INTRODUCCIÓN
La gabapentina [1], es decir, el ácido 1-(aminometil) ciclohexanoacético (ver figura 1) es un anticonvulsante (CAS: 60142-96-3, M=171,23 g/mol), programado como análogo del ácido gama-aminobutírico (AGAB). La gabapentina es capaz de atravesar la barrera hemoencefálica manteniendo las propiedades del AGAB, por contener un fragmento lipofílico (en este caso, el anillo ciclohexánico) [1, 2].
Sin embargo, su uso excesivo puede causar algunos efectos colaterales [3, 4], cuyo efecto es fuertemente dependiente de concentración. Por eso, el desarrollo de una metodología capaz de detectar rápida, exacta y sensiblemente su concentración es, sin duda, una tarea actual [5-20].
La gabapentina contiene pocos enlaces insaturados, grupos cromofóricos o fragmentos fáciles de oxidar. No por ello se termina la búsqueda de nuevas técnicas no electroquímicas y electroquímicas, aunque se pueda requerir la modificación del propio analito o del electrodo (en el caso de métodos electroanalíticos) por materiales como polímeros conductores, derivados ferrocénicos, materiales de carbono, nanopartículas conductoras y semiconductoras, que contienen metales.
Uno de los modificadores interesantes para la cuantificación de la gabapentina podría ser el oxihidróxido del cobalto [21-24], el semiconductor de tipop cuya eficiencia electroanalítica para compuestos semejantes ya ha sido confirmada experimental [21, 22] y teóricamente [23, 24].
Sin embargo, el desarrollo y uso de los métodos electroanalíticos, principalmente los nuevos, requiere el entendimiento del mecanismo del desempeño del analito y del modificador en el sistema. Otro problema que surge es la aparición de estabilidades electroquímicas, pues tanto la electrosíntesis del CoO(OH) [25, 26], como la electrooxidación de la gabapentina [20, 27] son acompañadas por las oscilaciones en corriente. Por eso, el análisis teórico a priori es necesario para avalar el comportamiento del sistema electroanalítico antes de ponerlo en práctica.
Así, el objetivo general de este trabajo es este análisis aplicado al sistema con la detección electroquímica de la gabapentina en el ánodo, modificado por CoO(OH). El modelo matemático, capaz de describir adecuadamente el comportamiento del sistema, se desarrolla y analiza mediante la teoría de estabilidad lineal y análisis de bifurcaciones. Del análisis se concluye acerca de la eficiencia del proceso en la detección electroanalítica de la sacarina y, también se compara el comportamiento de este proceso con el de los semejantes [23, 24, 27, 28].
EL SISTEMA Y SU MODELO
El mecanismo de la electrooxidación de la gabapentina es conocido por su hibridez. Por eso, su comportamiento en la presencia del oxihidróxido de cobalto es de particular interés.
En la primera etapa, la gabapentina se oxida, perdiendo dos protones y dos electrones, formando la imina; ya el oxihidróxido de cobalto es reducido hasta CoO:
Después, la imina se hidroliza mediante la reacción (2):
o se oxida hasta el nitrilo correspondiente:
la reversibilidad del electrodo se realiza por la reacción (4):
Considerando lo citado anteriormente, para describir el comportamiento de este sistema, nosotros introducimos tres variables:
g: la concentración de gabapentina en la capa presuperficial
G: la concentración del producto primario de su oxidación
θ : el grado de recubrimiento de la superficie por el óxido de cobalto.
Para simplificar el modelo, suponiendo que el reactor se agite intensamente, lo que nos deja menospreciar el flujo de convexión. De otro lado, suponemos que el electrólito de soporte esté presente en su exceso, permitiendo ignorar el flujo de migración. Suponemos, también, que el perfil concentracional de las sustancias en la capa presuperficial sea lineal, y su espesor, constante e igual a 8.
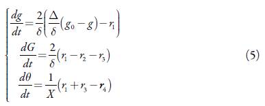
Se puede mostrar fácilmente que el comportamiento del sistema puede ser descrito por el conjunto de tres ecuaciones diferenciales de balance a seguir:
siendo Δ el coeficiente de difusión de la gabapentina, g0 su concentración en la capa presuperficial, X es la concentración superficial máxima del óxido de cobalto en la superficie del cátodo y los parámetros r son las velocidades de las velocidades correspondientes, que se pueden calcular como:
En que los parámetros k son constantes de velocidades de las respectivas reacciones, F es el número de Faraday, φ 0 es el salto de potencial en la doble capa eléctrica (DCE), relacionado al potencial de carga cero, R es la constante universal de gases y T es la temperatura absoluta.
Como se ve, la hibridez del mecanismo de oxidación no compromete la reproducibili-dad del modificador del ánodo, lo que se demostrará más adelante.
RESULTADOS Y DISCUSIÓN
Para investigar el proceso electroanalítico de la detección de la gabapentina asistida por el oxihidróxido de cobalto trivalente, analizamos el conjunto de ecuaciones (5) junto con las relaciones algébricas (6-9), mediante la teoría de estabilidad linear. Los elementos estacionarios de la matriz funcional de Jacobi pueden ser descritos como:
en que:
Teniendo en cuenta las expresiones (11), (15) y (19) se puede ver que el comportamiento oscilatorio en este caso puede ser posible porque es causado apenas por las influencias de la etapa electroquímica, descritas por el elemento
que puede ser positivo, si j < 0, y corresponde a esas influencias, típicas, también, para sistemas semejantes [23, 24, 27, 28]. Apesar de la hibridez del mecanismo y de la interacción de oxihidróxido de cobalto con la gabapentina, las dos etapas de la electrooxidación asistida transforman el modificador en apenas una sustancia el óxido de cobalto (II), y la reversibilidad del electrodo se adquiere mediante apenas una reacción electroquímica la (4). Por eso existe solamente un factor capaz de causar el comportamiento oscilatorio.
Para investigar la estabilidad de estado estacionario, aplicamos al conjunto de ecuaciones diferenciales (5) y el criterio Routh-Hurwitz. Evitando las expresiones grandes, introducimos nuevas variables, para que el determinante del Jacobiano se describa como:
Abriendo los paréntesis y aplicando el requisito Det J<0, saliente del criterio, se obtiene la condición de estabilidad del estado estacionario, descrita como:
Este requisito se satisface de forma total, no habiendo influencias fuertes en la DCE (lo que se describe por la positividad del parámetro X). Con esto, la expresión del lado izquierdo siempre tendrá valores más negativos que la del lado derecho, y el estado estacionario permanecerá estable. Desde que se satisfagan las condiciones de estabilidad del estado estacionario (porque, en este sistema, ningún factor puede comprometer la estabilidad del modificador y del analito con las reacciones laterales), será lineal la dependencia entre el parámetro electroanalítico y la concentración del analito, y la señal electroanalítica se hará fácil de interpretar. El proceso electroanalítico es controlado por la cinética de los procesos.
La inestabilidad monotónica en este sistema también es posible. Su condición principal es Det J =0, lo que, para este sistema corresponde a:
En términos electroanalíticos, esta inestabilidad corresponde al límite de detección, y en este punto coexisten varios estados estacionarios, todos inestables. El sistema escoge apenas uno, y este se autodestruye, cuando las condiciones del sistema se alteran.
La detección electroanalítica de gabapentina también puede ser realizada en medio ácido, se basa en la reducción catódica de su grupo carboxílico sobre una amplia variedad de modificadores, como polímeros conductores (especialmente los que poseen grupos ácidos, capaces de inmovilizar el grupo amino), oxihidróxido de vanadio y sus compuestos con materiales orgánicos, otros compuestos de vanadio, electroquímicamente flexibles y estables en medios ácidos, nitruro de carbono. La detección electroanalítica por este escenario, bien como la síntesis del material modificador, se abordarán en uno de nuestros próximos trabajos.
CONCLUSIONES
A partir del análisis teórico de la posibilidad de la detección electroquímica de la gabapentina, asistida por el oxihidróxido de cobalto trivalente, se concluye que:
- CoO(OH) puede ser un modificador eficiente de ánodo para la detección de la gabapentina, pese que el mecanismo sea híbrido. El estado estacionario estable es electroanalíticamente eficiente y se mantiene fácilmente.
- El proceso electroanalítico es cinéticamente controlado.
- La inestabilidad oscilatoria, en este sistema, puede realizarse, esta es causada apenas por los factores de las influencias de la reacción electroquímica a la doble capa eléctrica.


























