Services on Demand
Journal
Article
Indicators
-
Cited by SciELO -
Access statistics
Related links
-
Cited by Google -
Similars in
SciELO -
Similars in Google
Share
Revista de Salud Pública
Print version ISSN 0124-0064
Rev. salud pública vol.15 no.4 Bogotá July/Aug. 2013
Modelamiento de la transmisión del Virus Respiratorio Sincitial (VRS) en niños menores de cinco años
Modelling respiratory syncytial virus (RSV) transmission children aged less than five years-old
Diego F. Aranda-Lozano1, Gilberto C. González-Parra2 y José Querales2
1 Secretaría de Salud Distrital Bogotá. Colombia. arandalozanodiego@gmail.com; gcarlos@ula.ve
2 Grupo de Matemática Multidisciplinar (GMM), Universidad de los Andes. Mérida, Venezuela. jquerales_7@hotmail.com
Recibido 19 Noviembre 2012 / Enviado para Modificación 5 Febrero 2013 / Aceptado 21 Marzo 2013
RESUMEN
Objetivo Estudiar la dinámica de la transmisión del Virus Respiratorio Sincitial en una población de niños menores de 5 años en la ciudad de Bogotá correspondiente al periodo 2005-2010 usando modelos determinísticos.
Método Simulación matemática a partir de un modelo determinístico SIRS con estacionalidad forzada.
Resultados Se propuso un modelo matemático epidemiológico SIRS con estacionalidad forzada para dar explicación a la dinámica del VRS en la población deniños menores de cinco años en Bogotá correspondiente al periodo 2005-2010.
Conclusiones El modelo matemático SIRS con estacionalidad forzada explica de una forma razonable el comportamiento cíclico de los casos de niños infectados con el Virus Respiratorio Sincitial en la ciudad de Bogotá D. C., Colombia.
Palabras Clave: Virus sincitial respiratorio humano, infecciones del sistema respiratorio, diseño de investigaciones epidemiológicas (fuente: DeCS, BIREME).
ABSTRACT
Objectives Studying respiratory syncytial virus (RSV) transmission dynamics in a population of children aged less than 5 years-old using deterministic models.
Method A deterministic susceptible-infected-removed(SIR) mathematical model with seasonal forcing was used for the simulation.
Results A mathematical epidemiological model (SIRS) with seasonal forcing was proposed which explained RSV dynamics between 2005 and 2010 in a population of children aged less than five years-old in Bogotá.
Conclusions The mathematical model (SIRS) with seasonal forcing explained the cyclical pattern of cases of children aged less than five years old infected with RSV in Bogotá, Colombia during the target period.
Key Words: Respiratory syncytial virus, respiratory tract infection, epidemiologic research design (source: MeSH, NLM).
Hoy en día, una de las principales causas de mortalidad de niños y adultos mayores en el mundo, especialmente en países en desarrollo, son las infecciones respiratorias agudas (IRA) del tracto respiratorio inferior, provocando aproximadamente un tercio de todas las muertes estimadas en niños menores de 5 años (1).
Un estudio multicéntrico en niños menores de 5 años, liderado por Boardon Science and Technology for International Development, de la National Academy of Sciences de EE.UU, encontró que entre los virus aislados, el de mayor frecuencia (37 %), fue el Virus Respiratorio Sincitial-VRS (1).
En América Latina hay poca información sobre los agentes etiológicos de las IRA, especialmente las virales. Los pocos estudios que se encuentran en la literatura han sido realizados en periodos cortos de tiempo y son procedentes especialmente de Argentina, Chile y el sur de Brasil, donde la estacionalidad de estos virus es diferente que en las zonas cálidas del trópico (2-4).
En Bogotá, el Laboratorio de Salud Pública (LSP) de la Secretaría Distrital de Salud (SDS), ha vigilado los virus respiratorios en la población desde el año 2004 hasta la fecha, caracterizando la circulación de influenza y otros virus respiratorios como Para influenza 1, 2 y 3, Adenovirus y VRS.
Los modelos matemáticos construidos con ecuaciones diferenciales juegan un papel importante para describir la evolución de las enfermedades debido a que tienen la capacidad de proporcionar un grado de realismo a las simulaciones matemáticas. Estudios recientes en modelización matemática han intentado dar respuesta a la estacionalidad del VRS en el mundo (5,6).
En este estudio se modela la estacionalidad del VRS en la ciudad de Bogotá con datos reales de VRS suministrados por el LSP de la SDS correspondientes al periodo 2005 a 2010, en niños menores de cinco años. Se utilizó un modelo matemático SIRS, en el que S(t) es la subpoblación de niños menores de cinco años susceptibles al virus VRS, I(t) la subpoblación de niños menores de cinco años que estando enfermos pueden transmitir la enfermedad y R(t) la subpoblación de removidos, la subpoblación de niños menores de cinco años que, habiéndose enfermado y aliviado han adquirido en consecuencia inmunidad. La dinámica del modelo SIRS se presenta en la Figura 1.
El modelo SIRS tiene muchas variantes que surgen de no tomar en consideración los nacimientos y muertes o incluir la tasa de contagio estacional. Es importante resaltar que este modelo clásico epidemiológico SIRS o variantes ha sido utilizado para estudiar y predecir la evolución de muchas enfermedades, incluyendo otro tipo de influenzas como es el H5N1 o la pandemia de 1918-1919 (H1N1) la cual ha sido la más devastadora (7,8).
MÉTODOS
En el LSP se diagnostican los principales virus respiratorios (Influenza A, Influenza B, Virus Sincitial Respiratorio (VSR), Adenovirus y Parainfluenza 1,2 y 3) por la técnica de Inmunofluorescencia indirecta. En marzo de 2009 la pandemia de influenza A apodada como Gripe Porcina de sero-tipo H1N1, afectó a 1935 personas en la ciudad de Bogotá D. C. principalmente a la población de adultos jóvenes (9).
La base de datos fue enriquecida con la Vigilancia Centinela que se realiza a través de las instituciones que han sido seleccionadas de común acuerdo entre el ente Territorial (Secretaria Distrital de Salud) y el Instituto Nacional de Salud, para monitorear Enfermedad Similar a Influenza y las relacionadas con Infección Respiratoria Aguda Grave.
Las principales variables fueron:
- Número de casos y porcentaje de positividad del VRS por semana epidemiológica en niños menores de 5 años.
- Porcentaje del VRS entre virus respiratorios detectados por semana epidemiológica en la Vigilancia Centinela.
- Número de casos y porcentaje de positividad de VRS por semana epidemiológica (Vigilancia Centinela).
Todos los datos fueron registrados en el sistema de información del Laboratorio de Salud Pública SILASP, posteriormente la información fue extraída, consolidada y tabulada en Excel versión 2007. Se obtuvieron frecuencias simples de las variables de interés, se estimaron porcentajes y se graficaron. Con la finalidad de dar una explicación al proceso de contagio del VRS en la población de Bogotá se aplicó un modelo matemático epidemiológico SIRS con estacionalidad forzada. Los valores numéricos de algunos parámetros característicos de cada región fueron obtenidos utilizando un ajuste del modelo a la base de datos ya consolidada del LSP de Vigilancia Epidemiológica SIVIGILA, con orden cronológico.
Para realizar las simulaciones se utilizó el programa matemático MATLAB versión 7.1. Adicionalmente, el proceso de estimación de los parámetros s, b0, b1 y Φ se realizó utilizando el programa matemático MATHEMATICA versión 7.0 con el método de mínimos cuadrados y el algoritmo de Nelder-Mead para conseguir el valor óptimo de los parámetros a estimar (8).
En el modelo SIRS t es el tiempo y N(t) es la población total, la cual fue subdividida en los tres grupos ya mencionados y las principales suposiciones básicas son:
- El contagio es proporcional al producto de la población de susceptibles por la proporción de infecciosos sobre la población total. Esta suposición es llamada generalmente ley de la acción de masas.
- Todos los individuos son igualmente susceptibles.
- La población es lo suficientemente grande como para garantizar una descripción determinista.
- La población esta homogéneamente mezclada, es decir, cada individuo tienen la misma probabilidad de entrar en contacto con cualquier otro.
- La tasa de mortalidad μ de todas las clases se asume igual, despreciando la tasa de mortalidad debido al Virus Respiratorio Sincitial.
- La tasa de natalidad se asume igual a μ.
- Los individuos que son infectados por el VRS pasan a una velocidad βa la clase I(t).
- El valor ρ es el tiempo medio que permanece un individuo en la clase I(t).
- Y finalmente los individuos que se encuentran en la clase R(t), vuelven a ser susceptibles a una velocidad γ debido a que son posibles las reinfecciones. Además la inmunidad celular es la responsable de la eliminación del virus en la infección primaria, pero desaparecen en un periodo de pocos meses (10,11).
Bajo los supuestos planteados para el modelo de la enfermedad del Virus Respiratorio Sincitial, el sistema de ecuaciones diferenciales ordinarias no-lineales es:

La dinámica del modelo representado gráficamente en la Figura 1, está regida en su mayoría por la tasa de transmisión:

Donde β es el promedio de contactos efectivo que tiene un infectado para transmitir el virus, el factor
es la probabilidad que un individuo de la población tenga contacto con un infectado y S(t) es la subpoblación de individuos susceptible al virus. El producto de estos tres términos es el valor esperado de nuevas infecciones por unidad de tiempo en la población.
Es conocido que la probabilidad de contagiarse con una enfermedad no es constante en el tiempo ya que dependiendo del clima ciertas enfermedades son más o menos frecuentes. De igual forma, para enfermedades de la niñez existe una gran correlación con el calendario escolar. Por ejemplo en las épocas de vacaciones la probabilidad de contagiarse con estas enfermedades es menor, por lo que se asume para el VRS una fuerza de infección con una tasa de contagio periódica, así que se considera al parámetro β como una función periódica.

Donde T = 1 año y b1 representa la estacionalidad de la transmisión. Es así que el modelo esta forzado a tener soluciones periódicas o estacionales.
Los estados de equilibrio del modelo SIRS se calculan igualando las ecuaciones del sistema (1) a cero:

De la tercera ecuación del sistema (18) si hacemos a I(t) = 0 entonces R(t) = 0, ahora como N(t) = S(t) + I(t) + R(t), tenemos el estado de equilibrio.

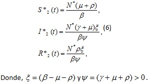
Este estado de equilibrio es conocido en la literatura como punto de equilibrio libre de enfermedad, debido a que toda la población es susceptible. El otro estado de equilibrio del sistema (1) es el punto de equilibrio endémico

El término
hace referencia al número básico de reproducción y se define como:

Esto indica el promedio de casos secundarios producidos por un infectado en una población completamente susceptible. Ahora bien, si el valor de
< 1 en la población no ocurrirá epidemia y si
> 1, la población experimentara una epidemia proporcional a la magnitud del
(12).
Como se ha mencionado anteriormente la probabilidad de contagiarse con una enfermedad no es constante en el tiempo. Debido a esto es plausible asumir en el modelo (1) para la enfermedad del VRS una fuerza de infección con una tasa de contagio periódica β(t) (2). De esta forma, el modelo (1) pierde el punto de equilibrio endémico, debido a que la población de infectados oscila en el tiempo. Con esta modificación el modelo SIRS (1) permite ajustarse a datos reales del VRS correspondientes a la ciudad de Bogotá, Colombia.
Para poder ajustar el modelo SIRS (1) con tasa de contagio periódica es necesario introducir un factor de escala s debido a que las series de datos correspondientes al VRS para niños menores de cinco años en Bogotá no corresponden exactamente a la subpoblación de infectados I(t), ya que sólo una fracción s asiste al médico quien reporta el caso. Adicionalmente, la población I(t) contiene todos los casos de infectados con el VRS y una porción de ellos pertenecen al grupo de niños menores de cinco años.
Por otra parte las condiciones iniciales de las subpoblaciones S(t), I(t) y R(o) son desconocidas. Una forma de considerar condiciones cercanas a la realidad es asumir que el VRS ha tenido una dinámica similar en la población en los años previos al período 2005-2010 donde se reportan los datos. De esta forma, los brotes epidémicos se consideran a partir de cuando el modelo propuesto presenta oscilaciones estables.
En el modelo epidemiológico estacional SIRS los únicos parámetros que necesitan estimarse son s, b0, b1 y Φ. Los demás parámetros son obtenidos de la literatura médica relativa al Virus Respiratorio Sincitial (VRS). Se utilizan los valores ρ = 1,8 años-1, ρ = 0,0163 y γ = 36 años-1 (1).
RESULTADOS
Los resultados para el ajuste del modelo estacional SIRS a los datos de VRS en Bogotá permitió obtener la siguiente estimación de los parámetros: b0 = 36,5, b1 = 0,45, Φ = 5,7 y un valor de escala s =31800. Es importante resaltar que cada región tiene sus propias características. Por ejemplo en la región de Valencia, España los resultados del ajuste para los años 2001-2005 fueron b0 = 36,4, b1 = 0,38, Φ = 1,07 y un valor de escala s =22040.
La simulación del modelo matemático epidemiológico SIRS con estacionalidad forzada es comparado con los datos correspondientes al VRS para niños menores de cinco años en Bogotá. Esta comparación se puede observar en la Figura 2 correspondiente al periodo 2005-2010. Como se puede observar el modelo matemático explica de una forma razonable el comportamiento cíclico de los casos de niños infectados con el Virus Respiratorio Sincitial. Se puede notar que durante el año 2007 hubo un comportamiento un poco atípico en relación a los años precedentes y posteriores, ya que se reportaron una menor cantidad de casos. Sin embargo, en el año posterior 2008 se ve un repunte en los casos.
DISCUSIÓN
En este trabajo se propone el uso del modelo matemático epidemiológico SIRS con estacionalidad forzada por un harmónico simple para dar explicación a la dinámica del Virus Respiratorio Sincitial en la población de niños menores de cinco años en Bogotá D. C., Colombia. El modelo es ajustado utilizando específicamente los datos reportados por el LSP de Vigilancia Epidemiológica SIVIGILA correspondientes al periodo 2005-2010. El modelo matemático SIRS con estacionalidad forzada propuesto aquí explica de una forma razonable el comportamiento cíclico de los casos de niños infectados con el Virus Respiratorio Sincitial en la ciudad de Bogotá D. C., Colombia.
Específicamente, se puede mencionar en cuanto a los resultados numéricos que los parámetros se encuentran en cierta concordancia en relación a la estacionalidad con los obtenidos en la región de Valencia, España, para el periodo 2001-2005. En relación con el parámetro Φ que está relacionado con el mes en el cual existe mayor cantidad de infectados, encontramos que este parámetro difiere para las ciudades de Bogotá y Valencia, debido a que en Bogotá la mayor cantidad de casos de VRS ocurre alrededor del mes de Mayo, mientras en la ciudad de Valencia esto ocurre usualmente alrededor del mes de Enero.
En relación al factor de escala es importante resaltar que ha resultado un mayor valor en Bogotá. Esto podría ser debido a que Bogotá es una ciudad con más habitantes y/o que los habitantes de Bogotá asisten en menor frecuencia al médico en caso de presentar síntomas del VRS. En relación a este último punto pensamos que puede ser debido a recomendaciones por parte de los organismos de salud en Colombia donde se sugiere permanecer en casa cuando se presentan cuadros gripales no severos. Una misma situación similar ha sido reportada para el caso del virus H1N1/09 en Bogotá donde autores sugieren subregistros en relación a infectados (9). Por último, deseamos mencionar que a pesar que Bogotá no presenta estaciones al nivel de la ciudad de Valencia, España, la cantidad de infectados con el VRS presentan un comportamiento estacional. Esta situación no es de extrañar ya que esto sucede con otros virus en la ciudad de Bogotá como por ejemplo el AH1N1/09 (9). De esta forma podemos ver que el modelo propuesto podría ser utilizado por instituciones relacionadas a la salud pública para entender y predecir las dinámicas del VRS en diferentes poblaciones o regiones. Adicionalmente, estudios que deseen evaluar la factibilidad y efectividad de medidas contra el VRS como medidas de aislamiento o una vacuna pueden ser incorporadas en el modelo y observar los posibles resultados para distintos escenarios. De igual forma el modelo puede utilizarse para predecir la dinámica del VRS en la población si las tasas de natalidad o mortalidad cambian en un futuro.
Es importante mencionar que la actual función periódica utilizada para el forzamiento estacional necesita ser estudiada con mayor profundidad. Por ejemplo su relación con variables del clima podría traer información relevante para entender la propagación del Virus Respiratorio Sincitial en la población infantil y adulta mayor (13). Adicionalmente, podemos mencionar que el modelo estacional SIRS es conveniente para los datos reportados de niños. Sin embargo, si los reportes incluyen adultos mayores podría ser más conveniente usar un modelo SIRS estructurado por edades (14). En este modelo alternativo se debe resaltar que al aumentar los parámetros del modelo la certeza de la predicciones mejora a un costo de complejidad en el modelado y estimado de valores de los parámetros.
Finalmente, se debe resaltar que el modelo determinístico presentado en este trabajo es válido solo para poblaciones suficientemente grandes. Inclusive en caso de poblaciones grandes también es necesario ser precavido. Por ejemplo, la tasa de contacto periódica puede producir valores infinitesimales y así algunos resultados pueden ser inválidos debido a una contradicción con los obtenidos en el campo de epidemias caóticas (15). Futuras líneas de investigación incluyen la incorporación al modelo determinístico de factores estocásticos con la finalidad de explicar las variaciones interanuales de los niños infectados con VRS.
Conflictos de interés: Ninguno
REFERENCIAS
1. Benguigui Y, López F, Schmunis G, Yunes J. Infecciones respiratorias en niños. Organización Panamericana de la Salud, Washington, D.C.; 1997. [ Links ]
2. Agudelo C. Algunas lecciones de la influenza A (H1N1) [Editorial]. Rev Salud Pública (Bogotá). 2009; 11(5):687-688. [ Links ]
3. López-Cuadrado T, de Mateo S, Jiménez-Jorge S, Savulescu C, Larrauri A. Influenza-related mortality in Spain, 1999-2005. Gaceta Sanitaria. 2012; 26(4):325-329. [ Links ]
4. Pumariega T, Savón C, Muné M, Cancio R, González G, Valdivia A, et al. Isolation and identification of adenovirus in hospitalised children under five years, with acute respiratory disease, in Havana, Cuba. Mem Inst Oswaldo Cruz. 2000; 95 (6):859- 861. [ Links ]
5. Arenas AJ, González-Parra G, Moraño JA. Stochastic modeling of the transmission of Respiratory Syncytial Virus (RSV) in the region of Valencia, Spain. BioSystems. 2009; 96:206-212. [ Links ]
6. Acedo L, Diez-Domingo J, Moraño JA, Villanueva RJ. Mathematical modelling of respiratory syncytial virus (RSV): vaccination strategies and budget applications. Epidemiology and infection. 2010; 138(06):853-860. [ Links ]
7. González-Parra G, Villanueva RJ, Segovia L. Dinámica del virus pandémico AH1N1/09 en la población de Venezuela. Interciencia. 2012; 37(4):306-311. [ Links ]
8. González-Parra G, Arenas A, Aranda D, Segovia L. Modeling the epidemic waves of AH1N1/09 influenza around the world. Spatial and Spatio-temporal Epidemiology 2011; 2:219-226. [ Links ]
9. Lilian M. Núñez, Diego F. Aranda. Chronology of a pandemic: the new influenza A (H1N1) in Bogota, 2009-2010. Rev. Salud Pública (Bogotá) 2011;13(3): 480-491. [ Links ]
10. Porras A, Alvis N, De la Hoz F, Rico A, Alvis L, Velandia M, et al. Costo efectividad de la vacunación contra influenza en menores de 2 años y mayores de 65 años en Colombia. Rev. Salud Pública (Bogotá). 2009;11 (5):689-699. [ Links ]
11. Olvera DPR, Sánchez FJA, Gutiérrez CC, Zavala MEM. Patogenia de las infecciones respiratorias por virus. Rev Inst Nal Enf Resp Mex. 2002; 15(4):239-254. [ Links ]
12. Hethcote H. Qualitative analyses of communicable disease models. Math. Biosci. 1976; 28 (3-4):335-356. [ Links ]
13. Walton N, Poynton M, Gesteland P, Maloney C, Staes C, Facelli J. Predicting the start week of respiratory syncytial virus outbreaks using real time weather variables. BMC medical informatics and decision making. 2010;10 (1): 68. [ Links ]
14. González-Parra G, Villanueva, RJ, Arenas, AJ. An age structured model for obesity prevalence dynamics in populations. Revista MVZ Córdoba. 2010;15(2):2051-2059. [ Links ]
15. Bartlett MS. Measles periodicity and community size. J of the Royal Statistical Society 1957; 120(1):48-70. [ Links ]













