Services on Demand
Journal
Article
Indicators
-
Cited by SciELO -
Access statistics
Related links
-
Cited by Google -
Similars in
SciELO -
Similars in Google
Share
Agronomía Colombiana
Print version ISSN 0120-9965
Agron. colomb. vol.26 no.2 Bogotá July/Dec. 2008
Víctor Julio Flórez1 y Maria de Fátima D. Aleixo Pereira2
1 Profesor asociado, Facultad de Agronomía, Universidad Nacional de Colombia, Bogotá. vjflorezr@unal.edu.co
2 Profesora titular, Instituto de Biologia, Universidade Estadual de Campinas (Unicamp), Campinas (Brasil).
Fecha de recepción: octubre 14 de 2007. Aceptado para publicación: julio 10 de 2008
RESUMEN
En Solidago x luteus (M.L. Greene) Brouillet y Semple (= x Solidaster hybridus,xS. luteus), planta comercializada principalmente para flor de corte, el proceso de inducción floral es dependiente de las condiciones fotoperiódicas ambientales. Con el objetivo de determinar la acción de las citoquininas en este proceso, se analizó su presencia en condiciones fotoperiódicas opuestas: días largos (DL) de 18 h y días cortos (DC) de 8 h. En la primera fase del ensayo, con el fin de analizar la respuesta de las plantas a fitohormonas con frecuencia semanal de aplicación, se realizaron los siguientes tratamientos: 1) ácido giberélico (GA3) 10-4M, 6-benzilaminopurina (6-BA) 4·10-4 M y GA3 10-4 M más 6-BA 4·10-4 M; 2) GA3 10-4M, kinetina (KI) 4·10-4 M y GA3 10-4 M más KI 4·10-4 M y 3) KI 4·10-4 M. Con el objeto de conocer la concentración endógena de hormonas, en la segunda fase los extractos vegetales se analizaron a través de cromatografía en capa fina y cuantificados por el ensayo inmunoenzimático de Elisa, previa separación por cromatografía líquida de alta eficiencia. Los resultados permitieron determinar la actividad citoquinínica en extractos provenientes de hojas y de botones florales de plantas en el inicio de los tratamientos, en DL y en DC. Se demostró que la aplicación de KI acelera la antesis floral, evidenciando la relación de citoquininas endógenas con el proceso de desarrollo floral. Por último, de los resultados obtenidos de los extractos sometidos a Elisa se sugiere la participación de las citoquininas en el proceso de antesis floral de S. x luteus, donde la iPA (isopentenil adenosina) tendría una acción importante al ser transportada rápidamente de la hoja al botón floral en DC, posibilitando tal vez la mayor velocidad de antesis floral observada en este fotoperíodo.
Palabras clave: antesis floral, fitohormonas, ácido giberélico, 6-benzilaminopurina, kinetina, Elisa.
ABSTRACT
In Solidago x luteus (M.L. Greene) Brouillet and Semple (= x Solidaster hybridus, x S. luteus), a plant commercialized principally as cut flower, the process of floral induction is dependent on photoperiodic environmental conditions. In order to determine the action of cytokinins in this process, their presence was analyzed in photoperiodically contrasting conditions (long days (LD, 18 h) and short days (SD, 8 h)). In the first phase of the test, with the purpose to analyze the response of plants to phytohormones, weekly application of the following treatments were realized: 1) 10-4 M gibberellic acid (GA3), 4·10-4 M 6-benzylaminopurine (6-BA), and 10-4 M GA3 plus 4·10-4 M 6-BA; 2) 10-4 M GA3, 4·10-4 M kinetin (KI), and 10-4 M GA3 plus 4·10-4 M KI; and 3) 4·10-4 M KI. In the second phase, in order to know the endogenous concentration of hormones, plant extracts were analyzed by thin layer chromatography and quantified by enzyme linked immunosorbent assay (Elisa) previously separated by high determining the cytokinin activity in leafs and flower buds extracts of plants in the beginning of the treatments under LD and SD. It was showed that KI application accelerates the floral anthesis demonstrating the relation of endogenous cytokinins on the process of floral development. Finally, from the results obtained of the extracts submitted to Elisa, it is suggested the participation of cytokinins in the anthesis process of S. x luteus, where iPA (isopentenil adenosine) would have an important action being transported rapidly from the leaf to the flower bud in SD making faster process of anthesis floral observed in this photoperiod.
Key words: floral anthesis, phytohormones, gibberellic acid, 6-benzylaminopurine, kinetin, cytokinins, Elisa.
Introducción
En plantas fotoperiódicas la secuencia del proceso de floración comienza con la percepción de señales ambientales a través de las hojas, donde se produce el estímulo floral. Una vez que este estímulo alcanza el brote apical, actúa sobre el meristemo o directamente sobre el primordio en desarrollo. Si la determinación del proceso de floración es controlada por el meristemo apical, éste responde directamente al estímulo floral. Si son las hojas las que dirigen la inducción floral, es posible que el estímulo floral actué directamente sobre los tejidos objetivo (Hempel et al., 2000).
Las citoquininas forman un numeroso grupo de fitohormonas, en el que son reconocidas más de 30 entre formas activas e inactivas (Mok y Mok, 2001). Entre otros aspectos del desarrollo vegetal, las citoquininas se involucran en la promoción de la división celular, la diferenciación de cloroplastos, el desarrollo de brotes y el antagonismo de la senescencia (Mok, 1994). Su participación en el desarrollo floral también es importante, regulando este proceso en algunas especies, como en Litchi chinensis Sonn. (Chen, 1991). En Solidago x luteus (M. L. Greene) Brouillet y Semple (= x Solidaster hybridus, x S. luteus), una planta perenne comercializada principalmente para flor de corte, la acción de las citoquininas fue descrita por Flórez-Roncancio y Pereira (1999). Los autores identificaron concentraciones endógenas de los isómeros trans zeatina (Z) y trans zeatina ribósido (ZR), de isopentenil adenina (iP) y de isopentenil adenosina (iPA) durante el desarrollo de la floración, encontrando, a través de cromatografía líquida de alta eficiencia (Clae), su participación directa en el proceso de antesis.
El objetivo del presente trabajo fue verificar la acción de las citoquininas en condiciones fotoperiódicas opuestas de días largos (DL) de 18 h y días cortos (DC) de 8 h, sobre el desarrollo floral de S. x luteus, a través de la aplicación y de la determinación endógena de fitohormonas.
Materiales y métodos
Material vegetal y aplicación de fitohormonas
Esquejes con raíz de Solidago x luteus se sembraron en materas con capacidad de 2 L, conteniendo una mezcla de partes equivalentes de suelo, arena y compuesto orgánico, en condiciones de invernadero. Las plantas se fertirrigaron quincenalmente con solución de Hoagland (Hoagland y Arnon, 1938) y se mantuvieron en fotoperiodo de 18 h hasta el estadio de formación del botón floral (botones florales con 1,5 ± 0,12 mm de diámetro y 736 ± 159,5 botones florales por gramo). En este estadio, un lote de plantas se mantuvo en este mismo fotoperiodo y otro se transfirió para la condición de DC. Los DC de 8 h se obtuvieron cubriendo los bancos en los que se acondicionaron las materas con una cortina de tejido negro y las condiciones de DL de 18 h se lograron complementando el fotoperiodo natural con iluminación artificial con lámparas incandescentes (53 W·m-2). Para el análisis de las citoquininas se recolectaron muestras de hojas y de botones florales de las plantas al inicio de los tratamientos fotoperiódicos y de plantas en condiciones de DL y DC, 15 ± 2,3 d después.
Las aplicaciones de fitohormonas se iniciaron el día de la transferencia de las plantas a DL, pincelando los botones florales de la mitad de las plantas mantenidas en este fotoperiodo. Se aplicaron soluciones acuosas de las fitohormonas, teniendo en cuenta las siguientes concentraciones y frecuencias de aplicación: primer experimento, con ácido giberélico (GA3) 10-4 M, 6-BA 4·10-4 M y GA3 10-4 M más 6-BA 4·10-4 M, cada 7 d; segundo experimento, con GA3 10-4 M, KI 4·10-4 M y GA3 10-4 M más KI 4·10-4 M, cada 7 d y tercer experimento, con KI 4·10-4 M cada 4 y 7 d.
La estimación de la velocidad promedio de antesis floral se realizó calculando el tiempo promedio de antesis floral (t), de acuerdo con la expresión descrita por Labouriau (1983) para la germinación de semillas:
donde, ti son los tiempos de antesis y ni, el número de flores abiertas en los intervalos equidistantes sucesivos ti-1 - ti.
Extracción de fitohormonas
Para la extracción y fraccionamiento del extracto se recolectaron 3 g de hojas o botones florales y luego se maceraron con una solución acuosa de metanol al 80%, guardando la relación 1 g : 10 mL. Después de 24 h se realizó un primer filtrado y el residuo se puso en una nueva solución para un segundo filtrado 24 h más tarde; el extracto total fue el producto de los dos filtrados. Después de la remoción del metanol en evaporador rotativo bajo presión reducida y a temperatura de 30-35 °C, se procedió al fraccionamiento del extracto acuoso total para la obtención de las fracciones ácida y básica, de acuerdo con la técnica descrita por Felippe et al. (1985) modificada.
La fracción básica así obtenida se corrió sobre una placa de vidrio de 0,20 x 0,20 m cubierta con una capa de 0,5 mm de suspensión de gel de sílice y agua, en la proporción de 1:2 (g de sílice : mL de agua destilada), activada antes de su uso a 105 °C durante 30 min. Las placas cromatográficas se desarrollaron en una longitud de 15 cm con isopropanol : amoniaco : agua (10:1:1)
Para los bioensayos, los cromatogramas se dividieron en partes iguales: 10 horizontalmente y 4 verticalmente, para un total de 40 fracciones; además de una fracción de control compuesta de gel de sílice, en la que se corrió sólo el juego de solventes. De cada una de las repeticiones se removió el gel de sílice y se colocó de forma aleatoria en cajas de Petri de 50 mm de diámetro. Cada caja de Petri se cubrió con una hoja de papel de filtro y se le adicionaron 2 mL de tampón fosfato 2 mM a pH 5,8-6,0.
Bioensayos
En la detección de sustancias citoquinínicas se empleó el bioensayo de aumento de área cotiledonar descrito por Letham (1971). Se utilizaron semillas de rábano (Raphanus sativus) cv. Rojo Redondo suministradas por el Instituto Agronómico de Campinas (IAC), germinadas en oscuridad a 25 °C durante 35 h; después de este periodo, se retiró el cotiledón interno de cada plántula. De los cotiledones más uniformes, se transfirieron 4 de ellos a cajas de Petri de 50 mm de diámetro, colocando el haz del cotiledón en contacto con la solución. Como patrón se utilizó una solución de 6-BA ó KI 4·10-4 M. Las cajas de Petri se colocaron en bandejas con una hoja de papel de filtro humedecida, se cubrieron con película de polipropileno transparente y se mantuvieron durante 72 h en la cámara de crecimiento a 25 °C con luz blanca continua (18,2 μmol·m-2·s-1). El aumento de área cotiledonar de rábano se midió con el programa Área II (Caldas et al., 1992) a través del escáner Hewlett Packard modelo Scanjet IIP. Los resultados se expresaron como porcentaje del grupo control.
Para la detección química de las sustancias con actividad citoquinínica se usó el reactivo de Wood, que revela el color azul en presencia de sustancias purínicas (Wood, 1955). Con este reactivo (solución A de azul de bromofenol al 0,4% en acetona y solución B de nitrato de plata al 2% en agua, mezcladas en volúmenes iguales a la hora de la aplicación) se pulverizó el área correspondiente a cada Rf (factor de retención o cociente de las distancias recorridas por el compuesto y por el solvente) dentro del cromatograma.
Inmunoensayo
Los extractos de la fracción básica obtenidos de hojas y de botones florales de plantas en el inicio de los tratamientos fotoperiódicos, de plantas en DL y de plantas en DC, se sometieron a la separación cromatográfica por Clae, según Flórez-Roncancio y Pereira (1999). Se recogieron las respectivas fracciones de acuerdo con el tiempo de retención de las fitohormonas patrón iP (isopenteniladenina) e iPA (isopentenil adenosina), para luego cuantificarlas por el ensayo inmunoenzimático de Elisa, realizado con kits Mayoli Spindler. Se empleó el protocolo establecido por Clark y Engvall (1985), así:
1. Fijación del conjugado. El conjugado ovalbumina (OVA)-iPA se diluyó con tampón carbonato-bicarbonato (carbonato de sodio 0,05 M, pH 9,6) y, posteriormente, se fijó en la placa (200 μL por pozo) con incubación a 4 oC durante la noche;
2. Bloqueo de sitios de ligación inespecíficos. Después de tres enjuagues por pozo con unos 400 μL de PBS-Tween (tampón fosfato 0,01 M + NaCl 0,15 M a pH 7,4 más Tween-20 0,05%), se realizó en cada pozo el bloqueo con 250 μL de caseína al 2% en PBS, durante 30 min a 37 °C;
3. Competición. Después de tres enjuagues con PBS-Tween con unos 400 μL por pozo, a cada pozo se le adicionaron 50 μL de tampón PBS-Tween, 100 μL de patrón o de muestra y 50 μL del anticuerpo monoclonal específico (anti-iPA). Se mantuvo la placa a 4 °C durante 2 h y a continuación a cada pozo se le hicieron cinco enjuagues con unos 400 μL de PBS-Tween;
4. Anticuerpo secundario. En cada pozo se añadieron 200μL de anticuerpo anti-IgG de ratón conjugado con peroxidasa y disuelto en PBS + Tween. Se incubó la placa a 37 °C por 1 h y en seguida cada pozo se lavó 5 veces con unos 400 μL de PBS-Tween;
5. Sustrato. A cada pozo se le adicionaron 200 μL de la solución sustrato, de ABTS (ácido 2'2-azino-bis-[3- etilbenzotiazol-6-sulfónico]) y H2O2 en partes iguales. Por último, la placa se incubó a 37 °C por 1 h y luego se le midió la absorbancia a 405 nm, en un lector de placa de Elisa (Labsystems MutiSkan MS).
Curva patrón y cálculo de los resultados
Con el fin de establecer la curva patrón para iPA se realizaron una serie de diluciones, desde 1 nmol hasta 1 pmol, para cada 100 μL de solución, a partir de una solución 1mM de fitohormona patrón iPA. El promedio de la densidad óptica de los pozos con 100 pmol de fitohormona libre por 0,1 mL de agua se consideró como control de coloración no específica (CNE) y el promedio de la densidad óptica de los pozos conteniendo 0,1 mL de agua destilada (sin fitohormona libre) se consideró como Bo, así:
donde, B es la densidad óptica del patrón o muestra; Bo, la densidad óptica de la ligación máxima del anticuerpo antifitohormona, en ausencia de fitohormona libre (coloración fuerte) y CNE, la densidad óptica de coloración no específica, ligación residual del anticuerpo anti-fitohormona en exceso de fitohormona libre (coloración débil).
La relación entre el porcentaje B/Bo y la concentración de la fitohormona de la curva patrón se transformó en una relación linear usando la función logit, que permite extrapolar la concentración de la fitohormona en la muestra del valor de su densidad óptica a través de una curva patrón linear (Weiler et al., 1981).
Los cálculos de los resultados incluyeron los valores obtenidos en las cuantificaciones por medio de las curvas patrón, el factor de dilución y la masa inicial de la muestra.
Análisis estadístico
Se usó el diseño experimental completamente al azar, con número de tratamientos y de repeticiones (plantas) por tratamiento de acuerdo a cada experimento. Posterior al análisis de varianza, los promedios de los tratamientos se compararon por medio de la prueba de Tukey (P<0,05).
Cuando se compararon dos tratamientos se utilizó la prueba t, también al 5% de probabilidad.
Resultados y discusión
Velocidad de antesis floral y su respuesta a la aplicación de fitohormonas
Con las aplicaciones semanales de GA3 10-4 M, 6-BA 4·10-4 M y GA3 10-4 M más 6-BA 4·10-4 M (ensayo 1) y cada 4 y 7 días de KI 4·10-4 M (ensayo tres) a los botones florales de las plantas en DL, no se constató diferencia estadística significativa entre los tratamientos en cuanto al número promedio de flores abiertas por planta al final de los experimentos (figuras 1a y 1c, respectivamente).

De otra parte, al final del ensayo dos con aplicaciones semanales de GA3 10-4 M, KI 4·10-4 M y GA3 10-4 M más KI 4·10-4 M, en el tratamiento de control de plantas en DL se obtuvo un número de flores significativamente mayor al observado en el tratamiento de control de plantas en DC, mientras que el tratamiento con KI 4·10-4 M produjo un número intermedio de flores abiertas por planta (figura 1b).
Además, se verificó un aumento significativo en la velocidad promedio de antesis floral en los tratamientos con aplicaciones semanales de 6-BA 4·10-4 M y de GA3 10-4 M más 6-BA 4·10-4 M en botones florales de plantas en DL, en comparación con los tratamientos con GA3 10-4 M y de plantas de control en DL (tabla 1a). Esto indica que hubo un efecto promotor en la velocidad promedio de antesis floral en los tratamientos que incluyeron 6-BA y que este efecto no habría sido estimulado por la aplicación semanal de GA3 10-4M, ya que, cuando fue aplicado como tratamiento único, no se diferenció de las plantas de control en DL. Sin embargo, la antesis floral fue significativamente más rápida en el tratamiento de control de plantas en DC (tabla 1a).

En los tratamientos con aplicaciones semanales de GA3 10-4 M y de GA3 10-4 M más 6-BA 4·10-4 M en botones florales de plantas en DL, hubo un aumento en el porcentaje de flores anormales en relación con las plantas de control en DL y en DC; de otra parte, el mayor porcentaje de daño floral se observó en el tratamiento con aplicaciones semanales de 6-BA 4·10-4 M (tabla 1a).
Cuando se aplicó semanalmente KI 4·10-4 M a los botones florales de las plantas en DL, se obtuvo un efecto promotor significativo en la velocidad promedio de antesis floral, en comparación con las plantas control en DL (tabla 1b). Los tratamientos con aplicaciones semanales de GA3 10-4 M y GA3 10-4 M más KI 4·10-4 M no mostraron diferencias significativas con las plantas control en DL, confirmando que el tratamiento con GA3 10-4 M no tendría efecto sobre la velocidad promedio de antesis floral y, por el contrario, podría interferir en el efecto promotor de KI. Por otro lado, la mayor velocidad de antesis floral se evidenció en las plantas control en DC, observándose un porcentaje bajo de flores anormales en los tratamientos efectuados (tabla 1b).
En el experimento con dos frecuencias de aplicación de KI 4·10-4 M en botones florales de plantas en DL (tabla 2), no se observó diferencia significativa entre las plantas control en DC y el tratamiento con aplicaciones cada 4 d, ni entre las plantas de control en DL y el tratamiento con aplicaciones cada 7 d. Tampoco hubo diferencia significativa entre las dos frecuencias de aplicación de KI, a los 4 y 7 d. De esta forma, se verifica una tendencia decreciente en la velocidad de antesis floral a partir del tratamiento control en DL hacia el tratamiento control en DC, evidenciándose un posible efecto promotor de KI en interacción con la frecuencia de aplicación. No se visualizó la formación de flores anormales en ningún de los tratamientos estudiados (tabla 2).

La aplicación de las citoquininas 6-BA y KI en S. x luteus incrementó la velocidad promedio de antesis floral, en comparación con las plantas control en condiciones de DL; sin embargo, el porcentaje de daño floral fue mayor en el tratamiento con 6-BA. Cuando se aumentó la frecuencia de aplicación de KI a 4 d, no hubo diferencia en la velocidad promedio de antesis floral ni en el porcentaje de malformación floral entre este tratamiento y el grupo de control de plantas en DC, indicándose así que las citoquininas podrían estar relacionadas con el aumento de la velocidad de antesis floral en las plantas en DC.
En la formación de botones florales en explantes de pedicelos de tabaco in vitro, es probable que la Z endógena esté menos relacionada, pues, solamente indujo un botón floral por explante, mientras que 6-BA y DHZ (dihidrozeatina) formaron aproximadamente 12 botones florales por explante (Van der krieken et al., 1991). De manera similar, Bentley et al. (1975) verificaron que aplicaciones de KI ó de 6-BA en plantas de fríjol cultivadas en DL estimulan el desarrollo de los botones fl orales que habrían sido inhibidos por la acción del ABA (ácido abscísico) endógeno.
En Sinapis alba, una de las alteraciones esenciales durante la iniciación floral es una onda mitótica en el meristemo apical. Se demostró que una aplicación de 6-BA ó de Z en concentraciones de 5 y 20 μg·mL-1, respectivamente, estimula la actividad mitótica de forma semejante a la observada en el meristemo de las plantas inducidas; razón por la cual Bernier et al. (1977) incluyen a las citoquininas como parte del estímulo floral en esta especie.
Los mayores vertederos de las citoquininas son las partes meristemáticas o con crecimiento potencial, que también son centros primarios de su producción; además, las citoquininas causan movilización de metabolitos para el área tratada, creando nuevas relaciones fuente-vertedero y manteniendo la síntesis de ácidos nucleicos y proteínas (Moore, 1979).
Gerhäuser y Bopp (1990a) encontraron que en el musgo Funaria hygrometrica los principales productos del catabolismo de (14C)KI y de (14C)6-BA fueron la adenina y la adenosina, respectivamente; además que, inclusive en concentraciones inferiores, 6-BA permaneció constante por más tiempo que KI, indicando diferentes vías metabólicas para estos compuestos. Esto, según Gerhäuser y Bopp (1990b), ocurre en función de que la kinetina oxidasa degrada la cadena lateral de KI, originando adenina como producto primario, mientras que 6-BA no es substrato de esta enzima y tiene efecto residual más prolongado. La adenina y sus derivados se reportan frecuentemente como el grupo mayor de metabolitos de Z, ZR, iP e iPA en plantas superiores y su metabolismo puede ser atribuido a la citoquinina oxidasa (Letham y Palni, 1983). De esta forma, en Solidago x luteus probablemente el metabolismo de 6-BA sea diferente del de KI, de manera similar que en Funaria. El 6-BA, al permanecer por más tiempo en el tejido, además de acelerar eventualmente la antesis floral, pudo ocasionar el aborto de las estructuras florales; mientras que la KI, al ser metabolizada más rápidamente, acelera la antesis floral, respondiendo al aumento en la frecuencia de aplicación sin daño floral.
Análisis de sustancias con actividad citoquinínica a través de bioensayos
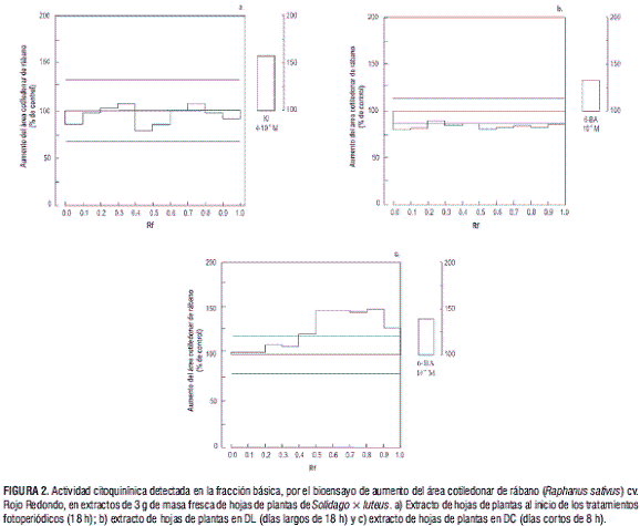
En los extractos provenientes de hojas de plantas en el inicio de los tratamientos (figura 2a) y de hojas de plantas en DL (figura 2b), no se observó actividad citoquinínica significativa, mientras que en el extracto de hojas de plantas en DC (figura 2c) se evidenció una región con actividad citoquinínica signifi cativa comprendida en la franja entre los Rf 0,4 y 1,0. En el extracto de hojas de plantas en DL se observaron regiones de inhibición signifi cativa comprendidas entre los Rf 0 y 0,2 y entre los Rf 0,3 y 1,0 (figura 2b).

En los extractos obtenidos de botones fl orares de plantas en el inicio de los tratamientos fotoperiódicos, se observaron tres regiones con actividad citoquinínica signifi cativa, entre los Rf 0-0,1; 0,2-0,3 y 0,4-0,6 (figura 3a); de forma similar, hubo regiones de actividad citoquinínica en los extractos obtenidos de botones fl orares de plantas en DC, entre los Rf 0-0,2; 0,3-0,5 y 0,6-1,0 (figura 3c). En el extracto de botones fl orales de plantas en DL también se detectó una región con actividad citoquinínica signifi cativa, aunque menos expresiva, entre los Rf 0,4-0,5 (figura 3b). De los extractos de botones florales, tan sólo el proveniente de plantas en DL presentó regiones de inhibición signifi cativa entre los Rf 0-0,1; 0,2-0,3 y 0,8-1,0 (figura 3b).

Mientras que la actividad citoquinínica estuvo ausente en extractos de hojas de plantas en el inicio de los tratamientos fotoperiódicos y de hojas de plantas en DL (figuras 2a y b, respectivamente), fue signifi cativa en extractos de hojas de plantas en DC (figura 2c). Contrariamente, en los extractos de botones fl orales se registró actividad citoquinínica signifi cativa en las tres condiciones analizadas (figura 3), pero en el extracto de botones fl orales de plantas en DL esta actividad fue menos expresiva, mostrando sólo un pico de actividad (figura 3b). En los extractos de hojas y de botones fl orales de plantas en DL (figuras 2b y 3b, respectivamente), se observaron regiones de inhibición signifi cativa, siendo más intensas en los extractos foliares. La actividad citoquinínica detectada en los extractos de hojas de plantas en DC y en los de botones fl orales de plantas en los diferentes tratamientos, junto con la respuesta de las plantas acelerando la antesis fl oral con la aplicación de KI, son evidencias fuertes de las relaciones de las citoquininas con el proceso de desarrollo floral.
Análisis de citoquininas por inmunoensayo
La figura 4 presenta la curva patrón en función del porcentaje de B/Bo y del logaritmo de la concentración de iPA (figura 4a) y la curva patrón con el ajuste linear, usando la función logit del porcentaje de B/Bo (figura 4b) que se utilizó en la cuantifi cación de los extractos.

En los análisis realizados por Elisa, la concentración de iP disminuyó de forma signifi cativa en el extracto de hojas de plantas en DC, con relación al inicio de los tratamientos; mientras que los extractos de botones fl orales de plantas en DL y en DC no presentaron diferencias signifi cativas, en comparación con el extracto obtenido del inicio del tratamiento fotoperiódico, a pesar de encontrarse éste por fuera del límite de sensibilidad del ensayo (tabla 3). De otro lado, en el extracto de botones fl orales de plantas en DL se observó una disminución signifi cativa en la concentración de iPA, en comparación con el extracto de plantas al inicio de los tratamientos. Ni en el extracto de botones fl orales de plantas en DC ni en los extractos foliares de plantas en DL y en DC se presentaron concentraciones de iPA signifi cativamente diferentes a las de los respectivos extractos al inicio de los tratamientos. En plantas en DC y con relación a las plantas al inicio de los tratamientos, las concentraciones de iP en los extractos foliares disminuyeron signifi cativamente, mientras que en los extractos de botones fl orares se mantuvieron constantes.

A pesar de no existir una diferencia signifi cativa entre los extractos foliares en las cuantifi caciones para iPA realizadas por Elisa, se observó una tendencia decreciente entre el extracto de hojas al inicio de los tratamientos, el extracto de hojas de plantas en DL y el de plantas en DC. Esta tendencia se reportó previamente en análisis por Clea (Flórez-Roncancio y Pereira, 1999). En los extractos de botones florales se constató una disminución signifi cativa de iPA en el extracto de plantas en DL, con relación a los extractos de plantas en el inicio de los tratamientos y al de DC.
Sotta et al. (1987) cuantifi caron Z e iP por Elisa en extractos metanólicos de hojas de tabaco y constataron que la reproducibilidad del método y las variaciones inter e intraensayo no superaron el 5%; además, que la purifi cación de los extractos por Clea y el uso de vidriería silanizada son requisitos para una determinación estricta de las concentraciones de estas fi tohormonas. Solamente iP e iPA se detectaron signifi cativamente en los extractos de hojas de tabaco.
A pesar de no tener resultados de Z por Elisa, se observó en análisis previos por Clea que iP era más abundantes que Z, tanto en hojas como en botones florales (Flórez-Roncancio y Pereira, 1999); mientras que en extractos de plantas florecidas generalmente Z y ZR son las citoquininas predominantes (Koshimizu y Iwamura, 1986). Las interconversiones entre citoquininas, como la transhidrolización de iP para Z, que son comunes en plantas superiores (Macgaw et al., 1984), podrían ocurrir durante el desarrollo del botón floral en Solidago x luteus.
Las interconversiones entre las bases libres y los ribósidos exigirían que los análisis fueran simultáneos o que los extractos se trataran enzimáticamente para mantener las proporciones de cada una de las citoquininas entre un análisis y otro. Como los análisis no fueron simultáneos, los extractos pueden haber sufrido metabolización, explicándose así las diferencias en los análisis por Clae y Elisa. Van Staden y Wareing (1972) verificaron una disminución marcada en las concentraciones de citoquininas en la fracción butanólica de extractos de hojas de Xanthium strumarium cuando las plantas se transfirieron para DL o se sometieron al tratamiento de noche interrumpida, sugiriendo que la disminución en la concentración de citoquininas es un efecto fotoperiódico verdadero. También observaron que las citoquininas presentes en las partes de crecimiento activo están en la forma de bases y/o ribósidos y que en las hojas maduras había altas concentraciones de ribótidos.
En Bougainvillea 'San Diego Red', Van Staden y Dimalla (1980) verificaron una disminución en las concentraciones de citoquininas ocasionada por ciclos fotoinductivos, ya que el pico de actividad que eluyó junto con Z tuvo su actividad marcadamente disminuida en DC. Al comparar las inflorescencias de plantas de tomate cv. King Plus cultivadas en condiciones favorables (DL de 20 h y 20 W·m-2) y adversas (DC de 8 h y 12 W·m-2), la concentración de citoquininas disminuyó en las inflorescencias de las plantas en condiciones adversas, sugiriéndose que las citoquininas desempeñan un papel importante en el desarrollo de estadios reproductivos iniciales de esta especie (Leonard y Kinet, 1982).
En análisis de Z, ZR, iP e iPA por Clae en Chenopodium rubrum (PDC) y en C. murale (PDL), Machácková y Krekule (1991) verificaron que la concentración de citoquininas es controlada por el fotoperiodo, disminuyendo en el periodo de oscuridad y aumentando en el de luz. El patrón de fluctuación estaría acoplado con el régimen que induce el florecimiento en la PDC y con el que mantiene a las plantas vegetativas en la PDL, lo que dificultaría establecer correlaciones entre las fluctuaciones y los niveles de citoquininas y la inducción fotoperiódica de la floración.
Lukaszewska et al. (1994) cuantificaron Z e iP por Elisa en pétalos de rosa y, contrariamente al resultado del bioensayo, los datos mostraron que iP fue más abundante que Z.
Durante el proceso de diferenciación floral en Pseudotsuga menziesii, las alteraciones en iPA parecen ser independientes de la floración, mientras que la cantidad de iP se relacionó sistemáticamente con la iniciación de flores femeninas. La aplicación de iP también se asoció con la formación de flores femeninas (Imbault et al., 1988).
También en Pseudosutga menziesii las citoquininas del tipo Z se presentaron en concentraciones bajas, mientras que en las ramas de los árboles en floración se detectaron concentraciones altas de iP. La suspensión de la actividad radical, que interrumpe la hidroxilación de iP a citoquininas del tipo Z, resultó en el acúmulo de iP en el botón terminal (Pilate et al., 1990).
Van Staden et al. (1990) verificaron que la (3H)iP fue transportada con rapidez para todas las partes de la flor en clavel de corte y se transformó, entre otros compuestos, en Z y DHZ, indicando el grado de hidroxilación, lo que contribuiría a la eficiencia de la iP.
Con base en los resultados obtenidos, se sugiere que las citoquininas están involucradas en el proceso de antesis floral de Solidago x luteus, principalmente iP e iPA. La iPA sería transportada más rápidamente de la hoja al botón floral en DC, posibilitando tal vez la mayor velocidad de antesis floral observada en este fotoperiodo.
Literatura citada
Bentley, B., C.B. Morgan, D.G. Morgan y F.A. Saad. 1975. Plant growth substances and effects of photoperiod on flower bud development in Phaseolus vulgaris. Nature 256, 121-22. [ Links ]
Bernier, G., J.M. Kinet, A. Jacqmard, A. Havelange y M. Bodson. 1977. Cytokinin as a possible component of the floral stimulus in Sinapis alba. Plant Physiol. 60, 282-285. [ Links ]
Caldas, L.S., C. Bravo, H. Piccolo y C.R.S.M. Faria. 1992. Measurement of leaf area with a hand-scanner linked to a microcomputer. Rev. Bras. Fisiol. Veg. 4, 17-20. [ Links ]
Chen, W.S. 1991. Changes in cytokinins before and during early flower bud differentiation in Lychee (Litchi chinensis Sonn.). Plant Physiol. 96, 1203-1206. [ Links ]
Clark, B. y E. Engvall. 1985. Enzyme-linked immunosorbent assay (Elisa): theoretical and practical aspects. pp. 167-179. En: Maggio, E.T. (ed.). Enzyme immunoassay. CRC Press, Boca Raton, FL. [ Links ]
Felippe, G.M., I.F.M. Válio, M.F.A. Pereira, R.R. Sharif y S.R. Vieira. 1985. Fisiologia do desenvolvimento vegetal. 2a ed. Editora da Unicamp, Campinas. 66 p. [ Links ]
Flórez-Roncancio, V.J. y M.F.D.A. Pereira. 1999. Relationship between cytokinins and photoperiod in floral development of Solidago luteus. Acta Hort. 482, 27-32. [ Links ]
Gerhäuser, D. y M. Bopp. 1990a. Cytokinin oxidases in mosses. 1. Metabolism of kinetin and benzyladenine in vivo. J. Plant Physiol. 135, 680-685. [ Links ]
Gerhäuser, D. y M. Bopp. 1990b. Cytokinin oxidases in mosses. 2. Metabolism of kinetin and benzyladenine in vitro. J. Plant Physiol. 135, 714-718. [ Links ]
Hempel, F.D, D.R. Welch y L.J. Feldman. 2000. Floral induction and determination: where is flowering controlled? Trends Plant Sci. 5(1), 17-21. [ Links ]
Hoagland, D.R. y D.I. Arnon. 1938. The water-culture method for growing plants without soil. Circular 347. California Agricultural Experimental Station, Berkeley, CA. 39 p. [ Links ]
Imbault, N., I. Tardieu, C. Joseph, J.B. Zaerr y M. Bonnet-Masimbert. 1988. Possible role of isopentenyladenine and isopentenyladenosine in flowering of Pseudotsuga menziesii: endogenous variations and exogenous applications. Plant Physiol. Biochem. 26, 289-296. [ Links ]
Koshimizu, K. y H. Iwamura. 1986. Cytokinins. pp. 153-199. En: Takahashi, N. (ed.). Chemistry of plant hormones. CRC Press, Boca Raton, FL. [ Links ]
Labouriau, L.G. 1983. A germinação das sementes. Monografias Científicas. Organização dos Estados Americanos, Washington. 172 p. [ Links ]
Leonard, M. y J.M. Kinet. 1982. Endogenous cytokinin and gibberellin levels in relation to inflorescence development in tomato. Ann. Bot. 50, 127-130. [ Links ]
Letham, D.S. 1971. Regulators of cell division in plant tissues. XII. A cytokinin bioassay using excised radish cotyledons. Physiol. Plant. 25, 391-396. [ Links ]
Letham, D.S. y L.M.S. Palni. 1983. The biosynthesis and metabolism of cytokinins. Annu. Rev. Plant Physiol. 34, 163-197. [ Links ]
Lukaszewska, A.J., J. Bianco, P. Barthe y M.T. Le Page-Degivry. 1994. Endogenous cytokinins in rose petals and the effect of exogenously applied cytokinins on flower senescence. Plant Growth Regul. 14, 119-126. [ Links ]
Machácková, I. y J. Krekule. 1991. Cytokinins in photoperiodic flower induction in Chenopodium species. Flowering Newslett. 12, 15-17. [ Links ]
Mok, D.W.S y M.C. Mok. 2001. Cytokinin metabolism and action. Annu. Rev. Plant. Physiol. Plant. Mol. Biol. 52, 89-118. [ Links ]
Mok, M.C. 1994. Cytokinins and plant development: an overview. pp. 155-166. En: Mok, D.W.S. y M.C. Mok (eds.) Cytokinins: chemistry, activity, and function. CRC, Boca Raton, FL. [ Links ]
Moore, T.C. 1979. Biochemistry and physiology of plant hormones. Springer-Verlag, Nueva York. 274 p. [ Links ]
Pilate, G., B. Sotta, R. Maldiney, M. Bonnet-Masimbert y E. Miginiac. 1990. Endogenous hormones in Douglas fir trees induced to flower by gibberellin A-4/7 treatment. Plant Physiol. Biochem. 28, 359-366. [ Links ]
Sotta, B., G. Pilate, F. Pelese, I. Sabbagh, M. Bonnet y R. Maldiney. 1987. An avidin-biotin solid phase Elisa for fentomole isopentenyladenine and isopentenyladenosine measurements in HPLC purified plant extracts. Plant. Physiol. 84, 571-573. [ Links ]
Van der krieken, W.M., G. van Eldik, L. Nijtmans, A.F. Croes y G.J. Wullens. 1991. Endogenous cytokinins in flower bud forming explants of tobacco. J. Exp. Bot. 42, 77-80. [ Links ]
Van Staden, J. y P.F. Wareing. 1972. The effect of photoperiod on level of endogenous cytokinins in Xanthium strumarium. Physiol. Plant. 27, 331-337. [ Links ]
Van Staden, J. y G.G. Dimalla. 1980. Endogenous cytokinins in Bougainvillea 'San Diego Red'. III. Effect of photoperiod and gibberellic acid on flowering and cytokinin levels. Bot. Gaz. 141, 248-251. [ Links ]
Van Staden, J., S.J. Upfold, A.D. Bayley y F.E. Drewes. 1990. Cytokinins in cut carnation flowers. IX. Transport and metabolism of isopentenyladenine and the effects of its derivatives on flower longevity. Plant Growth Regul. 9, 255-261. [ Links ]
Weiler, E.W., P.S. Jourdan y W. Conrad. 1981. Levels of indole-3- acetic acid in intact and decapitated coleoptiles as determined by a specific and highly sensitive solid-phase enzyme immunoassay. Planta 153, 561-571. [ Links ]
Wood, T. 1955. A reagent for detection of chloride and certain purines and pyrimidines on paper chromatograms. Nature 176, 175-76. [ Links ]













