SciELO - Scientific Electronic Library Online

 
vol.5 issue9Deficiencias, limitaciones, ventajas y desventajas de las metodologías de análisis sísmico no linealEstimación de la emisión de gases de efecto invernadero en el municipio de Montería (Córdoba, Colombia) author indexsubject indexarticles search
Home Pagealphabetic serial listing  

Services on Demand

Journal

Article

Indicators

Related links

  • On index processCited by Google
  • Have no similar articlesSimilars in SciELO
  • On index processSimilars in Google

Share


Revista Ingenierías Universidad de Medellín

Print version ISSN 1692-3324On-line version ISSN 2248-4094

Rev. ing. univ. Medellin vol.5 no.9 Medellín July/Dec. 2006

 

Modulación por multiportadoras tipo OFDM, las bases de la nueva generación de transmisión de información

 

 

Carlos Alberto Ramírez Behaine*

* MSc. E.E. Universidade de São Paulo. LCS- Laboratorio de Comunicaciones y Señales, Brasil. Profesor del programa de Ingeniería de Telecomunicaciones de la Universidad de Medellín. E-mail: caramirez@udem.edu.co

 


RESUMEN

Las proyecciones de demanda del servicio de banda ancha muestran un crecimiento vertiginoso en las próximas décadas. El esquema de modulación que soporta el nivel físico de tales servicios es el de multiplexión por división de frecuencias ortogonales (OFDM) que, gracias a sus características ortogonales, logran sobrepasar las barreras de transmisión impuestas por los canales de comunicaciones. Después de ilustrar los fundamentos del porqué OFDM logra su cometido, detallando el mapeamiento y modelo de comunicaciones en banda base, las aplicaciones potenciales actuales y futuras de OFDM son indicadas. Se prevé que surja un modelo para las nuevas generaciones, propuestas en espacios concurrentes en tiempo, frecuencia y código.

Palabras clave: OFDM, sistemas de comunicaciones multiportadoras, modelaje de sistemas ortogonales, banda ancha, WiFi, WiMax.


ABSTRACT

The projections of the demand of broadband services show a vertiginous growth in the next decades. The modulation scheme that supports the physical level of such services is the Orthogonal Frequency-Division Multiplexing (OFDM) that thanks to their orthogonal characteristics, overcome the transmission barriers imposed by the communication channels. After illustrating the fundamentals of why OFDM achieves its objective and detailing the mapping and model of communications in base band, the present and future of potential applications of OFDM are indicated. It is likely that a model for the new generations, in which time, frequency and code concur in space, will arise.


 

INTRODUCCIÓN

A lo largo de la última década, Colombia ha experimentado una serie de transformaciones en el acceso a la información, fruto, en gran parte, del inevitable crecimiento del proceso de globalización. Tal transformación se vio orientada en satisfacer y resolver, de la mejor forma posible, las necesidades de movilidad y de transmisión a altas tasas, para ampliar los servicios de telecomunicaciones en demanda. En el año 2004, el país tenía aproximadamente una penetración del servicio de banda ancha equivalente al 1.2%, cifra alejada del promedio mundial, incluso del de países con condiciones similares a Colombia tales como Chile, Brasil y Argentina. Para el año 2005, el país registró un incremento del 151% en el número de suscriptores, esto es, pasó de 127.113 suscriptores con acceso dedicado en diciembre de 2004, a 318.863 en diciembre de 2005, que es el aumento más significativo de los últimos tres años, según informe de la CRT (Comisión de Regulación de Telecomunicaciones). Las proyecciones de suscriptores para los próximos años (hasta el 2008) del servicio de banda ancha está ilustrada en la figura 1, en donde se observa el crecimiento relativo de las diferentes tecnologías de acceso de banda ancha xDSL (par de cobre), cable (fibra óptica y coaxial) e inalámbrica (WiFi, WiMax).

Dentro de la capa física de niveles OSI de las anteriores tecnologías de acceso de banda ancha, existe una tecnología llamada OFDM (Orthogonal Frequency-Division Multiplexing), que resolvió en parte el problema de 'cuello de botella de última milla', el cual limitaba la velocidad de transmisión hacia el usuario final y, por lo tanto, limitaba los servicios ofrecidos por las empresas de telecomunicaciones.

La modulación tipo OFDM fue patentada (pero no implementada) por la AT&T Bell Labs hace más de 20 años (Chang R.,1966), y desde esa fecha se tornó viable el ofrecimiento de mayor cantidad de ancho de banda para cada usuario.

¿ En qué consiste OFDM?

OFDM es una forma especial de modulación donde subportadoras llevan información en determinadas sub-bandas, compartiendo parte de su espectro, pero siendo diferenciables por propiedades de ortogonalidad. En este artículo se esbozará, primero, el problema de transmisión de datos a través de canales; segundo, se dará una fundamentación resumida de lo que es OFDM; tercero se ilustrará una perspectiva futurista en lo que tiene que ver con el soporte físico de la 4 generación de comunicaciones celulares; y cuarto, se escribirán las conclusiones.

Figura 1. Proyección de suscriptores de las diferentes tecnologías de acceso de banda ancha: xDSL, cable e inalámbrica. Fuente Mincom-CRT

Planteamiento del problema

En un sistema de comunicaciones digital compacto como el que se ilustra en la figura 2, se busca un punto óptimo de operación. Este consiste en transmitir y recibir datos a la mayor velocidad admisible con la mínima tasa de error de bit (BER) posible. La limitante principal para alcanzar este punto de operación está dada por el canal de comunicaciones, el cual tiene una respuesta física finita, a unas señales de pruebas impulsivas (CIR), como se ilustra en la figura 3, en que el tiempo máximo determina la transmisión tradicional a una tasa máxima de , para evitar la interferencia entre símbolos (ISI).

En un sistema de comunicaciones modulado tradicionalmente, a medida que aumenta la tasa de transmisión mayor que , los datos se sobreponen unos con otros, de manera que el receptor no logra diferenciar bien los datos y comienza a caer en errores en la estimativa de la información.

Figura 2. Diagrama de bloques de un sistema de comunicaciones digital

Figura 3. Respuesta del canal al impulso (CIR)

 

FUNDAMENTACIÓN OFDM

Con la modulación OFDM es posible transmitir y recibir datos satisfactoriamente a una tasa superior de ; esto sería, por ejemplo, según figura 3, transmitir a una tasa de . Entonces, ¿Cómo sería posible reconocer las señales en el receptor si a esta tasa de transmisión los datos llegarían sobrepuestos? La respuesta reside en que algunos tipos de señales tendrían propiedades ortogonales. A manera ilustrativa simple, dos vectores , son ortogonales, si el producto punto entre ellos es igual a cero. Este resultado tiene una interpretación geométrica, ilustrada en la figura 4. Este simple resultado, significa que, no están correlacionados y, por tanto, podrían coexistir en , aunque estén tomados en el mismo tiempo. Nótese en la figura 4, que es posible llegar al punto , a partir de un conjunto de vectores diferentes, pero ellos no podrían coexistir en el mismo tiempo, pues están correlacionados en medida unos con otros (ver líneas punteadas).

Figura 4. Vectores ortogonales.

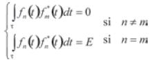
En teoría de señales, es conocido el hecho de que las proyecciones de vectores ortogonales pueden ser también señales ortogonales que cumplen la condición:

(1)

en donde:

es el conjunto de funciones ortogonales indexadas con índices

es una constante que representa la energía

expresa la función compleja conjugada respectiva.

Existen funciones que cumplen la condición (1) en un determinado lapso de tiempo ; ellas son llamadas funciones ortogonales y, en el contexto matemático y de ingeniería, se pueden mencionar las siguientes: las funciones exponenciales (a veces llamadas de Fourier), funciones de Bessel, Legendre, Chevichev, Hermite, entre otras. En la modulación OFDM, las funciones que cumplen la ortogonalidad son exponenciales tipo , las cuales corresponden a las bases generadoras de las conocidas series de Fourier.

¿Qué pasa en el espectro de frecuencias?

Las modulaciones tradicionales basadas en la multiplexión en el tiempo (TDM) y las basadas en la multiplexión en la frecuencia (FDM) respetan la condición de síntesis clásica, esto es, que para que dos señales sean diferenciables, entonces ellas no podrían coexistir en el mismo tiempo y frecuencia, conforme se ilustra en la figura 5, donde se aprecian en el espectro las separaciones correspondientes al tiempo y a la frecuencia, respectivamente.

Figura 5. Formas espectrales de las diferentes modulaciones basadas en TDM, FDM y OFDM

OFDM viola esta condición, asignando unas sub-bandas compartidas en el espectro, conforme se ilustra en figura 5, donde cada sub-banda es ocupada por una subportadora. Entonces surge la pregunta: ¿Cómo se logra la síntesis (reconstrucción de la señal) si es violada la condición anterior? La respuesta está en la forma ortogonal que presentan las sub-bandas en el dominio de la frecuencia; según se ilustra en las figura 6(a), los datos que están colocados en los puntos en cada una de las 5 subportadoras están coexistiendo con las demás señales, y son completamente diferenciables si son muestreadas en el instante de tiempo donde pasa cada punto , como se ilustra en el plano tiempo-frecuencia de la figura 6(b). En el caso de no existir un sincronismo perfecto (muestreo en el tiempo correcto de los datos en los puntos ), la información no sería reconocida en el receptor, porque llegarían todos las datos mezclados conforme se hace más evidente en la figura 6(c).

Figura 6. Ilustración de la ortogonalidad de las señales subportadoras OFDM en la frecuencia

Modelo

El modelo de análisis es realizado en banda base, donde los datos son modulados en el mismo espacio por subportadoras tipo exponenciales (las de Fourier), y previamente adecuados por una ventana de respuesta impulsiva normalmente transparente (unitaria), compactado en una topología en canal ideal como se ilustra en la figura 7.

Figura 7. Diagrama de un sistema de comunicaciones en canal ideal

En el transmisor, los datos almacenados en son modulados en forma paralela, a través de la transformada inversa de Fourier de tiempo discreto (IDFT) y enviados en serie hacia el canal (Weinstein et al., 1971), de la forma:

(2)

Donde:

son los datos no modulados en banda base

son los datos modulados en banda base por las bases de Fourier en un bloque de N datos.

En el receptor, los datos son recibidos en serie y son demodulados en paralelo, por las respectivas bases conjugadas ortogonales, en este caso, por medio de la transformada de Fourier de tiempo discreto (DFT), de manera que como resultado se obtenga un estimativo de en el canal ideal igual a

(3)

En la práctica los canales no son ideales, ellos adicionan Ruido Gaussiano Blanco Aditivo (AWGN) (V) y distorsión en tiempo y frecuencia (H) a los datos transmitidos. Para mitigar el efecto no ideal del canal, canal, se adiciona un prefijo cíclico (CP) entre bloques consecutivos de datos, de tal forma que el tiempo máximo de respuesta del canal al impulso (CIR) no afecte el siguiente bloque de N datos. Dentro de cada bloque de datos, la interferencia entre símbolos es mitigada a través de un ecualizador colocado en disposición como se ilustra en la figura 8.

Figura 8. Diagrama de bloques del modelo en banda base de un sistema de comunicaciones con multiportadoras

El ecualizador tiene la tarea de compensar la amplitud y fase en cada subportadora y se diseña, en la mayoría de los casos, para que minimice el error cuadrático medio (MSE), por medio de algoritmos adaptativos simples como el tipo 1-tap LMS.

Algunas aplicaciones

Durante el desarrollo de la tecnología OFDM han existido aportes significativos que lograron establecer un relevo generacional en la mayoría de las tecnologías de banda ancha, debido, en gran parte, a las ventajas de OFDM en el uso eficiente del espectro, la resiliencia a la interferencia de RF, la baja distorsión de multitrayectoria y a que permite la cancelación de la interferencia entre símbolos (ISI) de una forma relativamente fácil, con la adición del prefijo cíclico (CP). La tabla 1 muestra el devenir histórico de los aportes a la tecnología OFDM, que han hecho posible transmisiones a altas tasas cercanas a 54Mbps Standard IEEE 802.11g y hasta 108Mbps en acceso de última milla.

Tabla 1. Aportes históricos de la tecnología OFDM

Se pueden mencionar las siguientes aplicaciones:

DAB (Radiodifusión de Audio Digital): basada en el estándar ETS 300 4001 (ETSI, 1995), está premodulada en D-QPSK y modulada en OFDM. Este sistema, en un futuro, podrá sustituir completamente los sistemas de radiodifusión analógicos modulados en amplitud (AM) y en frecuencia (FM), proporcionando calidad de audio compatible con compact disk (CD), abriendo también la transmisión de texto e imágenes.

DVB (Radiodifusión de Video Digital): basada en el estándar ETSI (1997), codifica la información de vídeo por el método MPEG-2 y usa las bandas VHF y UHF. Usa premodulación tipo QPSK, 16-QAM y 64-QAM, montado sobre una modulación en banda base tipo OFDM hasta 6817 subportadoras, proporcionando una calidad de vídeo de DVD. Cabe mencionar aquí que EUA ya decidió apagar la Radiodifusión de Televisión Analógica en menos de 5 años, por lo que existirá una renovación tecnológica considerable en esas fechas.

ADSL (Línea de Suscriptor Digital Asimétrica): es una técnica de transmisión tipo OFDM, que sirve para transmitir a altas tasas por líneas de par telefónico, usando desde 255 subportadoras en modalidad de subida hasta 512 subportadoras en modalidad de bajada de información. También permite separar un canal de voz simultáneo al de datos por el mismo medio.

WiFi : basada en los estándares IEEE 802.11x, proporciona tasas de transmisión hasta 54Mbps en bandas espectrales de frecuencias de 2.4 y 5 Ghz , con premodulación BPSK, QPSK, 16/64 QAM y modulación en banda base tipo OFDM de 64 subportadoras. Debido a que también ofrece un nivel de movilidad bajo, adiciona códigos convolucionales para mejorar la robustez ante la disminución de desempeño, debido, en gran medida, a la pérdida de ortogonalidad entre las subportadoras.

WiMax: está basada en el estándar IEEE 802.16. A diferencia del estándar 802.11x, WiMax trabaja con 256 subportadoras, aumenta el alcance previsto en WiFi hasta distancias de 50Kms (en línea de vista), mejorando la directividad de las antenas y adicionando códigos convolucionales entrelazados (súper codes).

Las aplicaciones que más están creciendo en demanda son aquellas soportadas por las tecnologías de banda ancha inalámbricas (WiFi y WiMax). La ú ltima de ellas, WiMax, es una mejora sustancial de WiFi, al optimizar su enlace MAC (Media-Acces Control) por medio de la confluencia de los conceptos de procesamiento digital en las antenas y en las capas de enlace, conforme se ilustra en la figura 9.

Figura 9. Concepto de convergencia WiFi, WiMax. Fuente Intel Corporation

Es posible que en el futuro próximo sean instaladas redes híbridas (móviles y fijas) de forma masiva, por medio de enlaces inalámbricos tipo WiMax, usando puntos de accesos punto a punto y punto multipunto, conforme se ilustra en la figura 10.

Figura 10. Red Híbrida con enlaces de banda ancha inalámbricos tipo WiFi, WiMax. Fuente Intel corporation

 

Esquemas de modulación multiportadora para 4G.

Además del esquema tradicional OFDM en la frecuencia, existen topologías de modulación que mostraron ser muy eficientes al modular no solamente las señales en tiempo y frecuencia sino también por código. Estos son los famosos sistemas multiportadora por códigos (MC-CDMA) y presentan ganancia de desempeño por códigos mejores a los tradicionales.

La figura 11- (a) se ilustra el concepto de multiportadoras en frecuencia OFDM y (b) el de multiportadoras por código MC-CDMA.

En los esquemas MC-CDMA los códigos son ortogonales en cada sub-banda y tienen la característica de poseer un número pequeño de estados correlacionales, cuando se generan dentro de espacios de Galois (GF(2p) ).

Figura 11. Topologías multiportadoras en frecuencia (a) y en Código (b)

Problemas limitantes de OFDM

Desde que no se pierda ortogonalidad y permanezca sincronismo perfecto, OFDM podría suministrar tasas de transmisión de información casi infinitas, sin embargo, dados los problemas físicos de su implementación y la distorsión impuesta del canal, se pueden mencionar las siguientes limitantes:

- El efecto Doppler en el canal: quiebra la ortogonalidad de las subportadoras, aumentando así la BER y, consecuentemente, disminuye el desempeño OFDM.

- Ruido de fase: presente en las subportadoras, es causado porque ellas no oscilan perfectamente y causan pérdida de sincronismo en el sistema.

- PAPR: la alta razón entre la potencia pico y la potencia media de la señal transmitida genera unos desbalances en potencia entre cada subportadora degradando la señal transmitida.

Ítems de una nueva generación

Las limitaciones descritas anteriormente son debidas a la implementación de la física de los semiconductores involucrados en el estándar respectivo y al medio de propagación móvil, por lo que su tratamiento en procesamiento de señales amerita el estudio de nuevos conceptos concurrentes en tiempo, frecuencia y código. Es posible mencionar diferentes propuestas encaminadas a mitigar la pérdida de ortogonalidad de las señales involucradas en la comunicación, entre ellas están: la compensación de la ISI y estimación de canal por piloto (Yamamura et al., 1999), la búsqueda de codificación robusta (Wessman et al., 2004), y la mitigación de desvanecimiento vía nuevas transformadas (Behaine et al., 2004), entre otros.

Estudios de propuestas de procesamiento en tiempo y frecuencia ya están siendo considerados en algunos documentos (Minn et al., 2006), indicando la necesidad de mezclar más variables en la modulación. Cada día aumenta la necesidad de diferenciar y asignar canales a usuarios, de forma que, además de introducir un procesamiento en tiempo, frecuencia y código, la exploración de soluciones nos llevaría a considerar espacios intermedios o 'fraccionales', es decir, la información sería mapeada por espacios concurrentes indexados por operadores fraccionales, tomando en cuenta también códigos de la forma:

(4)

donde:

es el dato concurrente,

representa el índice en frecuencia fraccionaria

son los índices de espacio y código respectivamente.

A medida que los desarrollos históricos matemáticos brinden posibilidades de mejora en OFDM, la reutilización de frecuencia en espacios compartidos, además de los códigos ortogonales en GF(2p), podrían brindar soluciones para la transmisión de información en ciertos canales no estacionarios, como los de alta movilidad, caracterizados por un alto efecto distorsivo Doppler.

 

Conclusiones

Se expuso conceptualmente, en el plano tiempofrecuencia, que la modulación por multiportadoras ortogonales en banda base en frecuencia y código de señales es solución para la gran demanda de altas tasas de transmisión, al desafiar los límites de propagación impuestos por el canal. Se prevé, debido a la confluencia de las modulaciones por multiportadoras ortogonales, que las próximas generaciones abordarán espacios concurrentes en tiempo, frecuencia y código.

 

BIBLIOGRAFÍA

1. BEHAINE, C.A. R., BORDIN, C. J. Jr., & BACCALÁ, L. A. 2004. On fractional fourier transform for fading mitigation in high mobility wireless environments. Proceedings of International Workshop on Telecommunications IWT 2004, ISSN 1806-7662, pp 98-100.        [ Links ]

2. CHANG, R. 1966. Synthesis of band-limited orthogonal signal for multichannel data transmission. The Bell System Technical Journal, pp 1775 - 1796.        [ Links ]

3. Comisión de Regulación de Telecomunicaciones 2004. Promoción y masificación de los servicios de banda ancha en Colombia. http://www.crt.gov.co        [ Links ]

4. Comisión de Regulación de Telecomunicaciones 2006. Informe semestral internet- Diciembre de 2005. N 7. http://www.crt.gov.co        [ Links ]

5. Min, H., Bhargava , V. K. & Letaief , K. B. 2006. A combined timing and frequency synchronization and channel estimation for OFDM. IEEE Transactions on communications. Vol 54, N 3, pp 416-422.        [ Links ]

6. WEINSTEIN, S. B. & EBERT, P. M. 1971. Data transmission by frequency division using the discrete Fourier transform. IEEE transactions on Communications Technology, vol 19, N 5, pp 628-634.        [ Links ]

7. WESSMAN, M. O., SVENSSON, A. & AGRELL, E. 2004. Frequency diversity performance of coded multiband – OFDM system on IEEE UWB Channels, IEEE Vehicular Technology conference. vol 2, pp 1197-1201.        [ Links ]

8. YAMAMURA, T. & HARADA, H. 1999. High mobility OFDM transmission system by a new channel estimation and ISI cancellation scheme using characteristics of pilot symbol inserted OFDM signal. Proc. IEEE Vehicular Technology Conf. (VTC-1999fall), vol. 1, pp 319-323.        [ Links ]

 

Recibido: 13/07/2006
Aceptado: 06/10/06

Creative Commons License All the contents of this journal, except where otherwise noted, is licensed under a Creative Commons Attribution License