Services on Demand
Journal
Article
Indicators
-
Cited by SciELO -
Access statistics
Related links
-
Cited by Google -
Similars in
SciELO -
Similars in Google
Share
DYNA
Print version ISSN 0012-7353On-line version ISSN 2346-2183
Dyna rev.fac.nac.minas vol.77 no.164 Medellín Oct./Dec. 2010
EL HIDROCICLÓN COMO UNA ALTERNATIVA PARA LA RECUPERACIÓN PARCIAL DE AYUDAS FILTRANTES EN EL PROCESO DE REFINACIÓN DE AZÚCAR
THE HYDROCYCLONE AS AN ALTERNATIVE FOR THE PARTIAL RECOVERING OF FILTER AIDS IN THE SUGAR REFINING PROCESS
SIMÓN REIF ACHERMAN
Escuela de Ingeniería Química, Universidad del Valle, sireache@univalle.edu.co
LORENA. BLANCO SILVA
Ingeniera Química
LEONARDO ARBOLEDA VILLANUEVA
Ingeniero Químico
Recibido para revisar Junio 17 de 2009, aceptado Diciembre 18 de 2009, versión final Enero 3 de 2010
RESUMEN: La incorporación de ayudas filtrantes o coadyuvantes en los procesos de filtración ha incrementado la eficiencia de remoción de las impurezas suspendidas en los licores resultantes de las etapas de evaporación y cristalización en el proceso de obtención de azúcar refinada. La reducción de su vida útil a un solo ciclo de utilización implica, sin embargo, evidentes inconvenientes para su aplicación industrial. El objetivo principal de este estudio fue la identificación y validación del uso de un hidrociclón como una alternativa técnica y económicamente factible para la recuperación parcial de estos materiales. La investigación se basó en las características físicas de los componentes del deshecho resultante del proceso de filtración (ayudas filtrantes, carbón activado, sacarosa, agua e impurezas), y la cantidad de sólidos suspendidos en la corriente.
PALABRAS CLAVE: filtración, ayudas filtrantes, coadyuvantes, licores de azúcar, hidrociclón, permeabilidad, efecto clarificante, granulometría, tierra diatomácea, perlita, turbidez, color.
ABSTRACT: The incorporation of filter aids in the filtration processes has increased the removal's efficiency of suspended impurities in the liquors resulting from the evaporation and crystallization steps in the refining sugar process. Nevertheless, the reduction in its lifetime to only one utilization cycle
implies obvious disadvantages for its industrial application. The main objective of this work was the identification and validation of the use of a hydrocyclone as a technical and economical feasible alternative for partial recovering of these materials. The research based on the physical characteristics of the waste components (filter aids, activated carbon, saccharose, water and other impurities) and the amount of suspended solids in the flow.
KEY WORDS: filtration, filter aids, coadyuvants, sugar liquors, hydrocyclone, permeability, clarifying effect, granulometry, diatomaceous earth, perlite, turbidity, color.
1. INTRODUCCIÓN
El proceso de refinación del azúcar incluye operaciones tales como sedimentación, filtración, y evaporación, entre otras, las cuales tienen como objeto remover una gran variedad de impurezas presentes en el licor, y conferirle así al producto las mejores características posibles de calidad. Entre dichas impurezas pueden mencionarse compuestos orgánicos como polisacáridos; inorgánicos como sulfatos, fosfatos y carbonatos de calcio; algunos coloran-tes, y otro tipo de material suspendido. [1] La experimentación en la industria azucarera desde las primeras décadas del siglo XX permitió que fuera ella una de las primeras en descubrir como el mezclado de licor crudo con ciertos materiales optimizaba los ciclos de filtración y contribuía significativamente a mejorar la calidad del material filtrado. La figura 1 muestra el ordenamiento general del sistema de filtración usual al interior de un ingenio azucarero. La incorporación de ayudas filtrantes (también conocidas como coadyuvantes) al licor constituye un medio para contribuir a la porosidad de la torta de filtrado, permitiendo la formación de una precapa sobre las mallas de los filtros. Gracias a esta precapa se conforma una estructura básica con adecuados canales de flujo, los cuales permiten mantener el ciclo trabajando y, por ende, impedir su rápida obstrucción.
Figura 1. Esquema del sistema de filtración a presión con precapa
Figure 1. Constant pressure filtration system with precoat
La formación de la precapa permite entrelazar millones de partículas para la conformación de una torta con un 85 a 90 % de espacios vacíos muy pequeños. De esta manera no sólo se facilita la circulación del líquido, sino que también se retienen todos los sólidos presentes, incluyendo aquellos de hasta un décimo de micra de longitud característica. [2]
Los coadyuvantes de filtración son materiales sólidos, fibrosos, o granulares, de muy bajas densidades a granel, químicamente inertes, e insolubles en los líquidos filtrados, capaces de formar una torta altamente permeable en la que se retienen partículas muy finas. La diatomita, o tierra diatomácea, y la perlita expandida, son las dos ayudas filtrantes comerciales de uso más común. La alta porosidad es la única propiedad que ellas presentan en común, dado que son microscópicamente muy diferentes entre sí. El material de la primera está compuesto principalmente de la sílice resultante de los depósitos de esqueletos de algas diatomeas, mientras que la segunda corresponde a un producto sintético obtenido por el tratamiento térmico y mecánico de la perlita, el cual es un mineral no metálico, amorfo, de origen volcánico, compuesto por un silicato fundido de sodio, potasio y aluminio, y con alto contenido de agua molecular.
La cantidad de ayuda filtrante agregada en un proceso de filtración varía en función del área de flujo, recomendándose en general una cifra en el rango entre 0,5 y 1,0 kg/m2. Esta cifra no debe sobrepasar un límite experimentalmente estipulado de 5,0 % del total de la suspensión. Cada vez que un ciclo de filtración concluye, las ayudas filtrantes contenidas en los efluentes de desecho resultantes del lavado del equipo se encuentran mezcladas con las impurezas retiradas. Sin un previo proceso de recuperación, este material no resulta obviamente apto para la formación de una estructura altamente porosa que pueda ser nuevamente utilizada como precapa, y es generalmente descartado. Este procedimiento, común en la industria azucarera colombiana, limita la vida útil de los coadyuvantes a sólo un ciclo de filtración, y afecta de manera notable la economía del proceso. Una recuperación, así sea parcial de éstos materiales, tiene obvias implicaciones en la reducción, no sólo de costos en la producción del azúcar refinada, sino también de la cantidad de los desechos sólidos generados.
Resultados de una investigación previa sobre el tema (la única reportada en la literatura hasta donde los autores pudieron verificar) muestran la regeneración de los coadyuvantes como una alternativa factible, aunque bastante limitada, de recuperación. [3] Las conclusiones respectivas indican, por ejemplo, que soluciones ácidas de acido clorhídrico, incapaces de disolver los compuestos de sílice que conforman las ayudas filtrantes pero si algunos inorgánicos tales como el sulfato y el fosfato de calcio, parecen mostrar las mejores cifras de eficiencia regenerativa, salvo por unos pobres resultados en la degradación y remoción total de polisacáridos. La utilización de agua caliente, de otro lado, parece ser una alternativa eficaz de regeneración, pero sólo hasta un tercer ciclo de utilización, ya que a partir de allí los resultados desmejoran. Otras regeneraciones químicas, incluyendo ácidos y álcalis, si bien permiten la remoción del color, conducen simultáneamente a bajas velocidades de filtración y disuelven en alguna proporción los componentes de los coadyuvantes. El alto consumo energético reportado para estas pruebas, así como la imposibilidad de remoción de las cenizas que afectan la calidad del azúcar, se constituyeron en razones concluyentes para desestimar la utilización de este tipo de regeneraciones térmicas.
La presente investigación se enfocó, en vista de los anteriores resultados, en el estudio de posibilidades de tratamiento físico de los licores basado en las propiedades de los diferentes materiales involucrados en el proceso [4].
Procedimiento experimental
El licor sometido a filtración proviene de un proceso de clarificación en el cual se ha adicionado carbón activado para promover la adsorción de los compuestos responsables del color en el azúcar. Este carbón se constituye en el principal contaminante del material del cual se desea recuperar la filtroayuda, con un contenido que fluctúa entre el 0.25 y 0. 55 % de la corriente total. Cualquiera sea el método de separación a utilizar debe contemplar la naturaleza de la obstrucción generada por las impurezas presentes en la red de coadyuvantes y las propiedades que diferencian los distintos compuestos, así como la influencia que unos y otros tienen en el proceso de filtración. La primera etapa de la investigación se concentró entonces en la caracterización de las tierras filtrantes y el carbón activado como los principales componentes del flujo de deshecho de filtración.
De esta manera se cumple con un doble propósito como es, de una parte, la determinación de las posibles diferencias entre ambos materiales, y de la otra, la posibilidad de disponer de un patrón útil de comparación que ayude a evaluar la utilidad del material recuperado.
La granulometría es una de las características que determinan las propiedades filtrantes de un coadyuvante, ya que una distribución adecuada de tamaños de partícula permite una mejor difusión parcial de las impurezas a través de la torta de filtrado, haciendo que ésta actúe efectivamente como un medio filtrante de profundidad. [5] La figura 2 muestra las distribuciones granulométricas tanto de las ayudas filtrantes utilizadas en el proceso como del carbón activado, obtenidas ambas mediante un procedimiento de tamizado en húmedo. Las impurezas presentes, generadoras de obstrucciones mecánicas en la torta de filtración, y conformadas principalmente por sólidos suspendidos y almidón, poseen tamaños de partícula Dp menores a 5 mm, y generalmente in-
Figura 2. Distribución granulométrica
Figure 2. Granulometric distribution
feriores a 1mm. [6]. La idea de la utilización del hidrociclón como equipo apropiado para la separación de la mezcla surgió en primera instancia para aprovechar la diferencia de densidad existente entre las fases líquida y sólida involucradas. La acción de fuerzas, ya sea gravitacionales si el objetivo es la obtención de un liquido de la mayor pureza posible, o centrífugas, cuando, como en el caso de los licores, la necesidad esta concentrada en la recuperación del material sólido, se constituyó en el primer criterio general tenido en cuenta.[7] Esta circunstancia, unida a criterios como el del tiempo necesario de residencia de la suspensión en los equipos, estructuras simples, bajos costos de construcción e instalación, capacidades grandes y pequeños volúmenes, así como mínimos gastos de mantenimientos, orientaron definitivamente la selección. [8] La consideración de dos elementos adicionales confirmaron, desde un punto de vista técnico, ésta selección preliminar. En primera instancia, las distribuciones granulométricas encontradas corresponden al rango óptimo de funcionamiento de este tipo de equipos, el cual se sitúa entre 4 y 600 mm, (para partículas pequeñas compite con las centrifugas; para las de mayor tamaño con los tamices). En segundo lugar, los requerimientos técnicos de alimentación del hidrociclón coinciden con la composición de sólidos suspendidos en el efluente de desecho, la cual fue determinada experimentalmente por métodos analíticos de filtración y gravimetría en un rango de 0,97 - 2,00 %. [8] Adicionalmente, la presencia del hidrociclón contribuye en conjunto con el tanque de almacenamiento a la suspensión en su interior de las impurezas finas, debido a la diferencia existente entre los tamaños de partículas de éstas últimas y los de la mezcla carbón activado - ayudas filtrantes.
La figura 3 muestra las secciones componentes más importantes de un hidrociclón. Para el caso particular de esta investigación, el material recuperado está constituido por el flujo inferior, dado que por el superior se arrastran las partículas más finas, entre ellas las impurezas. De esta manera, se define eficiencia de recuperación como la relación porcentual entre los sólidos presentes en el flujo inferior y aquellos en la alimentación. Las variables de operación del equipo son: velocidad de flujo del alimento, gravedad específica del sólido y el líquido, viscosidad del líquido y concentración y diámetro de las partículas de sólidos.
Figura 3. Esquema del hidrociclón
Figure 3. Hydrocyclone scheme
La eficiencia de separación depende en gran medida de algunas características geométricas del equipo tales como diámetros de la entrada, la cámara cilíndrica, y la salida inferior, como de la velocidad del flujo de entrada.
Para propósitos de su posterior aplicación, se trató de adaptar al máximo las características de diseño del hidrociclón a las condiciones típicas de operación de una Refinería de azúcar. Dado el carácter innecesario en esta investigación de la predicción de patrones internos de flujo mediante procedimientos matemáticos elaborados basados en dinámica de fluidos computacional [9], el problema de diseño se redujo a la determinación de los parámetros geométricos correspondientes requeridos (ver figura 4), para lo cual se hizo uso de una serie de correlaciones prácticas ampliamente conocidas. [10, 11].
Figura 4. Patrones de flujo y dimensiones características de un hidrociclón
Figure 4. Flow patterns and typical dimensions of a hydrocyclone
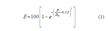
La primera de ellas, representativa de la relación existente entre la eficiencia de separación esperada E, (una cifra del 90% se considera por lo general aceptable), y D, el diámetro de partícula representativo de los sólidos a remover (se escogió 20 mm en virtud de los resultados de las distribuciones granulométricas que indicaban alrededor de un 20 % de partículas con diámetro inferior a esta magnitud) [11] hace uso de un parámetro empíricamente definido de dimensionamiento, el cual evalúa el efecto de las proporciones geométricas del hidrociclón en su rendimiento.

Este parámetro, conocido como D50, identifica el diámetro teórico de partícula para el cual la eficiencia de separación es del 50 % o, en otras palabras, aquel para el cual las partículas de este tamaño se repartirían por igual entre las salidas superior e inferior. [12]
El diámetro interno de la cámara, Dc (m), se determinó mediante la ecuación de Bradley [11]

siendo Q el flujo de alimentación (m3/s), rl y rs las densidades (kg/m3) del líquido y las partículas sólidas, respectivamente, y m la viscosidad del líquido (mPa.s).
El flujo de alimentación promedio se definió asumiendo un sólo turno de ocho horas de funcionamiento del equipo en el cual tratarían los efluentes de lavado acumulados resultantes de los tres turnos diarios. Las dimensiones restantes del hidrociclón fueron determinadas por medio de otras relaciones basadas en éste parámetro.
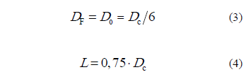
La aplicación de las proporciones sugeridas por Zanker [11] y por Bueno y Monge [13] para el funcionamiento óptimo de este equipo, permitió la determinación tanto de los diámetros de los orificios de alimentación DF y de zona de vórtices D0 , como la longitud de la sección
cilíndrica del equipo L (m). En lo que respecta al ángulo de la parte cónica del hidrociclón y su significativo efecto en los patrones de flujo internos se siguió la recomendación de una magnitud pequeña como las más apropiada para la obtención de altas eficiencias en separación de partículas finas, y se trabajó dentro del rango generalmente aceptado, es decir entre 10º y 20º. [14].

La tabla 1 resume las principales características de diseño del equipo y condiciones de operación. En lo que respecta al diámetro de la boquilla de salida inferior DI se decidió trabajar
Tabla 1. Especificaciones de diseño y operación del hidrociclón
Table 1. Hydrocyclon design and operation specifications

con dos dimensiones diferentes ( 0.0127 m -½ pulg- y 0.0095 m -3/8 pulg-) pero ambas acorde a las proporciones entre las restantes variables de diseño, y realizar pruebas que permitieran determinar su posible efecto en la concentración de sólidos en ambos extremos.
RESULTADOS Y DISCUSIÓN
La tabla 2 reporta el resumen de los resultados de las distintas pruebas experimentales realizadas y la eficiencia derivada para cada una de ellas. La determinación de la cantidad de sólidos en ambos flujos se llevó a cabo mediante un procedimiento de filtración al vacío de muestras representativas compuestas (atendiendo a la poca homogeneidad del material recolectado), utilizando papeles con rango de retención entre 4 y 7 mm, seguido de posterior secado a temperaturas de 383 ± 5 K. Para cada ensayo se determinó el respectivo caudal de alimentación, y se realizaron pruebas estandarizadas de contenido de sólidos y porcentaje de retención sobre un tamiz serie Tyler malla 400 a los flujos de salida tanto superior como inferior.
Tabla 2. Resultados de prueba del hidrociclón
Table 2. Hydrocyclon proof results

Este grupo de primeros resultados claramente mostró no solamente una dependencia directa entre el flujo de alimentación y el porcentaje de recuperación alcanzado debido a la variación de la Velocidad al interior del equipo, sino una mejor separación granulométrica con la boquilla de menor diámetro, pero también un correspondiente menor porcentaje de recuperación.
El uso de esta boquilla incrementa la probabilidad de retirar las impurezas debido a la presencia de menor cantidad de finos en el material recuperado. En lo que se refiere a la viabilidad técnica de la utilización de material recuperado como coadyuvante de filtración, es claro que ésta depende de su grado de contribución a la eficiencia del equipo, medida en términos de las magnitudes óptimas de velocidad y contenido de sólidos del filtrado.
Ante las dificultades asociadas con la determinación experimental de los factores que en mayor grado afectan estas variables, como son tamaño promedio de poro y espesor de la torta, condición de superficie de las partículas de la ayuda filtrante, y cantidad de poros por unidad de área en la precapa, se evaluaron dos características que permiten indirectamente la comparación de desempeños para el material recuperado y una ayuda filtrante nueva: la permeabilidad, y el efecto clarificante.
La permeabilidad se determinó con ayuda de un equipo experimental a escala de laboratorio estandarizado para tales pruebas [15], midiendo los tiempos correspondientes para la recolección de distintos volúmenes de filtrado luego de que agua destilada atraviesa la precapa previamente formada para una diferencia de presión ajustada DP de 13,7 kPa. El cálculo teórico del coeficiente de permeabilidad, f (m2), se realiza mediante la ecuación de Darcy, donde m es la

viscosidad del líquido a la temperatura de salida (Pa.s), V el volumen total de agua permeada por unidad de tiempo y de área transversal (m3/s.m2), L el espesor de la precapa medido con un calibrador (m), y DP la caída de la presión (kPa).
El efecto clarificante, por su parte, se evaluó haciendo uso de la misma precapa formada, filtrando partículas de diámetro conocido en soluciones altamente diluidas, y registrando el porcentaje de éstas removido. La determinación se realizó con ayuda de una curva de calibración previamente construida con lecturas de absorbancia en un espectrofotómetro ajustado a una longitud de onda de 420 nm para suspensiones de varios contenidos establecidos de sólidos.
Las pruebas se realizaron inicialmente utilizando exclusivamente material recuperado. La tabla 3 presenta comparativamente los resultados promedios obtenidos para ayudas filtrantes nuevas y sus efluentes, así como para el material recuperado con el hidrociclón trabajando con cada una de las boquillas estudiadas.
Tabla 3. Datos de permeabilidad y efecto clarificante
Table 3. Permeability and clarifying effect values

El comportamiento observado de una permeabilidad mayor para el caso de la boquilla de 3/8 coincide perfectamente con los resultados de la granulometría, dado que la presencia de una cantidad de finos más elevada implica un necesario mayor contenido de impurezas, y, a su vez, un taponamiento más significativo de la red porosa conformada por las ayudas filtrantes.
Por otro lado, se consideró que las diferencias aproximadas de los efectos clarificantes de los efluentes de deshecho de la filtración y del material recuperado de solo un 11 % para las dos boquillas no resultaban significativas para el análisis. En vista de la apreciable diferencia observada en el cumplimiento de los parámetros de desempeño al trabajar exclusivamente con tierra recuperada y con ayudas filtrantes nuevas, se procedió al estudio de mezclas en diferentes proporciones de ambos materiales.
La figura 5 muestra los resultados obtenidos para los dos parámetros mencionados, utilizando fracciones de material recuperado, correspondientes al 25, 50, y 75 % del total de ayudas filtrantes. Los comportamientos observados mostraron la mezcla al 50 % como la alternativa más eficiente para la operación de filtración a escala real, dado que mientras la disminución del efecto clarificante no resultó importante hasta esta cifra, la permeabilidad alcanzó su máxima magnitud, incluso por encima de la de la tierra filtrante nueva.
Figura 5. Parámetros de desempeño de las mezclas
Figure 5. Mixtures performance parameters
La evaluación del desempeño de la mezcla de material utilizado en la precapa se realizó mediante la observación simultánea, en primera instancia del comportamiento de las principales variables de control en la etapa de filtración durante la operación normal de la planta de refinación de azúcar, y en segundo lugar de posibles incidencias de la modificación en el desarrollo de las etapas posteriores de la refinación, o del cumplimiento de las especificaciones requeridas de calidad del producto terminado. La tabla 4 resume los resultados promedios de las pruebas realizadas en diferentes filtros.
Tabla 4. Parámetros de validación de los resultados experimentales
Table 4. Validation parameters for the experimental results

CONCLUSIONES
Tanto el hecho de que los valores obtenidos para cada propiedad se encuentren dentro de los rangos históricamente conocidos utilizando precapa totalmente nueva, como la no identificación de alguna incidencia perceptible en el desarrollo normal del proceso, validan técnicamente la utilización no solo del hidrociclón como equipo eficiente de recuperación, sino de la mezcla sugerida como la opción mas apropiada.
Teniendo en cuenta que bajo las condiciones económicas actuales del país, las ayudas filtrantes representan en promedio un 2,67 % del costo total de producción de azúcar refinado, la implementación del sistema propuesto de un 25 % de recuperación global significaría una reducción aproximada de la incidencia de este factor de un 0,65 %. El estudio de otro tipo de criterios de evaluación económica, tales como por ejemplo el tiempo estimado de recuperación de la inversión inicial (el cual podría incluir la adquisición o fabricación de equipos básicos como el hidrociclón mismo, tanques adicionales de almacenamiento, bombas centrifugas, y accesorios varios, así como los costos mismos asociados de montaje, mano de obra e ingeniería), depende, como resulta obvio, de la situación propia del ingenio en particular que pretenda considerar la alternativa, y no puede por tanto ser analizado de manera general.
AGRADECIMIENTOS
Los autores desean expresar sus agradecimientos a las directivas y personal de planta de Incauca S.A. e Incauca Refinería de Colombia por toda la colaboración prestada para la realización de este trabajo.
REFERENCIAS
[1] CHEN, J.C.P. and Ch.-Ch. Chou Cane sugar handbook: a manual for cane sugar manufacturers and their chemists, 12 ed., John Wiley, New York, 1993. [ Links ]
[2] ROLDAN, V. Y ARAMBURU, E. Descripción, uso y correcta selección de filtroayudas en la filtración de licor de azúcar. Memorias III Convención de Técnicos Azucareros de México. 1ª ed. Técnicos Azucareros, México, México, 235-246, Septiembre 1973. [ Links ]
[3] GAO, D. Regeneration of filter aid filtered cake. A progress report. Proceedings of the technical session on cane sugar refining research -actualmente Sugar Processing Research Institute (STRI) -, New Orleans, U.S.A., Septiembre 2000. [ Links ]
[4] ARBOLEDA, L. Y BLANCO, L., Estudio de la pre-factibilidad técnica y económica de la recuperación de ayudas filtrantes en el proceso de refinación de azúcar [Tesis de pregrado]. Cali: Universidad del Valle, 2003. [ Links ]
[5] SOCIEDAD MINERA CONDOR, Boletín Técnico: Filtrado con Diactiv, 1995. [ Links ]
[6] DEVERAUX, J.A. Y CLARKE, M.A., Nonsucrose components of cane sugar and efficiency of press filtration. Proceedings of the Sugar Industry Technologists (SIT) Annual Technical Meeting, New Orleans, U.S.A. , Volumen 43, 36-59, Octubre [ Links ]
[7] WAKEMAN, R.J. Selection of equipment for solid/liquid separation processes, Filtration & Separation, 32, 337-341, 1995. [ Links ]
[8] PIERSON, H.G.W. The selection of solid-liquid separation equipment. En: Solid-Liquid separation (Ed. L. Svarovsky) 4a ed., Butterworth-Heinemann, Oxford, 512-525, 2000. [ Links ]
[9] COELHO, M.A.Z. AND MEDRONHO, R.A. A model for performance prediction of hydrocyclones, Chem. Eng. J. 84, 7-14, 2001; Dai, G.Q., Li, J.M. and Chen, W.M. Numerical prediction of the liquid flow within a hydrocyclone, Chem. Eng. J. 74, 217-223, 1999.; Monrendon, T.C., Hsieh, K.T. and Rajamani, R.K. Fluid flow model of the hydrocyclone: an investigation of device dimensions, Int. J. Miner. Process. 35, 65-83, 1992; Hsieh, K.T. and Rajamani, R.K. A mathematical model of the hydrocyclone based on physics of fluid flow, AIChE J. 37, 735-746, 1991. [ Links ]
[10] CASTILHO, L.R. AND MEDRONHO, R.A. A simple procedure for design and performance prediction of Bradley and Rietema hydrocyclones, Miner. Eng. 13, 183-191, 2000; Chen, W., Zydek, N. and Parma, F. Evaluation of hydrocyclone models for practical applications, Chem. Eng. J. 80, 295-303, 2000; Svarovsky, L. Hydrocyclones, Holt Rinehart & Winston, Londres, 1984. [ Links ]
[11] ZANKER, A. HYDROCYCLONES: Dimensions and performance, Chem. Eng. 84, 122-125, 1977. [ Links ]
[12] OLSON, T.J. AND TURNER, P.A., Hydrociclone selection for plant design, Miner. Process Plant Des. Contrl. Proceedings, Littleton, Colorado, USA, Volumen 1, 880-893, 2003. [ Links ]
[13] BUENO, E.M. Y MONGE, A.L., Simulación de un hidrociclón para el beneficio de carb[Tesis de pregrado]. Cali: Universidad del Valle, 2003. [ Links ]
[14] STATIE, E.C., SALCUDEAN, M.E. and Gartshore, I.S. The influence of hydrocyclone geometry on separation and fibre classification, Filtration & Separation, 38, 36-41, 2001. ; Bustamante, O. y Concha, F. Estudio experimental acerca de la capacidad de un hidrociclón con ángulos de cono grande, Dyna 117, 27-32, 1994. [ Links ]
[15] NICHOLSON, R.I. AND HORSLEY, M. The design and performance of a new test filter. Proceedings IX Congress ISSCT. Nueva Delhi, India , Volumen 2, 271-287, Enero 1956. [ Links ]













