SciELO - Scientific Electronic Library Online

 
vol.16 issue1A Computer Assisted Approximation for the Generation of Patterns of Superficial Coarseness of the Pericarp and of the Seedhead of Some Plants: Coincidences in the Numerical Results author indexsubject indexarticles search
Home Pagealphabetic serial listing  

Services on Demand

Journal

Article

Indicators

Related links

  • On index processCited by Google
  • Have no similar articlesSimilars in SciELO
  • On index processSimilars in Google

Share


Ingeniería y Universidad

Print version ISSN 0123-2126

Ing. Univ. vol.16 no.1 Bogotá Jan./June 2012

 

Evaluación de la corrosion de un duraluminio en mezclas de gasolina y bioetanol1

Evaluation of the Corrosion of Duralumin in Gasoline and Bioethanol Blends2

Avaliação da corrosão de um duralumínio em misturas de gasolina e bioetanol3

Darío Yesid Peña-Ballesteros4
Hugo Armando Estupiñán-Durán5
Custodio Vásquez-Quintero6

1Este artículo se deriva de un proyecto financiado por la Vicerrectoría de Investigaciones y Extensión de la Universidad Industrial de Santander, Bucaramanga, Colombia, llevado a cabo por el Grupo de Investigación en Ciencia y Tecnología de Materiales y por el Grupo de Investigaciones en Corrosión de la Universidad Nacional de Colombia, sede Medellín, y la Universidad Industrial de Santander.
2Submitted on February 17, 2011. Accepted on October 21, 2011. Developed by the research groups Ciencia y Tecnología de Materiales, Universidad Nacional de Colombia, Medellín, Colombia; and Grupo de Investigaciones en Corrosión, Universidad Industrial de Santander, Bucaramanga, Colombia. This article was funded by the Vicerrectoría de Investigaciones y Extensión, Universidad Industrial de Santander.
3Data de recepção: 17 de fevereiro de 2011. Data de aceitação: 21 de outubro de 2011. Este artigo deriva de um projeto financiado pela Pró-reitoria de Pesquisas e Extensão da Universidade Industrial de Santander, Bucaramanga, Colômbia, realizado pelo Grupo de Pesquisa em Ciência e Tecnologia de Materiais e pelo Grupo de Pesquisas em Corrosão da Universidade Nacional da Colômbia, sede Medellín, e a Universidade Industrial de Santander.
4Ingeniero metalúrgico, Universidad Industrial de Santander, Bucaramanga, Colombia. Magíster en Ingeniería Metalúrgica, Universidad Industrial de Santander. Doctor en Corrosión, University of Manchester Institute of Science and Technology, Inglaterra. Profesor asociado, Escuela de Ingeniería Metalúrgica y Ciencia de Materiales, Universidad Industrial de Santander. Correo electrónico: dypena@uis.edu.co.
5Ingeniero metalúrgico, Universidad Industrial de Santander, Bucaramanga, Colombia. Magíster en Ingeniería, Universidad Industrial de Santander. Doctor en Ingeniería Química, Universidad Industrial de Santander. Profesor asistente de la Universidad Nacional de Colombia, Medellín, Colombia. Correo electrónico: haestupinand@unal.edu.co.
6Ingeniero metalúrgico, Universidad Industrial de Santander, Bucaramanga, Colombia. Magíster en Ingeniería Metalúrgica, Universidad Industrial de Santander. Profesor titular, Escuela de Ingeniería Metalúrgica y Ciencia de Materiales, Universidad Industrial de Santander. Correo electrónico: custodio@uis.edu.co.

Fecha de recepción: 17 de febrero de 2011. Fecha de aceptación: 21 de octubre de 2011.


Resumen

Actualmente, diversos países utilizan el etanol como combustible de automoción. Sin embargo, este biocombustible resulta nocivo para las piezas metálicas del sistema de combustible de un automotor. En el presente trabajo se determinó la velocidad de corrosión del duraluminio, material usado para fabricar pistones de motores, en mezclas de bioetanol-gasolina con concentraciones del 5% al 20%, mediante espectroscopia de impedancia electroquímica (EIE), polarización tafel y gravimetría. Se demostró que el proceso de corrosión fue de control mixto con tendencia a la corrosión localizada. En general, se observó que la velocidad de corrosión del duraluminio disminuye con el tiempo de exposición.

Palabras clave: Electroquímica-técnicas, mezclas, gases de combustión-medición, duraluminio, anomalías gravimétricas, corrosión en aleaciones-pruebas.


Abstract

Nowadays, different countries use ethanol as a self-propulsion fuel. However, this biofuel is aggressive for metal parts in the fuel system of an automobile. In this study, we determined the corrosion rate of duralumin, a material used in the production of piston engines, in ethanol-gasoline blends at concentrations of 5 to 20%, through electrochemical impedance spectroscopy (EIS), Tafel polarization and Gravimetry. It was shown that the corrosion process control was mixed with a tendency towards localized corrosion. It is generally observed that the corrosion rate of duralumin decreases during the exposure time.

Keywords: Electrochemistry - technical, mixtures, combustion gases - mensuration, duralumin, gavity anomalies, alloys corrosion.


Resumo

Atualmente, diversos países utilizam o etanol como combustível de auto-moção. Porém, este biocombustível é nocivo para as peças metálicas do sistema de combustão de um automotor. No presente trabalho determinou-se a velocidade de corrosão do duralu-mínio, material usado para fabricar pistões de motores, em misturas de bioetanol-gasolina com concentrações de 5% a 20%, mediante espectroscopia de impedância electroquímica (EIE), polarização tafel e gravimetria. Demonstrou-se que o processo de corrosão foi de controle misto com tendência à corrosão localizada. Em geral, observou-se que a velocidade de corrosão do duralumínio diminui com o tempo de exposição.

Palavras chave: Eletroquímica-técnicas, misturas, gases de combustão-medição, duralumínio, anomalias gravimétricas, corrosão em ligas-provas.


Introducción

En condiciones normales de uso, los materiales metálicos están siempre sujetos a corroerse. Por esto, los componentes metálicos que trabajan con combustibles son fabricados en metales resistentes o adecuadamente protegidos para garantizar o extender su vida útil (Horta, 2004). Particularmente con relación al gasohol, término empleado para definir la mezcla entre alcohol y gasolina, los metales considerados en riesgo de dañarse por degradación son: el acero, las aleaciones para fundición por presión (tipo Zamac) y las aleaciones de aluminio (Owen y Coley, 1995).

La adición de etanol a la gasolina acelera la velocidad de corrosión del acero y demás materiales que componen el automotor que están en contacto con la mezcla, principalmente debido a la presencia de agua y ácidos orgánicos en la mezcla. Los problemas también pueden agravarse si se da una separación de fases del gasohol, que produce una fase acuosa con algún contenido alcohólico, que tiende a ser más corrosiva que el propio gasohol. Por otra parte, se ha determinado que la corrosividad de mezclas de etanol y gasolina es directamente proporcional a la concentración alcohólica (Horta, 2004).

El etanol, obtenido a partir de biomasa, surge como la mayor fuente de energía renovable y se espera que esta tendencia continúe en el futuro, dados los condicionantes de precios relativamente bajos de los granos y el aumento de los precios del petróleo y la gasolina. Al evaluar la corrosión de los materiales expuestos a las mezclas, se puede evitar impactos negativos de la mezcla en el parque automotor con el fin de aumentar su vida útil y no afectar a los usuarios, y de esta manera garantizar el éxito y confirmar la viabilidad del uso de las mezclas especificadas en los automóviles.

Actualmente, en Colombia y el resto del mundo se están utilizando mezclas de gasolina-bioetanol hasta el 10%, a excepción de Brasil. La principal razón para esta tendencia se basa en la incompatibilidad de las mezclas de bioetanol con los materiales de los motores diseñados exclusivamente para gasolina. Con relación a otras partes del motor, se presentan problemas de corrosión en el carburador, la bomba de combustible, las mangueras de conducción de combustible, el filtro y el tanque de combustible (Corte y Solano, 1982).

Este trabajo pretendió aportar conocimiento sobre la corrosión de materiales, específicamente para diagnosticar factores influyentes en el comportamiento electroquímico del duraluminio presente en el automotor al contacto con diferentes mezclas de bioetanol-gasolina, también esperando evaluar la susceptibilidad a la corrosión intergranular o localizada, incrementada por la concentración de bioetanol en la mezcla.

1. Procedimiento experimental

Mediante espectrometría de fluorescencia de rayos X (EFR-X) con un equipo Shimadzu EDX 800 HS se determinó que la composición de la aleación de duraluminio empleada fue: 90,114% Al; 4,324% Zn; 3,501% Mg; 1,057% Cu; 0,496% Si; 0,208% Fe; 0,204% Cr, y 0,040% Mn. Los ensayos gravimétricos y electroquímicos fueron realizados según la norma ASTM D4806-09 (2009). Se prepararon mezclas de bioetanol-gasolina al 5%, 10%, 15% y 20% v/v de bioetanol, denominadas E-5, E-10, E-15 y E-20, respectivamente, y bioetanol puro (E-100).

Los ensayos gravimétricos se realizaron de acuerdo con el estándar ASTM G31-90 (1999), con un tiempo total de inmersión de veintiocho días a temperatura ambiente, reemplazando las mezclas de los ensayos cada cuatro días, para evitar variaciones de concentración. Cada siete días se monitoreó el peso de las probetas y la evaporación de la mezcla, para evitar también de esta forma que cambiara la concentración del medio. Todos los ensayos se realizaron por duplicado. Los ensayos electroquímicos se realizaron en una celda plana de vidrio sellada lo más herméticamente posible, utilizando un electrodo de Ag/AgCl, como electrodo de referencia, una lámina de platino y una varilla de platino de alta pureza como contraelectrodos.

El área de exposición de las probetas fue de 1 cm2. Para la obtención de datos, los electrodos fueron conectados a un potenciostato marca ACM GILL, con un software ACM versión 5.0 con secuenciador. Las técnicas electroquímicas empleadas fueron espectroscopia de impedancia electroquímica (EIE) en el rango de frecuencia de barrido de 30.000 Hz a 1 Hz, una amplitud de 10 mV y con un tiempo de estabilización de 300 s. Las curvas de polarización de Tafel se realizaron con un barrido de potencial desde -250 mV hasta 250 mV, respecto al potencial de corrosión (Ecorr), a una velocidad de barrido de 60 mV/min.

La curva de polarización potenciodinámica fue obtenida polarizando desde -250 mV hasta 2500 mV con respecto al potencial libre de corrosión (Ecorr) y a una velocidad de barrido de 100 mV/min.

2. Resultados experimentales

En la figura 1 se observa la pérdida de peso de las probetas de duraluminio durante el tiempo total de inmersión. Se observa que en la mayor concentración de bioetanol (E-100) existe un aumento significativo en la pérdida de peso al transcurrir el tiempo, en comparación con las otras mezclas de gasolina-bioetanol analizadas. Este comportamiento se debe a que el bioetanol, al ser higroscópico, absorbe mayor cantidad de agua, lo cual acelera los procesos de corrosión.

Para las mezclas E-15 y E-20 se observa que, a tiempos de inmersión de veintiún y catorce días existe poca pérdida de peso. Esto se debe a que la capa protectora y pasiva que se forma en esta aleación se ha podido consolidar suficientemente a estos tiempos de exposición, pues presenta una protección suficiente para que no se degrade significativamente el material (Vega et ál., 2007). Las velocidades más bajas de corrosión se presentaron en las mezclas al E-5 y E-10, que se mantienen casi constantes, desde el séptimo día y hasta el final del experimento. Ello indica una importante protección de los productos de corrosión a estas concentraciones. Las curvas demuestran que no hubo una linealidad con el tiempo, lo cual indica que la cinética de la corrosión del material en estudio fue prácticamente dependiente del crecimiento de los productos de corrosión en la superficie expuesta.

En la figura 2 se observa que la microestructura del duraluminio presenta unos granos de forma irregular. También se observan otras fases de un color oscuro situadas en las fronteras de grano y dentro de los granos, precipitados de MgZn2, que confirman lo revisado en la bibliografía (Ruiz, 1993). Esto fue confirmado mediante análisis de un microscopio electrónico de barrido-espectroscopía de energía dispersiva (SEM-EDS, por su sigla en inglés) (figura 3).

Para el duraluminio en contacto con las mezclas E-5, E-10 y E-15 no se observó ningún cambio en la microestructura; sin embargo, para las mezclas E-20 y E-100 aparecieron indicios de corrosión (figura 4), originados por la presencia de varias fases, de la cuales el MgZn2 se comporta como una zona anódica que hace susceptible al material a presentar corrosión localizada intergranular (Picas et ál., 2006; Mears, 1948).

Mediante análisis SEM se encontró que una mayor cantidad de productos de corrosión se presentaron sobre la superficie de las probetas expuestas a E-100 (figura 5). El análisis con EDS permitió determinar la composición de estos productos (tabla 1).

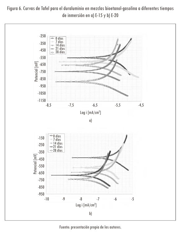
Según se observa en la tabla 2 y en las figuras 6 y 7, el ataque corrosivo se incrementó con la disminución en la concentración de gasolina en las mezclas, pero decreció con el tiempo de exposición de las probetas en el electrolito. Por otra parte, el potencial de corrosión se hizo más negativo con el tiempo de exposición y decayó hacia la región de potenciales activos, lo cual aumentó la tendencia termodinámica a la corrosión. La densidad de corriente disminuyó con el tiempo, fenómeno atribuido a componentes tensoactivos del electrolito que hacen que el sistema resultante tienda a presentar una disminución de la corriente.

La tabla 2 presenta los datos obtenidos mediante la técnica de Tafel y según la norma ASTM G102-89 (1999). Los resultados muestran una influencia fuerte de la variable tiempo en la formación de la película de óxido que protege la superficie del duraluminio haciéndolo más resistente a la corrosión.

Para el cálculo de los valores de mpy se utilizó la ecuación 1 (ASTM, 1999):

Donde:

CR : velocidad de corrosión
k1 : constante 0,1288 (mpyXg/μAXcrn)
ρ
: 2,78 g/cm3
icorr : densidad de corriente (μA/cm2)
EW : peso equivalente 9,58

En la figura 8a se observa que el proceso está controlado por difusión o transferencia de masa y por activación. La mezcla E-20 con la mayor velocidad de corrosión es la condición más agresiva, lo que supone la disolución de los productos de corrosión. En los resultados de la tabla 2 (figura 8b) se observa que para un tiempo de veintiocho días, el duraluminio en las mezclas de E-15 y E-20 tiende a ser más activo, lo cual indica que la capa pasiva es termodiná-micamente inestable.

Es difícil determinar los potenciales de picadura de la curva de polarización cíclica (figura 9), debido a que prevalece la estabilidad en la película pasiva en la superficie del material. Con ayuda del diagrama de Pourbaix (figura 10), se pudo determinar una zona de pasivación, teniendo en cuenta la variación de los potenciales de las curvas de polarización y el rango de pH de las mezclas, donde a medida que aumenta el tiempo de exposición, los potenciales de las mezclas se desplazan a valores más negativos, menos nobles, pero más cerca de la zona de inmunidad.

La figura 11 muestra los espectros de Nyquist obtenidos en la mezcla E-5 y E-20 a diferentes tiempos de exposición. Estos indican que la interface de duraluminio-mezcla presentó un comportamiento electroquímico diferente en las mezclas, en función del tiempo de inmersión. De esta manera, el espectro obtenido en el tiempo inicial, cero días para ambas mezclas, muestra valores de impedancia inferiores a los obtenidos con los demás tiempos de inmersión, que favorecen el proceso de corrosión, debido a la presencia de una capa pasiva inestable y de baja porosidad al inicio de la corrosión. Ello permite el intercambio de iones. Esta capa pasiva, principalmente de Al(OH)3 (Díaz et ál., 2009), es más resistente en el material, con el aumento del tiempo de exposición.

En los espectros de Nyquist de la figura 11b se observan semicírculos en forma irregular, con un aumento en su diámetro (mayor resistencia a la polarización) con el tiempo de exposición. Un mayor contenido de bioetanol en la mezcla presentó una disminución notable en la resistencia a la polarización. Una importante característica de estas curvas de impedancia es que corroboran las medidas potenciodinámicas, en las cuales a mayores tiempos de exposición, se observa la formación de una capa de óxido más compacta, de baja conductividad iónica que representa una velocidad de corrosión baja.

En la figura 12 se muestra el diagrama de Nyquist para el duraluminio en mezclas de bioetanol-gasolina a cero y veintiocho días. En estas condiciones se observa que los diámetros de los semicírculos se hacen menores, tendencia a formar un círculo completo a rango de frecuencias menores (z real); esto indica que la adición de bioetanol a la mezcla aumenta la velocidad de corrosión y que se presenta una disminución de la resistencia a la transferencia de carga. Según lo anterior, los productos de corrosión son inestables y ocurre la misma tendencia en los demás tiempos de inmersión.

En general, los espectros de las mezclas E-15 y E-20 presentaron una tendencia a formar un semicírculo, lo cual está relacionado con un proceso controlado por transferencia de carga, donde se presentan procesos de intercambio electrónico en la doble capa entre el electrodo de trabajo duraluminio y la mezcla bioetanol-gasolina (Torres et ál., 2009); mientras que los espectros de las mezclas E-5 y E-10 presentaron una mayor amplitud y tendencia a un círculo no ideal, lo cual indica que la película de óxido tiende a ser más capacitiva con mayor resistencia a la polarización. La presencia de dos arcos para el E-10 (figura 12b) muestra que el primero a altas frecuencias está relacionado con la carga de la doble capa eléctrica en paralelo con la resistencia de transferencia de carga y el segundo como un arco capacitivo a bajas frecuencias relacionado con procesos de absorción de especies.

En la figura 13 se observan los diferentes espectros de impedancia para E-100, donde se presenta un pequeño semicírculo a alta frecuencia y una línea recta a baja frecuencias, que corresponde a un comportamiento típico de una reacción controlada por difusión. El semicírculo pequeño puede indicar que la reacción de transferencia de carga electroquímica anódica y catódica a través de la capa de óxido puede ocurrir fácilmente y donde la velocidad de dicha transferencia no es limitante para el proceso de difusión. Para tiempos de inmersión mayores (veintiún días y veintiocho días) se observa un desplazamiento del semicírculo pequeño a rangos de frecuencias menores sobre el eje real que indica una disminución en la resistencia a la solución y que el duraluminio presenta una corrosión rápida debido a la formación de una capa de óxido, la cual pierde su capacidad protectora (Torre et ál., 2009).

Tomando como base el análisis anterior, se propuso un modelo de circuito equivalente para tratar de interpretar el significado del sistema electroquímico, el cual fue válido para todos los espectros de impedancia. La figura 14 muestra el circuito equivalente que consta de R1, que es la resistencia de la solución (mezcla bioetanol-gasolina); un elemento de fase constante (CPE)1, que es la capa externa de la capacitancia e incluye la capa pasiva de los productos de corrosión y que está en paralelo con R2, que es la resistencia de la capa pasiva. (CPE)2 es la capacitancia y R3 es la resistencia a la transferencia de carga (Mendoza et ál., 2002). Este modelo del circuito equivalente fue usado para ajustar los espectros EIE experimentales del sistema electroquímico bioetanol-gasolina.

En la tabla 3 se muestran los valores de resistencia y capacitancia obtenidos de los circuitos.

Los valores de velocidad de corrosión (mpy) por la técnica gravimétrica mostraron valores similares a los dados por las técnicas electroquímicas. La técnica de extrapolación de Tafel y EIE tiende a mostrar resultados de velocidad de corrosión más bajos que los obtenidos por la técnica gravimétrica. Esto se puede atribuir en cierta parte por la resistencia óhmica que ejerce la gasolina en las mezclas.

3. Conclusiones

El duraluminio mostró una susceptibilidad a presentar corrosión intergranular. La velocidad de corrosión es inversamente proporcional a la concentración de bioetanol y al tiempo de exposición. El proceso corrosivo del duraluminio tiende a pasivarse, hecho que se demuestra en las curvas de pérdida de peso y en las pruebas electroquímicas donde la intensidad de corriente es una variable determinante y es relativamente pequeña. La máxima velocidad de corrosión calculada fue de 2,28X 10-2 mpy, lo cual permite clasificar las mezclas como un medio corrosivo bastante bajo. La misma corrosión se corrobora al examinar las densidades de corriente, cuyo límite máximo corresponde a 5,1383X 10-2 μA/cm2.

El factor predominante para la existencia de corrosión fue la presencia de impurezas provenientes del bioetanol como el acido acético y el envejecimiento de la mezcla que al generar ácidos orgánicos aceleran la corrosión del duraluminio; además, por ser el bioetanol altamente higroscópico, al sobrepasar la tolerancia de agua en la mezcla, se genera una fase rica en alcohol y agua altamente agresiva.


Referencias

ALBISTUR, G. y BERLANGA, L. Corrosión bajo tensión de un acero al carbono en mezclas de bioetanol y gasolina. Anales de la Mecánica de la Fractura. 2008, vol. 1, pp. 34-35.         [ Links ]

ASTM G102-89 (reapproved 1999). Standard Practice for Calculation of Corrosion Rates and Related Information from Electrochemical Measurements. ASTM International, West Conshohocken, PA, 1999.         [ Links ]

ASTM G31-90 (Reapproved 1999). Standard Practice for Laboratory Immersion corrosion testing of Metals. ASTM International, West Conshohocken, PA, 1999.         [ Links ]

ASTM G4806-09. Standard Specification for Denatured Fuel Ethanol for Blending with Gasolines for Use as Automotive Spark-Ignition Engine Fuel. ASTM International, West Conshohocken, PA, 2009.         [ Links ]

CORTÉS, A. y LOZANO, J. Estudio preliminar de las propiedades corrosivas de las mezclas etanol-gasolina-agua, metanol-gasolina-agua. Bucaramanga: UIS, 1982.         [ Links ]

DIAZ, L.; LÓPEZ, J. F.; MALDONADO, L. et ál. Corrosion behavior of aluminum exposed to a biodiesel. Electrochemistry Communications. 2009, vol. 11, num. 1, pp. 41-44.         [ Links ]

GARCIA, J. M. y GARCIA, J. A. Biocarburantes líquidos: biodiésely bioetanol. Madrid: Fundación para el Conocimiento-CEIM, 2006.         [ Links ]

HORTA NOGUEIRA, L. Aspectos complementarios para la definición de un programa de bioetanol en América Central. México, DF: CEPAL/Republica Federal de Alemania, 2004.         [ Links ]

MEARS, R. B. Aluminum and Aluminum Alloys. New York: John Wiley & Sons, 1948.         [ Links ]

MENDOZA, J.; ROMERO, R. y LLONGUERAS, J. Espectroscopía de impedancia electroquímica en corrosión. México: Universidad Nacional de México, Facultad de Química, 2002.         [ Links ]

OWEN, K. y COLEY T. Automotive Fuels Reference Book. 2nd ed. New York: Society of Automotive Engineers, 1995.         [ Links ]

PICAS, J. A.; GUASCH, J.; FORN, A. y et ál. Nuevos materiales base aluminio para moldes de inyección de plásticos. Anales de Mecánica de la Fractura. 2006, vol. I, pp. 311-316.         [ Links ]

RUIZ, J. Corrosión fatiga en aleaciones ligeras de Al-Zn-Mg. Madrid: Universidad Politécnica de Madrid, 1993.         [ Links ]

SORGO, M. y LADWEIN, T. Investigation of the pitting Corrosion behaviour of stainless steels in ethanol containing fuels. NACE International. 2009, vol. 09535, pp. 1-8.         [ Links ]

TORRES, A.; GARCIA, E.; SERNA, S. et ál. Aplicación de las técnicas de EIE y RPL al estudió de la corrosión de polvos de FeAl en suspensión. Revista de la Sociedad Química. Peru. 2009, vol. 75, num. 2, pp.185-193.         [ Links ]

UNIVERSIDAD POLITÉCNICA DE MADRID (UPM). Capítulo 5. En: Materiales y diseño de equipos e instalaciones. Madrid: UPM, 2009.         [ Links ]

VEGA, S. H.; AXOTLA, J. C. y LEÓN RODRIGUEZ, F. M. Efecto de la contaminación atmosférica de la ciudad de México en la degradación de la aleación de zn-21wt%Al-2wt%Cu. En: Federación Iberoamericana de Ingeniería Mecánica. 8° Congreso Iberoamericano de ingeniería Mecanica. Peru, octubre 2007.         [ Links ]