Services on Demand
Journal
Article
Indicators
-
Cited by SciELO -
Access statistics
Related links
-
Cited by Google -
Similars in
SciELO -
Similars in Google
Share
Revista Facultad Nacional de Salud Pública
Print version ISSN 0120-386XOn-line version ISSN 2256-3334
Rev. Fac. Nac. Salud Pública vol.28 no.3 Medellín Sept./Dec. 2010
INVESTIGACIONES
La segunda transición demográfica y el nivel de desarrollo de los departamentos de Colombia, 2005
The second demographic transition and the development level of Colombia departments, 2005
Isabel C. Grajales A1; Doris Cardona A2.
1 Profesional en Gerencia de Sistemas de Información en Salud, Magíster en Epidemiología. Correo electrónico: isabel.grajales@medellin.gov. co, leisagra@yahoo.es.
2 Administradora de Empresas, Magíster en Salud Pública, Magíster en Epidemiología. Correo electrónico: doris.cardona@gmail.com.
Grajales IC, Cardona D. La segunda transición demográfica y el nivel de desarrollo de los departamentos de Colombia, 2005. Medellín, 2008. Rev. Fac. Nac. Salud Pública 2011; 28(3): 209-220.
RESUMEN
OBJETIVO: analizar el comportamiento de algunas características demográficas para cada departamento, con el fin de identificar el estado de la transición demográfica en que se encuentra cada uno y su relación con el nivel de desarrollo alcanzado.
METODOLOGIA: estudio descriptivo con información secundaria publicada por el Departamento Administrativo Nacional de Estadística y por el Departamento Nacional de Planeación.
RESULTADOS: la tasa global de fecundidad del país en el 2005 fue de 2,5. Chocó reportó la más alta y Bogotá, la más baja. El 67% de los departamentos registraron tasas superiores al promedio del país. La tasa de mortalidad infantil del país fue de 24,5; las más bajas se registraron en Valle, Caldas y Bogotá; las más altas, en Arauca y Chocó. El 26,6% de los departamentos han avanzado en el proceso de transición demográfica; 67% de ellos se clasifican en rezago. Existe relación entre el índice de transición demográfica y los indicadores de desarrollo.
CONCLUSION: aunque algunos departamentos logran un nivel avanzado de transición demográfica, la mayoría aún presenta altas tasas de mortalidad infantil o fecundidad que los mantiene rezagados. Las desigualdades en las condiciones de vida de los departamentos del país podrían estar influenciando el comportamiento de los componentes demográficos analizados.
Palabras clave: transición demográfica, fecundidad, tasa mortalidad infantil, Colombia.
ABSTRACT
OBJECTIVE: to analyze the behavior of some demographic characteristics for each department to identify the state of demographic transition and its relationship to the development level.
METHODOLOGY: descriptive study based on secondary information sources published by the National Statistics Department and the National Planning Department.
RESULTS: the global fertility rate of the country was 2.5 in 2005. Chocó reported the highest rate whereas Bogotá reported the lowest. A total of 67% of Colombian states registered higher rates than the average rate in the country. Mortality rate of children in the country was 24.5, with the lowest rates registered in El Valle, Caldas, and Bogotá. The highest rates were registered in Arauca and Chocó. 26.6% of Colombian states show some advance in the demographic transition process. By contrast, 67% of the states are classified as lagged behind. There is a relation between the demographic transition index and the development indicators.
CONCLUSION: Although some departments reach an advanced level of demographic transition, most of them still show high rates of infant mortality or fecundity which keep them behind in this process. Inequalities in living conditions of the country’s departments could be influencing the behavior of the demographic components analyzed.
Key words: demographic transition, development, Colombia, fecundity.
Introducción
La transición demográfica es un concepto que surge de la observación de cambios en la población de los países occidentales, los cuales evolucionaron desde altos niveles de mortalidad y fecundidad a bajos niveles de ambos indicadores, como consecuencia de las transformaciones sociales y económicas posteriores a la modernización industrial (1, 2).
Este proceso se inicia con el descenso en la mortalidad, seguido por el aumento de la sobrevivencia infantil, lo que genera como consecuencia el incremento del tamaño de familia y de las poblaciones en general (explosión demográfica). Posteriormente, la modernización, la urbanización, la industrialización y los drásticos cambios en el entorno social y económico favorecieron el descenso de la fecundidad como resultado, principalmente, del uso de anticonceptivos (2).
Entre 1930 y 1945 aparecieron las primeras aproximaciones a la teoría de la transición demográfica, y a partir de 1960 se empieza a hablar de la segunda transición demográfica, que se ha documentado a partir del cambio de comportamiento de las variables demográficas, especialmente las relacionadas con la fecundidad, la disolución de la familia y de las uniones (incremento de la soltería, retraso del matrimonio, expansión de las uniones consensuales, expansión de los nacimientos por fuera del matrimonio y postergación del nacimiento del primer hijo, entre otros) (3).
Esta segunda transición demográfica no es un hecho aislado, por el contrario está condicionada por factores sociales y económicos, tales como el nivel educativo especialmente de las mujeres, la disponibilidad de servicios de saneamiento básico y agua potable, los niveles de empleo e ingresos de la población, los patrones culturales, entre otros factores determinantes de las condiciones de vida de la población; a mejores condiciones de vida, mayor grado de avance en el proceso de transición demográfica (4).
A diferencia de la primera transición demográfica, cuyos componentes centrales eran las tendencias de la fecundidad y la mortalidad, la segunda se caracteriza por la relativa estabilidad de ambos indicadores en niveles muy bajos, especialmente la fecundidad con niveles inferiores al de remplazo (dos hijos al menos por mujer) (2). En el mundo, la segunda transición demográfica se ha caracterizado por la extrema rapidez y el marcado descenso de la fecundidad en todos los grupos de edad; la tasa global de fecundidad (TGF), número promedio de hijos nacidos vivos que una mujer alcanzará al final de su vida reproductiva, ha sido un indicador sintético fundamental en el análisis del crecimiento poblacional.
En algunos países, la reducción del indicador se ha relacionado con la búsqueda de autonomía y de relaciones igualitarias entre los sexos, el nivel educativo y la adopción de nuevos estilos de vida, lo cual ha sido posible gracias a la difusión y eficacia de la moderna tecnología anticonceptiva y de la reivindicación de los derechos de la mujer (4).
A pesar de que existe gran heterogeneidad en los cambios demográficos entre los países de América latina, en todos se ha observado disminución de los niveles de mortalidad y fecundidad, medido a través de la tasa global de fecundidad, la esperanza de vida (EV) y la tasa de mortalidad infantil (TMI), lo cual se ha asociado con la segunda transición demográfica (5).
Según los datos publicados para Colombia en el 2005, la TGF del quinquenio 1990-1995 fue de 3,01 hijos por mujer, y del quinquenio 2000-2005 fue de 2,62; la TMI pasó de 35,2 muertes en menores de un año por cada 10.000 nacidos vivos en 1990-1995 a 15,9 en 2000- 2005, lo cual evidencia el descenso de estos indicadores durante los últimos quince años (3).
Según Flórez y Soto (6), los resultados de las últimas encuestas nacionales de demografía y salud del departamento de publicaciones del Banco Interamericano de Desarrollo, indican que Colombia se clasificó en un nivel bajo de fecundidad (TGF de 2,4 en el 2005). En cuanto a la transición demográfica, el Ministerio de Salud concluyó en 1994 que el país se encontraba en una fase intermedia del proceso, con niveles de natalidad, mortalidad y crecimiento similares a los alcanzados por el conjunto de países suramericanos y asiáticos y muy por debajo de los registrados en África (7). En el 2005, el Centro Latinoamericano de Demografía (Celade) clasificó a Colombia en plena transición, dado el nivel moderado de la natalidad y la mortalidad, lo que determina un crecimiento natural moderado, cercano al 2% (entre 1,7 y 2,5%) (8).
La transición demográfica no es un proceso independiente, pues esta íntimamente relacionada con el avance en una serie de indicadores de desarrollo social; tal es el caso de indicadores como el índice de desarrollo humano (IDH), que permiten visualizar el impacto de la actividad productiva y social sobre el nivel de desarrollo de las poblaciones. Los cambios en el IDH se relacionan directamente con la variación de los indicadores que lo componen (índice de logro educativo, índice de esperanza de vida e índice de PIB), y estos, a su vez, con los cambios en los indicadores demográficos y, en particular, con los que dan cuentan de la transición demográfica.
A pesar de que en los análisis hechos a escala mundial y regional, Colombia ha sido clasificada como un país en plena transición ’dada la heterogeneidad en el comportamiento de las variables poblacionales entre las regiones que lo conforman’, es importante hacer un análisis de estos indicadores en el país, con el fin de verificar el estado de la transición en la que se encuentra cada uno de sus departamentos; por ello, el objeto del presente estudio es analizar el comportamiento de algunas características demográficas para cada departamento, con el fin de identificar el estado de la transición demográfica en que se encuentra cada uno.
Metodología
Se realizó un estudio descriptivo con el fin de evaluar el estado de la transición demográfica en que se encuentra cada departamento del país y la relación del comportamiento de estas variables con el nivel de desarrollo alcanzado, a partir de las tasas de fecundidad, mortalidad infantil y algunos indicadores de las condiciones de vida de la población.
Se utilizaron fuentes de información secundarias; datos publicados por el Departamento Nacional de Estadística (DANE) y por el Departamento Nacional de Planeación (DNP). Para el análisis de la fecundidad, la mortalidad y el índice de transición demográfica, se utilizó la información del censo 2005 y las proyecciones nacionales y departamentales de población 2006-2020 (9). La información relacionada con las condiciones de vida se tomaron del boletín publicado por el Departamento Nacional de Planeación sobre los indicadores sociales departamentales (10).
Inicialmente se hizo un análisis individual de cada indicador: tasa global de fecundidad y tasa de mortalidad infantil, con el fin de describir el comportamiento en el país y por departamento. Se tomaron estos indicadores claves para evaluar la calidad de vida de una población: a menores TMI y TGF correspondía mayor grado de avance en el proceso de transición y mayor calidad de vida.
Posteriormente, se calculó el índice de transición demográfica general y para cada uno de los departamentos. Para el análisis de la transición demográfica se han construido y utilizado diferentes indicadores y metodologías; en este caso se utilizó el propuesto por el Ministerio de Salud en el año 1994 (7), que se construye a partir de la comparación de TMI y la TGF de cada departamento con relación a la tasa del país. Con este indicador se evaluó el porcentaje de avance o retraso frente al nivel nacional.
Los referentes que se tuvieron en cuenta para la clasificación del estado de la transición demográfica se pueden observar en la tabla 1.
Tabla 1. Nivel de clasificación para el estado de la transición demográfica.

Con la información de los indicadores sociales, se hizo un análisis del comportamiento en cada uno de los departamentos y, finalmente, se calculó el índice de necesidades en salud (11), que se comparó con el índice de transición demográfica. Este análisis permitió evaluar la relación de estos dos indicadores y el comportamiento de los mismos dentro del país. Para el análisis de los datos se utilizaron paquetes computacionales: Epidat, versión 3,1 (licencia gratuita), SPSSS, versión 15 (licencia de la Universidad Antioquia).
Resultados
Según el censo nacional de población y vivienda, en el 2005 Colombia contaba con 41.468.384 habitantes, de los cuales el 51% son mujeres; de estas, 53% se encontraban en edad reproductiva (entre 15 y 49 años). Geográficamente, el país se encontraba dividido en 33 departamentos, a los cuales se realizó operativo censal; todos ellos fueron objeto de estudio. Según las cifras de estadísticas vitales publicadas por el Departamento Nacional de Estadística (DANE), en el 2005 se registraron 719.968 nacimientos y 11.456 muertes en niños menores de un año en todo el país.
Fecundidad por departamento
La fecundidad es un elemento clave para evaluar el estado de la transición demográfica: niveles bajos en estos indicadores indican mayor avance en el proceso de transición. El indicador utilizado con mayor frecuencia para ello es la tasa global de fecundidad (TGF), indicador asociado directamente con el crecimiento poblacional.
Las TGF de los departamentos del país, según la información de conciliación censal 2005 publicada por el DANE, presentaron una gran diversidad, desde tasas muy bajas, por debajo del nivel de remplazo (TGF igual a 2) hasta tasa altas, superiores a cuatro hijos por mujer (tabla 2).
Tabla 2. Tasa global de fecundidad, tasa de mortalidad infantil e índice de transición demográfica por departamento, Colombia, 2005.

La tasa global de fecundidad para el país fue de 2,0, lo que indica que el número promedio de hijos de una mujer en Colombia al finalizar su edad reproductiva fue de 2,5 hijos; la TGF más alta fue la del departamento del Chocó (1,6) y la más baja, la de Bogotá (1,8); siguen los departamentos de Valle del Cauca, Risaralda (1,8), Antioquia y Santander (2,1). Solo Bogotá reportó tasa por debajo del nivel de remplazo (tabla 2).
Nueve de los 30 departamentos presentaron tasas TGF inferiores a la del país; 18 reportaron tasas con valores entre dos y tres hijos por mujer y ocho departamentos reportaron tasas superiores a tres hijos por mujer. El 67% de los departamentos registraron tasas superiores a la tasa del país. Solo Arauca reportó una tasa superior a 4, que duplican las tasas de los departamentos con niveles más bajos (Bogotá, Valle y Risaralda) y que, incluso, representan casi dos veces la tasa del total del país (tabla 2).
Al evaluar este indicador a la luz de las teorías de la transición demográfica, se encontró que 30% de los departamentos del país se encuentra en un nivel de fecundidad bajo (1,8-2,4 hijos por mujer); 53% de los departamentos se clasifican en un nivel de fecundidad medio bajo (2,5-3,4 hijos por mujer) y 17% restante estaría en el nivel medio alto (3,5-4,4 hijos por mujer).
Mortalidad infantil por departamento
La mortalidad infantil es un indicador fundamental para evaluar el nivel de desarrollo y el nivel de salud de una región o un país.
La tasa de mortalidad infantil (TMI) para el país, según los datos publicados por el DANE para el 2005, fue de 15,9 muertes en niños menores de un año por cada mil nacidos vivos. La TMI más baja se registró en el departamento de Sucre (TMI 11,2), seguida por el departamento de Nariño y por Santander. Las TMI más altas fueron las de los departamentos de Guainía y Chocó (TMI de 40,5 y 32,8, respectivamente), indicadores que duplican el total del país y que son cuatro veces mayores a las registradas en otros departamentos (tabla 2).
Las TMI de los departamentos de Antioquia y Valle del Cauca, así como de Bogotá, fueron de alrededor de 20 muertes por cada mil nacidos vivos, inferiores a la del promedio nacional. El 70% de los departamentos reportan tasas de mortalidad infantil superiores a la del país y solo la tasa de Bogotá es inferior a 20 muertes en menores de un año.
Evaluación del índice de transición demográfica
El Índice de transición demográfica es un indicador que permite evaluar el estado de la transición en que se encuentra cada región o país a partir de la tasa de mortalidad infantil (TMI) y la tasa global de fecundidad (TGF), como se ilustra en la figura 1, donde los departamento del país se encuentran divididos en tres grupos con relación a este indicador: en la parte superior se encuentran los departamentos con un índice de transición mayor de 5% con relación al del país (nivel de avance). Entre los ocho departamentos que se ubican en la categoría de mayor avance en el proceso de transición, no todos se encuentran en el mismo nivel: hay departamentos en un nivel de avance incipiente, como son los casos de Santander y Quindío, hasta otros con marcado avance, como son los casos de Bogotá y Valle del Cauca, que registran los mayores índices (figura 1).

Figura 1. Colombia, índice de transición demográfica por departamento, 2005.
En la parte central, se encuentran los departamentos con índice de transición promedio (entre 5 y -5%), cercanos al nivel de referencia o valor promedio nacional.
En este grupo se ubica solamente el departamento de Atlántico, con índice de 0,98, muy cercano a nivel de referencia.
En el último grupo se encuentran 20 departamentos (67% de departamentos del país) todos ellos con índice inferior a ’5% que los clasifica en el nivel de rezago: Chocó, Arauca y el grupo de Amazonas, algunos de ellos con valores superiores a ’50% e, incluso, por encima de ’100%, como es el caso de Chocó. Los departamentos en rezago con menor índice son Cundinamarca y Santander, con valores cercanos a ’7%. Es importante anotar que en estos 20 departamentos vive alrededor de 45% del total de la población del país (figura 1).
En general, solo 26,6% de los departamentos del país han avanzado en el proceso de transición, y se registra un nivel de mayor avance en las principales ciudades capitales, así como en Bogotá, Valle del cauca, Caldas y Antioquia.
Transición demográfica y nivel de desarrollo
Índice de desarrollo humano (IDH)
Según la información publicada por el Departamento Nacional de Planeación, los avances en estos indicadores en el país no son homogéneos; por el contrario, se presentan considerables brechas sociales, demográficas y económicas entre los departamentos. En el 2005, solo los departamentos de Cundinamarca, Atlántico, Antioquia, Valle y Santander, además de Bogotá, presentaron un IDH por encima del promedio nacional (0,78). Los departamentos que reportan valores más bajos en este indicador son Cauca, Nariño, Sucre, Caquetá y Choco; y este último reporta menor valor (0,67). Este indicador muestra en los departamentos un patrón similar al reportado en el índice de transición tratado en la sesión anterior (tabla 3).
Tabla 3. Indicadores de desarrollo en los departamentos de Colombia, 2005.

Índice de logro educativo
Este indicador permite evaluar conjuntamente el nivel de alfabetización de la población adulta y la tasa de escolarización en los diferentes niveles (primaria, secundaria y superior), lo que permite hacer una valoración del desarrollo de capacidades de la población. En la información sobre el índice educativo publicada por el Departamento Nacional de Planeación para el 2005, se aprecia un pequeño avance en la mayoría de los departamentos; se reportan en el 2005 valores superiores a 0,80, con excepción del Chocó, que obtuvo un índice educativo de 0,76, muy por debajo del promedio nacional (0,86). El 80% de los departamentos presentan índices de logro educativo por debajo del promedio nacional, y solo Bogotá tiene un índice superior a 0,90 (tabla 3).
Índice de esperanza de vida
La esperanza de vida es uno de los indicadores más importantes para evaluar las condiciones de salud pública de una población, ya que es el resultado de los avances logrados por los sistemas de salud, la educación, el saneamiento ambiental y la convivencia ciudadana, todos los cuales influyen en la posibilidad de alcanzar una vida más larga y saludable; asimismo, está estrechamente ligado con la tasa de mortalidad infantil.
En los datos reportados para el año 2005, se aprecia que todos los departamentos incrementaron este indicador, aunque no en la misma proporción. En el 2005, el índice de esperanza de vida para todo el país fue de 0,80; los mayores índices reportados fueron en Bogotá y en los departamentos de Bolívar, La Guajira y Sucre (0,82); el 30% de los departamentos superaron el valor promedio nacional. Los menores índices de esperanza de vida correspondieron a los departamentos de Meta y Chocó (0,71 y 0,72 respectivamente) (tabla 3). Al igual que en el índice de logro educativo, el departamento del Chocó reportó el índice más bajo del país.
Índice del PIB ajustado
El nivel de ingresos de la población medido a través del producto interno bruto (PIB) per cápita es un indicador que permite evaluar la capacidad que tiene la población de adquirir bienes y servicios en un periodo de tiempo determinado. Según la información del DNP, este indicador reportó un leve incremento entre el 2001 y el 2004 en la mayoría de los departamentos, incluso en la escala nacional, pero un marcado descenso entre el 2004 y el 2005. El promedio reportado en todo el país en el 2005 fue de 0,70, y solo los departamentos de Antioquia, La Guajira, Meta, Santander y Valle, además de Bogotá, estuvieron por encima de este valor. Es de anotar que el mayor PIB fue el de la capital del país (0,75) (tabla 3). Los departamentos con menor PIB fueron Sucre y Chocó (0,55 y 0,54), lo que indica que la población de estos departamentos tuvo menor capacidad adquisitiva y mayores limitaciones para acceder a bienes y servicios.
Índice de condiciones de vida
Este es un indicador estándar de vida que permite evaluar conjuntamente la acumulación de bienes físicos (características de las viviendas y acceso a servicios públicos), el capital humano (nivel de educación del jefe de hogar y de los mayores de 12 años y el acceso de niños a la educación), la composición del hogar y el hacinamiento; en total, incluye para su cálculo doce indicadores.
Este indicador presentó un importante avance en la mayoría de los departamentos entre el 2002 y el 2005; el promedio nacional pasó de 77,4 en el 2002 a 78,8 en el 2005. Cinco departamentos junto con Bogotá (26%) reportaron valores por encima del promedio nacional (Antioquia, Atlántico, Bogotá, Quindío, Risaralda y Valle). Los departamentos con índice de condiciones de vida más bajos fueron Choco, Sucre, Córdoba, Nariño, La Guajira y Cesar. El índice de condiciones de vida de los departamentos de Caquetá, Cesar y Nariño disminuyó en este período (tabla 3). Al igual que en el índice de PIB, los departamentos de Sucre y Chocó reportaron los valores más bajos en el índice de condiciones de vida.
Población con necesidades básicas insatisfechas NBI
Mediante este indicador se valoran las condiciones físicas de las viviendas, el acceso a servicios públicos básicos, el nivel de hacinamiento de los hogares, el nivel de dependencia económica y la asistencia a la escuela de los niños entre 7 y 11 años, todo lo cual permite evaluar el nivel de pobreza de la población, pero no el grado de desigualdad.
Este indicador mejoró en la mayoría de los departamentos entre el 2002 y el 2004, pero disminuyó en el 2005. El departamento del Caquetá ha reportado un marcado incremento de las necesidades básicas insatisfechas durante el período, al pasar de un indicador de NBI de 10 en el 2002 a 26,9 en el 2005. En este último año, 54% de los departamentos reportaron valores por encima del promedio nacional: 19,3; el índice más bajo fue el de Bogotá (6,6) y el más alto, el del departamento de Chocó (67,1), tres veces más que el promedio nacional y diez veces más que el índice de NBI de Bogotá (tabla 3).
Índice de necesidades en salud (INS)
Con el fin de evaluar de manera integral los indicadores de las condiciones sociales, se calculó el INS, indicador que permite valorar las necesidades en salud de cada departamento a partir de los indicadores sociales presentados anteriormente (índice de desarrollo humano, logro educativo, esperanza de vida, producto interno bruto, condiciones de vida y necesidades básicas insatisfechas).
De acuerdo con la información reportada para el año 2005, los departamentos del país se dividen en dos grupos: el primero, conformado por los departamentos con un INS superior a cero (con menores necesidades en salud): Bogotá, Santander, Valle del Cauca, Atlántico y Antioquia; y el segundo grupo, compuesto por once departamentos con INS menor de cero, con mayores necesidades insatisfechas de salud con respecto al resto del país, tales como Chocó, Sucre, Nariño, Caquetá y Cauca. Es de anotar la marcada diferencia del departamento de Chocó (INS de -14,3) con el resto del país, ya que su índice de necesidades triplica el de los otros departamentos con mayores necesidades (figura 2).

Figura 2. Índice de necesidades en salud por departamento, Colombia, 2005
Es importante anotar la relación entre indicadores de transición demografía y el índice de necesidades en salud, ya que los departamentos que registraron mayor rezago en el proceso de transición son, en su mayoría, los que reportan mayor índice de necesidades en salud, lo que indica son los de mayores carencias en los indicadores sociales y económicos. Para corroborar esta relación, se evaluó la relación entre estas variables mediante un análisis de correlación.
Análisis de correlación
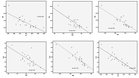
Una vez identificado el nivel de avance en el proceso de transición de los departamentos del país y con el fin de determinar la relación de este índice con los indicadores de desarrollo social, se hizo una evaluación gráfica para determinar la existencia de correlación entre estas variables. En los gráficos puede observarse que hay relación directa entre el índice de desarrollo humano, las condiciones de vida y el porcentaje de población con necesidades básicas insatisfechas, ya que a medida que mejoran estos indicadores, mejora también el nivel de avance en el proceso de transición (R2 de 0,614, 0,761 y 0,682 respectivamente) (figura 3). Según el análisis de correlación, el IDH explica en 61% el índice de transición demográfica, el INB, en 76% y las condiciones de vida, en 68%.

Figura 3. Relación entre el índice de transición demográfica por departamento y el índice de desarrollo humano, el índice de condiciones de vida y las necesidades básicas insatisfechas, Colombia, 2005
Asimismo, se pudo observar que hay una relación inversa entre los indicadores de desarrollo social y la mortalidad infantil, como puede verse en la figura 4, a mayor nivel de IDH y condiciones de vida, son menores las tasas de mortalidad infantil y las tasas globales de fecundidad. Cada uno de estos indicadores por sí solo explica por lo menos en 60% la disminución de las tasas de mortalidad infantil y la tasa global de fecundidad.

Figura 4. Relación entre la tasa de mortalidad infantil y la tasa general de fecundidad por departamento y los índices de desarrollo humano, de condiciones de vida y de necesidades básicas insatisfechas, Colombia, 2005
Discusión
Con el análisis de la transición demográfica se documentaron cambios importantes en la mortalidad y en la fecundidad, inicialmente en Europa y Estados Unidos, que se extienden posteriormente por todo el mundo; dichos cambios se atribuyeron a la transformación en la vida social, la urbanización y la modernización.
Indicadores demográficos como la tasa global de fecundidad y la tasa de mortalidad infantil permiten evaluar las condiciones de desarrollo de una región o un país. Infortunadamente, en Colombia existen problemas de subregistro de los hechos vitales (nacimientos y defunciones), razón por la cual se debe acudir a las proyecciones poblacionales (conciliaciones censales) para un acercamiento al comportamiento demográfico y las condiciones de vida, con información que, si bien no es exacta, representa un esbozo de las condiciones reales de la población.
En el país, algunos de estos indicadores han presentado cambios importantes en los últimos años, entre ellos, la tasa global de fecundidad, que según las últimas encuestas nacionales de demografía y salud (ends) pasó de 2,6 en el 2000 a 2,0 en el 2005, valor cercano al nivel de remplazo (dos hijos por mujer). Este indicador fue inferior al reportado para América latina (2, 6) y cercano al de países como México y Uruguay (2,5 y 2,3 respectivamente) (5).
Pero el avance en estos indicadores no ha sido homogéneo en el país: algunos departamentos reportan tasas dos veces mayores a la del promedio nacional, como son los casos de Chocó, los departamentos que conforman la zona amazónica y La Guajira (TGF cercanas a 4), similares a las tasas de los países con más alta fecundidad en América latina (Haití y Guatemala, en el 2005 resultaron con tasas superiores a cuatro hijos por mujer) (5). Otras zonas y departamentos, por el contrario, reportaron tasas bajas, cercanas al nivel de remplazo (Bogotá, Valle del Cauca, Risaralda y Antioquia), similares a las de los países con mayor nivel de desarrollo.
La tasa de mortalidad infantil nacional también presentó un marcado descenso: en el 2005, la tasa fue de 15,9 defunciones en menores de un año por cada mil nacidos vivos, lo que significa un mejoramiento en las condiciones de vida de la población, menor que la tasa de América latina en el mismo año (TMI de 37,1) (12).
Aunque algunos departamentos registraron bajas tasas de mortalidad infantil, inferiores a la del país, es importante resaltar cómo las tasas de la mayoría de los departamentos superaron el promedio nacional e, incluso, alcanzan valores superiores a 80 muertes de menores de un año por cada mil nacidos vivos, similares a la reportada en el país en 1980; es decir, estos departamento presentan un atraso de 25 años en la disminución de las muertes de niños antes de cumplir su primer año de vida, lo que impacta directamente en la esperanza de vida de esas poblaciones e ilustra las condiciones de desigualdad e inequidad en salud de algunas regiones del país.
A pesar de la disminución de las tasas de mortalidad en algunos departamentos, aún muchas de ellas están lejos de lograr las metas propuestas en los objetivos del milenio (14 muertes en menores de un año por cada mil nacidos vivos) y mucho menos de las alcanzadas por países como Cuba (5, 8) (13).
La esperanza de vida, por su parte, ha mejorado notablemente en el país, según los análisis hechos sobre el avance en las metas de los objetivos del milenio. Colombia ganó 4,5 años durante los últimos 14 años: en el 2005, el índice de esperanza de vida nacional fue de 0,80, pero con notables diferencias en algunos departamentos como Meta y Chocó (0,72 y 0,71), en los cuales el índice aún es bajo, lo que refleja graves problemas en las condiciones de vida y de salud de estas poblaciones, y que se tendrán que superar para poder hablar de avances en el nivel de desarrollo y en el proceso de transición demográfica (1).
En otros países, el avance en los niveles educativos se ha relacionado directamente con el comportamiento de la fecundidad. En este estudio se pudo constatar esta relación, ya que en los departamentos donde el índice del logro educativo fue mayor (Bogotá, Quindío y Valle del Cauca) fueron los que tuvieron menores tasas globales de fecundidad. Esto evidencia la importancia de trabajar en la educación de la población, principalmente la femenina, como mecanismo para mejorar las condiciones de vida y salud de las comunidades.
Como se ha documentado en otros estudios, el desarrollo colombiano se ha caracterizado por grandes diferencias económicas y sociales entre las diferentes regiones: mientras que en algunos departamentos el índice del PIB ajustado alcanzó valores superiores a 0,70 (Bogotá, Santander, Antioquia, Valle del Cauca, Meta y La Guajira), similares a las de países con alto nivel de desarrollo, otros departamentos aún registran valores cercanos a 0,50 (Sucre y Chocó), niveles similares a los de países de bajo desarrollo.
Según el índice de transición demográfica calculado para el 2005, se encontró que solo nueve departamentos (30%) han logrado avanzar en este proceso, cifra similar a la publicada por el Ministerio de Salud en 1995, lo cual indica que el avance en este indicador durante los últimos 10 años ha sido mínimo. El 66% de los departamentos se clasificaron como rezagados en el proceso de transición, cifra superior a la de 1995 (44%), lo que indica un retroceso, pero no se descarta que también el dato pueda estar influenciado por la calidad de la información (subregistro). Asimismo, algunos departamentos reportaron un índice de transición inferior al calculado en el año 1995 (7).
En este sentido, se evidencia un desarrollo desigual en los departamento del país, no solo en características sociales, sino también ’y como consecuencia de ello’ en el proceso de transición demográfica en departamentos como Chocó, los que conforman la costa pacífica y los de la Amazonia, que se ubican en el extremo inferior con los indicadores más precarios, y en Bogotá como la región con mayor desarrollo.
Estas grandes diferencias entre los departamentos de Colombia en el avance en los indicadores de desarrollo ’y, como resultado de ello, en los demográficos y de salud’ ameritan un análisis detallado y la implementación de políticas de desarrollo y medidas de intervención propias para cada región, pues de no ser así, cada día la brecha será mayor, con grandes inequidades en la distribución de recursos nacionales.
La relación entre la transición demográfica y el nivel de desarrollo es evidente, ya que se pudo observar que las regiones con mejores indicadores relacionados con el nivel de desarrollo fueron aquellas que reportaron mayor avance en el proceso de transición demográfica.
Se corrobora en este análisis de los indicadores por departamento la relación entre fecundidad y pobreza, como había sido discutida para América latina por la Cepal en el 2004 y el 2006 (6). Se pudo documentar, a partir de la información de cada departamento, que en Colombia existen fuertes desigualdades socioeconómicas, lo que se refleja en las diferencias en los indicadores que dan cuenta del avance en el proceso de transición demográfica; si se sigue por este camino, la gran mayoría de los departamentos del país no podrán cumplir con las metas propuestas en los objetivos del milenio trazados para el año 2015.
Conclusiones
A pesar de que el país ha sido clasificado como un país en plana transición demográfica, en este estudio el índice de transición demográfica calculado para cada departamento permitió clasificarlos en tres categorías: rezago, promedio y avance, lo que evidenció que solo 26% se encuentra en un nivel avanzado de transición y que la gran mayoría de los departamentos (66%) aún presentan altas tasas de mortalidad infantil y fecundidad, por lo cual no han avanzado en el proceso de transición y se encuentran en nivel de rezago con relación a este indicador. Esto evidencia las desigualdades en las condiciones de vida de la población en el país y pone de manifiesto que los indicadores mayores ocultan las grandes diferencias en el nivel de desarrollo del país.
El estudio pone una vez más de manifiesto que para avanzar en el desarrollo equitativo de las regiones es necesario intervenir las condiciones de vida (educación, salud, mejores ingresos), elementos fundamentales para avanzar más equitativamente en el proceso de transición demográfica. Si no se toman medidas, cada día serán mayores las diferencias entre los departamentos y las regiones del país, unos con grandes avances y otros con gran retraso porque no han logrado resolver necesidades básicas de sus poblaciones.
Si se mejoran las condiciones de vida ’entre ellas la educación, la salud y el ingreso’, se reducen las tasas de fecundidad, se disminuyen los hogares del país con necesidades básicas insatisfechas y se reduce la mortalidad infantil, indicadores que determinan el proceso de transición demográfica.
En cuanto a los indicadores calculados, existen diferencias en los indicadores de fecundidad de los departamentos del país (la TGF varía de 1,8 hasta 4 hijos por mujer). De acuerdo con el índice de transición demográfica, 30% de los departamentos están en un estado bajo de fecundidad, 53% en nivel medio y 17% en nivel alto.
Aún algunos departamentos registran altas tasas de mortalidad infantil; departamentos como Chocó y Arauca registran tasas que duplican el promedio nacional (TMI 82,2 y 55,6 respectivamente), lo que evidencia diferencias importantes en el nivel de desarrollo y de salud en el país.
Según el índice de transición demográfica (calculado a partir de la TGF y la TMI), 26% de los departamentos han avanzado en el proceso de transición demográfica y 64% se clasifican en un nivel de rezago, con Chocó y la región de la Amazonia como las zonas más atrasadas en el proceso.
El índice de necesidades en salud permitió evaluar la relación entre el índice de transición demográfica y los índices de desarrollo. Se encontraron así cinco departamentos por encima del promedio nacional y veinte con mayores necesidades en salud, correspondientes a los departamentos con mayor rezago en el proceso de transición.
Referencias
1 celade, Fondo de Población de las Naciones Unidas, Programa Global de formación en población y desarrollo. Enfoques teóricos para el estudio de la fecundidad. Santiago de Chile; celade; 1994. [ Links ]
2 Rodríguez J, Chackiel J, Guzman M, Jaspers J, Maccio G, Pujol M, et al. Demografía I: Fecundidad. México: celade; 1997. [ Links ]
3 Lesthaeghe R. On theory development and applications to the study of family formation. Population and Development Review 1998;24(1):1-14. [ Links ]
4 Cabella W, Peri A. Street MC. Dos orillas y una transición? La segunda transición demográfica en Buenos Aires y Montevideo en perspectiva biográfica. I Congreso Asociación Latinoamericana de Población alap. Brasil; 2004. [ Links ]
5 CEPAL, UNFPA. Reunión de expertos sobre población y pobreza en América Latina y el Caribe: estudio sobre patrones emergentes en la fecundidad y la salud sexual y reproductiva y sus vínculos con la reducción de la pobreza en América Latina. Santiago de Chile: CEPAL, UNFPA; 2006. [ Links ]
6 Florez C, Soto V. El estado de la salud sexual y reproductiva en América Latina y el Caribe: una visión Global. Banco Interamericano de Desarrollo, departamento de investigación; Documento de trabajo # 632; 2008. [ Links ]
7 Colombia. Ministerio de la Protección Social. La salud en Colombia, diez años de información. Bogotá: Fondo de Población de las Naciones Unidas; 1994. [ Links ]
8 celade, Transición Demográfica. Cambios en la estructura poblacional, Una Pirámide que exige miradas, Temas de Población y Desarrollo # 1, Santiago, celade, 2005. [ Links ]
9 DANE, Conciliación Censal 1985-2005, Planib 7. Bogotá; 2007. [ Links ]
10 Departamento Nacional de Planeación. Indicadores Sociales Departamentales: Sistema de indicadores sociodemográficos para Colombia. SISD 37. Bogotá: DANE; 2006. [ Links ]
11 Organización Panamaricana de la Salud . Epidat 3.1 Programa para análisis epidemiológico de datos tabulados. España 2006. [ Links ]
12 Banco Interamericano de Desarrollo. Comisión económica para América Latina y el Caribe. Impacto de las tendencias demográficas sobre los sectores sociales en América Latina. 2006. [ Links ]
13 Fraga J. El descenso de la fecundidad en Cuba: de la primera a la segunda transición demográfica. Rev Cubana de Salud Pública 2006;32(1):1-19. [ Links ]
Recibido: 24 de junio de 2010.
Aprobado: 15 de septiembre de 2010.













