Services on Demand
Journal
Article
Indicators
-
Cited by SciELO -
Access statistics
Related links
-
Cited by Google -
Similars in
SciELO -
Similars in Google
Share
Revista Facultad Nacional de Agronomía Medellín
Print version ISSN 0304-2847
Rev. Fac. Nac. Agron. Medellín vol.62 no.1 Medellín Jan./June 2009
VARIABILIDAD ESPACIAL DE LAS PROPIEDADES ÁNDICAS DE UN ANDISOL HIDROMÓRFICO DEL ORIENTE ANTIOQUEÑO (COLOMBIA)
SPATIAL VARIABILITY OF THE ANDIC PROPERTIES IN AN HYDROMORPHIC ANDISOL FROM THE ANTIOQUIA EAST (COLOMBIA)
Daniel Francisco Jaramillo Jaramillo1
1 Profesor Titular. Universidad Nacional de Colombia Sede Medellín. Facultad de Ciencias. A.A. 3840. Medellín, Colombia. <djaramal@unalmed.edu.co>
Recibido: Junio 19 de 2008; Aceptado: Abril 24 de 2009
Resumen. Se estudió la variabilidad espacial de las propiedades ándicas y de otras relacionadas con ellas, en el horizonte superficial de un Andisol de régimen de humedad ácuico. La mayoría de las propiedades presentaron alta variabilidad, asimetría y fuerte tendencia espacial en la distribución de sus valores. Pocas variables presentaron variabilidad espacial pero, donde se presentó, fue alta y de rango corto.
Palabras claves: Andisol, variabilidad espacial de suelos, geoestadística, propiedades ándicas, régimen de humedad ácuico.
Abstract. The spatial variability of some andic properties of the surface horizon in an Andisol with aquic moisture regime was studied. Most of the properties presented high variability and asymmetry, and strong spatial tendency in their distribution values. Few variables presented spatial variability but, it was high and of short range where it was presented.
Key words: Andisol, soil spatial variability, geostatistics, andic properties, aquic moisture regime.
Los Andisoles son suelos que se desarrollan a partir de materiales provenientes de erupciones volcánicas (ceniza, pómez, lava, etc.) y/o de materiales volcaniclásticos en los que la fracción coloidal está dominada por minerales de corto rango de ordenamiento o por complejos Al-humus (SSS, 1999)
Los materiales representativos de estos suelos le dan a los mismos, unas características únicas y distintivas, llamadas propiedades ándicas, las cuales se manifiestan en una baja densidad aparente, una alta carga variable y una alta capacidad de retención de fosfatos y de humedad (Arnalds y Stahr, 2004).
Los Andisoles cubren entre el 0,8% (SSS, 1999) y el 1% (Arnalds y Stahr, 2004) de la superficie terrestre. En Colombia se calcula que cubren aproximadamente el 4,5% del territorio (IGAC, 2003) y, con base en el mapa general de suelos del departamento de Antioquia (IGAC, 2007), el autor de este artículo estima que cubren el 13,33% (842.163,07 ha) del territorio departamental.
En el sistema de clasificación taxonómica de suelos del USDA (SSS, 1999, 2006) se han establecido como propiedades diagnósticas del orden Andisol, en la tierra fina y con bajo contenido de vidrio volcánico, como sucede en los Andisoles del Oriente Antioqueño (Jaramillo et al. , 2006), las siguientes:
- Densidad aparente con humedad retenida a 33 kPa menor de 0,9 Mg•m-3; y
- Retención de fosfatos mayor o igual a 85%; y
- Contenido de (Alo + 0,5 Feo) (Al y Fe extractables con oxalato ácido de amonio) mayor o igual a 2%.
Aparte de las anteriores, varios autores consideran que hay algunas propiedades de los Andisoles que se pueden relacionar con las ándicas como el pH medido en NaF, la CIC variable, la retención de humedad y el ÎpH (Parfitt, 1985; Quantin, 1986; Shoji et al. , 1996; Besoain et al. , 2000; SSS, 1999, 2006; Briggs et al., 2006)
El sistema de clasificación de suelos FAO (IUSS, 2006) también considera como propiedades ándicas del suelo, además de las que son consideradas por el sistema USDA, el Si extraído con oxalato ácido de amonio (Sio), el Al y el carbono extraídos con pirofosfato de sodio (Alp y Cp), el contenido de carbono como ácido fúlvico (CAF) y el contenido de materia orgánica (MO).
Para clasificar los Andisoles en las otras categorías altas del sistema del USDA, es decir, hasta el subgrupo, hay que tener en cuenta otras propiedades diagnósticas relacionadas con las propiedades ándicas como el contenido de Al extractable con KCl 1N, la CICE, el contenido de vidrio, la MO, la retención de humedad y el índice melánico (IM) (SSS, 1999, 2006).
Dahlgren et al. (1993) apuntan que en los suelos con influencia de materiales volcánicos, se pueden presentar dos tipos de complejo coloidal altamente reactivo: uno formado por partículas de tamaño arcilla y con altos contenidos de Al y de Fe activos, provenientes de la alteración de los materiales volcánicos y que son la alofana, la imogolita y la ferrihidrita, y el otro, formado por complejos humus-Al/Fe. Ambos complejos tienen una relación inversa en el suelo pues las condiciones de formación de cada uno son opuestas.
La relación Al:Si, establecida con la fórmula [(Alo-Alp)/Sio], es un parámetro que se utiliza para caracterizar el tipo de alofana que hay en el suelo: la relación Al:Si @ 2:1 identifica alofana rica en Al y la relación Al:Si @ 1:1 la alofana rica en Si, siendo éstos los dos miembros finales de una serie de aluminosilicatos hidratados no cristalinos de una amplia variación en su composición química (van Olphen, 1971, citado por Dahlgren et al. , 1993).
Los complejos humus-Al son la forma dominante de Al activo en los horizontes orgánicos de los Andisoles y la capacidad complejante de las sustancias húmicas es evaluada mediante la relación [(Al+Fe)p/Cp], la cual varía entre 0,1 y 0,2 para estos horizontes. La formación de estos complejos se ve favorecida por ambientes ricos en MO y que tengan pH < 5,0 (varios autores citados por Dahlgren et al., 1993).
Nanzyo et al. (1993) establecen que cuando las formas dominantes de Al activo en los Andisoles se encuentran en la alofana, la imogolita y los complejos humus-Al, el suelo es un Andisol alofánico, mientras que si lo que predomina en el complejo coloidal son los complejos humus-Al, el Andisol es no-alofánico. Para identificar estos dos tipos de Andisoles, Saigusa et al. (1991), citados por Nanzyo et al. (1993), propusieron la relación Alp / Alo: si la relación es menor de 0,5, el Andisol es alofánico y si es mayor o igual a 0,5, es no-alofánico.
La variabilidad es una condición inherente a los suelos y su origen está influenciado tanto por condiciones naturales (variados factores y procesos pedogenéticos), como por condiciones inducidas por el uso y el manejo de los mismos (Ovalles, 1992; Cambardella y Karlen, 1999; Paz-González et al., 2000; Mallarino et al. , 2001; Jaramillo et al., 2008).
La variabilidad del suelo depende, aparte del tipo de suelo, de la propiedad que se analice, siendo más variables las propiedades químicas que las físicas. Además, hay menor variabilidad en las propiedades del suelo, en su condición natural, que cuando ha estado sometido a uso. Aquellas propiedades que más se alteran por el manejo del suelo, serán las que presenten la mayor variabilidad (Ovalles, 1992; Cambardella y Karlen, 1999; Amador et al., 2000; Castrignanò et al., 2000; Paz-González et al., 2000; Mallarino et al. , 2001; Jaramillo, 2008; Jaramillo et al., 2008).
En el Oriente Antioqueño se han estudiado las propiedades ándicas y otras relacionadas con ellas en algunos Andisoles con régimen de humedad údico (Castillo y Gómez, 1995; Abril y Ortiz, 1996; Jaramillo et al. , 2006), pero no se ha hecho este trabajo en Andisoles con régimen de humedad ácuico. Los estudios de variabilidad espacial de las propiedades ándicas no se han hecho en suelos del oriente antioqueño, bajo ninguno de los dos regímenes de humedad mencionados.
En una finca del oriente antioqueño Jaramillo (2008) estudió la variabilidad espacial de algunas propiedades químicas de Andisoles con régimen de humedad ácuico y encontró una alta dependencia espacial de corto rango en la mayoría de las propiedades que analizó. Solamente el contenido de materia orgánica y la CIC variable no presentaron dependencia espacial en estos suelos.
Con este trabajo se quiere establecer la variabilidad espacial de las propiedades ándicas, y de algunas otras relacionadas con ellas, en el horizonte superficial de un Andisol de régimen ácuico del Oriente Antioqueño.
MATERIALES Y MÉTODOS
Descripción y localización del área de estudio. El estudio se realizó en una finca ubicada en cercanías a la vía que conduce de la autopista Medellín-Bogotá al aeropuerto José María Córdova, en la vereda Ranchería del municipio de Guarne (Antioquia, Colombia), localizada en 6° 11' 46,02'' N y 75° 26' 18,51'' W. Altitudinalmente, el lote experimental está ubicado entre los 2184 y los 2189 msnm.
La parcela experimental se encuentra sobre depósitos aluviales con un recubrimiento espeso de ceniza volcánica. Tiene relieve inclinado con pendiente alrededor de 7% (Figura 1A) y posee problemas de mal drenaje con nivel freático alto la mayor parte del tiempo. El clima de la zona es frío húmedo.
Figura 1. A. Mapa topográfico del lote experimental B. Esquema del muestreo para establecer la variabilidad espacial de las propiedades ándicas de un suelo hidromórfico en el Oriente Antioqueño, Colombia.
El campo experimental ha estado sometido a explotación agropecuaria (no se tiene información sobre el tiempo que duró la misma) y, en los últimos 5 años antes de hacer el trabajo, estuvo utilizado en recreación (finca de descanso) con siembra y fertilización (elementos mayores y materia orgánica) esporádica de frutales (manzano, aguacate), sin mucho éxito, y de gramas naturales.
En general, los suelos presentan un horizonte superficial espeso (32 cm en promedio), oscuro, de textura media (FL) y bien estructurado en bloques subangulares finos. Son ligeramente ácidos y tienen alto contenido de materia orgánica, bajo contenido de fósforo disponible y de bases intercambiables y una alta CIC variable. Se encuentran limitados en su profundidad efectiva por la presencia de un nivel freático alto, evidenciado por una fuerte gleización y moteos que empiezan a aparecer a una profundidad promedia de 41 cm (Jaramillo, 2008). Taxonómicamente corresponden a Andisoles con régimen de humedad ácuico y de temperatura isomésico. Al nivel de subgrupo se clasificaron como Typic Endoaquand.
Muestreo. En mayo de 2007 se realizó un muestreo en el que cada sitio fue georreferenciado mediante un sistema de coordenadas planas cartesianas con origen arbitrario. Se recolectaron en total 64 muestras espaciadas, en promedio, 8,66 m (Figura 1B).
En cada uno de los puntos de muestreo se tomó una muestra disturbada de aproximadamente 1 kg del horizonte superficial y se empacó en una bolsa plástica hermética que se destinó para hacer los análisis de laboratorio respectivos.
Propiedades químicas evaluadas en el laboratorio. Se caracterizaron algunas propiedades del suelo relacionadas con su génesis y con su clasificación taxonómica, siguiendo las metodologías estándar descritas en Motta et al. (1990), Soil Survey Laboratory (SSL, 1996) y en Soil Survey Staff (SSS, 2006). Todos los análisis se hicieron con las muestras sin secar (Jaramillo, 2000b).
Se determinaron las cantidades de Al, Fe y Si extractables con oxalato ácido de amonio (Alo, Feo, Sio, respectivamente, en %) por el método de Blakemore, así como las extractables con pirofosfato de sodio (Alp, Fep, Sip, respectivamente, en %) por el método de Bascomb; se midieron, además, la capacidad de fijación de fosfatos (FF, en %) por el método de Blakemore, el índice melánico (IM) por el método de Honna et al. y el pH en NaF 1:50 p:v (pHn). Los contenidos de materiales inorgánicos coloidales no cristalinos relacionados con las propiedades ándicas se estimaron con las siguientes relaciones, propuestas por varios autores citados por Nanzyo et al. (1993):

Además, se establecieron las siguientes relaciones entre variables:

Como variables de apoyo se tomaron de Jaramillo (2008) el espesor del horizonte superficial (EHA), el contenido de materia orgánica (MOS), la CIC efectiva (CICE) y la profundidad hasta el nivel freático al momento de hacer el muestreo (PNF).
Análisis estadísticos. Los resultados obtenidos con todas las variables fueron sometidos a análisis estadísticos exploratorios en los que se determinaron los estadísticos que las caracterizaron: media, desviación estándar, valores máximo y mínimo, coeficiente de variación y asimetría. Después de este análisis, se procedió a establecer si se cumplían los supuestos de estacionaridad y de normalidad en la distribución de los datos, requeridos para los análisis de semivariografía.
Para comprobar el supuesto de estacionalidad, se llevó a cabo un análisis de tendencia espacial mediante una regresión múltiple, donde la variable en estudio fue la variable dependiente y las coordenadas de los puntos de muestreo las independientes (Jaramillo, 2008). El modelo estadístico para hacer este análisis fue:

Donde x, y son las coordenadas cartesianas planas de cada punto.
Cuando se obtuvo un modelo de regresión significativo al 95%, se procedió a confirmar los supuestos de normalidad (estadístico de Shapiro-Wilk) y de homogeneidad de varianza (estadístico de Levene's) de los residuales de dicho modelo y, cuando estos supuestos se cumplieron (valor P<0,05), se tomaron los residuales del mismo, para hacer el análisis de semivarianza; cuando no hubo un modelo de regresión significativo, la semivariografía se hizo con los valores originales de la variable.
Cuando la distribución de los datos (originales o residuales, según el caso) en alguna variable no fue normal, se aceptó que por lo menos fuera simétrica (asimetría entre -2 y +2); en las circunstancias que esta condición tampoco se dio, se procedió a hacer transformaciones sencillas de los datos originales de la variable (logarítmica, raíz cuadrada o inversa) para ver si se lograba la normalización o, por lo menos, la simetría de los datos. Cuando hubo que transformar los datos, se volvió a hacer todo el proceso de análisis de tendencia con los datos transformados para definir si se continuaba presentando tendencia espacial y, por último, se volvieron a confirmar los supuestos en los nuevos residuales resultantes.
Si con los procedimientos anteriores se corregía el problema, la semivariografía se hizo con los datos transformados o con los nuevos residuales. De lo contrario, como el propósito de este trabajo es conocer si las variables presentan variabilidad espacial y su comportamiento aproximado, sin pretender establecer modelos que permitan hacer estimaciones de los valores de ellas, con fines de elaborar mapas de isolíneas, los semivariogramas se establecieron con los datos (originales, transformados o residuales) que presentaron menores conflictos con los supuestos requeridos para este análisis. Todos los análisis estadísticos se hicieron con los programas Statgraphics 5.1 plus y GS+ 3.1.
RESULTADOS Y DISCUSIÓN
Estadística descriptiva. En la Tabla 1 se presentan los estadísticos básicos de las variables analizadas y en ella puede apreciarse que en la mayoría de las variables el número de datos no coincide con la cantidad de muestras tomadas, debido a que no se pudieron hacer las determinaciones en el laboratorio por falta de muestra. En Alp fueron eliminados dos datos que resultaron outliers.
Tabla 1. Estadísticos básicos de las propiedades ándicas y relacionadas con ellas del horizonte superficial de Andisoles hidromórficos del Oriente Antioqueño, Colombia.

Al observar en la Tabla 1 los valores mínimos de las propiedades ándicas se aprecia que todas las muestras cumplieron con el requerimiento de la fijación de fosfatos y que sólo un 5% de ellas, según la Tabla 2 (Figura 2), no presentaron la cantidad suficiente de (Alo + 0,5 Feo) para ser consideradas con propiedades ándicas en el sistema USDA de clasificación de suelos (SSS, 1999, 2006) aunque, si se acogen las sugerencias que han hecho Shoji et al. (1996) de reducir el valor límite de 2% a 1,2 % para esta característica y la recomendación de Jaramillo (2000a) en el sentido de aceptar dicha propuesta, para aquellos suelos que tienen evidencias de comportamiento ándico en sus otras propiedades, todas las muestras estarían cumpliendo estos requisitos ándicos.
Tabla 2. Percentiles de las principales propiedades ándicas y relacionadas del horizonte superficial de Andisoles hidromórficos del Oriente Antioqueño, Colombia.

Figura 2. Distribución espacial del Al y del Fe activos en el horizonte superficial de Andisoles hidromórficos del Oriente Antioqueño, Colombia.
La densidad aparente (Da), que es la otra propiedad que completa el grupo de las ándicas, no se determinó debido a que, de un lado, se ha hecho una cantidad apreciable de trabajos en la zona que han demostrado que esta propiedad tiene valores muy por debajo de 0,9 Mg•m-3 y, de otro, a que se pudo apreciar, en campo, que la morfología de los horizontes analizados no difería apreciablemente de la de los otros Andisoles de la región. Castro (1987) encontró Da menor a 0,47 Mg•m-3 en los horizontes A y B de 12 perfiles de Andisoles estudiados; Castillo y Gómez (1995) obtuvieron valores de Da entre 0,1 y 0,42 Mg•m-3 en 82 muestras del horizonte superficial de Andisoles bajo cobertura de Pinus patula y Abril y Ortiz (1996), en 82 muestras del segundo horizonte de los mismos suelos anteriores, obtuvieron valores de Da entre 0,16 y 0,55 Mg•m-3.
De la Tabla 1 cabe destacar la alta variabilidad que presenta la mayoría de las propiedades estudiadas, la cual se refleja en los altos coeficientes de variación y en la amplitud de los rangos de valores que ellas exhiben. Además, la distribución de los valores de las propiedades diferentes a Alp, Fep, Alp/Alo y Al:Si presenta una alta asimetría y, exceptuando MOS, Alp, Alp/Alo y Al:Si, ninguna otra tiene distribución normal. Un comportamiento similar fue encontrado por Jaramillo (2008) en las propiedades químicas de los mismos suelos estudiados en este trabajo.
Los resultados de la Tabla 2 permiten establecer que en algo más del 50% de las muestras se presentó una relación Alp/Alo>0,5, definiendo esos horizontes como no alofánicos (Buytaert et al. , 2007) (Figura 4), lo que significa que en la mayor parte del área cubierta por este suelo se está presentando el efecto anti-alofánico definido por Parfitt y Kimble (1989), Shoji et al. (1993) y Besoain et al. (2000), con lo que se establece que el complejo activo del horizonte superficial de estos suelos, está dominado por los complejos humus-Al (Malagón et al. , 1991; Malagón, 2003; Jaramillo et al. , 2006). En la misma Tabla 2, se evidencia que en la mayoría de los sitios muestreados los horizontes poseen un alto contenido de materia orgánica y un IM<1,7 que indica un alto grado de humificación y de estabilización de los complejos orgánicos con Al (Figura 5). Todo lo anterior lo corroboran los bajos contenidos de alofana y de ferrihidrita que se presentan en más del 95% de las muestras.
Figura 4. Distribución espacial de algunas características genéticas y taxonómicas del horizonte superficial de Andisoles hidromórficos del Oriente Antioqueño, Colombia.
La relación Al:Si <1 en el 25% de las muestras indica que hay poca presencia de alofana rica en Si y que predomina, en estos suelos, la alofana rica en Al (Figura 4), lo que confirma el efecto antialofánico y el predominio de los complejos órgano-metálicos (Buytaert et al. , 2007) en el horizonte superficial de estos suelos. El predominio del Al en la actividad ándica del suelo también lo pone de manifiesto la relación Feo/Alo, en la cual es ampliamente dominante este elemento sobre el Fe activo, en todas las muestras.
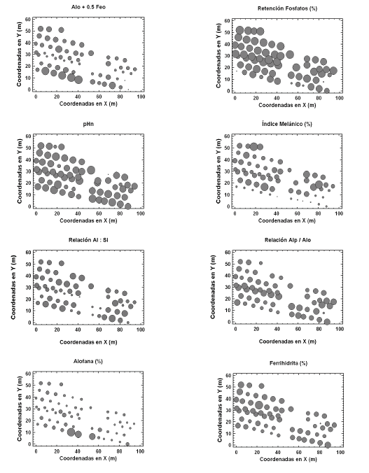
Distribución espacial de las propiedades ándicas superficiales del suelo. En la Figura 3 se presenta la distribución de los valores que tomaron las principales variables de este estudio en el campo, donde el tamaño de cada círculo es proporcional al valor tomado por la variable en cada sitio de muestreo. Con excepción de Alofana y de las relaciones Alp/Alo y Al:Si, los datos de las otras variables fueron centrados (valor en el punto correspondiente menos el valor menor general de la variable) para observar mejor los cambios que se dieran en ellos en las gráficas.
Figura 3. Distribución espacial de los valores de las propiedades ándicas y relacionadas en el horizonte superficial de Andisoles hidromórficos del Oriente Antioqueño, Colombia.
En la Figura 3 puede verse que en la distribución geográfica de los valores de las variables (Alo + 0,5 Feo), IM, contenido de alofana y contenido de ferrihidrita se insinúa, aunque no con mucha fuerza, una tendencia espacial; en las otras variables, si hay tendencia espacial, ella no es tan visible como en las anteriores. Las aparentes tendencias mencionadas no parecen relacionarse con aspectos topográficos del lote experimental, al comparar la distribución espacial de los valores con el mapa topográfico del mismo (Figura 1A).
Semivariografía. Atendiendo a la insinuación de tendencia espacial que se detectó en la Figura 3, se procedió a hacer la correspondiente comprobación de la misma, mediante un análisis de regresión múltiple. Los resultados de este análisis se presentan en la Tabla 3, en la que pueden confirmarse las tendencias observadas en la Figura 3. Los modelos de regresión encontrados para la mayoría de las variables fueron bastante complejos, indicando superficies de tendencia en lugar de tendencias simples, comportamiento igual al observado en la mayoría de las propiedades químicas evaluadas en la misma parcela experimental (Jaramillo, 2008), aunque los modelos con las propiedades ándicas presentaron, en general, mayores coeficientes de determinación R2 que con las químicas.
Tabla 3. Análisis de regresión para determinar la tendencia espacial de las propiedades ándicas y relacionadas en el horizonte superficial de Andisoles hidromórficos del Oriente Antioqueño, Colombia.

Al comprobar la normalidad y la homogeneidad de varianza en los residuales de las regresiones anteriores, así como en los datos originales de pHn, Alp, Alp/Alo y Al:Si, se obtuvieron los resultados que se exponen en la Tabla 4, en la que puede apreciarse que todas las variables presentaron homogeneidad de varianza. De las variables que presentaron tendencia espacial, sólo Fep y Feo/Alo cumplieron con todos los supuestos exigidos en los residuales para que el análisis de regresión sea válido. Las variables Alp, Alp/Alo y Al:Si también cumplieron con los supuestos de normalidad y de homogeneidad de varianza exigido para el análisis de semivarianza y, por tanto, no tienen que ser transformadas para este análisis.
Tabla 4. Comprobación de los supuestos1 de normalidad y de homogeneidad de varianza para los residuales del análisis de tendencia espacial de las propiedades ándicas y relacionadas del horizonte superficial de Andisoles hidromórficos del Oriente Antioqueño, Colombia.

Teniendo en cuenta los resultados de la Tabla 4, se procedió a transformar los datos en las variables que no presentaron normalidad o simetría en la distribución de sus residuales y luego de repetir el proceso de análisis de tendencia con los datos transformados y de confirmar los supuestos en los nuevos residuales resultantes, se encontró que la mejor transformación (la que produjo una distribución más normal y más simétrica en los datos transformados) fue la inversa; con el pHn ninguna transformación mejoró los parámetros obtenidos con los datos originales (Tabla 5) por lo que se conservaron éstos para llevar a cabo los análisis de semivarianza.
Tabla 5. Asimetría y normalidad de la distribución de los valores transformados de las propiedades ándicas y relacionadas del horizonte superficial de Andisoles hidromórficos del Oriente Antioqueño, Colombia.

En la Tabla 6 se presentan los resultados obtenidos en el análisis de tendencia espacial hecho con las variables transformadas y en la Tabla 7 está la confirmación de los supuestos de normalidad y homogeneidad de varianza para los nuevos residuales de este análisis de tendencia.
Tabla 6. Análisis de regresión para determinar la tendencia espacial de las propiedades ándicas y relacionadas transformadas en el horizonte superficial de Andisoles hidromórficos del Oriente Antioqueño, Colombia.

Tabla 7. Comprobación de los supuestos de normalidad y de homogeneidad de varianza para los residuales del análisis de tendencia espacial de las propiedades ándicas y relacionadas transformadas en el horizonte superficial de Andisoles hidromórficos del Oriente Antioqueño, Colombia

Teniendo en cuenta los resultados de las Tablas 3, 4 y 7 y, de acuerdo con criterios expuestos en Materiales y Métodos para la selección de las variables a utilizar en la semivariografía, este análisis se hizo con los siguientes datos:
- Datos originales de pHn, Alp, Alp/Alo y Al:Si.
- Residuales de la tendencia de Fep y Feo/Alo.
- Residuales de la tendencia del inverso de (Alo+0,5Feo), FF, Sio, Alo, Feo, IM, Alofana y Ferrihidrita.
Los resultados del análisis de semivarianza hecho con las variables referidas anteriormente se presentan en la Tabla 8. Se utilizó un alcance de 60 m y un intervalo lag de 8 m para definir los semivariogramas. Con dichas condiciones, la cantidad de pares de puntos comparados en cada lag, varió entre las siguientes cantidades: lag 1: entre 81 y 86 pares; lag 2: entre 226 y 262 pares; lag 3: entre 252 y 307 pares; lag 4: entre 236 y 302 pares; lag 5: entre 190 y 233 pares; lag 6: entre 152 y 183 pares y lag 7: entre 136 y 162 pares, cantidades suficientes para que el semivariograma producido sea estable, según recomendaciones de autores como Hamlett et al. (1986), McBratney y Webster (1986), Ovalles (1992) y Dhillon et al. (1994).
Tabla 8. Variabilidad espacial de algunas propiedades ándicas y relacionadas del horizonte superficial de Andisoles hidromórficos del Oriente Antioqueño, Colombia.

En la Tabla 8 puede apreciarse que la mitad de las variables analizadas no presentaron dependencia espacial pues tuvieron un modelo de nugget puro, es decir, que toda su variabilidad es aleatoria. El modelo de semivariograma teórico que predominó en las restantes variables fue el esférico. Todos los modelos fueron isotrópicos. El comportamiento espacial de las propiedades ándicas del suelo estudiado fue diferente al observado en las propiedades químicas del mismo por Jaramillo (2008); el rango en las ándicas, fue de 13,17 m, bastante menor que en las químicas: 20,19 m en promedio.
Según los criterios de Cambardella et al. (1994), en todas las propiedades ándicas que presentaron dependencia espacial ésta fue alta (C/Sill>75 %), excepto en Alo que presentó una dependencia espacial media. Las propiedades ándicas se pueden considerar como propiedades genéticas del suelo, controladas principalmente por los factores de formación del mismo, por lo que se espera que sean poco alteradas por el uso y el manejo de los suelos (Ovalles, 1992). Sin embargo, la alta dependencia espacial observada en este estudio, contradice esta suposición y puede estar mostrando que en estos suelos se presenta una alteración espacial diferencial de la materia orgánica y de los minerales constituyentes de la ceniza volcánica que, además, actúa a distancias muy cortas.
Implicaciones genéticas, taxonómicas y cartográficas. Las Figuras 3 y 4 muestran, en la mayoría de las variables estudiadas, variaciones importantes en la distribución espacial de los valores que pueden tomar las propiedades ándicas del suelo, así como otras que se relacionan con ellas y que pueden ser diagnósticas en el sistema de clasificación taxonómica de los suelos derivados de cenizas volcánicas en algunas categorías de los sistemas USDA (SSS, 1999, 2006) y FAO (IUSS, 2006).
En la Figura 4 se aprecia claramente el efecto diferencial de la alteración de los materiales que conforman el complejo activo de los Andisoles, ya que no se presenta un patrón definido en la distribución de los tipos de Andisoles ni de alofana, así como tampoco lo hay en la distribución del índice melánico ni de la mineralogía y, téngase en cuenta, que se está trabajando en un lote con un área bastante reducida, visualmente homogéneo en el campo y en una malla de muestreo con espaciamiento entre muestras bastante corto. El comportamiento descrito para las variables analizadas refleja poca homogeneidad en las propiedades de los suelos, a pesar de haber una aparente uniformidad morfológica en los perfiles y en el paisaje fisiográfico en que ellos se encuentran.
En la cartografía de suelos se deben definir unas unidades cartográficas que están compuestas por uno o más tipos de suelos y que son las que se representan en los mapas. Para poder definir estas unidades cartográficas se deben hacer varias generalizaciones que son adecuadas en la medida en que los suelos y los paisajes del área que se está cartografiando sean más homogéneos. Las generalizaciones son: genéticas, taxonómicas, fisiográficas y cartográficas.
La clasificación taxonómica de los Andisoles tiene problemas operativos especiales ya que la mayoría de las propiedades diagnósticas que se utilizan para ello, son propiedades que deben ser medidas en laboratorio (SSS, 1999, 2006) y no presentan ningún rasgo especial visible en campo, lo que genera incertidumbre en el proceso de levantamiento que se haga con estos suelos, durante la etapa del trabajo de campo. A lo anterior, los resultados obtenidos en este trabajo de alta variabilidad y distribución espacial compleja de las propiedades diagnósticas, le agregan una nueva complicación, pues ponen de manifiesto que las generalizaciones genéticas y taxonómicas, necesarias para definir las unidades cartográficas del levantamiento, van a ser difíciles de establecer con la suficiente precisión.
La generalización taxonómica será más difícil cuando se vayan a hacer levantamientos detallados de suelos en los que éstos se deben clasificar en las categorías bajas del sistema (Familia y Serie), como lo sugieren las gráficas de las Figuras 2 y 4. El requisito del contenido de (Alo+0,5Feo)>2 se cumple en casi todas las muestras y es un criterio que se utiliza al nivel de Orden (SSS, 1999, 2006); el del IM < 1,7, que se utiliza al nivel de Gran Grupo (SSS, 1999, 2006), también dejan de cumplirlo pocas muestras pero, el criterio para definir las clases por mineralogía, al nivel de Familia (SSS, 1999, 2006), sí presenta una alta variabilidad.
La distribución espacial de los atributos de los Andisoles hidromórficos observada en este trabajo, imponen la necesidad de hacer unos muestreos intensivos, cuando se hacen levantamientos detallados de suelos, para establecer adecuadamente los tipos de suelos y la composición de las unidades cartográficas.
CONCLUSIONES
Las mayoría de las propiedades ándicas y otras relacionadas con ellas, evaluadas en Andisoles hidromórficos presentan alta variabilidad, fuerte asimetría, distribución no normal y tendencia espacial compleja que se estableció con modelos de regresión de segundo orden.
Para poder llevar a cabo los análisis de semivarianza hubo que transformar la mayoría de las variables y la transformación que mejores características dio a las propiedades para este análisis fue la inversa. Pocas propiedades presentaron variabilidad espacial pero en las que hubo, ésta fue alta: mayor al 75% de la variabilidad total, y de rango muy corto: aproximadamente 13 m en promedio.
El comportamiento espacial observado en este trabajo implica problemas operativos a los levantamientos de suelos en áreas donde se presenten estos suelos, pues dificulta las generalizaciones genéticas, taxonómicas y cartográficas que deben hacerse en ellos, para definir las unidades cartográficas que representarán la distribución de los suelos en la región. Estos problemas son más severos en la medida en que se hagan levantamientos más detallados, ya que en éstos hay que clasificar los suelos en las categorías más bajas del sistema y es en las características diagnósticas de estas categorías, donde se presenta mayor variación espacial en la distribución de los valores que toman las propiedades del suelo. En estos levantamientos es necesario hacer un muestreo intensivo para establecer adecuadamente los tipos de suelos y la composición de las unidades cartográficas.
AGRADECIMIENTOS
A la Ingeniera Agrónoma Bibiana Caballero por facilitar el lote experimental. A los estudiantes Diego A. Rojas y Julián González por su colaboración en el muestreo de campo. Al Laboratorio de Suelos de la Facultad de Ciencias de la Universidad Nacional de Colombia, Sede Medellín, por la realización de los análisis.
BIBLIOGRAFÍA
Abril, M.A. y B.A. Ortiz. 1996. Variabilidad espacial de algunas propiedades físico-químicas del horizonte A de Andisoles hidrofóbicos, bajo plantaciones de Pinus patula. Trabajo de Grado Ingeniería Agronómica. Facultad de Ciencias Agropecuarias. Universidad Nacional de Colombia. Medellín. 75 p. [ Links ]
Amador, J.A., Y. Wang, M.C. Savin and J.H. Görres. 2000. Fine-scale spatial variability of physical and biological soil properties in Kingston, Rode Island. Geoderma 98(1-2): 83-94. [ Links ]
Arnalds, O. and K. Stahr. 2004. Volcanic soil resources: occurrence, development, and properties. Catena 56 (1-3): 1-2. [ Links ]
Besoain, E., M. Peralta y S. Massaro. 2000. Mineralogía y génesis de algunos suelos de cenizas volcánicas de Chiloé continental, Chile. Agricultura Técnica 60(2): 127-153. [ Links ]
Briggs, C.A.D., A.J. Busacca and P.A. McDaniel. 2006. Pedogenic processes and soil-landscape relationships in North Cascades National Park, Washington. Geoderma 137(1-2): 192-204. [ Links ]
Buytaert, W., J. Deckers and G. Wyseure. 2007. Regional variability of volcanic ash soils un south Ecuador: The relation with parent material, climate and land use. Catena 70(2): 143-154. [ Links ]
Cambardella, C.A. and D.L. Karlen, 1999. Spatial analysis of soil fertility parameters. Precision Agriculture 1(1): 5-14. [ Links ]
Cambardella, C., T.B. Moorman, J.M. Novak, T.B. Parkin, D.L. Karlen, R.F Turco and A.E, Konopka. 1994. Field-scale variability of soil properties in Central Iowa soils. Soil Science Society American Journal 58(5): 1501-1511. [ Links ]
Castillo, A. y S. Gómez. 1995. Variabilidad espacial de algunas propiedades físico-químicas en el horizonte A hidrofóbico de Andisoles, bajo cobertura de Pinus patula. Trabajo de Grado Ingeniería Agronómica. Facultad de Ciencias Agropecuarias. Universidad Nacional de Colombia. Medellín. 116 p. [ Links ]
Castrignanò, A., L. Giugliarini, R. Risaliti and N. Martinelli. 2000. Study of spatial relationships among some soil physico-chemical properties of a field in central Italy using multivariate geostatistics. Geoderma 97(1-2): 39-60. [ Links ]
Castro, J.M. 1987. Efecto de las plantaciones de Pinus patula sobre algunas propiedades físico-químicas de un suelo derivado de cenizas volcánicas del Oriente Antioqueño. Trabajo de Grado Tecnología Forestal. Facultad de Agronomía. Universidad Nacional de Colombia. Medellín. 110 p. [ Links ]
Dahlgren, R., S. Shoji and M. Nanzyo. 1993. Mineralogical characteristics of volcanic ash soils. pp. 101-143. In: Shoji, S., M. Nanzyo and R. Dahlgren (eds.). Volcanic ash soils: genesis, properties and utilization. Developments in Soil Science 21. Elsevier Science Publishers, Amsterdam. 288 p. [ Links ]
Dhillon, N.S., J.S. Samra, U.S. Sadana and D.R. Nielsen. 1994. Spatial variability of soil test values in a Typic Ustochrept. Soil Technology 7(2): 163-171. [ Links ]
Hamlett, J.M., R. Horton and N.A.C. Cressie. 1986. Resistant and exploratory techniques for use in semivariograms analyses. Soil Science Society of America Journal 50: 868-875. [ Links ]
Instituto Geográfico Agustín Codazzi (IGAC). 2003. Mapa de suelos de Colombia (escala 1:500 000). CD Rom. IGAC, Bogotá. [ Links ]
Instituto Geográfico Agustín Codazzi (IGAC). 2007. Estudio General de Suelos y Zonificación de Tierras. Departamento de Antioquia. IGAC, Bogotá. 992 p. [ Links ]
International Union of Soil Sciences (IUSS) Working Group WRB. 2006. World Reference Base for Soil Resources. Second edition. World Soil Resources Report 103. FAO, Roma. 132 p. [ Links ]
Jaramillo, D.F. 2000a. Clasificación taxonómica de los suelos del altiplano de San Félix, departamento de Caldas. Revista Facultad Nacional de Agronomía Medellín 53(2): 1059-1077. [ Links ]
Jaramillo, D.F. 2000b. Efecto del secado de las muestras sobre la extracción selectiva de Fe y Al activos en Andisoles del norte de la cordillera central colombiana. Revista Facultad Nacional de Agronomía Medellín 53(2): 1077-1090. [ Links ]
Jaramillo, D. F. 2008. Variabilidad espacial de las propiedades químicas del epipedón de un Andisol hidromórfico del Oriente Antioqueño (Colombia). Revista Facultad Nacional de Agronomía Medellín. 61(2): 4588-4599. [ Links ]
Jaramillo, D.F., M.T. Flórez y L.N. Parra. 2006. Caracterización de un Andisol de la cuenca de la quebrada Piedras Blancas, Oriente Antioqueño, Colombia. Suelos Ecuatoriales 36 (1): 61-71. [ Links ]
Jaramillo, D.F., H. González y F. Álvarez. 2008. Variabilidad espacial de algunas propiedades físico-mecánicas de suelos de textura pesada. Revista CES Medicina Veterinaria y Zootecnia 3(2): 10-19. [ Links ]
Malagón, D., C. Pulido y R. Llinás. 1991. Andisoles. Investigaciones Vol. 3 Nº 1. Subdirección Agrológica. IGAC. Santafé de Bogotá D.C. 118 p. [ Links ]
Malagón, D. 2003. Ensayo sobre tipología de suelos colombiano - Énfasis en génesis y aspectos ambientales. Revista de la Academia Colombiana de Ciencias Exactas, Físicas y Naturales XXVII 104: 319-341. [ Links ]
Mallarino, A.P., D. Wittry and J. Klatt. 2001. Using the Iowa phosphorus index and variable-rate technology for effective agronomic and environmental phosphorus management. pp. 151-158. In: The Integrated Crop Management Conf. Proceedings. Iowa State Univ. Extensión. Ames, IA. [ Links ]
McBratney, A.B. and R. Webster. 1986. Choosing functions for semi-variograms of soil properties and fitting them to sampling estimates. European Journal of Soil Science 37(4): 617-639. [ Links ]
Motta, B., C. Rodríguez, H. Montenegro, J. Marulanda, A. Correa y M. Bendeck. 1990. Métodos analíticos del laboratorio de suelos. Quinta edición. IGAC. Bogotá. 502 p. [ Links ]
Nanzyo, M., R. Dahlgren and S. Shoji. 1993. Chemical characteristics of volcanic ash soils. pp. 145-187. In: Shoji S., M. Nanzyo and R. Dahlgren (eds.). Volcanic ash soils: genesis, properties and utilization. Developments in Soil Science 21. Elsevier Science Publishers. Amsterdam. 288 p. [ Links ]
Ovalles, F. 1992. Metodología para determinar la superficie representada por muestras tomadas con fines de fertilidad. Serie B. FONAIAP-CENIAP-Instituto de Investigaciones Agrícolas Generales, Maracay. 44 p. [ Links ]
Parfitt, R.L.1985. The nature of andic and vitric materials. pp. 21-39.In: Proceedings of the Sixth International Soil Classification Workshop. Part I: Papers. Sociedad Chilena de la Ciencia del Suelo, Santiago de Chile. [ Links ]
Parfitt, R.L. and J.M. Kimble. 1989. Conditions for formation of allophane in soils. Soil Science Society American Journal 53: 971-977. [ Links ]
Paz-González, A., S.R. Vieira and M. Tabeada. 2000. The effect of cultivation on the spatial variability of selected properties of an umbric horizon. Geoderma 97(4-3): 273-292. [ Links ]
Quantin, P. 1986. Properties and genesis of Andisols. Cah. ORSTON. Ser. Pedol. XXII (1): 105-111. [ Links ]
Shoji, S., R. Dahlgren and M. Nanzyo. 1993. Genesis of volcanic ash soils. pp. 37-71. In: Shoji S., M. Nanzyo and R. Dahlgren (eds.). Volcanic ash soils: genesis, properties and utilization. Developments in Soil Science 21. Elsevier Science Publishers. Amsterdam. 288 p. [ Links ]
Shoji, S., M. Nanzyo, R.A. Dahlgren and P. Quantin. 1996. Evaluation and proposed revisions of criteria for andosols in the world reference base for soil resources. Soil Science 161 (9): 604-615. [ Links ]
Soil Survey Laboratory (SSL). 1996. Soil survey laboratory methods manual. Soil survey investigations report Nº 42, version 3.0. USDA. Washington D.C. 693 p. [ Links ]
Soil Survey Staff (SSS). 1999. Soil taxonomy: A basic system of soil classification for making and interpreting soil surveys. Second edition. USDA. Washington. 871 p. [ Links ]
Soil Survey Staff (SSS). 2006. Keys to soil taxonomy. Tenth edition. USDA. Washington D.C. 332 p. [ Links ]













