Services on Demand
Journal
Article
Indicators
-
Cited by SciELO -
Access statistics
Related links
-
Cited by Google -
Similars in
SciELO -
Similars in Google
Share
Revista de Salud Pública
Print version ISSN 0124-0064
Rev. salud pública vol.18 no.2 Bogotá Mar./Apr. 2016
https://doi.org/10.15446/rsap.v18n2.44661
Doi: http://dx.doi.org/10.15446/rsap.v18n2.44661
Artículos Investigación
Modelo multinivel de tasa global de ganancia de peso en el programa madre canguro en Bogotá
Multilevel model for global weight gain rate in the kangaroo-mother program in Bogotá
Sandra E. Melo1, Oscar O. Melo2 y Néstor Suarez3
1 Departamento de Agronomía. Facultad de Ciencias Agrarias. Universidad Nacional de Colombia, Bogotá. semelom@unal.edu.co
2 Departamento de Estadística. Facultad de Ciencias. Universidad Nacional de Colombia, Bogotá. oomelom@unal.edu.co
3 Hospital El Tunal III Nivel de Atención -E.S.E. Bogotá, Colombia. js.nestor@gmail.com
Recibido 28 Julio 2014/Enviado para Modificación 6 Julio 2015/Aceptado 18 Noviembre 2015
RESUMEN
Objetivos Formular un modelo multinivel para el análisis longitudinal de la tasa global de ganancia de peso en el Programa Madre Canguro.
Metodología Se realiza un modelo multinivel, considerando en el primer nivel la variable tiempo y algunas variables del infante y de la madre; para el segundo nivel se consideran las mediciones asociadas a la tasa global de ganancia de peso.
Resultados Al 5 % de significancia el intercepto y el parámetro asociado a la variable días transcurridos desde el nacimiento al cuadrado tienen efecto significativo sobre la tasa global de ganancia de peso. La pendiente para la variable días transcurridos desde el nacimiento resulta ser significativa al nivel del 6 %. Además, bajo este modelo se encuentra que el género y el retraso de crecimiento intrauterino del infante no tienen efecto significativo, así como la talla y el perímetro en los diferentes controles del infante. El peso en los diferentes controles del infante resulta ser significativo al 5 %, pero hay diferencias entre las dos clasificaciones gestacionales del infante (1: 26 a 40 semanas; 2: mayor de 40 semanas) y entre las clasificaciones del peso del infante de las categorías dos con uno, y tres con uno (1: 2500 gm. o más; 2: entre 1500 y 2499 gm.; 3: menor de 1500 gm.).
Conclusión Por cada cita adicional menor es la tasa de ganancia de peso en promedio que va a tener el infante; sin embargo, el infante sigue ganando peso pero no en la misma razón de ganancia de las primeras citas.
Palabras Clave: Bajo peso al nacer, estudios longitudinales, programa madre canguro, análisis multinivel (fuente: DeCS, BIREME).
ABSTRACT
Objectives To formulate a multilevel model for the longitudinal study of global weight gain rate in the Kangaroo-Mother Care Program.
Methodology A multilevel model is used, taking time and some infant and mother variables in the first level. Measures associated with the global weight gain rate are considered for the second level.
Results At 5 % significance, the intercept and the parameter associated to the time (days after birth) squared variable have a significant effect on the global rate of weight gain. The slope for the time variable is significant at the 6 % level. Also, under this model, we find that the gender delay in intrauterine growth of the infant, height and perimeter do not have a significant effect on the infant's global rate of weight gain. The weight in the various controls performed is significant at the 5 % level. There are differences between the two infant's gestational classifications (1: 26 to 40 weeks; 2: greater than 40 weeks), and between the infant's weight classifications of the categories two with one, and three with one (1: 2500 gm or more; 2: between 1500 and 2499 gm; 3: less than 1500 gm).
Conclusion For each additional appointment, the average weight gain rate of the infant decreases. However, the infant keeps gaining weight, but not at the same rate as in the initial appointments.
Key Words: Low birth weight, longitudinal studies, kangaroo-mother care method, multilevel analysis (source: MeSH, NLM).
La medición del crecimiento postnatal es importante, especialmente en prematurez porque provee una medida indirecta del estado de salud del infante, la adecuación nutricional y las prácticas de cuidado (1). Siendo el Programa Madre Canguro (PMC) una técnica considerada como buena practica en esta población vulnerable, los resultados como estrategia terapéutica no son comparables en la actualidad cuando se estima el promedio de la velocidad de crecimiento (gramos por Kilogramo por día (gr/Kg/día)) porque ha sido abordada por diferentes métodos, no estandarizados, en los estudios que la han reportado como variable dependiente, lo que ha impedido comparaciones entre grupos de peso similares (1).
En el PMC la meta ideal es conseguir un aumento de peso de 15-20gr/Kg/día hasta que el niño complete su termino y seguir con un aumento de peso de 7-11 gramos/día, mientras la talla debe aumentar 0.7 centímetros por semana. En este programa de atención el objetivo es lograr una tasa de ganancia de peso cercana al crecimiento intrauterino durante el tercer trimestre de embarazo (15-20 gr/Kg/día hasta la 40 semana de edad postconcepcional). Situación que permanece poco clara particularmente en los infantes de muy bajo peso al nacer (2). Esta meta no toma en consideración el grado y duración de la perdida inicial de peso, lo cual puede también afectar los resultados finales de salud.
Al revisar los estudios del crecimiento de lactantes sanos alimentados al pecho exclusivamente ó predominantemente hasta cuatro meses, se observa que la referencia internacional vigente es inapropiada para evaluar el crecimiento de lactantes sanos, al menos hasta los 12 meses, y la pauta del crecimiento que siguen los datos agregados por estudios que utilizan otras tablas, probablemente reflejan mejor el crecimiento fisiológico que la referencia internacional vigente (Centro Nacional de Estadísticas de la salud de Estados Unidos) (4). La recuperación de su peso de nacimiento es más tardía mientras menor es su peso al nacer, pero la velocidad de incremento de peso no guarda relación con él. La mayoría de estos niños presentan un importante deterioro en su incremento ponderal, ya que encontrándose al momento de nacer con un peso cercano al percentil 50, a las cuatro semanas de vida postnatal se encuentran en un valor inferior al percentil 10 (5), que muestra el efecto adverso del hecho de haber nacido antes de tiempo.
Adicionalmente, se debe considerar que los modelos de crecimiento en la población pediátrica son diferentes cuando los intervalos de mediciones son largos o cuando se hace en periodos cortos, pudiendo evidenciar en esta última situación períodos fisiológicos de estasis o ausencia de crecimiento y otros de rápido crecimiento en 24 horas llamados saltos (6). La variabilidad en los métodos de medición del crecimiento es evidente y son muy pocos los trabajos reportados en los que se controla la limitación al comparar pesos muy diferentes, evidenciándose un intento de corrección usando como denominador el peso al nacer o el peso promedio en dos períodos de tiempo (3).
La mayoría de estudios disponibles en Bajo Peso al Nacer (BPN) están focalizados sobre variables individuales como la nutrición materna y otros, intentan examinar factores ecológicos, donde se determina las influencias contextuales y la variabilidad espacial de la incidencia del BPN (7,8). Cada aproximación contribuye al entendimiento de las variables que influyen el BPN, pero existen limitaciones con el análisis individual y ecológico, lo cual puede ser superado a través del uso correcto del análisis multinivel. Los modelos de regresión múltiple tradicionales muestran la relación promedio entre la respuesta y las variables predictoras, asumiendo que los residuales son independientes. Sin embargo, la estructura multinivel de algunos datos viola este supuesto. Tal circunstancia puede ser vista en datos jerárquicos o anidados (9), los cuales hacen parte de los modelos lineales mixtos que se usan para el análisis de datos longitudinales (19,20). Cuando se examinan las posibles interacciones entre las características a nivel individual; por ejemplo salud materna, hábito de tabaquismo, etc. y las características a nivel grupal; por ejemplo, lugar de vivienda y estado socioeconómico, esto requiere que el nivel de análisis debe reflejar la interacción entre el individuo y el grupo1. El análisis multinivel es una herramienta útil en el examen de tales interacciones.
El modelo lineal jerárquico es muy útil también para analizar datos longitudinales, este es el principal tipo de aplicación de los modelos lineales jerárquicos en las ciencias médicas (10,11). El modelo considerado es de dos niveles: las unidades en el nivel uno son las ocasiones y las unidades en el nivel dos son los individuos. Una de las ventajas de este modelo es la flexibilidad para manejar estructuras de datos desbalanceados, es decir datos longitudinales donde alguno o todos los individuos son medidos en conjuntos diferentes de puntos en el tiempo como es el caso presentado en este artículo. El propósito de este artículo es entonces la formulación de un modelo multinivel para el análisis longitudinal de la tasa global de ganancia de peso (TGGP) en el PMC e ilustrar su utilidad mediante el estudio de los cambios de la tasa en esta población vulnerable.
MATERIALES Y MÉTODOS
Se incluyeron los pacientes que ingresaron al PMC desde agosto de 2005 hasta agosto de 2006, siendo los criterios para el ingreso al programa: todos los pacientes con peso inferior de 2300 gramos, y mayor a 1700 gramos al nacer, con estabilidad clínica, regulando la temperatura en posición canguro durante mínimo 2 horas consecutivas. Pacientes oxígeno dependientes que no requieran más de 0.5 l/min por cánula nasal. Los criterios de exclusión fueron: pacientes con enfermedades genéticas importantes (trisomías, enfermedades metabólicas, etc.) y presencia de patologías que afecten el crecimiento (cardiopatías mayores, malformaciones de tubo digestivo).
El paciente una vez ingrese al PMC, se le realizan los cálculos necesarios para corregir la edad gestacional hasta las 40 semanas, conservando esta edad durante todo el transcurso del programa, sin tener en cuenta la edad cronológica. Se utilizó una balanza pesa bebés Ósenle digital con tres dígitos de resolución y periodicidad mensual en calibración. Pruebas de consistencia del registro: fecha de nacimiento, ajuste por días, peso al nacer y talla materna. Validación de apariencia del instrumento de información: registro para la caracterización de usuarios del PMC.
A los pacientes que ingresan al programa, se les abre una historia clínica propia para el registro médico, medidas antropométricas, anotaciones de exámenes y evoluciones de enfermería, trabajo social y demás especialidades que amerite el paciente.
Las mediciones se realizaron con técnicas normalizadas, no existió cambio de personal durante el tiempo de toma de las mediciones, la balanza electrónica es de tipo digital y no se cambió durante el período de estudio (la calibración fue trimestral).
En el estudio no se requirió que todos los neonatos participantes presentarán la totalidad de 12 controles y la diferencia en el número de controles no requirió técnicas de imputación de valores perdidos.
La base de datos construída contiene 1 452 registros, siendo las variables: fecha de nacimiento, fecha de inicio del PMC, peso al nacer, talla al nacer, perímetro cefálico al nacer, APGAR minuto uno, APGAR minuto cinco, diagnóstico al nacer, número del control, fecha control, número de días desde la fecha del nacimiento a fecha del control, número de días desde la fecha de ingreso al PMC a la fecha del control, peso control, talla del control, perímetro cefálico control, edad gestacional del control y talla materna.
La variable respuesta es la TGGP del infante: (diferencia de peso en el control analizado con el peso al nacimiento/ (peso al nacer * número de días transcurridos desde el nacimiento)/1 000) y dado que se está trabajando con medidas en el tiempo, se utilizó como variable de tiempo los días transcurridos desde el nacimiento del infante. Se ajustó un modelo multinivel (longitudinal), en el primer nivel la variable tiempo y algunas variables del infante y de la madre; para el segundo nivel se consideran las mediciones asociadas a la variable respuesta.
RESULTADOS
La TGGP del lactante en función de los días transcurridos desde el nacimiento por género evidencia una mayor dispersión en las niñas, y esta tasa global se estabiliza alrededor de 11 para el último control de los infantes (Figura 1).
Después de realizar una serie de comparaciones entre diferentes modelos para seleccionar el mejor modelo que ajusta la TGGP de los infantes, se llegó a que el modelo cuadrático considerando: el intercepto, la pendiente para los días de nacimiento y días de nacimiento al cuadrado como efectos aleatorios, es el que mejor se ajusta al conjunto de datos (valor p<0.0001). El estadístico loglik muestra un valor de -3536,3; además, la desviación estándar residual es la más baja (2,91) y los criterios AIC=7110,5 y BIC=7208,5 confirman el mejor ajuste del modelo, ya que fueron los valores más pequeños entre los modelos comparados.
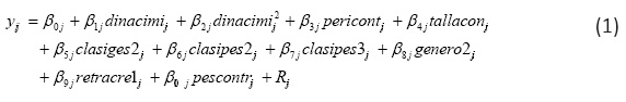
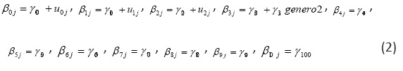
El modelo de interceptos y pendiente aleatoria para la variable días transcurridos desde el nacimiento (dinacimi) y ésta variable al cuadrado (dinacimi2) se presenta a continuación:
- Modelo primer nivel:
- Modelo de segundo nivel:


Reemplazando (2) en la expresión (1) y estimando los parámetros, se obtiene (Tabla 1):

donde: dinacimiij son los días transcurridos de nacimiento del infante i en el tiempo j, pericontij es el perímetro cefálico del lactante en el control del individuo i en el tiempo j, genero2ij es uno si el género del infante i en el tiempo j es niño, tallaconij es la talla del lactante i en el tiempo j en el control, clasiges2ij es uno si la edad gestacional es mayor a 40 semanas del lactante i en el tiempo j en el control (la categoría base es los infantes con edad gestacional menor o igual a 40 semanas), clasipes2ij es uno si el peso al nacer está entre 1 500 y 2 499 gramos del infante i en el tiempo j, clasipes3ij es uno si el infante i en el tiempo j tiene un peso al nacer menor a 1500 gramos (la categoría base son los infantes con peso al nacer mayor o igual a 2500 gramos), retracre1ij es el retraso de crecimiento intrauterino del infante i en el tiempo j y pescontrij es el peso en los diferentes controles del individuo i en el tiempo j.
De acuerdo a los resultados de la Tabla 1 (obtenida en el programa R), se observa bajo un nivel de significancia del 5 % que el intercepto y el parámetro asociado a la variable tiempo (dinacimi2) tienen efecto significativo sobre la TGGP. La pendiente para la variable (dinacimi) resulta ser significativa al nivel 6 %. Además, bajo este modelo se encuentra que el género y el retraso de crecimiento intrauterino del infante no tienen efecto significativo sobre la TGGP, así como la talla y el perímetro en los diferentes controles del infante. El peso en los diferentes controles del infante resulta ser significativo al 5 %. Hay diferencia entre las dos clasificaciones gestacionales y entre las clasificaciones del peso de las categorías dos con uno y tres con uno.
En cuanto a la normalidad se cumplió el supuesto, además hay simetría ya que la media es prácticamente cero en el modelo (interceptos y pendientes aleatorias para dinacimi y dinacimi2), mediana igual a -0,028, cuartil uno (Q1) igual a -0,4147 y cuartil tres (Q3) igual a 0,43098, es decir prácticamente simétricos los residuos.
En la Figura 2 se presentan los cuantiles de la distribución normal para el intercepto y pendiente de las variables dinacimi y dinacimi2 de los efectos aleatorios. La figura muestra cercanía a la normalidad pero con algunos datos atípicos tanto en intercepto como en pendiente del tiempo y pendiente del tiempo al cuadrado.
Además, en los efectos aleatorios se encuentra que el tiempo (dinacimi) tiene una desviación estándar de 0,0823, este valor es pequeño, muy cercano a cero. La desviación estándar para el intercepto es de 5,73 y la desviación de los residuales es de 2,91. La correlación estimada intra-clase entre el intercepto y el tiempo dinacimi es -0,901 para los efectos aleatorios, esto indica que la pendiente de la TGGP en infantes es bastante inclinada. Es decir, entre más tiempo pase menor es la tasa de peso en promedio, lo cual no implica que el infante no gane peso, sino que gana peso en una razón menor a las primeras citas, tal como se ha reportado en algunos estudios (1).
Se usó el método augPred en R para graficar curvas ajustadas suavizadas calculando los valores ajustados con respecto al tiempo (12). A continuación se ajustó el modelo por individuo y se comparó con el comportamiento de los valores observados de la tasa global por individuo. El valor-p asociado al estadístico L.Ratio es mayor al nivel 5 % de significancia (valor-p = 0.52); por lo tanto, este modelo no mejora al hacer la transformación VarIdent en comparación con el modelo propuesto en (3). También se probaron otras opciones "varClasses", pero ninguna dio resultados significativos.
Los parámetros asociados a los efectos fijos se estiman mediante máxima verosimilitud (13), obteniendo así el siguiente modelo:

El estadístico loglik asociado al ajuste del modelo (4) es -3508.1; además, los criterios AIC=7054.2 y BIC=7152.3 confirman que éste es un buen modelo, ya que son valores pequeños comparados con algunos otros modelos seleccionados. Al examinar los residuales del modelo (4), donde se consideran los errores de los efectos fijos, no se presentaron problemas de heterocedasticidad y normalidad, ni algún tipo de tendencia, pero hubo presencia de algunos datos atípicos; siendo mayor en las niñas.
Los resultados obtenidos al realizar este ajuste se presentan en la Tabla 2, a un nivel de significancia del 5 % hay evidencia estadística que el retraso de crecimiento intrauterino (retracre1) no tiene efecto significativo sobre la TGGP (valor-p = 0.53), la clasificación de peso de los infantes cuyo peso al nacer está entre 1500 y 2499 gramos (clasipes2) presenta diferencias significativas en la TGGP con respecto a los infantes con peso al nacer mayor o igual a 2500 gramos (categoría base), siendo más alta la tasa de ganancia de peso en los infantes cuyo peso al nacer está entre 1500 y 2499 gramos (coeficiente positivo e igual a 4,68).
Los infantes que pesan de 2500 gramos o más al nacer presentan diferencias significativas en la tasa de ganancia de peso con respecto a los infantes cuyo peso al nacer es menor a 1500 gramos (clasipes3), presentándose una tasa de ganancia de peso mayor en los infantes cuyo peso al nacer es menor a 1500 gramos (coeficiente positivo e igual a 12,68); lo cual demuestra un impacto positivo en el PMC ya que estos infantes son los que más tasa ganancia de peso muestran a lo largo del estudio. Por lo tanto, un infante en la categoría de clasificación del lactante con peso al nacer menor de 1500 gramos (clasipes3) gana 12,68 gramos más en la TGGP con respecto a los infantes que no están en esta categoría. Un infante en la categoría de clasificación del lactante por peso al nacer entre 1500 y 2499 gramos (clasipes3) gana 4,68 gramos más en la TGGP con respecto a los infantes que no están en esta categoría.
Adicionalmente, de acuerdo a la Tabla 2, a un nivel de significancia 5 % hay evidencia que las variables: perímetro cefálico del lactante en el control individualizado (pericont), talla del lactante en el control individualizado (tallacon), el género del infante, el retraso de crecimiento intrauterino (retracre1) y la interacción pericont*genero2 no son significativas sobre la TGGP, es decir que no hay impacto de estas variables sobre esta tasa y además, en cuanto al género, no hay diferencias significativas relevantes. El intercepto, el tiempo al cuadrado (dinacimi2) y el peso en los diferentes controles del individuo (pescontr) tienen efecto significativo sobre la TGGP. Los días transcurridos desde el nacimiento del infante (dinacimi) resulta ser significativa al 6 %. En este sentido, por cada kilogramo de ganancia en los diferentes controles en promedio se gana 0,0034 en la TGGP. Además, la tasa de ganancia de peso crece en forma cuadrática por cada cita adicional, es decir entre más citas pasen menor es la tasa de ganancia de peso en promedio del infante, esto podría ser debido a que en la medida que el bebe crece las madres asisten con menos frecuencia a los controles.
Hay diferencias significativas entre la TGGP para infantes de las dos clasificaciones gestacionales consideradas; de 26 a 40 semanas y de más de 40 semanas (clasiges2). Un infante en la categoría de edad gestacional mayor de 40 semanas gana 3.72 gramos más en la TGGP con respecto a los infantes que no están en esta categoría.
DISCUSIÓN
El bajo peso continúa siendo un serio problema de salud pública en la actualidad, donde la mayoría de estudios disponibles focalizados sobre variables individuales como la nutrición materna y otros; intentan examinar factores ecológicos y determinan las influencias contextuales y la variabilidad espacial de la incidencia del BPN (7). Cada aproximación contribuye al entendimiento de las variables que influyen el BPN, pero existen limitaciones con el análisis individual y ecológico, lo cual puede ser superado a través del uso correcto del análisis multinivel. Adicionalmente, los estudios de la velocidad de aumento de peso en prematurez son pocos, inclusive en el entorno de la UCIN (14).
Estudios preliminares indican que el mejor estimativo de la velocidad de crecimiento neonatal es la basada sobre las mediciones de los pesos entre los días 3 y 28 porque toman en cuenta algunas pérdidas tempranas de peso (3). Esta forma de estimar el aumento, refleja las perdidas y ganancias, característico del período neonatal (3).
Se encuentra que la tasa de ganancia de peso en infantes es un modelo de crecimiento cuadrático, es decir entre más citas pasen menor es la ganancia de peso en promedio del infante, donde éste sigue ganando peso, pero no en la misma razón de las primeras citas. Aun cuando existe ausencia de punto de referencia para el crecimiento de peso neonatal, este hallazgo corresponde a la velocidad de ganancia de peso basada sobre el periodo de 3 a 28 días, que usa una medida de base en los primeros días de perdida de peso, de manera que no excluye el periodo de pérdida de peso que todo neonato experimenta en su vida postnatal temprana (3).
No se encontró ningún estudio que formulará un modelo multinivel en el estudio longitudinal de la TGGP en la población de recién nacidos en condiciones de prematurez (15). En contraste, las variables reportadas en la literatura en este tipo de modelación han sido las diferencias menores en el promedio de peso al nacer frente a la situación económica en vecindarios urbanos, mediado por la edad gestacional y la paridad individual. Conclusión soportada por una correlación intra-clase menor del 1 %, pero enfocada sobre lugares en vez de personas (16).
Los criterios de inclusión comprenden los lactantes entre 1700 y 2300 gramos, no incluyendo así la población de infantes extremadamente prematuros, la cual ha sido la población objetivo de los estudios de diferencias en la velocidad de ganancia de peso (3). El crecimiento es una función no lineal (17) donde algunos coeficientes varían aleatoriamente a través de los neonatos individualmente, por lo que cada lactante tiene su propio modelo de crecimiento, aspecto que es relevante en la consideración protocolaria del PMC, que establece puntos de corte porcentuales globales de 10, 15 o 20 %, con relación al peso de nacimiento (18).▲
Conflicto de intereses: Ninguno.
Notas
1 Green Jr JW. A multilevel modeling analysis of the geographic variability of low birth weight occurrence in Florida. Department of Geography College of Arts and Sciences University of South Florida. Thesis for the degree of Master of Arts. October 14, 2004.
REFERENCIAS
1. Patel AL, Engstrom JL, Meier PP, Kimura RE. Accuracy of methods for calculating postnatal growth velocity for extremely low birth weight infants. Pediatrics. 2005; 116(6): 1466-1473. [ Links ]
2. Cooke R. Postnatal growth in preterm infants: have we got it right? Journal of Perinatology. 2005; 25: S12-S14. [ Links ]
3. Olsen IE, Richardson DK, Schmid CH, Ausman LM, Dwyer JT. Intersite differences in weight growth velocity of extremely premature infants. Pediatrics. 2002; 110(6): 1125-1132. [ Links ]
4. Atalah E. Una nueva referencia internacional de crecimiento infantil. Revista Chilena de Pediatría 2007; 78(2): 186-192. [ Links ]
5. Ehrenkranz RA, Younes N, Lemons JA, Fanaroff AA, Donovan EF, Wright LL, Katsikiotis V, Tyson JE, Oh W, Shankaran S, Bauer CR, Korones SB, Stoll BJ, Stevenson DK, Papile Lu-A. Longitudinal growth of hospitalized very low birth weight infants. Pediatrics. 1999; 104(2): 280-289. [ Links ]
6. Lampl M. Saltation and stasis: introduction to the data, methods and theory. In: Lampl M, Ed Saltation and stasis in human growth and development: evidence, methods and theory. London: Smith-Gordon.; 1991; 1-18. [ Links ]
7. Shiono PH, Behrman RE. Low birth weight: analysis and recommendations. The Future of Children. 1995; 5(1): 4-18. [ Links ]
8. Reader S. Detecting and analyzing clusters of low-birth weight incidence using exploratory spatial data analysis. GeoJournal. 2001; 53(2): 149-159. [ Links ]
9. TRAMSS: teaching resources and materials for social scientists. [Internet]. Disponible en: http://www.worldcat.org/title/tramss-teaching-resources-and-materials-for-social-scientists/oclc / 181835244. Consultado en octubre 2011. [ Links ]
10. Snijders TAB, Bosker RJ. Multilevel Analysis: An Introduction to Basic and Advanced Multilevel Modeling. Second Edition. Los Angeles: SAGE Publications; 2012. [ Links ]
11. Brown H, Prescott R. Applied mixed models in medicine. Second Edition. New York: John Wiley and Sons; 2006. [ Links ]
12. Bates DM, Pinheiro JC. Computational methods for multilevel modelling. University of Wisconsin, Madison, WI; 1998, 1-29. [ Links ]
13. Fox J, Weisberg S. An R and S-Plus Companion to Applied Regression. Second Edition. SAGE Publications, Inc. Thousand Oaks, CA, USA. 2011. [ Links ]
14. Clark RH, Thomas P, Peabody J. Extrauterine growth restriction remains a serious problem in prematurely born neonates. Pediatrics. 2003; 111(5): 986 -990. [ Links ]
15. Catalán-Reyes MJ, Galindo-Villardón MP. Utilización de los modelos multinivel en investigación sanitaria. Gaceta Sanitaria. 2003; 17 (3): 35-52. [ Links ]
16. Sellström E, Arnoldsson G, Bremberg S, Hjern A. Are there differences in birth weight between neighbourhoods in a Nordic welfare state? BMC Public Health. 2007; 7:267. [ Links ]
17. De la Cruz F. Modelos Multinivel. Revista Peruana de Epidemiología. 2008; 12 (3): 1-8. [ Links ]
18. Charpak N, Figueroa Z. Técnica Madre Canguro. Guías de Manejo. Fundación Canguro. Bogotá. Colombia; 2008. [ Links ]
19. Melo SE, Melo OO. Distance Based approach in univariate longitudinal data analysis. Journal of Applied Statistics. 2013; 40(3): 465-482. [ Links ]
20. Liu S, Rovine MJ, Molenaar PC. Selecting a linear mixed model for longitudinal data: Repeated measures analysis of variance, covariance pattern model and growth curve approaches. Psychological Methods. 2012; 17(1): 15-30. [ Links ]
















