Introducción
La contaminación de fuentes hídricas con compuestos farmacéuticos dan como resultado efectos toxicológicos en los seres humanos, animales y plantas. El acetaminofén, analgésico y antipirético ampliamente usado por la población, se considera uno de los contaminantes emergentes con mayor relevancia, debido a su potencial impacto sobre el desarrollo embrionario y reproductivo de peces y otras especies acuáticas 1.
La adsorción sobre carbón activado es una de las técnicas más usadas a nivel mundial para remover contaminantes orgánicos e inorgánicos de efluentes. Este método permite eliminar hasta el 90% de contaminantes farmacéuticos, sin embargo, la eficiencia del proceso dependerá de las propiedades fisicoquímicas del adsorbente y el adsorbato 2. El proceso de adsorción consta de dos etapas: el paso del adsorbato a través de la red porosa y las interacciones entre el adsorbato y los grupos funcionales presentes en la superficie del adsorbente. Este último paso constituye un factor relevante teniendo en cuenta que algunos compuestos farmacéuticos presentan restricciones difusivas debido a su tamaño molecular 3.
Terzyk et al.4 afirman que compuestos aromáticos como el acetaminofén presentan tres mecanismos mediante los cuales se lleva a cabo la adsorción en carbón activado desde fase acuosa: interacciones por dispersión de electrones π, formación de puentes de hidrógeno y formación de complejos donor-aceptor de electrones. Sin embargo, los cambios de composición y pH determinan qué mecanismo es prevalente según las condiciones del sistema.
Los estudios de adsorción de fármacos sobre carbón activado que se encuentran en la literatura muestran el vínculo existente entre las propiedades termodinámicas del sistema con la capacidad de adsorción. Por lo general estas propiedades son determinadas a partir de ecuaciones como Van’t Hoff y Gibbs-Helmholtz para calcular el cambio en la entalpía, energía de Gibbs y entropía 5.
Adicionalmente, las interacciones electrostáticas son frecuentes en la adsorción sobre carbón activado debido a las cargas presentes cuando ácidos o bases débiles se ionizan en medio acuoso. Así mismo, la presencia de grupos funcionales en la superficie del adsorbente genera la formación de dipolos con las moléculas de adsorbato debido a diferencias en las distribuciones electrónicas. Aburub y Wuster 6 indican qué interacciones específicas (interacciones iónicas, Fuerzas de Keeson y Debye) se relacionan con procesos de adsorción dirigidos por vía entálpica, en tanto que interacciones no específicas (fuerzas de London) se relacionan a procesos que se llevan a cabo por vía entrópica.
Los estudios de adsorción de fármacos en carbón activado suelen mostrar valores de entalpía asociados a interacciones intermoleculares debido a que estas conllevan a la orientación específica del adsorbato con respecto a los grupos funcionales presentes en el adsorbente. Sin embargo, se encuentran interacciones hidrofóbicas durante el proceso de adsorción de fármacos con largas cadenas carbonadas o con estructuras que impiden la formación de interacciones especificas adsorbato-adsorbente. En el caso del acetaminofén es posible encontrar los dos tipos de interacciones debido a la presencia del grupo fenol, amida y anillo aromático, los cuales pueden interactuar con grupos específicos en la superficie del carbón activado o con las capas grafénicas superficiales que constituyen el adsorbente 6.
Los diferentes tipos de interacciones que se presentan en el sistema durante el proceso de adsorción contribuyen al flujo energético, el cual puede ser medido a través de calorimetría de inmersión. La ecuación [1] permite determinar el cambio en la entalpía de inmersión (-ΔΗ inm ) para un líquido cualquiera 7:
Donde q (p) representa el calor total que genera el sistema a presión constante, m s es la masa del carbón activado, K cal es la constante de calibración del calorímetro y Δ inm es el área bajo la curva del pico de inmersión del carbón activado en un líquido de inmersión.
Ahora bien, la descripción termodinámica de los procesos de adsorción desde el punto de vista entrópico es poco frecuente. Sin embargo, en el caso del acetaminofén se puede describir el comportamiento de adsorción debido a que las interacciones hidrofóbicas son una fracción de las interacciones totales en el sistema.
De acuerdo a la definición de Boltzmann 8, cuando un proceso termodinâmico se lleva a cabo en un sistema aislado, pasa de un macroestado de menor probabilidad termodinámica a uno de mayor probabilidad, debido a que este último posee la mayor cantidad de microestados permitidos. En concordancia con la segunda ley de la termodinámica, para un proceso que se produzca en un sistema aislado, la entropía se desplaza de un macroestado de menor a mayor entropía 8.
La ecuación [2] muestra la relación que permite calcular la entropía en un sistema aislado:
Donde q representa el calor total que intercambia el sistema, T la temperatura en Kelvin, S B y S A representan la entropía de los estado B y A, respectivamente.
Así, en este trabajo se correlacionan el cambio de entalpía y entropía para el proceso de adsorción de acetaminofén en tres carbones activados con diferente química superficial a pH 2, 7 y 11. Se evalúa el efecto que tiene sobre las propiedades termodinámicas el grado de oxidación de la superficie adsorbente, así como la presencia de cargas debido a la ionización de los grupos funcionales en el acetaminofén y en el carbón activado.
Materiales y métodos
Carbones activados
El proceso de adsorción de acetaminofén se llevó a cabo en tres carbones activados con diferente grado de oxidación. Se partió de un carbón activado granular (CAG), carbón activado comercial CARBOCHEM™- PS 230 (EE. UU) preparado a partir de cáscara de coco y activación física con CO2. Se llamó muestra CAO a la que se obtuvo a partir de la oxidación del carbón activado CAG con ácido nítrico 6 M por 6 h a temperatura de ebullición. Se llamó carbón activado CAR al que se obtuvo a partir de someter a calentamiento por 2 h el carbón activado CAG a 900 oC en atmósfera de nitrógeno con una rampa de calentamiento de 2 oC min-1.
Caracterización física
El área superficial de los carbones activados se determinó mediante adsorción de nitrógeno a 77 K en un equipo Quantachrome Autosorb 3B. Se tomaron 100 mg de la muestra de carbón activado, se realizó una desgasificación a 250 oC, a una presión de 4 μm Hg por 12 h para retirar el exceso de humedad.
Se realizó la adsorción de nitrógeno y, a los datos obtenidos, se les aplicó el modelo de Brunauer-Emmett-Teller para calcular el área superficial BET.
Determinación de grupos funcionales
Los valores de acidez y basicidad total, así como la cuantificación de grupos funcionales, fueron evaluados por el método de Boehm 9. Esta metodología consiste en una titulación potenciométrica por retroceso de los grupos ácidos y básicos presentes en el carbón activado.
En una balanza Ohaus Pioneer PA 114 (EE.UU), con una precisión de 10 mg, se pesaron alrededor de 500 mg del carbón activado CAG en recipientes herméticos de vidrio. Se adicionaron 50 mL de una solución 0,1 M de NaOH, se mantuvo a temperatura ambiente (20 oC ± 1 oC) por cinco días y con agitación constante de 100 rpm. Posteriormente, se tomó una alícuota de 10 mL del sobrenadante y se tituló con HCl usando un potenciómetro CG840 Schoot (Alemania). El procedimiento anterior se repitió utilizando como líquidos de inmersión carbonato de sodio (Na2CO3) y bicarbonato de sodio (NaHCO3). Las titulaciones con NaOH permitieron cuantificar ácidos carboxílicos, fenoles y lactonas; las titulaciones con Na2CO3, ácidos carboxílicos y lactonas y, finalmente, las titulaciones con NaHCO3 permitieron cuantificar ácidos carboxílicos.
Para la cuantificación de grupos básicos se repitió el procedimiento anterior en nuevas muestras de carbón activado CAG. Sin embargo, en lugar de adicionar NaOH, se adicionaron 50 mL de HCl 0,1 M y la alícuota de 10 mL se tituló con NaOH. Las soluciones de HCl y NaOH fueron estandarizadas con ácido bórico y biftalato de potasio, previamente. El procedimiento descrito se repitió con las muestras de carbón activado CAO y CAR.
Determinación del pH en el punto de carga cero, pH PCC
Se determinó el punto de carga cero mediante el método de titulación de masas. El procedimiento consistió en pesar entre 50 y 500 mg de carbón activado en recipientes de vidrio herméticos, a los cuales se les adicionaron 10 mL de una solución de cloruro de sodio (NaCl) 0,1 M. El almacenamiento se realizó durante cinco días a temperatura ambiente (20 oC ± 1 oC) y agitación constante de 100 rpm. Finalmente, se midió el pH de cada solución 10.
Los equipos usados en esta metodología corresponden a los mismos de la sección determinación de grupos funcionales.
Determinación de las isotermas de adsorción
El proceso de adsorción se realizó en un rango de concentraciones entre 0,066 mmol L-1 y 6,6 mmol L-1.
En un balanza Ohaus Pioneer PA 114 (EE.UU) se pesaron 100 mg del carbón activado CAG en recipientes de vidrio color ambar y se adicionaron 25 mL de la solución de acetaminofén de la concentración que corresponda. Los recipientes se mantuvieron a temperatura ambiente (20 oC ± 1 oC) y con agitación esporádica durante 10 días. Una vez alcanzado el tiempo de equilibrio, las soluciones se filtraron y se determinó la concentración de equilibrio por espectrofotometría UV-vis en un equipo Genesys 0.1 (EE. UU) a una longitud de onda máxima λ max de 242 nm. En el caso de las isotermas determinadas a pH básico, la longitud de onda máxima λ max fue 256 nm.
La ecuación [3] muestra la relación matemática usada para determinar la cantidad de acetaminofén adsorbida en el carbón activado:
Donde Q o representa la cantidad adsorbida, C o la concentración inicial, C e la concentración en equilibrio, V el volumen de solución usado y m la cantidad de carbón activado puesto en contacto con la solución de acetaminofén.
Las soluciones de acetaminofén se prepararon con acetaminofén grado reactivo marca ALFA (EE.UU) al 98% de pureza y agua destilada. En el caso de las isotermas a pH ácido, se usó como medio una solución de HCl 0,01 M y para medio básico se usó una solución de NaOH de 0,001 M. El procedimiento se repitió para los carbones activados CAO y CAR.
Determinación de la entalpía de inmersión
Se determinó la entalpía de inmersión de los carbones activados CAG, CAO y CAR en soluciones acuosas de acetaminofén entre 0,066 y 6,6 mmoles L-1 a pH 2, 7 y 11, así como en agua, benceno, ácido clorhídrico e hidróxido de sodio.
La calorimetría de inmersión se llevó a cabo en un microcalorímetro de conducción de calor con una celda en acero inoxidable de 15 mL en capacidad, en la cual se depositaron 10 mL del líquido de inmersión.
Se pesaron 100 mg del carbón activado CAG, CAO o CAR en una balanza Ohaus Pioneer PA 114 (EE.UU) con precisión de 10 mg en una ampolleta de vidrio con un pico frágil y se dispuso en la celda calorimétrica. Se inició la captura del potencial eléctrico por el tiempo necesario hasta lograr línea base. Se realizó la inmersión de la muestra y se registró el aumento de potencial debido al mojado del sólido. Una vez se regresó a la línea base se procedió a realizar una calibración eléctrica.
Resultados y discusión
Caracterización fisicoquímica
La Tabla 1 muestra las características fisicoquímicas y la estructura química del acetaminofén (N-acetil-p-aminofenol). Esta molécula es un ácido débil con un pKa de 9.4, a este pH la mitad de la concentración del acetaminofén se encuentra en forma el fenolato, tras la disociación del hidrógeno del grupo fenol 11.
Aunque las propiedades fisicoquímicas del adsorbato determinan algunas características del proceso de adsorción, son las propiedades del adsorbente las más relevantes durante el proceso. A los carbones activados estudiados se les realizó una caracterización física y química cuyos resultados se muestra en la Tabla 2. El carbón activado con menor área superficial aparente es el CAO (810 m2 g-1), seguido del carbón activado CAG y, posteriormente, el carbón activado CAR. Esto indica que los procesos de reducción térmica favorecen la aparición de área superficial, debido a la reducción de grupos químicos presentes en la superficie del carbón activado. Dichos grupos químicos pueden impedir la correcta adsorción de nitrógeno, obstruyendo la entrada de los poros. Lo anterior genera problemas de difusión de la molécula de nitrógeno y una disminución en su adsorción 12.
Tabla 2 Características fisicoquímicas de los carbones activados CAO, CAG, CAR.
| Propiedad Fisicoquímica | CAO | CAG | CAR |
| Area superficial (m2 g-1) | 810 | 864 | 1273 |
| Ácidos Carboxílicos (moléculas nm2)-1 | 0,197 | 0,029 | 0,00 |
| Fenoles (moléculas nm2)-1 | 0,054 | 0,061 | 0,029 |
| Lactonas (moléculas nm2)-1 | 0,039 | 0,029 | 0,008 |
| Basicidad Total | 0,036 | 0,065 | 0,141 |
| pH pcc | 3,4 | 5,4 | 8,9 |
Las modificaciones químicas realizadas al carbón activado CAG muestran que, para los procesos de oxidación con HNO3, se incrementan preferencialmente grupos funcionales como ácidos carboxílicos y lactonas. Se encuentra que, con respecto a la muestra de partida, la cantidad de fenoles disminuye debido a la condensación entre grupos fenoles y ácidos carboxílicos adyacentes. En consecuencia, el pH del punto de carga cero (pHpcc) se encuentra a valores de pH ácido y de ahí es de esperar que esta muestra sea de carácter hidrofílico debido a la presencia de grupos oxigenados capaces de formar puentes de hidrógeno con el solvente 13.
Dado que la cáscara de coco está constituida por lignina y celulosa, polímeros ricos en alcoholes aromáticos y regiones carbonosas que, tras el proceso de carbonización y activación, dan origen a las capas grafénicas, en la muestra de carbón activado CAG, los grupos funcionales mayoritarios son los fenoles, provienentes de la materia prima, 14. Debido a la presencia de grupos ácidos y básicos en la superficie del carbón activado granular CAG, se espera un comportamiento anfipático que se refleja en un pH de punto de carga cero mayor al del carbón activado oxidado (CAO).
El carbón activado CAR, debido a su proceso de reducción térmica posee menor cantidad de grupos funcionales en la superficie. Se puede ver en la Tabla 2 que este carbón activado no posee una cantidad de grupos ácidos carboxílicos detectables mediante la metodología descrita por Boehm 9. Esto puede ser corroborado si se tiene en cuenta que este grupo funcional presenta inestabilidad térmica a partir de temperaturas mayores a 400 oC, por lo tanto, como la temperatura de reducción seleccionada para este trabajo sobrepasa este límite (900 oC), es posible que se hayan reducido a CO2 todos los ácidos carboxílicos presentes en la muestra CAG.
Debido a que el carbón activado está constituido por capas aromáticas intercruzadas de manera aleatoria, se generan distorsiones en las nubes electrónicas del esqueleto carbonoso del adsorbente y la formación de pares electrónicos desapareados y valencias incompletas que le confiaren a la superficie propiedades de acidez y basicidad de acuerdo con la teoría propuesta por Lewis.
Por lo tanto, el carbón activado CAR posee mayor basicidad debido a que tiene una mayor cantidad de electrones π para ceder, no solo por el desarreglo de las nubes electrónicas del benceno sino por la ruptura de enlaces en los grupos funcionales superficiales que se redujeron durante el tratamiento térmico 15.
Efecto del pH sobre el equilibrio de adsorción de acetaminofén en carbones activados
En trabajos anteriores 16 , 17 se describió el comportamiento de adsorción del acetaminofén en los carbones activados CAO, CAG y CAR a pH 2, 7 y 11. Allí se pudo observar que la capacidad de adsorción del acetaminofén disminuye a medida que incrementa el grado de oxidación de la superficie de los carbones activados. Este comportamiento se atribuye a la polaridad de la superficie debido al alto contenido de grupos oxigenados.
Por otro lado, la adsorción de acetaminofén en los carbones activados CAG y CAR se favorece en este último debido a la basicidad que posee. Esto facilita la formación de interacciones ácido-base entre las estructuras resonantes del acetaminofén y los electrones π que posee este carbón activado, que actúan como nucleófilos durante las reacciones de sustitución nucleofílica.
Los valores de pH extremos no favorecen la adsorción del acetaminofén dado que a pH 2 los iones H3O+ interactúan con los electrones π de las capas grafénicas del carbón activado impidiendo que estos interactúen con los electrones π del anillo aromático del acetaminofén.
A pH 11, la mayoría de los grupos oxigenados presentes en los carbones activados se encuentran ionizados con carga negativa al igual que el acetaminofén, por lo tanto, se generan efectos repulsivos que disminuyen la capacidad de adsorción.
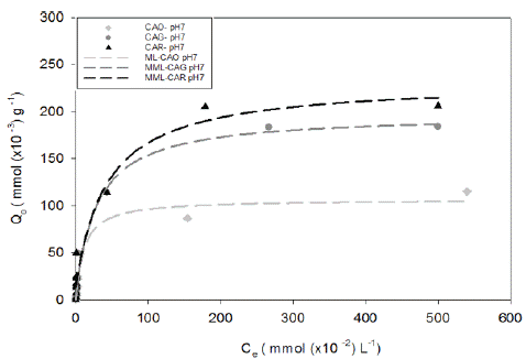
Las Figuras 1, 2 y 3 muestran los datos de adsorción obtenidos para el acetaminofén en los carbones activados CAO, CAG y CAR. Se realizó el ajuste matemático de los datos con el modelo de Langmuir (ML) y modelo modificado de Langmuir (MML) 6.

Figura 1 Isotermas de adsorción de Acetaminofén en los carbones activados CAO, CAG y CAR a pH 2. T = 20 oC ± 1 oC.

Figura 2 Isotermas de adsorción de Acetaminofén en los carbones activados CAO, CAG y CAR a pH 7. T = 20 oC ± 1 oC.

Figura 3 Isotermas de adsorción de Acetaminofén en los carbones activados CAO, CAG y CAR a pH 11. T = 20 oC ± 1 oC.
El modelo de Langmuir (ML) se expresa matemáticamente como [4]:
Donde q e representa la cantidad adsorbida en cada punto de concentración, Q m la cantidad máxima adsorbida, C e la concentración en equilibrio y K L es una contante asociada al modelo.
Este modelo se aplica a superficies homogéneas en las cuales el adsorbato interactua específicamente con los grupos superficiales del adsorbente, sin que se presenten interacciones laterales (adsorbato-adsorbato).
Esto conlleva a la formación de una monocapa que se asocia a la máxima cantidad de adsorción; se asume que la energía es igual en todos los sitios de adsorción 6. El modelo modificado de Langmuir (MML) es derivado del modelo mencionado anteriormente, la ecuación [5] lo describe matemáticamente así:
La ecuación [4] difiere de la ecuación [5] en la adición de la constante K HB . Esta constante se considera la capacidad de adsorción asociada a las interacciones por fuerzas de London entre regiones hidrofóbicas del adsorbente y del adsorbato 6.
El modelo MML presenta ventajas sobre el modelo descrito por Lang-muir para describir la adsorción en carbones activados, puesto que tiene en cuenta el carácter heterogéneo de estos adsorbentes, al asumir que las superficies carbonosas están compuestas por regiones hidrofóbicas y una variedad de grupos superficiales de carácter polar 6. Se seleccionaron estos modelos porque la adsorción de compuestos poco polares en solución acuosa sobre carbones activados presenta diferentes mecanismos de adsorción que incluyen fuerzas de Keesom, Fuerzas de Debye, puentes de hidrógeno e interacciones iónicas. Estas interacciones son contempladas en el modelo de Langmuir y se dirigen el proceso por vía entálpica.
Por otro lado, la adsorción debida a las interacciones por fuerzas de London dirige el proceso por vía entrópica y se pueden ajustar al modelo modificado de Langmuir. La Tabla 3 muestra los parámetros de los modelos ML y MML para la adsorción de acetaminofén en los carbones activados CAO, CAG y CAR.
Tabla 3 Parámetros de los modelos ML y MML para la adsorción de acetaminofén en los carbones activados CAO, CAG y CAR.
De los resultados obtenidos en la Tabla 3 se observa que la máxima capacidad de adsorción asociada a interacciones específicas se alcanza a pH 7 en el orden CAR > CAG > CAO. Adicionalmente, no todos los datos se ajustan al modelo MML, por ejemplo, la adsorción sobre CAO se ajustó el modelo de Langmuir y se interpreta que el proceso se lleva a cabo en una superficie con alta polaridad y mayor homogeneidad química (alta cantidad de grupos ácidos carboxílicos).
La constante KHB posee valores menores a los determinados para Qm en todos los casos. Esto indica que la adsorción de compuestos como el acetaminofén requiere la formación de interacciones específicas entre los grupos funcionales presentes en el adsorbato (fenol y amida) y grupos en la superficie del carbón activado. Sin embargo, se encontró que los valores de la constante KHB son mayores para el proceso de adsorción llevado a cabo en el carbón activado CAR a pH 7, seguido del carbón activado CAG a pH 2. Por último se encontraron las constantes KHB determinadas para el proceso a pH 11. Se esperaba que estas constantes fueran más altas debido a que a este pH tanto el acetaminofén como las superficies de todos los carbones poseen carga negativa y, por lo tanto, prevalecen los efectos repulsivos.
Los valores de la constante KHB, determinados para los procesos de adsorción llevados a cabo en el carbón activado CAR, son mayores debido a que este carbón posee mayor área superficial (ver Tabla 2) y, por lo tanto, mayor cantidad de regiones hidrofóbicas disponibles para interactuar con el anillo aromático del acetaminofén.
Es posible que las interacciones hidrofóbicas aumenten en el CAG a pH 2 debido a que a este pH posee carga positiva, disminuyendo la interacción con el solvente (H2O y H+) e incrementando las interacciones específicas y no especificas con el acetaminofén.
Efecto de la química superficial y el pH en la entropía de adsorción
El cambio en la entropía de adsorción se determinó a partir de la ecuación de Gibbs - Helmontz aplicada a los datos de adsorción. Los valores de energía de Gibbs y entalpía de inmersión se encuentran reportados en un trabajo anterior 16.
Maszkowska et al.18 realizaron estudios de adsorción de fármacos en suelo y determinaron el cambio en las funciones termodinamicas de energía de Gibbs y el cambio de entalpía y entropía a partir de la constante de equilibrio determinada por el modelo de Langmuir y la ecuación de Van't Hoff.
Con el método reportado por Maszkowska se puede obtener el cambio total de entropía para el proceso de adsorción. En este trabajo presentamos los resultados de esta función termodinámica usando los valores de entalpía de inmersión y, de esta manera, es posible calcular los valores de AS teniendo en cuenta los valores de las interacciones reales que se llevan a cabo cuando el adsorbente es puesto en contacto con una solución que contiene el analito de estudio.
La Figura 4 muestra el cambio de entropía en el carbón activado CAO en función de la concentración de acetaminofén en el medio. Se observa que la propiedad termodinámica disminuye levemente con el aumento en la concentración de adsorbato. Esto puede estar relacionado con la interacción carbón activado-acetaminofén y carbón activado H+/OH-. El cambio en la entropía a pH 2 es mayor que a pH 7 y 11. Esto se relaciona con el incremento en el número de moléculas de acetaminofén que pueden interactuar con el solvente y los iones H+ del medio que no se encuentran interactuando con la superficie del adsorbente.

Figura 4 Variación de la entropía de adsorción respecto a la cantidad inicial de acetaminofén para la adsorción en el carbón activado CAO.
A pH 11, los iones OH-, el acetaminofén y el carbón activado poseen carga negativa y, por lo tanto, no interactúan entre sí. Esto explica la disminución en AS con respecto al pH 2, puesto que, aunque existe la misma cantidad de especies en solución, a pH 2 existe la formación de interacciones, contrario a lo que sucede a pH 11.
A pH 7 se presenta la mayor capacidad de adsorción en el carbón activado CAO. Esto genera que el cambio de entropía presente un comportamiento intermedio al del pH 2 y 11, pues la propiedad termodinámica disminuye debido al proceso de adsorción.
Sin embargo, al presentarse interacciones acetaminofén-carbón activado y desplazar agua de la superficie del adsorbente, se genera un rearreglo momentáneo de la interfase que genera un incremento en la entropía.
Vijayakumar et al.19 muestran que para la adsorción de Rhodamina-B (colorante) en perlite, un adsorbente con alto contenido de oxígeno, los valores en el cambio de entropía disminuyen con la concentración de adsorbato. Los autores relacionan este comportamiento con la permanencia aleatoria del adsorbato en la superficie del adsorbente.
De acuerdo a los datos de la Tabla 3, los carbones activados CAG y CAR presentan mayores constantes KHB y por lo tanto mayor cantidad de interacciones por fuerzas de London asociadas a cambios entrópicos. A continuación se muestra en la Figura 5 los cambios de entropía asociados al proceso de adsorción de acetaminofén en los carbones activados CAG y CAR a pH 2, 7 y 11.
Se observa en las Figura 5 (a, b y c) que el cambio en la entropía aumenta de forma proporcional a la concentración de acetaminofén inicial hasta alcanzar su máximo nivel en el equilibrio.

Figura 5 Relación entre el cambio de entropía y la concentración inicial de acetaminofén para adsorción en los carbones activados CAG y CAR. (a) pH 2 (b) pH 7 (c) pH 11. Las líneas punteadas corresponden a la tendencia.
Esto podría atribuirse a que, en la solución, el acetaminofén tiene dos posibilidades de interacción (solvente-acetaminofén y acetaminofén-acetaminofén).
Al efectuarse el proceso de adsorción en el carbón activado aumentan las probabilidades de interacción ya que este adsorbente contiene diferentes funciones químicas sobre su superficie. Una vez se satura la superficie del adsorbente, la energía del sólido es compensada por la unión al adsorbato y el cambio en la entropía es constante.
De acuerdo a los datos de la Figura 5, el cambio en la entropía disminuye con el aumento en el pH.
Se atribuye este comportamiento a la disminución de interacciones en el sistema debido a que a pH 11 se presentan efectos repulsivos. En el caso de pH 7, el comportamiento es intermedio por la misma razón explicada para el carbón activado CAO. Así mismo, el cambio en la entropía es menor que a pH 2 debido a que hay menos especies en la solución y, por lo tanto, la variación de la entropía está asociada a la formación de interacciones con el adsorbente.
En la Figura 5 se evidencia que el cambio en la entropía depende de las características del carbón activado: a pH 2 y 7 el carbón activado CAG presenta mayor variación en esta propiedad debido a que este adsorbente posee mayor cantidad de grupos funcionales en su superficie. Por lo tanto, aumenta la probabilidad de que la molécula de acetaminofén pueda interactuar diferentes grupos funcionales con el adsorbente.
Por las razones contrarias aumenta el cambio en la entropía en el proceso llevado a cabo en el carbón activado CAR a pH 11. En este caso, la presencia de grupos funcionales ionizados con carga negativa desfavorece la formación de interacciones de Keesom y Debye entre el adsorbente y el adsorbato y, por lo tanto, interacciones de tipo dispersivo como las interacciones por electrones π que se favorecen a medida que incrementa el cambio en la entropía.
Cambios en la relación entalpía-entropía de adsorción
La entalpía de inmersión cuantifica la energía que se transfiere (en forma de calor) durante el contacto de un sólido con un líquido. En el caso de soluciones que contienen compuestos inorgánicos u orgánicos es posible asociar el calor determinado durante la calorimetría con la formación de interacciones solvente-adsorbente y adsorbato-adsorbente.
En un trabajo anterior 16 se relacionan los valores de entalpía de inmersión para los sistemas evaluados en este trabajo. En la Figura 6 se evidencia que para los valores de pH extremos (2 y 11) la entalpía de inmersión esta relacionada no solo con la capacidad de adsorción sino con el cambio entrópico del sistema: a pH 2 el carbón activado CAG presentó el cambio de entalpía más alto (∆Hinm = -74,35 J g-1). Esto indica que el carbón activado está interactuando con el adsorbato, con el solvente y con los iones H3O+, por lo cual, los valores de entropía son mayores (0,25 J g-1 K-1).
A pH 11 el carbón activado CAR presentó los valores de ∆Hinm más altos (-43,06 J g-1) y presentó el mayor cambio entrópico (0,15 J g-1 K-1), debido a la formación de interacciones de Keeson y Debye. Es relevante que, aunque los carbones activados interactúen con varias especies presentes en la solución, la capacidad de adsorción del acetaminofén no se ve afectada, dado que presentan las capacidades de adsorción más altas para estas condiciones.
A pH 7 el carbón activado CAO presentó el valor de entalpía de inmersión más alto (∆Hinm = -65,78 J g-1), al igual que el cambio en la entropía más alto (0,22 J g-1 K-1). Esto indica que para este adsorbente las propiedades termodinámicas están relacionadas con la formación de interacciones entre los grupos oxigenados presentes en el adsorbente y las moléculas de agua en el medio. Muestra de lo anterior es que este adsorbente a pH 7 presentó la capacidad de adsorción más baja.
En la Figura 6 se muestra la relación entre el cambio de entropía y entalpía que se presenta durante el proceso de adsorción de acetaminofén en carbones activados con diferente química superficial a pH 2, 7 y 11. Se evidenció que en todos los pH el cambio en la entalpía y entropía aumenta proporcionalmente debido al incremento en las interacciones que sufre el adsorbato al unirse al adsorbente. Sin embargo, los cambios energéticos dependen no solo del pH sino de las características fisicoquímicas del adsorbente.

Figura 6 Relación entre el cambio de entropía y entalpía de inmersión para la adsorción de acetaminofén en los carbones activados CAO, CAG y CAR. (a) pH 2 (b) pH 7 (c) pH 11.
A pH 2 (Figura 6a), la relación entre los cambios entálpicos y entrópicos es mayor en el CAG. En este caso, el aumento en las propiedades termodinámicas favoreció el proceso de adsorción dado que se alcanzó la mayor capacidad de adsorción (0,872 mmoles g-1). Esto indica que el acetaminofén tiene mayor afinidad con el carbón activado CAG debido a un mayor número de interacciones adsorbato-adsorbente. Este cambio en la entropía es mayor, debido a que este carbón activado posee una superficie química variada y, por lo tanto, incrementan las probabilidades de interacción entre el acetaminofén y diversos grupos funcionales superficiales.
Ahora bien, la polaridad del carbón activado CAO favorece la adhesión de moléculas de iones H+ y agua sobre la interfase, lo cual dificulta las interacciones adsorbente-adsorbato. Por tanto, la entalpía y la entropía disminuyen debido a la homogeneidad de los grupos químicos en la superficie, es decir, al adsorbato se le disminuyen las probabilidades de interactuar con la superficie si en ella se encuentran grupos químicos de un solo tipo. Debido a que el carbón activado CAO posee principalmente ácidos carboxílicos en su superficie, estos aumentan la densidad de carga negativa superficial y favorecen la adhesión de iones H+ que están unidos, a su vez, a la superficie del carbón activado por interacciones iónicas. Lo anterior implica que el acetaminofén no puede desplazar los iones fácilmente y, por tanto, el soluto permanece en la solución y no en el carbón activado.
La Figura 6 (b) muestra que, a medida que los grupos funcionales de carácter ácido disminuyen, las interacciones solvente-carbón activado bajan y, por lo tanto, disminuye el cambio en la entalpía y entropía. Las interacciones adsorbato-adsorbente se favorecen con la disminución de los grupos funcionales ácidos. Sin embargo, como el adsorbato se encuentra en menor cantidad con respecto al solvente, el aporte al calor total intercambiado en el sistema es menor y no se visualiza en el cambio de las funciones termodinámicas a este pH.
La Figura 6 (c) muestra la relación entre los cambios de las funciones de entalpía y entropía para la adsorción de acetaminofén en carbones activados con diferente química superficial a pH 11. Se muestra que el cambio en las funciones termodinámicas es mayor para el carbón activado CAR, debido al incremento de las interacciones adsorbato-adsorbente atribuidas a una mayor cantidad de electrones π que pueden interactuar con el adsorbato a pesar de las fuerzas de repulsión presentes en el sistema.
Conclusiones
Se evaluaron los datos de adsorción de acetaminofén en tres carbones activados con diferente química superficial a través de los modelos de Langmuir y modificado de Langmuir. Se determinó que la mayor capacidad obtenida mediante el modelo modificado de Langmuir corresponde a la adsorción realizada en el carbón activado CAR a pH 7 (Qm = 1,172 mmol g-1 y KHB = 1,46 x10-5 mmol g-1), seguido del carbón activado CAG a pH 7 (Qm = 0,868 mmol g-1 y KHB = 3,04 x10-5 mmol g-1). Los datos obtenidos con el carbón activado CAO se ajustaron al modelo de Langmuir. La máxima capacidad de adsorción corresponde al proceso realizado a pH 7 ( Qm = 0,709 mmol g-1).
Así mismo, se evaluó el cambio en la entropía de adsorción a través de la ecuación de Gibbs-Helmholtz. Se determinó que este parámetro disminuye junto con el pH: a pH 2, los valores de entropía se encuentran entre 0,12 J g -1 K -1 y 0,25 J g -1 K -1; a pH 7 los valores de cambio de entropía están entre 0,12 J g -1 K -1 y 0,22 J g -1 K -1 y, finalmente, a pH 11 los valores se encuentran entre 0,086 J g -1 K -1 y 0,15 J g -1 K -1.
A valores de pH 2 y 11, los valores de entalpía de inmersión, cambio de entropía y capacidad máxima de adsorción son directamente proporcionales. A pH 2, el carbón activado CAG posee la mayor capacidad de adsorción y, a su vez, los valores más altos en las propiedades termodínamicas (Qm = 0,872 mmol g-1, ∆Himn = -74,35 J g -1 y AS = 0,25 J g -1 K A pH 11, el carbón activado CAR presenta los valores de adsorción más altos (Qm = 0,854 mmol g-1, ∆Himn = -43,06 J g -1 y AS = 0,15 J g -1 K Esto indica que el incremento en los cambios de la entalpía y entropía están asociados al aumento de las interacciones en el sistema. Sin embargo, aunque se presenten interacciones solvente-adsorbente, estás no afectan la capacidad de adsorción bajo las condiciones de pH respectivas.
Finalmente, a pH 7 el carbón activado CAO presentó los valores de entalpía de inmersión y entropía más altos (∆Himn = -65,79 J g -1 y AS = 0,22 J g -1 K
Sin embargo, su capacidad de adsorción fue menor (Qm = 0,709 mmol g-1). Esto está relacionado con la formación de interacciones solvente-carbón activado, debido a que el agua presenta mayor polaridad que el acetaminofén.



















