Services on Demand
Journal
Article
Indicators
-
Cited by SciELO -
Access statistics
Related links
-
Cited by Google -
Similars in
SciELO -
Similars in Google
Share
CES Psicología
On-line version ISSN 2011-3080
CES Psicol vol.9 no.1 Medellín Jan./June 2016
Medidas comportamentais de presença em ambientes virtuais*
Behavioral measures of presence in virtual environments
RMedidas conductuales de presencia en entornos virtuales
Verônica Bender Haydu1, Marcela Roberta Jacyntho Zacarim2, Allan Patrick de Souza Domingos3
, Elizeu Borloti 4
1,2,3Universidade Estadual de Londrina, 4Universidade Federal do Espíritio Santo, Brasil
2Mestranda do Porgrama de Pós-Graduação em Análise do Comportamento, Departamento de Psicologia Geral e Análise do Comportamento, Universidade Estadual de Londrina
3Aluno do curso de Psicologia da Universidade Estadual de Londrina
4Docente do Departamento de Psicologia Social e do Desenvolvimento e do Programa de Pós-Graduação em Psicologia da Universidade Federal do Espírito Santo.
Forma de citar: Haydu, V. B., Zacarim, M. R. J., Domingos, A. P. S. & Borloti, E. (2015). Medidas comportamentais de presença em ambientes virtuais. Revista CES Psicología, 9(1), 47-64
Resumo
Para identificar e analisar as funções de respostas de interação com os estímulos de um ambiente virtual e suas relações com o grau de senso de presença relatado, utilizou-se o Xbox 360® com o jogo Kinect Adventures. Foram executadas quatro fases do jogo e feita aplicação de um questionário. As respostas verbais dirigidas aos estímulos virtuais não apresentaram um padrão comportamental, mas a frequência de respostas não verbais direcionadas a estímulos virtuais (RNV-EV) e o senso de presença aumentaram com o avanço nos estágios. Sugere-se que a frequência de RNV-EV é uma medida complementar apropriada do senso de presença e que fazer análises funcionais dos comportamentos emitidos durante a imersão pode ser uma forma útil de acessar o senso de presença.
Palavras chave: Senso de Presença, Xbox 360, Realidade Virtual, Análise do Comportamento, Comportamentos Privados.
Abstract
To identify and analyze the functions of interactions responses to the stimuli of a virtual environment and their relation to the degree of reported presence of sense, the Xbox 360® with the Kinect Adventures game was used. Four phases of the game were executed and a questionnaire was administered. Verbal responses directed to virtual stimuli did not show a behavioral pattern, but the frequency of non-verbal responses directed to virtual stimuli (NVS-VS) and the sense of presence increased with the advance in stages. It is suggested that the frequency of VR-VS is an appropriate complementary measure of the sense of presence and perform functional analyzes of behavior during immersion can be useful to access the sense of presence.
Keywords: Sense of Presence, Xbox 360, Virtual Reality, Behavior Analysis, Private Behaviors.
Resumen
Para identificar y analizar las funciones de las respuestas de interacción a los estímulos de un ambiente virtual y su relación con el grado de presencia relatado, se utilizó el Xbox 360® con el juego Kinect Adventures. Se llevaron a cabo cuatro fases del juego y un cuestionario. Las respuestas verbales dirigidas a los estímulos virtuales no mostraron un patrón de conducta, pero la frecuencia de respuestas no verbales dirigidas a los estímulos virtuales (RNV-EV) y la presencia aumentaron con el avance en etapas. Se sugiere que la frecuencia de RNV-EV es una medida complementaria apropiada de la presencia y que hacer análisis funcional de la conducta emitida durante la inmersión puede ser una forma útil para acceder al sentido de presencia.
Palabras clave: Sentido de Presencia, Xbox 360, Realidad Virtuales, Análisis de la Conducta, Comportamientos Privados.
Introdução
Estudos científicos que investigam o uso de recursos tecnológicos de realidade virtual vêm crescendo significativamente devido às inúmeras possibilidades da aplicação desses recursos às áreas educacional (e.g., Roussou, Oliver, & Slater, 2006), neuropsicológica (e.g., Vieira, Araujo, Leite, Orsini, & Correa, 2014), psicológica (e.g., Safir, Wallach, & Bar-Zvi, 2012), dentre outras. Uma das variáveis dependentes registradas e analisadas nesses estudos é o senso de presença (Alsina-Jurnet, Gutiérrez-Maldonado, & Rangel-Gómez, 2011). No tratamento de fobias, por exemplo, Price e Anderson (2007) sugeriram que essa variável é um fator que contribui para a experiência de ansiedade em cenários virtuais, um aspecto fundamental na terapia de exposição por realidade virtual.
Para que ocorra senso de presença em um cenário virtual, de acordo com a International Society for Presence Research - ISPR (2000), é necessária uma tecnologia que irá mediar a experiência do seu usuário nesse ambiente. Durante a exposição a esse cenário, toda ou parte da percepção do usuário fica sob o controle do próprio ambiente e não da tecnologia em si mesma ou de seu papel mediador. Esse controle de estímulo é responsável por aquela experiência perceptiva ser sentida e descrita como algo real ou muito próximo do real.
De acordo com Persky e Blascovich (2008), apesar de o fenômeno senso de presença ser amplamente estudado, sua definição ainda está em debate. No entanto, eles consideraram como mais apropriada a definição de Witmer e Singer (1998), de que o senso de presença é a experiência subjetiva de estar em um ambiente ou lugar mesmo estando em outro fisicamente. A partir dessa definição, pode-se sugerir que o senso de presença é um evento acessível apenas ao sujeito que o experimenta, o que impede observá-lo diretamente para que possa ser medido e analisado.
Para os analistas do comportamento, os eventos comportamentais eliciados no corpo do indivíduo (e.g., sentir) ou emitidos de forma encoberta (e.g., pensar) que são acessíveis apenas pelo próprio indivíduo são estudados sob o rótulo de eventos privados. Skinner (1945) introduziu esse termo para distinguir estímulos e respostas não acessíveis à observação pública direta daqueles estímulos e respostas que podem ser acessados dessa maneira. Segundo Ferreira, Tadaiesky, Coêlho, Neno e Tourinho (2010), os eventos privados podem ser entendidos como relações comportamentais que apresentam pelo menos um estímulo ou uma resposta que não é observado(a) publicamente por outras pessoas. Nesse caso, uma emoção ou sensação podem ser consideradas como evento privado do tipo sentir e o senso de presença é um evento privado desse tipo.
Discutir sobre os eventos privados com base nos princípios da Análise do Comportamento pode demandar uma distinção entre o sentimento e o sentido (Cunha & Borloti, 2005). O que é sentido é uma condição corporal, um evento privado subproduto da relação entre o organismo e o ambiente. Assim, os sentimentos são condições corporais sentidas por apresentarem componentes respondentes e componentes operantes, e apresentarem relações entre ambos (Darwich & Tourinho, 2005). Alguns desses componentes podem ser observados publicamente. Por exemplo, no caso do sentimento alegria, além de sensações corpóreas consideradas componentes respondentes, cujo acesso é feito apenas por quem a sente, há componentes operantes correlatos: a) não verbais, como pular e correr; b) verbais não vocais, como gargalhadas; e c) verbais vocais, como"Viva!","Estou muito feliz" ou"Parece que vou explodir". Os sentimentos, então, são compostos pelo aspecto privado, a condição corporal privada sentida, e aspectos públicos, operantes que podem ser observados por outros indivíduos. Em resumo, como parte do comportamento emocional, o sentimento é a condição corporal sentida pela pessoa; condição essa controlada pelas contingências não verbais do contexto em que essa pessoa está inserida. Tendo correlatos operantes públicos funcionalmente relacionados com essas mesmas contingências não verbais, sua descrição é controlada pelas contingências verbais da comunidade dessa pessoa a partir desses correlatos (Cunha & Borloti, 2005).
Um observador pode ensinar a pessoa observada a descrever os eventos privados sentidos por ela modelando a descrição a partir: a) da observação de estímulos públicos que compartilham propriedades com o evento privado; b) de correlatos públicos do evento privado (Skinner, 1974/2006); ou c) da descrição da situação que elicia o evento privado e/ou do operante em questão (Skinner, 1957). No primeiro caso, está o descrever"Voando de felicidade" a partir do voo de um pássaro. No segundo, o correlato pode ser um comportamento respondente, como o descrever"vergonha", a partir do rubor facial, ou de um objeto ou acontecimento, como o descrever"dor" a partir de sangue, ferimento ou inchaço. No terceiro, está o descrever"Estou aqui sentado vivendo intensamente esta experiência", em vez de"Estou me sentindo presente aqui". Ao analisar o fenômeno senso de presença, com base no que foi exposto, considera-se que ele engloba reações corpóreas que podem não ser passíveis de observação pública direta, respostas operantes não verbais (e.g., movimentos) e respostas operantes verbais (e.g., verbalizações diante dos estímulos virtuais). As reações corpóreas, em muitas situações, podem ser os estímulos discriminativos (SD) para respostas não verbais e verbais (Tourinho, 2006). Assim, esse tipo de reação quando o indivíduo se encontra diante de aspectos do cenário virtual pode ser SD que controla as verbalizações de senso de presença, como o relato:"Eu me sinto presente".
O senso de presença em um cenário virtual pode ser inferido a partir da solicitação de relatos contínuos sobre o mesmo ao longo da exposição a esse cenário (e.g., Wissmath, Weibel, & Mast, 2010) e de respostas a questionários aplicados após essa exposição (e.g., Villani, Repetto, Cipresso, & Riva, 2012). O questionário é o tipo de mensuração mais comum nos estudos de realidade virtual aplicado à psicoterapia (e.g., Price, Mehta, Tone, & Anderson, 2011), porém seu uso exclusivo é criticado por Slater (2004), que afirma que esse instrumento não detecta e nem mede o fenômeno. Uma alternativa é o relato do que o usuário sente enquanto é exposto ao ambiente virtual, mas essa forma de mensuração também pode apresentar limitações, como o fato de a atenção do usuário ter que ser dirigida tanto ao ambiente virtual quanto ao não virtual (Wissmath et al., 2010).
Ao criticar o uso exclusivo de questionários na ausência de outros dados que possam validar esses instrumentos, Slater (2004) sugere que medidas de eventos correlatos ao senso de presença sejam acrescentadas aos protocolos das pesquisas, como as de biofeedback (e.g., Busscher, Vliegher, Ling, & Brinkman, 2013) e as comportamentais, motoras ou verbais (e.g., Särkelä, Takatalo, May, Laakso, & Nyman, 2009; Von der Pütten et al., 2012). No estudo de Särkelä et al., os participantes realizaram uma busca por objetos em uma casa virtual, deslocando-se pelo ambiente e, no final da exposição, responderam a um questionário que avaliava o senso de presença. Quatro padrões de deslocamento foram identificados e registrados, tendo sido observado, dentre outros resultados, que os movimentos fluentes estiveram positivamente correlacionados com o grau de senso de presença relatado. No estudo de Von der Pütten et al., os eventos correlatos ao senso de presença foram respostas como: apontar para um estímulo virtual; dialogar com componentes virtuais; comentar sobre o cenário virtual; rir, sorrir e emitir sons em reação a estímulos virtuais; e voltar-se para um estímulo virtual. A partir de uma definição multifatorial de senso de presença (presença social, presença temporal, imersão e interação virtual â registrados a partir de relatos em questionário), os autores encontraram correlação negativa entre presença temporal e apontar. Nenhuma resposta verbal foi necessária para completar o jogo, tendo sido verificado que os participantes que relataram maior senso de presença emitiam menos respostas de diálogo com os estímulos virtuais.
Os resultados dos estudos desenvolvidos por Särkelä et al. (2009) e Von der Pütten et al. (2012), dentre outros, demonstram que medidas de comportamentos não verbais e de comportamentos verbais, diferentes do relato do sentir, podem estar correlacionadas negativamente ou positivamente com os relatos de senso de presença, mas há estudos cujos resultados indicam não haver correlação entre essas duas medidas (e.g., Freeman, Avons, Meddins, Pearson, & IJsselsteijn, 2000). Essa variabilidade nos resultados pode estar relacionada ao fato dos autores, além de conceituarem de maneira diferente o senso de presença, utilizarem diferentes questionários e medidas comportamentais para mensurá-lo (vale destacar também as diferenças entre cenários e tecnologias utilizadas). Esses dados não permitem afirmar haver relação entre o que os participantes relatam sentir (em questionários e relato contínuo) e como se comportam no contexto virtual. Além disso, considerando a crítica de Slater (2004) às medidas verbais do senso de presença obtidas por meio de questionários e o fato desse senso ser considerado fundamental para garantir que o usuário seja afetado pelo contexto virtual (Alsina-Jurnet et al., 2011), torna-se relevante avaliar medidas comportamentais observáveis dessa variável dependente. Assim, os objetivos do presente estudo foram: a) identificar e analisar funcionalmente respostas de interação com os estímulos do ambiente virtual, emitidas ao longo de um jogo; b) e averiguar se essas respostas apresentam relações com o grau de senso de presença relatado continuamente enquanto o participante está imerso no ambiente virtual.
Método
Materiais e Local
A coleta dos dados foi realizada em uma sala medindo 3,5 X 6 m. Um video game Xbox 360® com o software Kinect Adventures® e uma TV 52" foram posicionados sobre duas prateleiras de uma estante. Um sistema de som foi distribuído nos quatro cantos da sala e uma caixa de som desse sistema ficou ao lado do Xbox 360®, abaixo da TV. Duas filmadoras foram posicionadas da seguinte maneira: uma na lateral direita atrás do participante, para capturar a imagem do jogo, e outra na lateral esquerda na frente do participante, para filmar seus movimentos. Além desses equipamentos, utilizou-se um questionário (registro de dados pessoais; nível de experiência com computadores: avançado, intermediário ou básico; e a quantidade de horas semanais despendidas jogando com o videogame, no computador, no celular e em outros dispositivos eletrônicos) e um recurso de relato contínuo (registro verbal do nível de senso de presença em uma escala de 1 a 10). O jogo utilizado foi"Vazamento" do software Kinect Adventures®, no qual o avatar do jogador aparece na parte interna de um cubo de vidro submerso num ambiente oceânico. De modo geral, o objetivo desse jogo consiste em usar diferentes partes do corpo para tapar buracos (segurando por cerca de 1 segundo até que o software registre a resposta) nas paredes de vidro desse cubo, causados por animais aquáticos que se movimentam do lado de fora do cubo de vidro. No total, o jogo possui nove fases diferentes, das quais três são de nível básico, três de nível intermediário e três de nível avançado. Em cada fase, há três estágios em que o jogador tem um determinado tempo em segundos para tapar os buracos feitos pelos animais aquáticos. Quanto mais rápido os buracos forem tapados, mais pontos bônus o jogador ganha, já que cada segundo que sobra é revertido em um ponto. No fim de cada fase, os pontos dos três estágios são somados e o jogador recebe uma medalha de acordo com sua pontuação (bronze, prata, ouro ou platina). Tal premiação pode exigir mais ou menos pontos de acordo com a dificuldade da fase. Se os buracos não forem tapados no período estipulado pelo software, o jogador ganha apenas os pontos referentes aos buracos que conseguiu tapar e, em seguida, o próximo estágio do jogo é iniciado.
Participantes
Participaram do estudo 13 mulheres e 9 homens com idades entre 13 e 59 anos. Para participar, não deviam estar sob tratamento farmacológico para o controle de ansiedade e não apresentar dores na região das pernas e joelhos. Em relação ao nível de escolaridade, a amostra era composta por dois participantes com Ensino Fundamental completo, um com Ensino Médio incompleto, dois com Ensino Médio completo, 10 com Ensino Superior incompleto, cinco com Ensino Superior completo e três participantes com pós-graduação lato sensu.
Procedimento
Antes do início da coleta de dados, foram especificados os momentos do jogo em que seria solicitado o relato de senso de presença dos participantes. Quando a opção de fotos é ativada no Kinect®, uma câmera fotográfica aparece uma vez em cada um dos estágios de uma fase. Os experimentadores estabeleceram esses momentos como SD’s para a solicitação do relato do nível de senso de presença do participante. No início da sessão experimental, a função que controla o aparecimento da câmera fotográfica do jogo era desativada. Os momentos do jogo em que foi solicitado o nível de presença foram: S1 (Estágio 1 - um tubarão bate no vidro fazendo quatro buracos que devem ser tapados ao mesmo tempo, pois eram ligados por rachaduras; S2 (Estágio 2) - peixes coloridos e lagostas batem contra o vidro, fazendo ao todo nove buracos, que devem ser tapados tanto com as mãos e com os pés e não necessariamente ao mesmo tempo; S3 (Estágio 3) - peixes coloridos e lagostas batem contra o vidro, fazendo ao todo 12 buracos não ligados um ao outro por rachaduras, que devem ser tapados tanto com as mãos e com os pés, e não necessariamente ao mesmo tempo, pois uma vez que um buraco estava fechado, um outro poderia ser tapado em seguida.
Os participantes foram recrutados por meio de convite pessoal. Durante o contato inicial, era explicado individualmente que a pesquisa tinha como objetivo investigar o senso de presença em contextos virtuais, sendo"presença" considerada a sensação de estar presente em um contexto virtual, no caso, o jogo no Xbox® com o Kinect®. Aos participantes que concordaram em participar era entregue um Termo de Consentimento Livre e Esclarecido aprovado pelo Comitê de ética em Pesquisa. Posteriormente, foram estipulados os dias de coleta de dados de acordo com a disponibilidade dos participantes.
No total, foram realizadas seis sessões de coleta que ocorreram, em média, com três participantes por dia. Na data estipulada, os participantes do dia eram acompanhados por um experimentador até a sala de coleta de dados onde estavam presentes mais dois experimentadores. As seguintes instruções eram dadas no início da sessão:
Durante alguns momentos específicos do jogo eu irei lhe perguntar sobre seu nível de presença. O senso de presença refere-se ao sentimento de estar presente em um determinado lugar. Por exemplo, estamos aqui nesta sala e sentimos que estamos aqui, que estamos presentes nela. Nós queremos que você nos informe o quanto você se sente presente no jogo, isto é, o nível de seu senso de presença no ambiente virtual simulado pelo videogame. Eu quero que, numa escala de 1 a 10, você me diga o quão presente você está se sentindo na caixa de vidro rodeado pela água e animais aquáticos. Ao dizer ‘um’ você quer dizer: ‘não estou me sentindo presente no ambiente virtual’; se disser 10 quer dizer: sinto-me completamente presente no ambiente virtual. Valores de 2 a 9 são graduações de valores intermediários. Quero que você me reporte seu nível de presença toda vez que eu disser: nível! O jogo funciona da seguinte forma: seu avatar estará dentro de uma caixa de vidro no fundo do oceano e no decorrer do jogo aparecerão vários animais aquáticos que vão bater contra essa caixa, fazendo rachaduras e buracos no vidro, por onde a água vai entrar. Você deverá se movimentar de modo a tapar esses buracos com as mãos, os pés ou a cabeça, impedindo assim que a água entre. Você irá jogar uma fase que possui três estágios. Cada estágio tem um limite de tempo para ser concluído. Caso você não termine dentro do período programado, você não ganhará os pontos bônus de tempo e o próximo estágio se iniciará. Conforme os buracos forem sendo fechados, você receberá pontos de acordo com a dificuldade da tarefa. Além desses pontos, você também pode receber pontos bônus se concluir a fase mais rapidamente. No final de cada fase, o total de pontos é computado e você receberá uma medalha. Quanto mais pontos, maior será o valor de sua medalha: bronze, prata, ouro ou platina. Você irá jogar quatro fases, uma de dificuldade intermediária e duas avançadas para uma familiarização com o jogo, e mais uma fase de dificuldade avançada, que será filmada.
Ao finalizar a leitura das instruções, um dos experimentadores auxiliou o participante na montagem de seu avatar no Xbox®. Características como cor e comprimento do cabelo, formato do rosto, cor dos olhos, cor da pele, vestimentas, dentre outras, foram consideradas, de modo que o avatar ficasse parecido com o participante. Depois, o participante se posicionava no centro da sala, com um dos experimentadores atrás dele, outro no canto superior direito da sala e um terceiro experimentador fora da sala, na posição da porta. Os experimentadores posicionados atrás e na frente do participante ficavam responsáveis por ligar as câmeras assim que a terceira fase jogada finalizasse. Cada participante foi submetido a quatro fases no total, as quais possuíam três estágios cada uma. A primeira delas é classificada pelo Kinect® como de nível intermediário e as três seguintes, como de nível avançado.
As três primeiras fases foram jogadas para ensinar o objetivo do jogo e proporcionar familiarização com o mesmo. Durante essas três frases, os participantes tiveram oportunidade de verificar que buracos ligados por rachaduras deveriam ser fechados ao mesmo tempo e que, dada a posição do buraco, fechá-lo de determinada maneira exigia menos movimento e proporcionava pontos mais rapidamente. Na quarta fase, foi iniciada a coleta de dados com as filmagens e em momentos especificados dessa fase, o experimentador que ficava atrás do participante perguntava o nível de presença do mesmo nos momentos estipulados. Para isso, era dito apenas:"nível". O outro experimentador que estava na sala anotava os relatos do nível de presença de cada participante. Ao terminar o jogo, o participante se dirigia até a porta e era acompanhado pelo experimentador que ali estava até outro cômodo, onde era entregue o questionário para ser respondido.
Na quarta fase, as respostas emitidas entre os intervalos de aproximadamente 10 segundos entre o Estágio 1 e o Estágio 2, e entre o Estágio 2 e o Estágio 3, não foram consideradas. Uma análise funcional das respostas verbais e das não verbais foi realizada de modo a averiguar se estavam sob o controle de estímulos do jogo ou do contexto não virtual, no qual os participantes se encontravam. Respostas verbais, como perguntas, solicitações ao experimentador e relato de nível de presença, e respostas não verbais, como ajustar a vestimenta e tocar alguma parte do corpo, não relacionadas a estímulos antecedentes do ambiente virtual e que não eram seguidas por consequências no jogo, foram classificadas como respostas aos estímulos não virtuais. Foram consideradas respostas aos estímulos virtuais aquelas que ocorreram sob controle de buracos no vidro provocados pelos animais aquáticos: a) respostas verbais vocais, como"Sai!","Nossa!" e respostas verbais não vocais, mas com produtos auditivos, como rir e gargalhar; b) respostas motoras, como as que fechavam buracos, produzindo pontos no jogo. As respostas motoras foram movimentos para os lados, acima e abaixo: movimento da mão esquerda, da mão direita, do pé direito e do pé esquerdo. No final, foram somados os movimentos dessas quatro categorias (mão direita, mão esquerda, pé direito e pé esquerdo).
Resultados
Para a análise dos dados, foram consideradas as respostas ao questionário referentes às horas jogadas semanalmente e à experiência com computadores, bem como as respostas registradas ao longo do jogo. As respostas não verbais sob o controle dos estímulos virtuais (RNV-EV) e as respostas verbais sob controle dos estímulos virtuais (RV-EV) foram tabuladas, assim como o relato de senso de presença dos participantes em cada estágio da fase filmada. Os registros foram analisados por dois observadores treinados e a concordância entre eles para as respostas verbais foi de 99,4% e para as respostas não verbais, foi de 98,2%.
Um exemplo de RV-EV ocorrido com a Participante 1 foi quando um tubarão bateu no vidro e fez quatro buracos (SD) que deveriam ser tapados simultaneamente. Após três tentativas sem sucesso, a participante disse"Ai, vai-i-i-i!". As RV-EV emitidas pelos participantes não provocavam consequências no jogo, ao contrário das RNV-EV. Como exemplo de RNV-EV, a Participante 1, no primeiro estágio da fase, diante de um buraco feito por um peixe no jogo (SD), estendeu o braço direito na altura da linha dos ombros, abriu a palma da mão e depois voltou o braço para baixo. O buraco foi tapado e a participante ganhou um ponto no jogo. Não foram consideradas na análise dos dados as respostas classificadas como não verbais sob controle dos estímulos não virtuais (e.g., a Participante 2, diante de alguns fios de cabelo caindo em frente do seu olho, SD, levantou o braço direito e afastou-os, sendo a consequência a ausência desses fios diante de seu olho) e verbais sob controle dos estímulos não virtuais (e.g., diante uma solicitação de relato de nível de presença, a Participante 7 perguntou"Quê?").
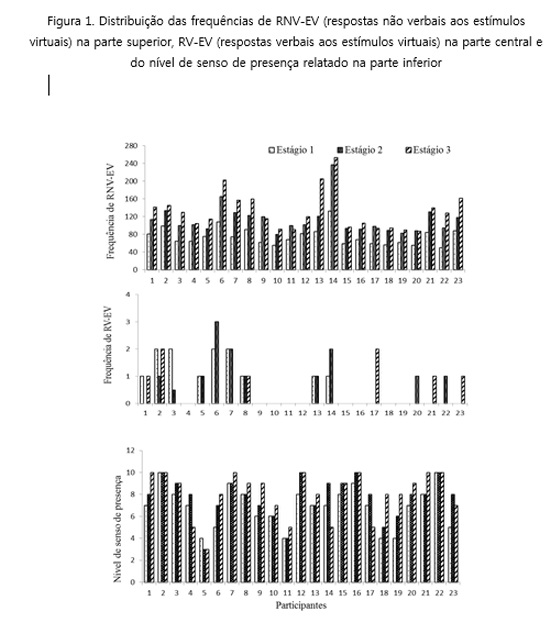
As frequências de RNV-EV e de RV-EV e os níveis de senso de presença relatados pelos participantes em cada estágio da fase filmada encontram-se na Figura 1. Na parte superior da figura está a distribuição, por participantes, das frequências de RNV-EV, na parte central, a distribuição de RV-EV e na parte inferior, a distribuição do nível de senso de presença relatado durante a fase do jogo filmada. Verifica-se na parte superior dessa figura que 19 dos 23 participantes apresentaram um aumento gradual na frequência de RNV-EV, à medida que avançaram do Estágio 1 para o Estágio 3 e que todos os participantes apresentaram uma frequência maior de RNV-EV no Estágio 3 do que no Estágio 1.
Com relação às RV-EV, verifica-se na parte central da Figura 1, uma variabilidade entre os participantes, destacando-se que nove participantes não emitiram respostas desse tipo. A frequência máxima de respostas foi três, tendo-se observado que apenas um participante emitiu esse número de respostas (Participante 6). Dois participantes (Participantes 2 e 8) emitiram RV-EV nos três estágios; sete, em dois estágios (Participantes 1, 3, 5, 6, 7, 13 e 14) e cinco, em um estágio (Participantes 17, 20, 21, 22 e 23).
Referente ao nível de presença relatado, na parte inferior da Figura 1 verifica-se que: dois participantes (Participantes 2 e 22) relataram nível máximo (10) de senso de presença nos três estágios; seis participantes (Participantes 1, 6, 9, 18, 19 e 20) apresentaram um aumento gradual do Estágio 1 ao Estágio 3; 10 participantes (Participantes 3, 7, 8, 10, 11, 12, 13, 15, 16, 21 e 23) apresentaram aumento do Estágio 1 para o Estágio 2 ou do Estágio 2 para o Estágio 3; cinco apresentaram redução (participantes 4, 5, 14, 17 e 23) do Estagio 1 para o Estágio 2 ou do Estágio 2 para o Estágio 3.
As frequências de RNV-EV e de RV-EV e os níveis de senso de presença observados em cada um dos três estágios da fase filmada foram comparados por meio do Teste de Friedman, cujos resultados encontram-se na Tabela 1. Para as diferenças estatisticamente significantes, foi feita a comparação entre pares, a partir do teste de Dunn. Observa-se nesta tabela que a diferença entre o Estágio 1 e o Estágio 2 é estatisticamente significante para as RNV-EV. Essas respostas foram emitidas com frequência maior no Estágio 2, quando comparado ao Estágio 1, e com frequência maior no Estágio 3 do que no Estágio 1. Com relação às RV-EV, não foi encontrada diferença significante entre os estágios. Quanto aos níveis de presença relatados, verifica-se diferença estatisticamente significante entre o Estágio 1 e o Estágio 3, sendo maior no Estágio 3. Quando o índice de Correlação de Spearman foi calculado para verificar se houve correlação entre RNV-EV e senso de presença, e entre RV-EV e senso de presença (Tabela 2, parte superior), não foram encontradas essas correlações.
Na parte inferior da Tabela 2 estão os índices de Correlações de Spearman obtidos da comparação entre horas jogadas pelo participante semanalmente e as respostas registradas ao longo do jogo nos três estágios da fase filmada, podendo-se verificar que houve: a) presença de correlação negativa entre a quantidade de horas jogadas semanalmente e as RNV-EV dos três estágios; b) tendência de correlação negativa entre RV-EV apresentadas nos Estágios 1 e 2 e a quantidade de horas jogadas semanalmente; e c) ausência de correlação entre os relatos de senso de presença nos três estágios e a quantidade de horas jogadas semanalmente. Com relação à experiência com computador (avançada, intermediária e baixa) relatada, calculou-se a média do nível de senso de presença relatado pelos participantes no Estágio 3 e verificou-se que os que informaram ter experiência avançada (n=2) com computares relataram média maior (9,0) do que os que informaram experiência intermediária (n=11), cuja média foi 8,1, sendo essa média maior do que a dos que relataram experiência básica (n=10; média 7,7).
Os dados obtidos no questionário (experiência do participante com computador e horas que joga semanalmente) estão distribuídos na Tabela 3. Ao se compararem esses dados com o nível de senso de presença relatado pelos participantes (escala de 1 a 10), verifica-se que dentre os participantes que responderam ter experiência básica (Participantes 1, 2, 3, 5, 6, 10, 11, 12, 14, e 21), quatro deles (Participantes 5, 6, 10 e 11) relataram níveis de presença igual ou menor que seis em mais de um estágio e cinco deles (Participantes 1, 2, 3, 12 e 21) relataram níveis de presença igual ou maior que oito em mais de um estágio. Dentre os participantes que possuíam nível intermediário de experiência (Participantes 4, 7, 9, 13, 15, 16, 17, 18, 19, 22 e 23), dois deles (Participantes 18 e 19) relataram níveis de senso de presença igual ou menor que seis em mais de um estágio e quatro (Participantes 7, 15, 16 e 22) relataram níveis de senso de presença igual ou maior que oito em mais de um estágio. Os participantes que informaram ter nível avançado de experiência (Participante 8 e 20) relataram níveis igual ou superior a oito em pelo menos dois estágios.
Discussão
Os resultados do presente estudo, que podem ser resumidamente destacados para a discussão, são: a) a frequência de RNV-EV e o senso de presença relatado são maiores no Estágio 3 do que no Estágio 1, tendo havido um aumento gradual ao longo dos estágios de RNV-EV para a maioria dos participantes e do nível de senso de presença de mais da metade dos participantes. No entanto, não se obteve correlação estatisticamente significante entre essas medidas, ao se considerar os dados dos três estágios em separado; b) as RV-EV ocorreram com frequência baixa ou não foram emitidas, não sendo observado um padrão comportamental; c) os participantes que dedicavam mais horas semanais a jogos eletrônicos se movimentaram menos e tenderam a emitir um menor número de RV-EV durante as Etapas 1 e 2; d) não houve correlação entre horas semanais dedicadas a jogos e o nível de senso de presença relatado; e) a média do nível de senso de presença no Estágio 3 relatado pelos participantes que informaram ter experiência avançada com computares foi maior do que a média desse nível entre os que informaram ter experiência intermediária, e esses apresentaram média maior do que os que relataram ter experiência básica.
A comparação entre a quantidade de RNV-EV emitidas nos três estágios da fase filmada demonstrou que houve um aumento gradual na frequência dessas respostas à medida que os participantes avançavam no jogo, o que está relacionado ao fato de o número de buracos aumentar nas etapas sucessivas. Isso caracteriza o aumento na complexidade do jogo, podendo levar ao questionamento de se o registro desse tipo de comportamento é uma medida complementar apropriada de senso de presença, pois se pode considerar que essas respostas estavam diretamente sob o controle dos estímulos virtuais. Em situações do dia a dia espera-se que os indivíduos emitam mais respostas à medida que mais estímulos são apresentados e, conforme foi proposto por Sanchez-Vives e Slater (2005), é um sinal de senso de presença comportar-se no ambiente virtual como se faria em um ambiente não virtual.
O relato do nível de senso de presença também aumentou do estágio inicial para o final no caso de 16 dos 23 participantes. Isso aconteceu mesmo em relação aos participantes com mais experiência com jogos, que se movimentaram menos quando comparados aos participantes com menos experiência. Esse resultado está de acordo com a afirmação de Nowak, Krcmar e Farrar (2008) de que o senso de presença é maior na medida em que o jogador avança no jogo, ou seja, passa da fase de aprendizagem de seus objetivos e de como jogá-lo. Segundo Skinner (1974/2006), os sentimentos podem ser considerados como subprodutos da relação entre o organismo e o ambiente. Assim, o senso de presença - o sentimento de"estar lá" no cenário virtual - pode ser considerado como subproduto da interação do indivíduo com o cenário virtual. Para que haja senso de presença, então, é necessário que a pessoa interaja com os estímulos virtuais, sendo uma dessas possibilidades as respostas motoras. Apesar de os dados desse estudo não demonstrarem uma correlação estatisticamente significante entre as RNV-EV e o senso de presença relatado, pode-se afirmar que essas respostas são uma medida complementar apropriada do senso de presença.
A medida comportamental verbal de senso de presença utilizada no presente estudo foi o relato contínuo. Esse tipo de medida permite observar as variações de senso de presença ao longo da exposição (Wissmath, Weibel, & Mast, 2010), conforme foi constatado com base na diferença entre os Estágios 1 e 2, e os Estágio 2 e 3. Um dado não obtido por registro sistemático que apareceu no momento em que os participantes respondiam o questionário foi a dificuldade encontrada em relatar o senso de presença dessa maneira. De acordo com os Participantes 15 e 17, foi difícil relatar o fenômeno de acordo com uma escala de 1 a 10. Além disso, segundo esses participantes, eles tinham que"parar para se observar" e quantificar o sentimento, o que contribuiu para que fossem"tirados" das cenas do jogo. Ser"tirado da cena do jogo", ou seja, ter que prestar atenção a aspectos do contexto não virtual é uma desvantagem do relato contínuo de senso de presença conforme apontaram Wissmath, Wibel e Mast (2010), a partir de argumentos presentes na literatura. No entanto, os dados do estudo desses autores indicaram que essa"dispersão de atenção" não afetou significativamente o senso de presença, ou seja, ao comparar os dados de relato contínuo com dados de questionários, os níveis de senso de presença não são menores quando a primeira maneira de mensurar o fenômeno é utilizada. Estudos adicionais referentes a essa variável devem ser desenvolvidos, uma vez que Escalas de Unidades Subjetivas de Desconforto (SUDS - Subjective Units of Disconfort Scale), um correlato da medida de relato contínuo usada no presente estudo, são bastante usadas em procedimentos terapêuticos para medos e fobias, e também em VRET, conforme mostram dados da bibliografia (e.g., Beck, Palyo, Winer, Schwagler, & Ang, 2007; Josman, Reisberg, Weiss, Garcia-Palacios, & Hoffman, 2008).
No presente estudo, verificou-se correlação negativa entre horas jogadas semanalmente e RNV-EV e uma tendência de correlação negativa entre horas jogadas e RV-EV no Estágio 1 e 2, o que demonstra que participantes com mais experiência com jogos se movimentaram menos e verbalizaram menos no jogo. O comportamento de jogar dos que possuem mais experiência com jogos, tendo em vista a quantidade de horas semanais que despendem jogando, têm uma história de reforço mais longa, sendo mais eficazes e os menos experientes tinham que se movimentar mais para conseguir tapar os buracos, apesar de terem passado por fases anteriores para aprenderem a jogar. Em relação ao nível de senso de presença, não houve correlação com o número de horas jogadas semanalmente, o que sugere que os jogadores que jogavam mais não se sentiram mais ou menos presente do que aqueles que jogavam pouco.
Quanto às RV-EV, não foi observada correlação entre a frequência dessas respostas e o senso de presença e não houve diferença significativa entre os três estágios da fase filmada. As RV-EV não eram requisitadas pelo jogo, não produzindo consequências no ambiente virtual quando emitidas, mas poderiam estar relacionadas ao senso de presença, uma vez que as respostas verbais são mantidas pela comunidade verbal por meio de reforços intermitentes (Skinner, 1953/2007) e podem ocorrer na ausência de uma audiência específica, como quando o indivíduo fala com plantas ou com animais. Além disso, as reações corpóreas podem ser SD’s (Tourinho, 2006) para respostas verbais como,"Ai meu Deus!","Nossa senhora!". Porém, a frequência baixa com que essas respostas ocorreram não permite sugerir que esse tipo de resposta é uma medida apropriada para o senso de presença em cenários e condições de jogo como o do presente estudo. Uma possibilidade de ampliar a análise de medidas de respostas verbais seria a execução de um procedimento com o método de falar em voz alta o que se está pensando à medida que se interage com o ambiente virtual (Think Aloud Method - Ericsson & Simon, 1993; Van Someren, Barnard, & Sandberg, 1994), o qual poderia fornecer dados para serem relacionados com os dados fornecidos em questionários, como foi sugerido por McCall, O'Neill e Carroll (2004).
Com relação ao relato contínuo do nível de senso de presença deve-se destacar a questão da fidedignidade em relação ao sentimento/sensação que o participante estava relatando, pois o senso de presença pode ser confundido com outros eventos privados (Wissmath, Weibel, & Mast, 2010). O Participante 23, por exemplo, disse que a situação de se estar numa caixa de vidro no fundo do mar era pouco provável e, assim, se sentiu pouco presente. Para esse participante, o correlato público do senso de presença foi o fato de a situação apresentada pelo jogo ser pouco provável no contexto não virtual. A Participante 2, por sua vez, afirmou que o jogo foi divertido, que se movimentou bastante e que praticamente não prestou atenção no contexto não virtual enquanto jogava. Para essa participante, provavelmente os correlatos mais importantes do senso de presença foram: reações corpóreas relacionadas à diversão, a quantidade de movimentos que emitiu ao longo do jogo e o fato de responder mais sob controle dos estímulos virtuais do que dos não virtuais.
Quando a autodescrição de uma sensação (evento privado) não foi suficientemente modelada pela comunidade verbal, ainda assim é possível a um observador inferir o que possa estar sentindo aquele que não consegue descrever suas sensações. Essa inferência pode ser feita observando condições corpóreas que definem a sensação, operantes que lhe são correlatos e contingências ambientais das quais ela é função, pois isso pode equivaler à autodescrição dessa sensação (Cunha & Borloti, 2005; Skinner, 1957). Na análise do senso de presença essa equivalência pode ser útil, pois além dessa expressão receber diferentes definições, não há um consenso sobre quais seriam as medidas comportamentais válidas. Assim, os resultados do presente estudo permitem sugerir que respostas não verbais sob o controle de estímulos virtuais, que produzem efeito nesse ambiente, são uma medida complementar apropriada do senso de presença e que fazer análises funcionais dos comportamentos emitidos quando o participante está imerso no cenário pode ser uma forma útil de mensuração do senso de presença.
O presente estudo apresentou algumas limitações. Uma delas foi o uso de apenas um instrumento de relato verbal para mensurar o senso de presença, o que não permitiu a comparação dos dados do relato contínuo com dados obtidos, por exemplo, em questionários, os quais são muito utilizados em pesquisas sobre senso de presença (e.g., Villani, Repetto, Cipresso, & Riva, 2012). Além de questionários, o registro de respostas fisiológicas, como a resposta galvânica da pele, poderia compor o conjunto de registro realizado e dessa forma ampliar a possibilidade de se obter correlação entre medidas. A possibilidade de obter correlação entre medidas também seria ampliada se o número de participantes tivesse sido maior. Apesar de apresentar limitações, o presente estudo possibilitou identificar medidas complementares para avaliação do senso de presença em ambientes virtuais e sugerir questões para investigações futuras sobre essa forma de mensurar uma das variáveis fundamentais em procedimentos como o da terapia de exposição à realidade virtual (VRET - virtual reality exposure therapy), uma dentre tantas outras aplicações desse recurso tecnológico. No caso da VRET para medos e fobias, por exemplo, é fundamental que o ambiente virtual gere senso de presença para que a ansiedade possa ser provocada e, então, submetida aos diversos procedimentos que o terapeuta selecionar para levar seu cliente a enfrentar os objetos/ambientes temidos, deixando de fugir ou de se esquivar. Além disso, se o cliente não se sentir presente no ambiente virtual e consequentemente não de sentir ansioso, não poderão ser observados os processos de habituação e de extinção. Assim, pode-se concluir que investigar formas de avaliar/mensurar o senso de presença é importante tanto para a compreensão desse fenômeno em si, como para estudar as inúmeras aplicações de tecnologias que requerem promover a sensação de estar em um determinado ambiente, quando se está em outro. Este estudo mostrou que o conceito de evento privado, como parte do comportamento emocional, pode ser útil na avaliação de tecnologias que provocam emoções e sensações, condição essa atrelada à eficácia dessas tecnologias.
Referências
Alsina-Jurnet, I., Gutiérrez-Maldonado J., & Rangel-Gómez, M. V. (2011). The role of presence in the level of anxiety experienced in clinical virtual environments. Computers in Human Behavior, 27, 504-512. doi: 10.1016/j.chb.2010.09.018. link [ Links ] J. G., Palyo, S. A., Winer, E. H., Schwagler, B. E., & Ang, E. J. (2007). Virtual reality exposure therapy for PTSD symptoms after a road accident: An uncontrolled case series. Behavior Therapy, 38, 39-48. doi: 10.1016/j.beth.2006.04.001 link [ Links ]
Busscher, B., Vliegher, D., Ling, Y., & Brinkman, W. P. (2011). Physiological measures and self-report to evaluate neutral virtual reality worlds. Journal of CyberTherapy and Rehabilitation, 4, 15-25. link [ Links ]
Cunha, L. S., & Borloti, E. B. (2005). Skinner, o sentimento e o sentido. In E. B. Borloti, S. R. F. Enumo & M. Ribeiro (Eds.), Análise do comportamento: teorias e práticas (pp. 47-57). Santo André: ESETec. link [ Links ]
Darwich, R. A., & Tourinho, E. Z (2005). Respostas emocionais à luz do modelo causal de seleção por consequências. Revista Brasileira de Terapia Comportamental e Cognitiva, 2, 107-118. link [ Links ]
Ericsson, K. A., & Simon, H. A. (1993). Protocol analysis: Verbal reports as datas. Massachusetts: MIT. impreso [ Links ]
Ferreira, D. C., Tadaiesky, L. T., Coêlho, N. L., Neno, S., & Tourinho, E. Z. (2010). A interpretação de cognições e emoções com o conceito de eventos privados e a abordagem analítico-comportamental da ansiedade e da depressão. Perspectivas em Análise do Comportamento, 1, 70-85. link [ Links ]
Freeman, J., Avons, S. E., Meddis, R., Pearson, D. E., & IJsselsteijn, W. (2000). Using behavioral realism to estimate presence: a study of the utility of postural responses to motion stimuli. Presence, 9, 149-164. doi: 10.1162/105474600566691 link [ Links ]
International Society for Presence Research. (2000). The Concept of Presence: Explication Statement, Recuperado em 3 de dezembro de 2014 de http://ispr.info/ [ Links ]
Josman, N., Reisberg, A., Weiss, P. L., Garcia-Palacios, A., & Hoffman, H. G. (2008). BusWorld: An analog pilot test of a virtual environment designed to treat posttraumatic stress disorder originating from a terrorist suicide bomb attack. Cyberpsychology & Behavior, 11, 775-777. doi: 10.1089/cpb.2008.0048 link [ Links ]
McCall, R., O'Neill, S., & Carroll, F. (2004). Measuring presence in virtual environments. In CHI EA '04: CHI '04 Extended Abstracts on Human Factors in Computing Systems. (pp. 783-784). New York: Association for Computing Machinery. doi: 10.1145/985921.985934 link [ Links ]
Nowak. K., Krcmar, M., & Farrar, K. M. (2008). The causes and consequences of presence: considering the influence of violent video games on presence and aggression, Presence: Teleoperators and Virtual Environment, 17, 256-268. doi: 10.1162/pres.17.3.256 link [ Links ]
Persky, S., & Blascovich, J. (2008). Immersive virtual video game play and presence: Influences on aggressive feelings and behavior. Presence: Teleoperators and Virtual Environment, 17, 57-72. doi: 10.1162/pres.17.1.57 link [ Links ]
Price, M., & Anderson, P. (2007). The role of presence in virtual reality exposure therapy. Journal of Anxiety Disorders, 21, 742-751. doi: 10.1016/j.janxdis.2006.11.002 link [ Links ]
Price, M., Mehta, N., Tone, E. B., & Anderon, P. L. (2011). Does engagement with exposure yield better outcomes? Components of presence as a predictor of treatment response for virtual reality exposure therapy for social phobia. Journal of Anxiety Disorders, 25, 763-770. doi: 10.1016/j.janxdis.2011.03.004 link [ Links ]
Roussou, M., Oliver, M., & Slater, M. (2006). The virtual playground: An educational virtual reality environment for evaluating interactivity and conceptual learning. Virtual Reality, 10, 227-240. doi: 10.1007/s10055-006-0035-5 link [ Links ]
Sanchez-Vives M. V., & Slater, M. (2005). From presence to consciousness through virtual reality. Nature Reviews Neuroscience, 6, 332-339. doi: 10.1038/nrn1651 link [ Links ]
Särkelä, H., H., Takatalo, J., May, P., Laakso, M. & Nyman, G. (2009). The movement patterns and the experiential components of virtual environments. International Journal of Human-Computer Studies, 67, 787-799. doi: 10.1016/j.ijhcs.2009.05.003 link [ Links ]
Safir, M. P., Wallach, H. S., & Bar-Zvi, M. (2012). Virtual reality cognitive-behavior therapy for public speaking anxiety: one year follow-up. Behavior modification, 36, 235-246.link [ Links ]
Skinner, B. F. (1945). The operational analysis of psychological terms. Psychological Review, 52, 270-277. doi: 10.1037/h0062535 link [ Links ] B. F. (1957). Verbal Behavior. New York: Applenton-Century-Crofts. link [ Links ]
Skinner, B. F. (2006). Sobre o Behaviorismo. (10ª ed.) (M. da P. Villalobos, Trad.). São Paulo: Cultrix (Obra original publicada em 1974). link [ Links ]
Skinner, B. F. (2007). Ciência e Comportamento humano. (11ª ed.) (J. C. Todorov e R. Azzi, Trads.). São Paulo: Martins Fontes (Obra original publicada em 1953). link [ Links ]
Slater, M. (2004). How colorful was your day? Why questionnaires cannot assess presence in virtual environments. Presence-Teleoperators and Virtual Environments, 13, 484-493. doi: 10.1162/1054746041944849 link [ Links ]
Tourinho, E. Z. (2006). Private stimuli, covert responses, and private events: Conceptual remarks. The Behavior Analyst, 29, 13-31. link [ Links ]
Van Someren, M. W., Barnard, Y. F., & Sandberg, J. A. C. (1994).The think aloud method: A practical guide to modeling cognitive processes. London: Academic Press. link [ Links ]
Vieira, G. de P., Araujo, D. F. G. H. de, Leite, M. A. A., Orsini, M., & Correa, C. L. (2014). Virtual reality in physical rehabilitation of patients with Parkinson's disease. Revista Brasileira de Crescimento e Desenvolvimento Humano, 24, 31-41. link [ Links ]
Villani, D., Repetto, C., Cipresso, P., & Riva, G. (2012). May I experience more presence in doing the same thing in virtual reality than in reality? An answer from a simulated job interview. Interacting with Computers, 24, 265-272. doi: 10.1016/j.intcom.2012.04.008 link [ Links ]
Von der Pütten, A. M. R., Klatt, J., Broeke, S. T., McCall, R., Krämer, N. C., Wetzel, R. et al. (2012). Subjective and behavioral presence measurement and interactivity in the collaborative augmented reality game TimeWarp. Interacting with Computers, 24, 317-325. doi: 0.1016/j.intcom.2012.03.004 link
Wissmath, B., Weibel, D., & Mast, F. W. (2010). Measuring presence with verbal versus pictorial scales: a comparison between online- and ex post-ratings. Virtual Reality, 14(1), 43-53. doi 10.1007/s10055-009-0127-0 link [ Links ]
Witmer, B., & Singer, M. (1998). Measuring presence in virtual environments: A presence questionnaire. Presence: Teleoperators and Virtual Environments, 7, 225-240. doi: 10.1162/105474698565686 link [ Links ]
Recibido: Mayo 8-2015 Revisado: Enero 27-2016 Aceptado: Febrero 23-2016















