Services on Demand
Journal
Article
Indicators
-
Cited by SciELO -
Access statistics
Related links
-
Cited by Google -
Similars in
SciELO -
Similars in Google
Share
Ingeniería y Universidad
Print version ISSN 0123-2126
Ing. Univ. vol.15 no.1 Bogotá Jan./June 2011
Simulación numérica de hornos de combustión equipados con quemadores radiantes1
Numerical Simulation of Combustion Furnaces Equipped with Radiant Wall Burners2
Simulação numérica de fornos de combustão equipados com queimadores radiantes3
Andrés Arrieta-Burgos4
Francisco Cadavid-Sierra5
Andrés Amell-Arrieta6
1Este artículo se deriva del trabajo de grado de maestría Simulación numérica de ios fenómenos fluidodinámicos, térmicos y cinético-químicos presente en un horno de pirólisis, del Grupo de Ciencia y Tecnología del Gas y Uso Racional de la Energía (GASURE), Universidad de Antioquia, Medellín, Colombia. El trabajo fue financiado por la Universidad de Antioquia y el Instituto Colombiano del Petróleo (convenio de cooperación 008-2007).
2Submitted on November 23, 2010. Accepted on January 31, 2011. This article is derived from the Master Thesis named Numerical Simulation of Fluid-Dynamic, Thermal, and Kinetic-Chemical Phenomena in a Pyrolysis Furnace of the Science and Technology Group on Gas and Rational Use of Energy, developed by the research group Science and Technology on Gas and Rational Energy Use of the Universidad de Antioquia, Medellín, Colombia. The research Project was funded by the Universidad de Antioquia and the Instituto Colombiano del Petróleo (Cooperation Agreement 008-2007).
3Data de recepção: 23 de novembro de 2010. Data de aceitação: 31 de janeiro de 2011. Este artigo deriva do trabalho de mestrado Simulação numérica dos fenômenos fluidodinâmicos, térmicos e cinético, químicos presentes em um forno de pirolise, do Grupo de Ciência e Tecnologia do Gás e Uso Racional da Energia (GASURE), Universidade de Antioquia, Medellín, Colômbia. O trabalho foi financiado pela Universidade de Antioquia e o Instituto Colombiano de Petróleo (convênio de cooperação 008-2007).
4Ingeniero mecánico, Universidad Pontificia Bolivariana, Medellín, Colombia. Estudiante de Maestría en Ingeniería, Universidad de Antioquia, Medellín, Colombia. Estudiante instructor, Universidad de Antioquia. Correo electrónico: andreseugenio@gmail.co.
5Ingeniero mecánico, Universidad de Antioquia, Medellín, Colombia. Magíster en DEA Aerodynamique Mécanique des Fluides Combustion. Doctorado en Génie Mécanique et Énergétique. Docente de planta, Universidad de Antioquia. Correo electrónico: fcadavid@udea.edu.co.
6Ingeniero mecánico, Universidad de Antioquia, Medellín, Colombia. Magíster en Economía de la Energía y los Recursos Naturales. Docente de planta, Universidad de Antioquia. Correo electrónico: anamell@udea.edu.co.
Fecha de recepción: 23 de noviembre de 2010. Fecha de aceptación: 31 de enero de 2011.
Resumen
Las simulaciones de hornos de combustión equipados con quemadores radiantes habitualmente se realizan asumiendo una combustión desarrollada en las copas de los quemadores. Este supuesto minimiza el costo computacional ocasionado al simular cientos de quemadores; sin embargo, implica simular un horno donde no se modela el desarrollo de las reacciones de combustión y no se considera la interacción de la geometría de los quemadores en los perfiles de flujo y temperatura en el interior de la cámara de combustión. Este trabajo procura sustentar la simplificación anterior midiendo el impacto frente a una metodología que permite aproximar el funcionamiento del horno, operando con cientos de quemadores y modelando la combustión. Los resultados obtenidos muestran que las simulaciones difieren en las temperaturas de pared, potencia que llega a la carga y eficiencia de la cámara de combustión en: 1 K, 0,07 MW y 0,3%.
Palabras clave : Hornos-métodos de simulación, transmisión del calor, modelos matemáticos.
Abstract
Simulations of combustion furnaces equipped with radiant burners are usually done assuming the presence of fully developed burning gases in the burners' outlet. This assumption minimizes the computational cost of simulating hundreds of burners. However, it involves simulating a furnace where the development of combustion reactions is not taken into account, and the interaction of the geometry of the burners with the flow and temperature profiles inside the firebox is not considered. This work seeks to support the above simplification by comparing its impact to a methodology that gets closer to the actual operation of a furnace with hundreds of burners and makes it possible to model the combustion process. Results show that the simulations differ in wall temperatures, the power that reaches the load and the efficiency of firebox in: 1 K, 0.07 MW, and 0.3%.
Key words: Furnaces-simulation methods, heat-transmission, mathematical models.
Resumo
As simulações de fornos de combustão equipados com queimadores radiantes habitualmente são realizadas assumindo uma combustão desenvolvida nos vasos queimadores. Este suposto minimiza o custo computacional ocasionado ao simular centenas de queimadores; entretanto, implica simular um forno onde não é modelado desenvolvimento das reações de combustão e não se considera a interação da geometria dos queimadores nos perfis de fluxo e temperatura no interior da câmara de combustão. Este trabalho procura s us tentar a simpli ficação anter ior medindo o impacto ante uma metodologia que permite aproximar o funcionamento do forno, operando com centenas de queimadores e modelando a combustão. Os resultados obtidos mostram que as simulações diferem nas temperaturas de parede, potência que chega a carga e eficiência da câmara de combustão em: 1 K,0,07 MW e 0,3%.
Palavras chave: Fornos-métodos de simulação, transmissão do calor, modelos matemáticos.
Introducción
Debido a las altas concentraciones de mezclado turbulento entre el combustible y el oxidante, los estudios de los hornos de combustión equipados con quemadores radiantes se han simplificado no modelando las reacciones de combustión. El supuesto utilizado se sustenta en que la oxidación del combustible se desarrolla en su totalidad en las zonas cercanas a las descargas de los quemadores y permite simular los hornos como si operaran con productos de combustión a elevadas temperaturas (Stefanidis et al., 2008). Con la intención de validar la simplificación anterior, el objetivo de este trabajo es medir el impacto de simular los hornos de quemadores radiantes considerando o no las reacciones de combustión.
1. Metodología
En la simulación de los fenómenos de combustión del gas en hornos equipados con quemadores radiantes se debe considerar la geometría de los quemadores. Esto sucede debido a que dicha geometría determina, entre otras, tasa de mezclado, patrones de recirculación, estabilidad de la llama, desarrollo de las reacciones de oxidación y tasa de liberación de calor del combustible. El mallado de un quemador de premezcla (Figura 1) no es un procedimiento sencillo, dado el detalle que implica la geometría. Si adicional a lo anterior se tiene presente que la mayoría de los hornos de este tipo se encuentra conformada por un número elevado de quemadores, resulta sumamente complejo el mallado conjunto del horno y de los quemadores que lo conforman. A su turno, el costo computacional que se generaría debido al número de celdas sería considerablemente alto.
Con el objeto de superar la dificultad anotada, en este trabajo se separó el problema en dos etapas. La primera consistió en simular un quemador con una geometría bastante detallada junto a una porción del horno que permitiera desarrollar la llama (Figura 1). Las condiciones de operación de este quemador son las mismas utilizadas en campo y se simuló para un caso en el cual el segmento del horno es considerado adiabático.
De esta primera etapa se toman los perfiles de flujo, turbulencia, especies químicas y temperatura en el plano del quemador señalado por la Figura 1. Estos perfiles se usaron posteriormente en una de las simulaciones de la etapa dos como una condición de frontera del horno. En la segunda etapa del trabajo se simuló la cámara de combustión del horno. Dos simulaciones se realizaron: una donde se modelan las reacciones de combustión (caso DP) y otra en la que se omiten el uso de estas (caso PP).
2. Características del horno
La geometría de estudio y algunos parámetros del horno pueden observarse en la Figura 2 y en la Tabla 1. A raíz de la coincidencia entre el plano de simetría térmico y geométrico, será suficiente la simulación de medio horno con el objeto de captar los fenómenos que se presentan en este. El mallado utilizado durante las simulaciones es de naturaleza híbrida y cuenta con 490.282 celdas. Con el mallado híbrido se buscó reducir el número de celdas y asignar mallas hexaédricas a la zona de descarga de los quemadores y a la región cercana a los reactores tubulares. La independencia del mallado se verificó por medio de refinados zonales en regiones cercanas a los reactores tubulares.
3. Modelos matemáticos
Los modelos matemáticos que se quieren resolver son ecuaciones tridimensionales obtenidas por medio de balances fundamentales, los cuales describen para un estado estable el transporte del momentum, energía y especies en el interior del horno. Detalles para la obtención de las ecuaciones pueden consultarse en (Yeoh y Yuen, 2009).
3.1 Ecuaciones de flujo
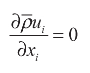
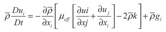
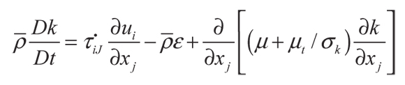
El cálculo de los patrones tridimensionales de flujo se basa en la solución de la ecuación de continuidad (1) y las ecuaciones de Navier-Stokes promediadas en el tiempo (2). Además, para resolver dicho sistema de ecuaciones se empleó el modelo k-ε estándar, el cual adiciona dos ecuaciones que buscan determinar la energía cinética de turbulencia y la disipación de la energía cinética de turbulencia, (3) y (4).
(1)
(2)
(3)
(4)
3.2 Ecuación de la energía
En lo concerniente al transporte de energía, se evaluó el transporte de dicha cantidad, e igualmente se consideraron dos términos fuentes asociados al intercambio de la energía por radiación y a la energía producto de la destrucción o formación de especies químicas.
(5)
3.3 Ecuación de especies químicas
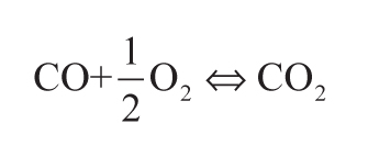
Para determinar en (5) el término fuente de producción o destrucción de especies se debe solucionar la ecuación de conservación de especies químicas (6). Dado que el combustible utilizado es metano, se utilizó el mecanismo reaccional de dos pasos de Westbook y Dryer (1981), (7) y (8).
(6)
(7)
(8)
Las reacciones de combustión que se presentan en los hornos de pirólisis son de naturaleza turbulenta. Los últimos avances de varios modelos se han utilizado para el tratamiento de este fenómeno. En el caso donde se simulan hornos de llama larga, Stefanidis et al. (2006) recomendaron usar el modelo eddy dissipation concept (EDC) (Magnussen, 1981) sobre el modelo eddy break up (EBU) (Spalding, 1971 y 1976). Puesto que para los hornos radiantes la forma de los quemadores provoca un comportamiento disímil en el desarrollo de la oxidación del combustible, con respecto a los de llama larga, este trabajo empleó como una primera aproximación, debido al bajo costo computacional, el modelo finite-rate/eddy dissipation.
Otros modelos de combustión, como el PDF mixture fraction, se han utilizado en trabajos como el de Lan et al. (2007); no obstante, por cuanto se tiene un gas premezclado, no se considera su uso. El modelo finite-rate/eddy dissipation se caracteriza por sopesar cuál de las escalas de tiempo (física y química) determina la reacción. Dependiendo de lo anterior, la tasa de la reacción se predice utilizando la ecuación de Arrhenius (9) o la mínima de las expresiones del modelo eddy disspation (10) y (11).
(9)
(10)
(11)
3.4 Modelo de radiación
La ecuación de radiación para un medio que participa emitiendo, dispersando y absorbiendo radiación se expresa como (12).
(12)
Varios modelos de radiación son susceptibles de ser usados en la simulación de los hornos. Habibi et al. (2007) compararon en una investigación el impacto ocasionado al utilizar el modelo P1 frente al modelo de ordenadas discretas (DO). Como parte de sus conclusiones ultimaron que no hay grandes diferencias en la predicción de la temperatura en algunas variables del proceso. Por lo anterior, y dado que el modelo P1, es computacionalmente menos costoso, en este trabajo se optó por usar dicho modelo.
El modelo P1 es el método más simple del grupo de modelos P-N. Consiste en expandir la intensidad de radiación en series ortogonales de armónicos esféricos (Modest, 2003; Sazhin, 1996). El método de armónicos esféricos provee una aproximación de alto orden al transformar la ecuación de radiación en un sistema de ecuaciones diferenciales parciales. El resultado final del tratamiento matemático se traduce en la siguiente expresión, que al aplicarle el operador divergente puede representar el término fuente de radiación en la ecuación de energía (5).
(13)
4. Detalles de la simulación y condiciones de frontera
Todas las ecuaciones mostradas se solucionaron secuencialmente (de forma segregada) a través del método de volúmenes finitos en el software Fluent Inc®. Para acoplar el término de presión y los términos de velocidad en las ecuaciones de conservación de momentum, se utilizó el algoritmo SIMPLEC. Debido a los patrones de recirculación que se presentan en el horno y a la presencia de fuerzas de flotación, se utilizó el modelo PREssure STaggering Option (PRESTO!) para discretizar el término de presión en las ecuaciones de flujo.
PRESTO! es un método de discretización cimentado en el concepto de mallas decaladas, explicado por Patankar (1980). La discretización del término convectivo de la ecuación de energía se realizó utilizando el esquema de interpolación Monotone Upstream-Centered Schemes for Conservation Laws (MUSCL) (Van Leer, 1979). Debido a la presencia de problemas de convergencia con los esquemas de discretización de segundo orden, el término convectivo de las otras ecuaciones de transporte se discretizó utilizando el esquema de primer orden UPWIND. Para la simulación que emplea los perfiles planos y debido a que no se simulan las reacciones cinéticas de combustión, no es necesario resolver las ecuaciones de especies químicas. Una distribución uniforme de gases de combustión fue considerada en las entradas dominio.
Para el caso DP, por medio de una condición de frontera de velocidad, se asignaron en los planos de los quemadores (figuras 1 y 2) los perfiles de velocidad, temperatura, turbulencia y composición química de la premezcla combustible-aire que ingresa al horno. En el caso PP, puesto que no se modelaron las reacciones de oxidación, la condición de frontera utilizada fue la de flujo másico de entrada.
La metodología empleada para medir el impacto de cada caso sobre la tasa de transferencia de calor por unidad de área (flux de calor) consistió en asignar un perfil de temperatura a los reactores tubulares. El perfil fue el mismo en ambos casos. La Figura 2 muestra algunas de las condiciones de frontera manejadas en ambas simulaciones.
5. Resultados y discusión
Como puede visualizarse en la Figura 3, los patrones de flujo en el horno son altamente asimétricos. En ambos casos se presentan recirculaciones de flujo en el nivel inferior del horno, provocadas por el choque de las corrientes de gases de los quemadores. En la medida en que los quemadores se encuentren a mayor altura, los choques de corrientes se atenúan, gracias a que los patrones ascendentes de flujo dirigen los gases hacia la parte superior del horno.
Para el caso en que se modela la combustión, las zonas de descarga de los quemadores presentan elevadas velocidades de salida de gases en las zonas cercanas a las copas del quemador; no obstante, la zona central del plano de descarga presenta fuertes patrones de recirculación con dirección hacia su interior. Dichas recirculaciones combinan parte de la mezcla aire-combustible saliente con gases tomados del horno. Por otro lado, los perfiles planos no tienen en cuenta los efectos que genera la geometría de los quemadores y la forma con que entran los gases al horno es por medio de una velocidad uniformemente distribuida, situación que genera una menor magnitud en la velocidad de entrada con respecto al caso DP.
Con el objeto de cuantificar concretamente las diferencias en la magnitud de la velocidad para los casos estudiados, se graficó en la Figura 4 el comportamiento de la coordenada en Y de dicha magnitud. En ella puede apreciarse que no se presentan grandes diferencias en las velocidades calculadas para ambos casos.
Las mayores diferencias ocurren en la región central del horno y el valor máximo de la discrepancia es 0,4 m/s. La discontinuidad de las curvas en la Figura 4 se debe al espacio ocupado por los reactores tubulares.
Para analizar el comportamiento de las velocidades en el horno, se graficó en la Figura 5 la componente en Y de la velocidad sobre una línea vertical para diferentes posiciones respecto a la coordenada X. Puede observarse que las predicciones en ambos casos son bastante similares, a excepción de la zona inferior del horno (coordenada X = -11,48%; Y = 19,5%). En dicha zona se encuentra una diferencia de 1 m/s en las velocidades calculadas.
De manera general, ambas simulaciones muestran que la velocidad en dirección Y del horno aumenta en función de la altura de la cámara; sin embargo, el comportamiento anterior cambia súbitamente a la altura de la zona de salida de flujo. La máxima diferencia de la velocidad entre la zona superior e inferior del horno es aproximadamente 2,5 m/s. La caída de la velocidad en la componente en Y para la coordenada Y = 80% se debe al cambio de dirección que experimentan los gases de combustión para salir del horno. Las fluctuaciones (morros) que se aprecian en la Figura son resultados del impulso transmitido por la hilera de quemadores de un nivel superior.
Un análisis similar al efectuado con la velocidad se realizó para las temperaturas del horno. En la Figura 6 se observa que en las zonas de descarga de los quemadores se presentan discrepancias, para cada uno de los casos, en la distribución de las temperaturas. Lo expuesto es fruto del efecto generado por la geometría de los quemadores en los perfiles de flujo (caso DP). En el caso DP, las zonas del plano del quemador, alejadas de su centro, presentan las mayores velocidades de descarga de gases y las más altas temperaturas. Las zonas centrales del plano de descarga, debido a las recirculaciones de flujo y al mezclado con la mezcla aire-combustible, presentan menores temperaturas.
Debido a que en el caso PP el plano de descarga de los quemadores presenta una distribución de velocidades uniforme, se genera una distribución de temperaturas uniforme en la descarga. Para el caso DP la combustión en el plano de los quemadores está parcialmente desarrollada y se termina de propagar a corta distancia desde la pared hacia el interior del horno. Este efecto se materializa en las zonas del plano de los quemadores, alejadas de su centro.
En la Figura 6 es posible apreciar que la predicción de las temperaturas en el horno es similar en ambos casos. Lo anterior puede cuantificarse de la Figura 7, que muestra para una línea leves variaciones en la distribución de la temperatura. La máxima desviación fue de 45 °K en la zona central del horno Z = 0%.
La Figura 8 muestra la variación de la temperatura como una función de la altura del horno. Se observa que en toda la cámara la temperatura muestra una disminución gradual en función de la altura del horno, que se incrementa justo a la altura de la zona de salida de gases. Las zonas cercanas a las paredes laterales del horno (X = -96%) se encuentran a una menor temperatura respecto a las temperaturas de su zona central (X = -11,8%) y presentan un distribución de temperaturas más uniforme. Para el caso DP el gradiente máximo de temperaturas en el horno es del orden de 70 °K. Para el caso PP fue de 60 °K. La diferencia máxima de los perfiles de temperatura entre los casos estudiados para la posición X = -96% fue de 20 °K. Para la posición X = -11,8% la máxima diferencia entre las simulaciones fue del orden de los 50 °K.
La Figura 9 indica la variación del flux de calor que ingresa a la carga en función de la longitud de los tubos por donde esta circula. En los dos casos estudiados se presenta un comportamiento oscilante del flux de calor. Este comportamiento es originado por los gradientes de temperatura que tienen lugar en las paredes del horno (asociados con la altura) y a la disposición vertical de los reactores tubulares. Las diferencias encontradas en los perfiles son poco significativas (1,2 kW/m2 en promedio); no obstante, el caso DP muestra un ligera tendencia a presentar una mayor magnitud en el flux de calor que ingresa a la carga.
La distribución de temperatura en la superficie externa de los tubos se muestra en la Figura 10. La tendencia fluctuante, al igual que en la Figura 9, se mantiene. Las diferencias en los valores encontrados en la temperatura de los tubos son poco perceptibles (inferior a 1 °K); luego, ambos casos presentan resultados similares para esta variable.
La Tabla 2 muestra la comparación de algunas de las principales variables del proceso. Si se observa la potencia total de entrada del proceso, se percibe que difiere en ambas simulaciones y muestra un mayor valor para la simulación de perfiles detallados. Aunque la diferencia entre las potencias sea relativamente pequeña respecto a las magnitudes que se manejan, la diferencia a favor de los perfiles detallados sustenta las tendencias presentadas en el flux de calor de la Figura 9. Al analizar la potencia que es recibida por la carga, se evidencia que se presenta una diferencia de 0,07 MW entre ambos casos. Esta diferencia, comparada con la diferencia en la potencia que ingresa a los tubos por el mecanismo de radiación de calor, es de igual magnitud (0,07 MW).
La similitud mencionada da lugar a pensar que el hecho de utilizar perfiles planos no afecta significativamente los efectos fluidodinámicos sobre los reactores ya que, al parecer, la diferencia en la potencia que reciben está ligada a los fenómenos radiantes. La estimación de las pérdidas por los aislamientos fue predicha alrededor de 1,14% para ambos casos y la eficiencia del horno difirió en un 0,3%. Tanto para la simulación de perfiles detallados como para la de perfiles planos se encontró que el 97% de la energía que ingresa a los reactores lo hace por medio de la radiación del calor.
6. Conclusiones
La utilización de perfiles planos para simular hornos equipados con quemadores radiantes permite determinar con gran precisión la eficiencia del horno, el flux de calor que ingresa a la carga y la temperatura de los reactores por donde esta viaja. En las simulaciones las diferencias absolutas en la predicción de la potencia, temperaturas de pared (hornos y reactores) y eficiencia de la cámara fueron de: 0,07 MW, 1 °K y 0,3%, respectivamente. A su turno, el uso de la simplificación empleada en el caso PP reduce considerablemente el costo computacional que implica simular cientos de quemadores y modelar las reacciones de combustión.
Cuando las simulaciones se centren en estudiar detalladamente los hornos con quemadores radiantes y los efectos que produce la geometría de los quemadores en la fluidodinámica y en las temperaturas de la cámara de combustión, se requiere modelar la interacción de todos los quemadores con el horno. La metodología presentada en este documento es una aproximación que facilita lo anterior y evita la necesidad de modelar simultáneamente con el horno cientos de quemadores de forma detallada.
Referencias
HABIBI, A.; MERCI, B, y HEYNDERICKX, G. Impact of radiation models in CFD simulations of steam cracking furnaces. Computers and Chemical Engineering. 2007, num. 31, pp. 1389-1406. [ Links ]
LAN, X.; GAO, J.; XU, C. y ZHANG, H. Numerical simulation of transfer and reaction processes in ethylene furnaces. Chemical Engineering Research and Design. 2007, vol. 85, num. A12, pp. 1565-1579. [ Links ]
MAGNUSSEN, B. On the structure of turbulence and a generalized eddy dissipation concept for chemical reaction in turbulent flow. Nineteeth AIAA Meeting. St. Louis, 1981, pp. 1-7. [ Links ]
MODEST, M. Radiative heat transfer. 2a ed. Upper Sadle River, N.J.: Prentice Hall, 2003. [ Links ]
PATANKAR, S. Numerical heat transfer and fluid flow. Washington: Hemisphere, 1980. [ Links ]
SAZHIN, S.; SAZHINA, E.; FALTSI-SARAVELOU, O. y WILD, P The P-1 model for thermal radiation transfer: advantages and limitations. Fuel. 1996, vol. 75, num. 3, pp. 289-294. [ Links ]
SPALDING, D. Development of the eddy-break-up model of turbulent combustion. The Combustion Institute. 16th Symposium (International) on Combustion, 1976. [ Links ]
SPALDING, D. Mixing and chemical reaction in steady confined turbulent flames. The Combustion Institute. Thirteenth Symposium (International) on Combustion, Pittsburgh, 1971. [ Links ]
STEFANIDIS, G.; MERCI, B.; HEYNDERICKX, G. y MARIN, G. CFD simulations of steam cracking furnaces using detailed combustion mechanisms. Computers and Chemical Engineering. 2006, vol. 30, num. 4, pp. 635-649. [ Links ]
STEFANIDIS, G.; VAN GEEM, K.; HEYNDERICKX, G.; MARIN, G. Evaluation of high-emissivity coatings in steam cracking furnaces using a non-grey gas radiation model. Chemical Engineering Journal. 2008, num. 137, pp. 411-421. [ Links ]
VAN LEER, B. Towards the ultimate conservative difference scheme. V. A second order sequel to godunov's method. Journal of Computational Physics. 1979, num. 32, pp. 101-136. [ Links ]
WESTBROOK, C. y DRYER, F. Simplified reaction mechanisms for the oxidation of hydrocarbon fuels in flames. Combustion Science and Technology. 1981, vol. 27, nums. 1-2, pp. 31-43. [ Links ]
YEOH, G. y YUEN, K. Computational fluids dynamics in fire engineering. Theory, modelling and practice. s. l.: Elsevier, 2009. [ Links ]








































