrus clandestinus (Hochst. ex Chiov.) Morrone (kikuyo), de 35 días de rebrote, consumo a voluntad, y el alimento balanceado se estableció con base en el requerimiento nutricional de las vacas, estimado de acuerdo con el modelo del National Research Council (NRC, 2001) para ganado de leche.

Selección de animales, manejo zootécnico y diseño experimental

Se utilizaron animales de raza holstein-friesian disponibles en el hato. Se establecieron dos grupos de vacas, cada uno conformado por cinco animales (unidades experimentales), homogéneos en producción promedio de leche en los últimos siete días (PL) anteriores al inicio del experimento, porcentaje de proteína y grasa láctea, días en leche (DEL), número de partos y peso vivo (PV). Las vacas estuvieron sometidas al manejo convencional en un sistema de producción de lechería especializada, bajo la supervisión del equipo de trabajo en la finca y de un médico veterinario. Se manejaron con un pastoreo rotacional y tuvieron agua potable a voluntad en bebederos móviles. El consumo de sal mineralizada se incluyó en la formulación del alimento balanceado para cumplir con los requerimientos nutricionales.

Para el desarrollo del experimento se empleó un diseño experimental por sobrecambio (crossover) en secuencia AB/BA (Kung-Jong, 2016), que para efectos del presente experimento denominaremos secuencias CO-SN / SN-CO. La evaluación tuvo una duración total de 40 días, con dos períodos de 20 días cada uno. Cada período se dividió en 10 días de adaptación y 10 de evaluación. En la tabla 1 se ilustran las características productivas de cada grupo de animales y su asignación a las secuencias de evaluación. Para el segundo período, se retiraron dos animales como resultado de inspección veterinaria, uno de la secuencia CO-SN y otro de la secuencia SNCO por problemas de salud.

Tabla 1. Características de los animales y asignación de secuencias de evaluación 

*Mediana.

**Promedio de los últimos siete días antes de ingresar al experimento.

Descripción de las dietas

Posterior al establecimiento de los grupos experimentales, se determinaron los requerimientos de proteína cruda y energía neta de lactancia (ENL) según el modelo NRC (2001) para ganado de leche, con el cual se definió la ración diaria de alimento. En promedio, se ofertó por período/vaca/día 3,95 kg de proteína y 32,59 Mcal ENL.

La producción de balanceados CO y SN se realizó en el sitio experimental mediante mezcla de materias primas empleando un equipo Maquiavicola SAS, capacidad 1 t (Bogotá, D. C.). El alimento balanceado CO se hizo con las materias primas convencionales, utilizando como base energética el maíz; el alimento balanceado SN incluyó en su formulación 29,5 % de snacks como reemplazo parcial del maíz. La composición bromatológica de los alimentos balanceados y del pasto kikuyo se presentan en la tabla 2. En cada caso, las proporciones se desarrollaron para cumplir el requerimiento y aporte nutricional en los grupos de vacas asignados a cada secuencia. En el laboratorio Nutrición Animal de la Universidad de Antioquia se determinó el contenido de materia seca (MS), la concentración de proteína cruda (PC), el extracto etéreo (EE), la fibra cruda (FC) y las cenizas del alimento balanceado, y los contenidos de MS, PC, EE, FDN y FDA del forraje. Los análisis fueron realizados mediante espectroscopia por infrarrojo cercano en un equipo DS2500F, de acuerdo con lo descrito por Rivera-Rivera et al. (2018). Los contenidos de calcio se determinaron mediante complexometría con EDTA, y los de fósforo se cuantificaron con molibdovanadato de amonio espectrofotométricamente (tabla 2).

Tabla 2. Composición bromatológica de los componentes de la dieta 

Nota: Promedio de cuatro determinaciones bromatológicas en el período experimental.

*Única determinación.

Fuente: Elaboración propia

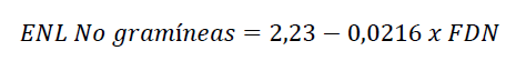
Con base en los contenidos nutricionales de cada balanceado y del forraje, se estimó el contenido de ENL a partir de las ecuaciones 1, 2 y 3 (Buxadé, 1995):

Ecuación 1

Donde,

ED = Energía digestible. Obtenida a partir de

la equivalencia 3,8 Mcal de EB = 3,22 Kcal de

ED.

Ecuación 2

Ecuación 3

El alimento balanceado se ofreció durante los ordeños a las 05 y 14 horas del día en el período experimental.

Variables evaluadas

Consumo de materia seca total

Se consideró como la sumatoria de la materia seca en el consumo de pasto y el alimento balanceado, ambos medidos de forma individual. El consumo de alimento balanceado se evaluó durante todo el periodo experimental como la diferencia entre el volumen ofertado y rechazado. Para el análisis de los datos solo se tomaron en cuenta los registros obtenidos en el período de evaluación.

El consumo de pasto se evaluó de forma individual mediante la cuantificación voluntaria de ingestión de forraje en pastoreo (Angulo et al., 2022). Esto se realizó a través de la adaptación de la metodología descrita por Haydock y Shaw (1975) para determinar la producción de materia seca en la pastura por rendimiento comparativo. Por consiguiente, a cada vaca se le asignó un área de pastoreo individual, obtenida a partir de un potrero de pastoreo común. En el potrero común, se realizó la cuantificación total de la materia seca de la pastura, siguiendo la metodología descrita anteriormente, sustentada con una ecuación de regresión que describió una pendiente significativa de 1,6 kg de forraje verde y un coeficiente de determinación (R2) de 0,976. Con esta información y considerando un consumo total proyectado de materia seca promedio de 22,5 kg/día, a cada animal experimental se le asignó un área de pastoreo individual de 65 m2 , para 24 horas. Esta área consideró un 40 % para suplir desperdicio. Cada área individual se separó con cinta eléctrica, con disponibilidad de agua potable a voluntad.

Culminadas las 24 horas de pastoreo, se realizó una cuantificación de materia seca total en un aforo de salida con pendiente significativa de 0,9 kg de forraje verde y un R2 de 0,964. El consumo total en pastoreo se obtuvo por diferencia en la cuantificación del aforo de entrada y salida.

La evaluación de consumo en pastoreo se realizó dos veces en cada periodo de evaluación, al primer y noveno día. En cada evaluación de consumo en pastoreo se obtuvieron muestras de forraje para cuantificar la materia seca del pasto y extrapolar el estimado de consumo de forraje verde a materia seca.

Producción y calidad de leche

En cada periodo experimental, la producción de leche se cuantificó diariamente (am-pm) de forma individual utilizando medidores True-test Durespo (Itagüí, Colombia). Al finalizar cada período experimental, se tomaron muestras de leche individual (am-pm), que posteriormente fueron homogeneizadas y enviadas al laboratorio de calidad de leche de la Universidad de Antioquia para determinar la calidad composicional en cuanto a proteína, grasa, lactosa, nitrógeno ureico en leche (NUL) y sólidos totales (valores expresados en %) mediante el empleo de MilkoScan FT+ (transformación de Fourier a partir de infrarrojo) (Foss, Hillerød, Dinamarca). La producción de grasa, proteína, lactosa y sólidos totales (kg) se obtuvo del producto entre la producción de leche (kg) y su composición analizada (%). La calidad sanitaria se evaluó a partir del recuento de células somáticas (RCS, valores expresados en miles de células por mililitro (ml) por citometría de flujo (Fossomatic™ FC, Foss Electric, Hillerød, Dinamarca).

Eficiencia alimenticia y eficiencia energética

Con base en la producción de leche y la ingesta de materia seca total, se determinó la eficiencia alimenticia (EA) expresada en producción de leche corregida por grasa al 4 %, por cada kilogramo de materia seca consumida. Igualmente, la eficiencia energética (EE) se valoró a partir de la relación consumo de Mcal de ENL/ producción de leche corregida al 4 % de grasa.

Análisis estadístico

Los datos se registraron con el diseño de sobrecambio y se almacenaron en una hoja de cálculo de Microsoft Excel® para su revisión y posterior análisis. El análisis se llevó a cabo empleando un modelo mixto que consideró el efecto fijo del tratamiento, y el efecto aleatorio del periodo y vaca asignada a cada secuencia. Para la variable producción de leche, el efecto aleatorio de la vaca consideró la medida repetida durante los diez días de evaluación.

A excepción de la variable RCS, el análisis se llevó a cabo empleando la función lmer, con verificación de los supuestos de normalidad (Shapiro-Wilks) y homocedasticidad (gráfico de residuales versus predichos) de los errores. El RCS se analizó en un modelo generalizado (glmer), considerando una distribución de errores Poisson con función de enlace Log. En todos los casos, el análisis de los datos se realizó mediante el paquete lme4 del software R-Project (Bates et al., 2015) y se empleó la prueba de Tukey cuando se rechazó la hipótesis de igualdad de tratamientos (p < 0,05).

Análisis económico

Para calcular el costo de cada kilogramo de alimento balanceado para ambos tratamientos, se utilizó el costo en el mercado de cada materia prima y las cantidades incluidas dentro de la formulación, además de cuantificar el gasto de energía de la maquinaria y la mano de obra requerida.

El costo de litro de leche para cada tratamiento se calculó teniendo en cuenta la depreciación de la infraestructura y equipos (máquina de ordeño y tanque de enfriamiento), la mano de obra de los operarios y los costos de materiales y servicios a terceros requeridos para el ordeño. Además, se tuvo en cuenta la ración diaria de alimento compuesta por el alimento balanceado y pasto kikuyo; la sumatoria de estos valores se dividió entre la producción diaria de cada animal para obtener el costo de litro de leche.

El cálculo para el pago del litro de leche se realizó con base en la composición de la leche y lo establecido en la Resolución 00017 del 2012 del Ministerio de Agricultura y Desarrollo Rural, la cual establece el sistema de pago de leche cruda al proveedor; este cálculo se realizó para cada vaca. Este valor se multiplicó por los litros de leche producidos por vaca al día, con lo cual se obtuvo el ingreso total por vaca. Finalmente, se restó el precio de venta de leche por vaca/día y el costo de producción de leche por vaca por día.

Resultados y discusión

El reemplazo parcial de desperdicios de snacks en el alimento balanceado de sistemas de lechería especializada no afectó (p > 0,05) el consumo de forraje ni de materia seca total, pero influyó (p < 0,05) en la cantidad de alimento balanceado consumido por vaca, con un promedio de 170 g a favor del tratamiento con la inclusión de snacks. Así mismo, el tratamiento afectó (p < 0,05) la ingestión de nutrientes con mayor consumo de proteína bruta y ENL en el tratamiento SN (tabla 3).

Tabla 3. Consumo de materia seca y nutrientes en cada tratamiento 

SN: snacks; CO: control; PB: proteína bruta; ENL: energía neta de lactancia; p-valor ≤ 0,05 indica diferencia estadística significativa entre tratamientos para la variable especificada en cada columna.

Fuente: Elaboración propia

El consumo de forraje estimado en el presente estudio estuvo por encima de los reportes de consumo empleando el método agronómico (10,1-13,3 kg/d) descritos por Mejía-Díaz et al. (2017) para vacas holstein (518-548 kg de PV) pastoreando kikuyo. Estos valores fueron cercanos al límite superior del rango de consumo de kikuyo determinados por el método de indicadores (Cromo) para condiciones del norte de Antioquia, que oscilaron entre 11 y 14 kg/d de MS (Correa et al., 2009; Flórez-Gómez & Correa, 2017; Jaimes et al., 2015; Mejía-Díaz et al., 2017) y por encima del consumo de kikuyo (11,8 kg/d) reportado para vacas holstein (575 kg de PV) en Australia empleando el método de Alkanos (Clark et al., 2018).

La magnitud de la diferencia en el consumo de alimento balanceado no fue suficiente para influir en el consumo total de materia seca. Clark et al. (2018) no reportaron cambios en el consumo de pasto kikuyo en vacas holstein por la inclusión de alimento balanceado entre 2,7 a 5,4 kg/vaca/d, siendo más evidente el efecto de sustitución con > 5,4 kg/d. Gómez-Osorio et al. (2017) tampoco registraron diferencias en el consumo total de materia seca por la inclusión de concentrados proveniente de diferentes fuentes energéticas, con rangos de consumo total entre 19,4 kg y 20,8 kg de MS/d. Valores de consumo total similares a los registrados en el presente estudio.

La inclusión de snacks en el alimento balanceado influyó en el consumo total de proteína bruta y ENL. Estos resultados se derivan del mayor consumo de balanceado con snacks (6,93 kg y 7,10 kg/animal/d, CO y SN, respectivamente) y de las diferencias en los aportes de PB y ENL de los alimentos (13,21 % y 13,84 % PB; 1,81 Mcal y 1,88 Mcal por kg ENL, para CO y SN, respectivamente). Sin embargo, los excedentes de consumo de proteína derivados de la estimación de consumo no generaron afectaciones metabólicas adversas en la eficiencia de uso del nitrógeno como se observó en el NUL (p > 0,05; tabla 5) con un valor considerado dentro del rango óptimo.

Los excedentes nutricionales registrados en el tratamiento SN no influyeron (p > 0,05) en la producción (tabla 4) y calidad de la leche (tabla 5), con eficiencias alimenticias y energéticas similares entre los tratamientos. Estos resultados no pueden ser contrastados con la literatura por la ausencia de investigaciones que empleen subproductos de la industria de snacks en la alimentación animal. Sin embargo, se puede afirmar que la leche producida con base en estos subproductos cumple con la normativa vigente en Colombia para establecer la calidad de la leche (Decreto 616 de 2006).

Tabla 4. Variables productivas obtenidas en cada tratamiento durante el experimento 

EA: eficiencia alimenticia (kg de leche producida, corregida al 4 % de grasa/ kg de materia seca consumida); EE: eficiencia energética: consumo de ENL/ producción de leche corregida al 4 % de grasa; DEL: días en leche; NP: número de partos; p-valor ≤ 0,05 indica diferencia estadística significativa entre tratamientos para la variable especificada en cada columna.

*Covariables.

Fuente: Elaboración propia

Gómez-Osorio et al. (2017) no registraron diferencias en la producción ni calidad de la leche al comparar alimentos balanceados con base en maíz, yuca, sorgo y pulpa cítrica, con eficiencias alimenticias superiores (1,5-1,6 L/kg MS) a las reportadas en el presente estudio. Contrario a esto, Steyn et al. (2018), reportaron diferencias en la eficiencia alimenticia de vacas jersey en pastoreo de kikuyo, alimentadas con niveles crecientes subproductos de manzana (pulpa deshidratada) en el concentrado. Los autores argumentaron que la inclusión del 75 % (EA 0,96 L/kg de MS) afectó la dinámica ruminal con caída del pH, probablemente influenciado por la poca fibra físicamente efectiva en este material.

En el presente trabajo no se realizaron análisis para evaluar el desempeño ruminal del concentrado con base en desechos de snacks. Sin embargo, se puede inferir que el consumo de este subproducto no afectó la dinámica del rumen porque no se observó una reducción de la grasa láctea ni de la producción de leche corregida al 4 % de grasa. No obstante, es importante hacer estudios de desempeño ruminal de estos desechos de snacks, puesto que se han registrado diferencias en la degradabilidad ruminal en este tipo de subproductos, como lo informaron Bielamowicz et al. (2019), quienes reportaron degradabilidad ruminal del 77 % para desperdicios de crispetas (maíz de cine), comparados con un rango de entre 90,3 % y 94,8 % de degradabilidad obtenido para cereales convencionales (maíz, cebada y sorgo).

Tabla 5. Variables de calidad de leche obtenidas en cada tratamiento durante el experimento 

T: tratamiento; Del: días en leche; NP: número de partos; NUL: nitrógeno ureico en leche; RCS: recuento de células somáticas; p-valor ≤ 0,05 indica diferencia estadística significativa entre tratamientos para la variable especificada en cada columna.

*Covariables

**Modelo generalizado Chi2 > P

Fuente: Elaboración propia

El costo de producción de un litro de leche en el tratamiento SN representó una reducción del 2,1 % comparado con el valor alcanzado en el tratamiento CO. Así mismo, se observó un margen diferencial de utilidad neta por vaca/día de $ 635,91 entre los tratamientos evaluados. Este valor, en un hato promedio de 50 vacas, puede significar un ahorro de $953.865 al mes, lo que representaría un porcentaje importante del pago mensual de un salario mínimo legal vigente a un trabajador (tabla 6).

Tabla 6. Análisis económico de los tratamientos 

*Valores en dólares a TMR de 20 de mayo de 2020, equivalente a $3824,30.

Fuente: Elaboración propia

La diferencia entre en el margen de utilidad neta obtenido en la presente investigación se puede atribuir al menor costo alimenticio de la vaca en el tratamiento SN y a la ausencia de diferencias en la producción y calidad de la leche que pudieran compensar el mayor costo alimenticio en el tratamiento CO. Estos resultados evidencian que con la aplicación de subproductos de la industria de snacks se puede apuntar a mantener la misma productividad en los sistemas de lechería especializada, con menores costos de producción; reto que ha sido planteado por Carulla y Ortega (2016) para incrementar la competitividad de la producción de leche especializada.

Conclusiones

La inclusión de subproductos de la industria de snacks en la alimentación de vacas con un sistema de lechería especializada generó una producción de leche similar en cantidad y calidad a la registrada con el sistema convencional de alimentación con balanceados dependientes de maíz.

La ausencia de diferencias en la producción y calidad de la leche y el menor costo de producción en el tratamiento que empleó subproductos de la industria de snacks influyó en un mayor margen de utilidad neta, toda vez que los tratamientos alimenticios estuvieron en iguales condiciones de manejo.

Nuestros resultados presentan una opción alimenticia para intensificar la producción en sistemas de lechería especializada, con un menor costo de producción, lo cual nos permitiría considerar los snacks como una herramienta para tener mayor eficiencia técnica y económica en los sistemas de producción de leche. Sin embargo, consideramos que la inclusión de snacks en la dieta de vacas lecheras necesita una mayor validación tanto en el contexto del sistema productivo (diferentes tasas de reemplazo, tamaño de productor, razas, estandarización de dietas, y otros), como en el entorno ruminal.

Agradecimientos

Los autores agradecen al Departamento de Formación Académica de Haciendas y a la estrategia Sostenibilidad del Grupo de Investigación en Ciencias Agrarias (GRICA) de la Universidad de Antioquia en la convocatoria ES84180130 para 2018-2019, por el apoyo logístico y financiero. A la empresa Suplementos Alternativos S.A.S. por el aporte de los snacks y a los trabajadores de la Hacienda La Montaña, por su trabajo incondicional para el desarrollo de esta investigación.

Referencias

Angulo, J., Mahecha, L., Yepes, S. A., Yepes, A. M., Bustamante, G., Jaramillo, H., Valencia, E., Villamil, T., & Gallo, J. (2012). Nutritional evaluation of fruit and vegetable waste as feedstuff for diets of lactating Holstein cows. Journal of Environmental Management, 95(Suppl.), S210-S214. https://doi.org/10.1016/j.jenvman.2011.06.050Links ]

Angulo, J., Nemocón-Cobos, A. M., Posada-Ochoa, S. L., & Mahecha-Ledesma, L. (2021). Producción, calidad de leche y análisis económico en vacas holstein suplementadas con ensilaje de botón de oro (Tithonia diversifolia) o ensilaje de maíz. Biotecnología en el Sector Agropecuario y Agroindustrial. Publicación anticipada, 1-13. https://revistas.unicauca.edu.co/index.php/biotecnologia/article/view/1535/1478Links ]

Barrios, D., & Olivera, M. (2013). Análisis de la competitividad del sector lechero: Caso aplicado al norte de Antioquia, Colombia. Innovar, 23(48), 33-41. https://www.redalyc.org/pdf/818/81828690004.pdfLinks ]

Bates, D., Mächler, M., Bolker, B., & Walker, S. (2015). Fitting linear mixed-effects models using lme4. Journal of Statistical Software, 67(1), 1-48. https://doi.org/10.18637/jss.v067.i01Links ]

Bielamowicz, L. P., Garcia, T. J., Cherry, N. M., Muir, J. P., & Smith, W. B. (2019). 166 Moo-vie Snacks: Evaluation of waste popcorn as a feedstuff in comparison with known livestock feeds. Journal of Animal Science, 97(Supplement_1), 55-55. https://doi.org/10.1093/jas/skz053.124Links ]

Buxadé, C. (1995). Zootecnia: Bases de producción anima: t. 2: Reproducción y alimentación. Ediciones Mundi-prensa. [ Links ]

Cardona-Cuervo, G. P. (2016). Evaluación del impacto ambiental generado en la producción de snacks en una microempresa del municipio de Manizales [Tesis de maestría, Universidad Nacional de Colombia, Manizales, Colombia]. Repositorio UN. https://repositorio.unal.edu.co/bitstream/handle/unal/58641/24347093.2016.pdf?sequence=1&isAllowed=yLinks ]

Carulla, J., & Ortega, E. (2016). Sistemas de producción lechera en Colombia: Retos y oportunidades. Archivos Latinoamericanos de Producción Animal, 24(2), 83-87. https://ojs.alpa.uy/index.php/ojs_files/article/view/2526Links ]

Clark, C. E. F., Kaur, R., Millapan, L. O., Golder, H. M., Thomson, P. C., Horadagoda, A., Islam, M. R., Kerrisk, K. L., & Garcia, S. C. (2018). The effect of temperate or tropical pasture grazing state and grain-based concentrate allocation on dairy cattle production and behavior. Journal of Dairy Science, 101(6), 5454-5465. https://doi.org/10.3168/jds.2017-13388Links ]

Čolović, D., Rakita, S., Banjac, V., Đuragić, O., & Čabarkapa, I. (2019). Plant food by-products as feed: Characteristics, possibilities, environmental benefits, and negative sides. Food Reviews International, 35(4), 363-389. https://doi.org/10.1080/87559129.2019.1573431Links ]

CONPES 3675 de 2010. Política nacional para mejorar la competitividad del sector lácteo colombiano. Departamento Nacional de Planeación. https://www.minagricultura.gov.co/ministerio/direcciones/Documents/d.angie/conpes%203675.pdfLinks ]

Correa C., H. J., Pabón R., M. L., & Carulla F., J. E. (2009). Estimación del consumo de materia seca en vacas Holstein bajo pastoreo en el trópico alto de Antioquia. Livestock Research for Rural Development, 21(4). http://www.lrrd.org/lrrd21/4/corr21059.htmLinks ]

Decreto 616 de 2006. "Por el cual se expide el Reglamento Técnico sobre los requisitos que debe cumplir la leche para el consumo humano que se obtenga, procese, envase, transporte, comercializa, expenda, importe o exporte en el país". Ministerio de la Protección Social. https://www.ica.gov.co/getattachment/15425e0f-81fb-4111-b215-63e61e9e9130/2006D616.aspxLinks ]

Departamento Nacional de Planeación. (2016). Pérdida y desperdicio de alimentos en Colombia. https://mrv.dnp.gov.co/Documentos%20de%20Interes/Perdida_y_Desperdicio_de_Alimentos_en_colombia.pdfLinks ]

Dou, Z., Toth, J. D., & Westendorf, M. L. (2018). Food waste for livestock feeding: Feasibility, safety, and sustainability implications. Global Food Security, 17, 154-161. https://doi.org/10.1016/j.gfs.2017.12.003Links ]

Duffey, K. J., Rivera, J. A., & Popkin, B. M. (2014). Snacking is prevalent in Mexico. The Journal of Nutrition 144(11), 1843-1849. https://doi.org/10.3945/jn.114.198192Links ]

Federación Nacional de Ganaderos [Fedegán]. (2018). Ganadería colombiana: Hoja de ruta 2018-2022. Federación Colombiana de Ganaderos. https://www.fedegan.org.co/noticias/ganaderia-colombiana-hoja-de-ruta-2018-2022Links ]

Flórez-Gómez, L. A., & Correa, C. H. J. (2017). Efecto del tercio de lactancia y la época del año sobre el consumo de materia seca en vacas Holstein pastoreando kikuyo. CES Medicina Veterinaria y Zootecnia, 12(3), 181-194. https://doi.org/10.21615/cesmvz.12.3.2Links ]

Gómez-Osorio, L., Posada-Ochoa, S., Olivera-Angel, M., Rosero-Noguera, R., & AguirreMartínez, P. (2017). Análisis de rentabilidad de la producción de leche de acuerdo con la variación de la fuente de carbohidrato utilizada en el suplemento de vacas holstein. Revista Medicina Veterinaria, 34(Supl), 9-21. https://dialnet.unirioja.es/servlet/articulo?codigo=6065961Links ]

Haydock, K., & Shaw, N. (1975). The comparative yield method for estimating dry matter yield of pasture. Australian Journal of Experimental Agriculture and Animal Husbandry, 15(76), 663-670. https://doi.org/10.1071/EA9750663Links ]

Hess, J. M., Jonnalagadda, S. S., & Slavin, J. L. (2016). What is a snack, why do we snack, and how can we choose better snacks? A review of the definitions of snacking, motivations to snack, contributions to dietary intake, and recommendations for improvement. Advances in Nutrition, 7(3), 466-475. https://doi.org/10.3945/an.115.009571Links ]

Holdridge, L. R. (1971). Forest environments in tropical life zones: A pilot study (1.a ed.). Pergamon Press. https://www.cabdirect.org/cabdirect/welcome/?target=%2fcabdirect%2fabstract%2f19716605728Links ]

Jaimes, L. J., Cerón, J. M., & Correa, H. J. (2015). Efecto de la época del año y la etapa de lactancia sobre el consumo alimenticio de vacas Holstein pastoreando Kikuyo (Cenchrus clandestinus) en Colombia. Livestock Research for Rural Development, 27(12), 1-8. http://www.lrrd.org/lrrd27/12/jaim27244.htmlLinks ]

Kung-Jong, L. (2016). AB/BA design in continuous data. En L. Kung-Jong (Ed.), Crossover designs: Testing, estimation, and sample size (pp. 7-29). John Wiley & Sons. https://doi.org/10.1002/9781119114710.ch2Links ]

Mejía-Díaz, E., Mahecha-Ledesma, L., & Angulo-Arizala, J. (2017). Consumo de materia seca en un sistema silvopastoril de Tithonia diversifolia en trópico alto. Agronomía Mesoamericana, 28(2), 389-403. https://doi.org/10.15517/ma.v28i2.23561Links ]

Mielmann, A., & Brunner, T. A. (2019). Consumers’ snack choices: Current factors contributing to obesity. British Food Journal, 121(2), 347-358. https://doi.org/10.1108/BFJ-05-2018-0309Links ]

Ministerio de Comercio, Industria y Turismo. (2019, septiembre 6). Snacks, galletas y aceites, las apuestas para aumentar producción, ventas y exportaciones de alimentos procesados. https://www.mincit.gov.co/prensa/noticias/comercio/snacks-y-aceites-apuestas-para-subir-exportacionesLinks ]

National Research Council [NRC]. (2001). Nutrient requirements of dairy cattle (7.ª ed.). National Academy Press. http://profsite.um.ac.ir/~kalidari/software/NRC/HELP/NRC%202001.pdfLinks ]

Nivia, A., Beltrán, E., Marentes, D., & Pineda, A. (2018). Caracterización técnico-administrativa de los sistemas de producción bovino de leche de pequeña escala en una región central de Colombia. Idesia (Arica), 36(2), 259-268. http://dx.doi.org/10.4067/S0718-34292018005000601Links ]

Offiah, V., Kontogiorgos, V., & Falade, K. O. (2018). Extrusion processing of raw food materials and by-products: A review. Critical Reviews in Food Science and Nutrition, 59(18), 2979-2998. https://doi.org/10.1080/10408398.2018.1480007Links ]

Rivera-Rivera, A., Medina-Sierra, M., Cerón-Muñoz, M. F. (2018). Predicción de la composición química de alimentos de uso animal mediante NIRS: Aplicaciones e interpretación práctica. Editorial CIPAV. http://cipav.org.co/sdm_downloads/prediccion-composicionquimica-alimentos-uso-animal-mediante-nirs/ [ Links ]

Steyn, L., Meeske, R., & Cruywagen, C. W. (2018). The effect of replacing maize with dried apple pomace in the concentrate on performance of Jersey cows grazing kikuyu pasture. Animal Feed Science and Technology, 239, 85-93. https://doi.org/10.1016/j.anifeedsci.2018.02.012Links ]

Descargo de responsabilidadTodos los autores realizaron aportes significativos al documento, están de acuerdo con su publicación y manifiestan que no existen conflictos de interés en este estudio.

FinanciaciónLos autores agradecen al Departamento de Formación Académica de Haciendas y a la estrategia Sostenibilidad del Grupo de Investigación en Ciencias Agrarias (GRICA) de la Universidad de Antioquia en la convocatoria ES84180130 para 2018-2019, por el apoyo logístico y financiero.

Recibido: 15 de Junio de 2020; Aprobado: 26 de Agosto de 2021

* Autor de correspondencia: Universidad de Antioquia. Grupo GRICA. Calle 67 No. 53 – 108. Medellín, Colombia. joaquin.angulo@udea.edu.co

Creative Commons License Esta obra está bajo una Licencia Creative Commons Atribución-NoComercial-CompartirIgual 4.0 Internacional.