1. INTRODUCCIÓN
La disponibilidad cualitativa y cuantitativa de agua es el factor fundamental en la fijación del hombre y en la formación de nuevas comunidades cercanas a las fuentes del líquido [1]. Junto a las dificultades inherentes a la heterogénea distribución de los recursos hídricos en términos espaciales y temporales, la calidad de las aguas se encuentra comprometida, en escala global, por actividades antrópicas aún poco controladas [2]. Los efectos más adversos de tales actividades están concentrados en las poblaciones con menores condiciones de saneamiento, pues 90% de las aguas residuales en países en vías de desarrollo son vertidas directamente y sin ningún tipo de tratamiento en los ríos, lagos y océanos [3].
La falta de acceso al agua potable y al saneamiento, junto con la falta de higiene personal, produce grandes impactos en la salud humana. En la primera década del siglo XXI, se estimó que tales problemas representaron del orden de 4,0% de las muertes, y 5,7% de la carga total de enfermedades a nivel mundial [4].
Las aguas residuales son una combinación de efluentes domésticos, industriales, de establecimientos comerciales e institucionales, agua de lluvia y drenaje urbano, así como efluentes agrícolas y pecuarios [5]. De acuerdo con Spellman [6], las plantas de tratamiento de aguas residuales se diseñan con diferentes propósitos, como proteger la salud pública y el abastecimiento del líquido, así como preservar el mejor uso del agua y de la vida acuática. Los efectos más importantes causados por efluentes predominantemente domésticos en cuerpos de agua son: la contaminación por materia orgánica (debido al consumo del oxígeno disuelto); la contaminación por microorganismos patógenos (por los riesgos de transmisión de enfermedades de vehiculación hídrica); y la contaminación de lagos y represas (por la eutrofización, causada por nitrógeno y fósforo) [7].
El escaso tratamiento de las aguas residuales es un problema en gran parte del mundo, pues las tecnologías disponibles para ese fin en muchos casos son excesivamente costosas [8]. Las tecnologías naturales para tratamiento de aguas residuales se definen como aquellas que emplean procesos naturales (biológicos, físicos o solares) para alcanzar el nivel de tratamiento deseado, y además presentan una o más de las siguientes características: logran niveles de tratamiento aceptables; requieren de un bajo capital de inversión; presentan bajos costos de operación y mantenimiento; requieren de operadores menos cualificados que muchas otras tecnologías convencionales; potencialmente poseen ciclos de vida más largos que las tecnologías electromecánicas convencionales [9]. Los sistemas de tratamiento que se enmarcan en este tipo de tecnologías son las lagunas de estabilización, los humedales construidos (wetlands) y el tratamiento por infiltración en el suelo.
Las lagunas de estabilización son usualmente el método más apropiado de tratamiento de efluentes de origen doméstico y municipal en países emergentes; son opciones de bajo costo, que requieren de poco mantenimiento y presentan alta eficiencia, por medio de mecanismos naturales y sustentables [10]. El tratamiento de las aguas residuales en lagunas de estabilización principalmente es el resultado de la sedimentación y de una compleja simbiosis entre bacterias y algas, donde la oxidación de la materia orgánica se logra por medio de las bacterias en la presencia de oxígeno disuelto suministrado por la fotosíntesis algal y por la re-aireación atmosférica [11].
Según la Organización Mundial de la Salud (OMS), la irrigación es la actividad que más consume agua dulce en el mundo, lo que representa alrededor del 70% (>90% en algunos países) de todas las extracciones mundiales de agua [12]. Aunque la reutilización de las aguas residuales sea una de las principales opciones que se barajan como una nueva fuente de agua en las zonas donde el líquido es escaso, se sabe que esta alternativa se asocia con riesgos para la salud humana - para los trabajadores y para los consumidores de productos de regadío - debido a que el agua residual puede contener virus entéricos, bacterias y protozoarios patogénicos.
De acuerdo con Bastos et al. [13], el uso controlado de efluentes domésticos presenta diversas ventajas entre las que están: se constituye en una práctica de reciclaje del agua y de nutrientes; contribuye al aumento de la producción de alimentos, la recuperación de áreas improductivas y la ampliación de áreas irrigadas; contribuye a la preservación y protección del medio ambiente al minimizar el vertimiento de aguas residuales en los cursos de agua naturales, y al favorecer la conservación y recuperación de suelos.
En 2006, la OMS publicó las directrices para el uso seguro de las aguas residuales, donde recomienda la definición de objetivos sanitarios realistas a partir de un nivel de referencia de riesgo aceptable que puede ser cuantificado en términos de años de vida ajustados por discapacidad -AVAD- (de la sigla original en inglés DALY: disability adjusted life years). El AVAD es un indicador cuantitativo de "carga de enfermedad" y refleja la cantidad total de vida saludable que se pierde, es decir, la calidad de vida que se reduce debido a una discapacidad, o el tiempo de vida que se pierde debido a una mortalidad prematura. Dependiendo de las circunstancias, existen varias medidas posibles de protección de la salud (barreras), que incluyen el tratamiento de desechos, restricción de cultivos, adaptación de técnicas de riego y tiempo de aplicación y control de la exposición humana [14].
Con base en los estudios de evaluación de riesgos potenciales y reales para el uso de aguas residuales en la agricultura, la OMS recomienda valores de riesgo tolerable de infección por patógenos como se muestra a continuación en la Tabla 1.
Tabla 1 DALY, riesgo de enfermedad, razón enfermedad/infección y riesgos tolerables de infección por rotavirus, Campylobacter y Cryptosporidium [13]

1 AVAD: años de vida ajustados por discapacidad.
2 pppa: por persona por año.
3 Riesgo tolerable de infección = riesgo de enfermedad / (razón enfermedad/infección).
El objetivo principal de éste trabajo fue la evaluación cuantitativa del riesgo de infección por virus, bacterias y protozoarios debido al consumo de vegetales irrigados por aspersión con el afluente crudo y el efluente tratado de la PTAR de la ciudad de Ilha Solteira, en el estado de São Paulo, Brasil. Para tal fin se utilizaron datos de coliformes fecales registrados en estudios previos realizados sobre la PTAR y datos de consumo de hortalizas en Brasil; se recurrió a escenarios de exposición y modelos dosis-respuesta reportados por la literatura.
2. METODOLOGÍA
Planta de tratamiento y líquidos afluente y efluente
La PTAR de Ilha Solteira dispone de unidades de tratamiento preliminar conformadas por canasta de reja metálica, una rejilla de barras paralelas inclinadas y un desarenador de dos cámaras paralelas; el sistema de tratamiento biológico consiste en dos lagunas facultativas primarias, operadas en paralelo. Cada laguna mide 106 m de ancho, 457 m de largo y 1,14 m de profundidad media y posee borde libre de 0,6 m. La parte superior de los taludes cuenta con protección por medio de placas de concreto, adicionalmente la PTAR posee barreras laterales conformadas por árboles plantados, que además de evitar la propagación de malos olores contribuye a mejorar el aspecto paisajístico del sector.
La Figura 1 presenta una imagen satelital de la PTAR, en ella puede observarse la cercanía de la planta al río Paraná, el cual recibe el efluente final, adicionalmente se evidencia que en las zonas aledañas existe amplia disponibilidad de área para eventuales ampliaciones de la planta, para la incorporación de unidades de tratamiento complementarias o inclusive para uso de su efluente final en actividades agrícolas o pecuarias.
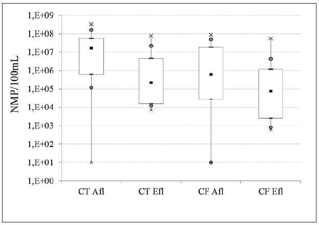
Las concentraciones de coliformes fecales (CF) utilizadas para modelar la cantidad de organismos patógenos presentes en el afluente crudo y el efluente tratado de la PTAR se presenta a continuación, junto con los datos registrados para coliformes totales (CT), en la Figura 2. Tales datos provienen de un monitoreo efectuado a la planta durante tres años consecutivos, el cual incluyó las diferentes condiciones climáticas típicas de la región. Los resultados más relevantes del monitoreo y de un levantamiento batimétrico de la PTAR fueron previamente publicados por éste medio de difusión científica [15].
Las concentraciones medias de CT y CF afluentes (Afl) a la PTAR fueron respectivamente de 54,6E+06 y 15,8E+06 organismos por cada 100 mL; los valores medios calculados para el efluente (Efl) fueron de 7,5E+06 y 3,6E+06 org/100 mL. Las remociones medias de los coliformes, calculadas a partir de las concentraciones registradas, fueron de 1,56 y 1,30 unidades logarítmicas para CT y CF, respectivamente.
Definición general del escenario de exposición
Se definió para el escenario de exposición la irrigación no restringida de diversos tipos de hortalizas con aguas residuales crudas y tratadas de la PTAR de Ilha Solteira. El grupo de riesgo seleccionado fue el público brasilero consumidor de hortalizas irrigadas, expuesto al riesgo de infección por ingestión de hortalizas irrigadas con las aguas residuales de la ciudad. La cantidad de vegetales consumidos se determinó a partir de los datos de adquisición alimentar per cápita reportados por la investigación de presupuestos familiares desarrollada por el Instituto Brasilero de Geografía y Estadística, IBGE [16].
De la base de datos de la investigación del IBGE se seleccionaron hortalizas que usualmente se consumen crudas, a saber: lechuga, repollo, tomate y pepino. Lo anterior puesto que en la literatura existen datos relativos al volumen de agua remanente en las culturas después de su irrigación; adicionalmente, debido a que los vegetales en mención son cotidianamente consumidas de manera individual o en forma de ensalada.
Los patógenos analizados en el modelo fueron organismos representantes de los grupos de virus, bacterias y protozoarios, a saber: norovirus, Campylobacter y Cryptosporidium. La simulación consideró la irrigación por aspersión pues el modelo de exposición simula condiciones de intenso contacto del agua con la superficie de las culturas irrigadas. A partir de relaciones proporcionales empíricas entre patógenos e indicadores de contaminación fecal, inicialmente propuestas para virus entéricos [17], y posteriormente ampliadas para Campylobacter y Cryptosporidium [18], se estimó la cantidad de patógenos presente en los alimentos según la Ecuación 1.
Donde:
D: Dosis de patógenos ingerida en cada evento de exposición,
CF: Concentración de coliformes fecales por cada 100 mL en el agua de irrigación (agua residual cruda o efluente de la PTAR),
N: Número de patógenos por cada 1,0E+05 CF,
10-x: Remoción de patógenos por higiene de los alimentos (lavado),
Co: Consumo per capita de hortalizas (g/d),
V: Volumen de agua remanente en la superficie de la hortaliza después de la irrigación,
x: Factor de remoción de patógenos
La probabilidad de infección para cada patógeno, dada la respectiva dosis ingerida, se calculó a partir de los modelos: fraccional-Poisson para norovirus, determinado por Messner et al. [19]; exponencial para Cryptosporidium, de acuerdo con Hass et al. [20] y Beta-Poisson para Campylobacter, según Teunis y Havelaar [21].
La estimación de los riesgos de infección anual se realizó a través de simulación estocástica mediante uso del software "@Risk para Excel versión 5.5" (Palisade Corporation); para tal fin se efectuaron 10000 iteraciones por medio de simulación de Monte Carlo. La expresión para cálculo del riesgo anual de infección fue la recomendada por la OMS según se presenta a continuación en la Ecuación 2:
Donde:
PI(d): Riesgo de infección para una cierta dosis (vía ingestión) para un cierto patógeno en cada evento de exposición a partir de una dosis d,
PI(A): Riesgo de infección anual a partir de n exposiciones a lo largo de un año para un patógeno con base en una dosis d.
Para las variables con número pequeño de datos, tales como las concentraciones de CF en el afluente y en el efluente de la PTAR, así como los datos de consumo de las hortalizas, se realizó bootstrapping a sus datos, que es una técnica de re-muestreo introducida por Efron [22]. Dicha técnica trata una muestra observada como una población finita, a partir de la cual son generadas muestras para estimar características poblacionales y hacer inferencias sobre la población.
Utilizando la herramienta de orden de rangos de correlación de Spearman del software "@Risk 5.5", se realizó el análisis de sensibilidad con el fin de identificar las variables de entrada más importantes, es decir, aquellas que tienen mayor efecto sobre las estimaciones, según recomendado por Pavione et al. [23].
3. RESULTADOS Y DISCUSIONES
Con miras a evaluar la concentración de los CF en los dos tipos de líquidos analizados (afluente y efluente), se realizó la prueba de Mann-Whitney para 95% de significancia, obteniendo como resultado que la concentración de CF en el afluente y en el efluente de la PTAR fue estadísticamente diferente. Con base en lo anterior, se espera que el riesgo anual, como resultado del uso de los líquidos afluente y efluente a la planta, sea también estadísticamente diferente.
Después de aplicar bootstrapping a los datos de CF en el afluente y efluente de la PTAR, dicha variable asumió el comportamiento de una distribución Lognormal; de igual forma, después de efectuar el mismo proceso con los datos de consumo, éstos asumieron una distribución Lognormal para tomate y pepino, Beta general para lechuga y Normal para repollo. El número de patógenos (norovirus, Cryptosporidium y Campylobacter) por cada 1,0E+05 CF evidenció una distribución uniforme. El volumen de agua residual que permanece en la superficie de las leguminosas después de su irrigación, en mL/100g, asumió una distribución normal para lechuga, tomate y pepino, según lo reportado por Hamilton et al. [24], y para repollo asumió una distribución Lognormal, con base en lo registrado por Mok et al. [25]. El decaimiento para los patógenos asumió distribuciones Uniforme para Cryptosporidium y Campylobacter y Pert para norovirus a partir de lo reportado en las referencias [18] y [25].
A continuación, en la Tabla 2 se presentan los resultados de los riesgos anuales estimados (medianas y percentil 95), obtenidos a partir del modelamiento de los datos de irrigación de las culturas con el afluente crudo de la PTAR.
Tabla 2 Riesgos anuales de infección estimados; resultado del consumo de hortalizas crudas irrigadas con el afluente crudo de la PTAR de Ilha Solteira
Para ejemplificar la simulación realizada en el software @Risk, la Figura 3 ilustra los resultados de los riesgos anuales de infección por los tres tipos de patógenos para consumo de tomate irrigado con afluente crudo que ingresó a la PTAR. La representación gráfica de los riesgos para las demás hortalizas no se ilustra en este texto, pero se obtuvo de manera análoga.

Figura 3 Riesgos de infección por norovirus (3A), Cryptosporidium (3B) y Campylobacter (3C) por consumo de tomate irrigado con afluente crudo.
La Tabla 3 ilustra los valores de riesgos anuales estimados (medianas y percentil 95), calculados a partir del modelamiento de los datos de irrigación de las culturas con el efluente tratado por la PTAR de Ilha Solteira.
Tabla 3 Riesgos anuales de infección como resultado del consumo de hortalizas crudas irrigadas con el efluente tratado por la PTAR
Para ejemplificar la simulación realizada en el software @Risk, la Figura 4 presenta gráficamente los resultados de riesgos anuales de infección por los patógenos para consumo de tomate irrigado con efluente tratado por la PTAR. La representación de los riesgos para las demás hortalizas no se presenta en este texto, pero se obtuvo de manera análoga.

Figura 4 Riesgos de infección por norovirus (4A), Cryptosporidium (4B) y Campylobacter (4C) por consumo de tomate irrigado con efluente tratado.
En las Figuras 3 y 4 se observó que, en general, los riesgos estimados presentaron distribuciones o histogramas asimétricos hacia la izquierda. Dicha situación refleja la distribución Lognormal, obtenida a partir de los datos de concentración de CF tanto a la entrada como a la salida de las lagunas facultativas primarias de la PTAR de Ilha Solteira.
Los análisis de sensibilidad indicaron que para todas las hortalizas y para los tres tipos de microorganismos patógenos analizados, las variables más influyentes en los resultados del modelamiento del riesgo de infección, en orden decreciente, fueron: decaimiento de los patógenos, número de patógenos por 1,0E+05 CF, cantidad de CF en el líquido afluente o efluente utilizado para irrigación, volumen de agua residual remanente en los vegetales; por su parte, el consumo de las hortalizas fue la variable con menor impacto en el riesgo, tanto para el uso del afluente como del efluente en irrigación de las culturas.
La OMS asume como carga de enfermedad tolerable un valor de 1,0E-06 DALY pppa, y de acuerdo con los escenarios de exposición definidos para irrigación con el afluente crudo, los resultados indican que el consumo de las hortalizas analizadas se reflejaría en riesgos mayores que los "niveles tolerables" definidos en las directrices de la OMS para los 3 patógenos, tanto en relación a las medianas, como respecto a los percentiles 95% para lechuga, repollo, tomate y pepino, con excepción de Cryptosporidium en el caso de tomate y pepino, que registraron niveles de riesgo tolerables en sus medianas y percentiles 95%. El riesgo en tales productos hortícolas es menor debido a que el volumen de agua remanente después de la irrigación es inferior a la lechuga y el repollo ya que su superficie es lisa.
Se detectaron riesgos bastante elevados para repollo; de acuerdo con el análisis de sensibilidad, la mayor contribución para ello fue el volumen de agua residual remanente y la pobre remoción como resultado del lavado. Por lo tanto, la gestión del riesgo podría concentrarse en la disminución del número de patógenos a través de la implementación de unidades de tratamiento del agua residual con el propósito de reducir el riesgo hasta los niveles tolerables, lo que justifica el análisis realizado para irrigación con el efluente tratado.
En lo que se refiere a la irrigación con el efluente tratado, se evidenciaron riesgos mayores que los "niveles tolerables" establecidos por la OMS para los tres tipos de patógenos, para las medianas y los percentiles 95% para lechuga y repollo, pero con algunas diferencias excepcionales en las siguientes situaciones:
para tomate y pepino, el riesgo de infección por Cryptosporidium fue tolerable tanto en términos de la mediana como del percentil 95%,
para tomate y pepino, la mediana del riesgo de infección por Campylo-bacter se encontró dentro de los niveles tolerables.
para pepino, la mediana del riesgo de infección por norovirus se encontró muy cercana al máximo valor tolerable,
En términos generales, las estimaciones de riesgo de infección al utilizar el afluente crudo o el efluente tratado en irrigación de lechuga y repollo fueron mayores que para las otras culturas debido a que son hortícolas de hoja con superficie no lisa, con bastante área de exposición al líquido de irrigación, lo que les otorga mayor capacidad para retener volumen de agua que las demás culturas analizadas en el presente estudio.
Resultados similares fueron obtenidos en estudios realizados por Mara et al. [18], en los cuales fueron reportados riesgos del orden de 6,5E-01, 6,3E-02 y 6,3E-02 para rotavirus, Campylobacter y Cryptosporidium, respectivamente, como resultado del consumo de lechuga irrigada con agua residual con 1,0E+06 a 1,0E+07 E coli/100mL; en el estudio se consideró un consumo de 150 días por año y un volumen remanente del agua residual de 10 a 15 mL en cada 100 gramos del vegetal.
Hamilton y colaboradores [23] ensayaron varios y diferentes escenarios relativos al consumo de pepino, brócoli, repollo y lechuga, irrigados con un efluente cuya concentración de virus era conocida y reportaron riesgos que variaron entre 1,0E-03 y 1,0E-01 al ser analizados un día después de efectuada la irrigación, y entre 1,0E-09 y 1,0E-03 después de dos semanas de haber realizado la irrigación, momento en el que se realizó la cosecha de los vegetales.
4. CONCLUSIONES
A partir de los resultados obtenidos para el escenario de irrigación no restringida con afluente bruto y efluente tratado por la PTAR de Ilha Solteira, se verifica que:
Para el riego con afluente bruto, las medianas y los percentiles 95% de los riesgos de infección por los tres patógenos a través del consumo de lechuga, repollo, tomate y pepino, superaron los valores tolerables establecidos por la OMS, con excepción de los riesgos de infección por Cryptosporidium para el consumo de tomate y pepino, que fueron inferiores al riesgo tolerable tanto en los valores de mediana como de percentil 95%.
Las medianas y los percentiles 95% de los riesgos de infección por consumo de las culturas irrigadas con efluente tratado, superaron a los límites establecidos por la OMS, con excepción del riesgo de infección por Cryptosporidium (mediana y percentil 95%) debido al consumo de tomate y pepino, así como los riesgos de infección por norovirus y Campylobacter (medianas) debido al consumo de pepino, que fueron inferiores al riesgo tolerable.
Al considerarse un escenario más conservador con respecto a la prevención de riesgos para la salud - percentil 95% del riesgo -, ninguna de las culturas al ser irrigadas con el afluente o el efluente de la PTAR cumpliría con la generación de riesgos menores a los permitidos por la OMS; sin embargo, en un escenario menos conservador al considerar las medianas de los riesgos calculados, únicamente el pepino al ser irrigado con el efluente tratado cumpliría con las directrices para los tres patógenos considerados.
El tratamiento del agua residual en las lagunas de estabilización contribuyó a la reducción de las concentraciones de organismos indicadores de contaminación fecal y, consecuentemente, a la disminución de los riesgos de infección a través del consumo crudo de las hortalizas aquí analizadas. Sin embargo, las concentraciones de patógenos en el efluente tratado conducen a valores de riesgo aún muy superiores a los límites tolerables establecidos por la OMS. De esta forma, se sugiere que el efluente tratado por la PTAR de Ilha Solteira sea empleado en otras formas de irrigación (por ejemplo, en escenarios de irrigación restringida) o de reúso, o que sea sometido a un tratamiento posterior (como un sistema de lagunas de maduración en serie) con vistas a la mejora de la calidad del agua.

















