35 2 
Home Page  

  • SciELO

  • Google
  • SciELO
  • Google


Revista ION

 ISSN 0120-100X ISSN 2145-8480

        25--2023

https://doi.org/10.18273/revion.v35n2-2022006 

Artículos

Simulación de una planta WtE (Waste to Energy) para la recuperación de energía a partir de residuos sólidos municipales en el Valle de Aburrá

Simulation of a WtE (Waste to Energy) plant for the recovery of energy from municipal solid waste in the Valle de Aburra

Simulação de uma planta WtE (Waste to Energy) para a recuperação energética de resíduos sólidos urbanos no Vale do Aburrá

Rolando Barrera Zapata1  a 
http://orcid.org/0000-0002-8718-9242

Julián Andrés Cardona Giraldo1 

1Departamento de Ingeniería Química, Facultad de Ingeniería, Universidad de Antioquia UdeA, Calle 70 n.° 52-21, Medellín, Colombia.


Resumen

Se presenta un modelo para simular una planta de combustión en parrilla para el aprovechamiento energético de residuos sólidos municipales bajo el concepto WtE (Waste to Energy) utilizando el software Aspen Plus. El modelo se validó mediante comparación de datos de procesos simulados y datos disponibles en la literatura. Independiente de las condiciones de operación simuladas, los resultados del modelo en cuanto a potencia térmica, potencia eléctrica, eficiencia mecánica y composición (kg/h) de los gases de salida de la planta presentaron desviaciones ≤ 12 %, en comparación con datos reportados en la literatura para plantas WtE operando a las condiciones simuladas, lo que permite concluir que el modelo es apto para estimar flujos de masa y energía, al igual que la potencia eléctrica generada en el proceso WtE y es útil como herramienta de análisis para estudios de prefactibilidad de este tipo de plantas. El modelo, una vez validado, se utilizó para evaluar diferentes escenarios de manejo de residuos sólidos municipales en el Valle de Aburrá, permitiendo estimar importantes datos energéticos para la evaluación o comparación de estrategias relacionadas con el manejo de residuos en zonas urbanas y bajo diferentes condiciones de operación.

Palabras clave: Aprovechamiento energético; Aspen Plus; Combustión en parrilla; Incineración de residuos; Residuos sólidos municipales; Simulación de procesos

Abstract

A model to simulate a combustion plant for the energy recovery of urban solid waste under the WtE (Waste to Energy) concept, using the Aspen Plus software is presented. The model was validated by comparing data from the simulated process and data available in the literature. It was found that regardless of the simulated operating conditions, the model results agree with reported data in terms of thermal power, electrical power, mechanical efficiency, and composition (kg/h) of the plant outlet gases, showing deviations < 12% with respect to WtE plants operating under simulated conditions. This allows us to conclude that the model is suitable for estimating mass and energy flows, as well as the electrical power generated in the WtE process, and that it is useful as an analysis tool for preliminary studies in such kind of plants. The model, once validated, was used to evaluate different municipal solid waste management scenarios in the Valle de Aburrá, allowing the estimation of important energy data for the evaluation or comparison of strategies related to waste management in urban areas and under different operating conditions.

Keywords: Energy use; Aspen Plus; Mains combustion; Waste incineration; Municipal solid waste; Process simulation

Resumo

É apresentado um modelo para simular uma planta de combustão em grelha para aproveitamento energético de resíduos sólidos urbanos sob o conceito WtE (Waste to Energy) utilizando o software Aspen Plus. O modelo foi validado comparando-se os dados do processo simulado e os dados disponíveis na literatura. Independentemente das condições de operação simuladas, os resultados do modelo em termos de potência térmica, potência elétrica, eficiência mecânica e composição (kg/h) dos gases de saída da planta apresentaram desvios < 12 %%, em relação aos dados reportados. na literatura da planta. WtE operando em condições simuladas, o que permite concluir que o modelo é adequado para estimar fluxos de massa e energia, bem como a energia elétrica gerada no processo WtE, sendo útil como ferramenta de análise para estudos preliminares. pisos. O modelo, uma vez validado, foi utilizado para avaliar diferentes cenários de gestão de resíduos sólidos urbanos no Valle de Aburrá, permitindo estimar dados energéticos importantes para a avaliação ou comparação de estratégias relacionadas à gestão de resíduos em áreas urbanas e sob diferentes condições de operação.

Palavras-chave: Uso de energia; Aspen Plus; Combustão na rede; Incineração de resíduos; Resíduos sólidos urbanos; Simulação de processos

Introducción

Los residuos, inevitables en la sociedad, aumentan de manera exponencial con el progreso y las mejoras en las condiciones de vida. La gestión de residuos sólidos municipales (RSM) se hace compleja en países en vías de desarrollo, debido al creciente volumen de generación y el cambio en el tipo de residuos, dados por el crecimiento económico, la urbanización y la industrialización [1]. En Colombia, según cifras reportadas por la Superintendencia de Servicios Públicos [2], para el año 2030 la generación de residuos en las zonas urbanas y rurales podría superar los 18,7 millones de toneladas anuales, de las cuales, según las políticas actuales de gestión de residuos sólidos, alrededor de 14 millones de toneladas deberían ser dispuestas en rellenos sanitarios. No obstante, la capacidad de estos rellenos se estima cercana a 10,3 millones de toneladas para el año 2030, proyectando un déficit que requiere del planteamiento de nuevos modelos de gestión y aprovechamiento de los residuos que resulten sostenibles en el tiempo. Para el caso del Área Metropolitana del Valle de Aburrá (AMVA) que corresponde a la ciudad de Medellín y municipios circundantes, se estima en la actualidad una tasa de generación promedio de 63 000 toneladas de RSM mensuales.

Dentro de las estrategias locales de gestión, se han planteado diversos escenarios de aprovechamiento (reciclaje) que permitan en prospectiva tomar decisiones y asumir políticas frente a la disposición final de RSM [3,4]. En ese orden de ideas, para el 2030 podría presentarse alguno de los siguientes escenarios, de acuerdo con las campañas y/o regulaciones que las autoridades asuman frente a la generación y aprovechamiento de RSM proyectada en el tiempo: el primer escenario contempla la proyección de la disposición de RSM sin considerar intervención del reciclaje. El segundo escenario mantiene las condiciones actuales de generación y aprovechamiento en el AMVA (aprovechamiento reciclaje 15,3 %, aprovechamiento orgánico 1,9 %). El tercer escenario proyecta la disposición de RSM considerando solo el aprovechamiento de los RSM no residenciales, gracias a la implementación de rutas selectivas para la recolección de RSM. Por último, el cuarto escenario considera la implementación (a 2030) de un plan de aprovechamiento del 40 % de residuos orgánicos y un aprovechamiento de la totalidad del potencial reciclable (30 %) [3-5].

A nivel mundial, dentro de las tecnologías de gestión de residuos sólidos se destacan las iniciativas de transformación de residuos a energía WtE (de sus siglas en inglés Waste To Energy), donde la recuperación de energía a partir de los residuos permite ayudar a mitigar dos problemáticas a la vez: i) tratar cantidades de residuos que no se aprovechan y/o reutilizan; y ii) generar energía térmica para ayudar a suplir la creciente demanda del sector energético [6,7]. Las iniciativas WtE pueden incluir diversas tecnologías de transformación térmica para procesar RSM o residuos de diferentes fuentes, con o sin tratamientos previos y donde se obtiene como principal producto vapor a alta presión y/o gas de síntesis (CO, H2, CO2). La tecnología WtE predominante a nivel global consiste en la combustión en parrilla (Figura 1), que con plantas instaladas en Asia, Europa y América totalizan una capacidad de tratamiento cercana a 170 millones de toneladas al año, mientras que otras tecnologías como combustión en horno rotatorio o lecho fluidizado circulante, entre otras, difícilmente superan en conjunto una capacidad instalada de 12 millones de toneladas al año [6]. Para el caso de América Latina y el Caribe, la capacidad instalada para el procesamiento de residuos en plantas WtE es en proporción bastante inferior. En Jamaica, Chile, Colombia (San Andrés), Argentina, Brasil y México, se cuenta con plantas WtE para el aprovechamiento de residuos forestales, biomasa y RSM, así como algunas plantas proyectadas para entrar en operación entre 2025 y 2030 [6 - 8].

Figura 1 Esquema del proceso de incineración de RSM en parrilla (adaptado de [9]). Etapa 1: combustión de RSM, etapa 2: post-combustión y reducción de NOx, etapa 3: generación de vapor y potencia, etapa 4: control ambiental. 

Si bien las tecnologías WtE representan un enfoque de desarrollo sostenible para los residuos, considerándoles un recurso para la recuperación de materiales y energía y no simplemente como un problema de eliminación; el estudio, análisis y planificación de este tipo de plantas representa una tarea compleja debido a factores como la naturaleza de los procesos WtE, la cantidad de variables asociadas, las diferentes tecnologías con diversas condiciones de operación y la variabilidad en la composición de los residuos a ser tratados (en especial cuando se trata de RSM). Por lo anterior, se hace deseable contar con modelos que permitan simular de manera razonable y realista el proceso, de modo que ayuden en la toma de decisiones, análisis de variables y en estudios de factibilidad técnicos, económicos y ambientales, así como en tareas de optimización de planta y evaluación o análisis de diversos escenarios de operación. En ese orden de ideas, en la literatura se encuentran diversos estudios en los que se utiliza software especializado como Aspen Plus para simular el proceso de incineración o aprovechamiento térmico de RSM a través de procesos WtE. Los modelos presentados se utilizan con diversos propósitos, incluyendo la evaluación del efecto de parámetros de operación sobre la composición de los gases de combustión, la generación de energía eléctrica, el potencial termodinámico para los ciclos de cogeneración y la eficiencia energética y exergética de la planta, entre otros. Cimini et al. [10] modelaron una planta WtE para la producción de energía eléctrica a partir del tratamiento térmico de RSM. Mediante simulaciones evaluaron la cogeneración bajo diferentes condiciones de carga y valores de poder calórico inferior (PCI) de los residuos procesados. También analizaron el efecto de la temperatura y la presión de salida de la turbina, comparando los valores simulados con datos reales de operación de una planta de incineración en Italia. Encontraron que el rendimiento global de la planta se afecta notablemente por el flujo de alimentación de residuos y su PCI. Adicionalmente, concluyeron que el modelo propuesto representa un instrumento confiable para ser usado tanto en el diseño como en la planificación de nuevas plantas y en el control y modernización de las plantas existentes. Ding et al. [11] simularon la incineración de alta intensidad donde, mediante oxicombustión, puede reducirse la generación y emisión de contaminantes como CO2, validando sus simulaciones con datos reales de una planta de incineración de China. Jannelli y Minutillo [12] simularon el proceso de incineración de residuos en una planta WtE enfocando su estudio en el sistema de depuración de gases. El modelo incluyó en la zona de combustión el incinerador de parrilla y la cámara de postcombustión, mientras que la sección de limpieza incluyó el proceso de reducción de NOx (inyección de urea) y el lavado de SO2 y HCl. Los autores validaron su modelo con ayuda de datos reales de diseño y funcionamiento de una planta WtE de Italia, concluyendo que resultaba útil para verificar niveles de contaminación ambiental de una planta de incineración y para pronosticar las emisiones cuando se varía la composición de los desechos u otros parámetros de operación. Otros autores reportaron sus estudios apoyados en simulaciones para evaluar el efecto de los diferentes sistemas de limpieza de gases de combustión sobre la eficiencia de generación de energía eléctrica en una planta de incineración de RSM [13]. También se encuentran reportes sobre la simulación de plantas de incineración o procesos de co-combustión en centrales térmicas para el aprovechamiento térmico de los lodos obtenidos en plantas de tratamiento de aguas municipales [14,15]. En estos estudios y con la ayuda de modelos, se evalúa la influencia de la fracción de lodo alimentado y su porcentaje de humedad sobre la generación de energía eléctrica y la composición de los gases de combustión, así como los costos de inversión y costos operativos en función del flujo de lodo alimentado al proceso. En general y de acuerdo con la literatura, es posible realizar modelos de simulación para plantas WtE con ayuda de software especializado como Aspen Plus. De esta manera, se logra representar razonablemente el proceso para aproximar la obtención de los flujos de materia, energía y potencia que permitan evaluar la prefactibilidad de los proyectos. En ese orden de ideas, esta contribución presenta el modelo de una planta WtE de combustión en parrilla implementado en el software Aspen Plus y validado de acuerdo con pesquisas de la literatura. El modelo, una vez validado, se utiliza para evaluar diferentes escenarios de generación y manejo de residuos sólidos municipales específicos en el Valle de Aburrá, utilizando datos de generación de residuos y escenarios de operación propuestos para esta zona urbana de Colombia [4]. El modelo permite estimar importantes datos energéticos para la evaluación o comparación de estrategias relacionadas con el manejo de residuos en zonas urbanas y bajo diferentes condiciones de operación.

Metodología

Desarrollo e implementación del modelo

Tomando como referencia diversos modelos reportados en la literatura [10-17], se definió el diagrama del proceso para la producción de energía eléctrica y térmica a partir de la incineración mediante parrilla móvil de RSM, representando las etapas 1, 2 y 3 del proceso de incineración de acuerdo con la Figura 1 . La cuarta etapa del proceso (Figura 1), la cual consiste en el control ambiental (sistema de abatimiento de SOx, HCl, dioxinas y material particulado, entre otros), no se incluye ya que no resulta indispensable para un análisis de prefactibilidad, pues los costos asociados a estos tratamientos pueden estimarse a partir de factores específicos por metro cubico normalizado, que dependen de las cargas de contaminantes en los efluentes de salida y las tecnologías específicas que eventualmente se decida adaptar para tal fin [4]. Para el cálculo de propiedades termodinámicas, los gases de combustión se representaron mediante el modelo de gas ideal, ya que el proceso se lleva a cabo a altas temperaturas y bajas presiones. En cuanto a la estimación de propiedades para agua y vapor, se usaron tablas de vapor (Steam-Tables), de acuerdo con las bases de datos disponibles en el software. El modelo implementado en Aspen Plus se ilustra en la Figura 2. Se asume que cada etapa del proceso es adiabática y que no se presentan caídas de presión en los equipos ni en las líneas. Los bloques REACTOR 1 y REACTOR 2 (Figura 2), permiten simular la primera etapa del proceso, que corresponde a la etapa de combustión o incineración de RSM. En esta etapa se alimenta el RSM a la parrilla de combustión (corriente RSM, Figura 2), al igual que aire en exceso (corriente AIRE-1, Figura 2) para promover las fases de secado, devolatilización, combustión de volátiles y conversión del carbono fijo. El modelo supone que todas las reacciones ocurren en el bloque REACTOR 2 (Figura 2), el cual corresponde a un reactor R-Gibbs donde, por minimización de la energía libre de Gibbs, se simula el equilibrio termodinámico para todas las posibles especies químicas que se puedan generar en el reactor, dadas las corrientes de alimentación y las condiciones de operación del mismo [18]. Los gases de combustión abandonan el reactor a través de la corriente GAS-1 (Figura 2). El bloque REACTOR 1 de la Figura 2 es hipotético y corresponde a un reactor de rendimiento o RYIELD que se incluye para descomponer la biomasa constitutiva de RSM residenciales y RSM no residenciales (corrientes RES-1 y RES-2, Figura 2), que carecen de una estructura química definida, en sus componentes o especies constitutivas (C, H, O, N, S, etc.), de acuerdo a su naturaleza y composición [18]. Con el fin de validar la capacidad predictiva del modelo, en este estudio se usaron preliminarmente datos de composición de RSM tomados de la literatura [12,13]. Posteriormente, para uso del modelo, se tomaron datos representativos de la composición de RSM del ANVA [4]. La composición de los RMS simulados se presenta en la Tabla 1.

Figura 2 Diagrama del modelo en Aspen Plus para simular la incineración de RSM. 

Tabla 1 Composición de RSM utilizada en las simulaciones. 

Parámetro/referencia [12] [13] [4]* [4]**
Análisis próximo (%p)
Humedad 20 18,4 57,5 70,86
Cenizas 75,95 18,3 3,0 15,8
Carbono fijo 10,23 70,2 4,7 1,57
Volátiles 13,81 11,5 34,8 11,71
Análisis último (%p)
Carbono 50,23 11,50 21,30 7,17
Hidrógeno 4,37 48,50 3,20 1,08
Oxígeno 1,22 6,90 14,16 4,76
Nitrógeno 1,13 0,53 0,62 0,21
Azufre 0,76 0,80 0,12 0,04
Cloro 28,48 0,09 0,12 0,04
Cenizas 13,81 31,69 2,98 15,8

*RSM No residencial, **RSM residencial.

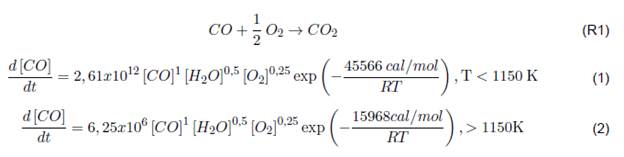
La corriente CALOR 1 (Figura 2) se incluye para garantizar la conservación de la energía en el proceso, llevando el calor liberado en el bloque hipotético (REACTOR 1) al incinerador (REACTOR 2) [18]. Normalmente, los incineradores de parrilla móvil incluyen un mecanismo de enfriamiento que aumenta la vida útil del equipo. En el modelo, ese flujo de calor se representa por la corriente CALOR 2 (Figura 2), la cual puede utilizarse para precalentar agua en el sistema de generación de vapor y mejorar la eficiencia global del proceso [12]. La segunda etapa del proceso (postcombustión y reducción de NOx) se simula en los bloques REACTOR 3, REACTOR 4 y FILTRO SEPARADOR, Figura 2. La corriente GAS-1 que sale del incinerador lleva los gases de combustión a un reactor continuo de tanque agitado (RCSTR), representado en el diagrama por el bloque REACTOR 3, donde se mezclan con aire secundario (corriente AIRE-2) para favorecer la oxidación de CO (Reacción R1). Para la cinética de la reacción se utilizaron los datos reportados por [17], ecuaciones 1 y 2.

Luego de la oxidación del CO, los gases de combustión (Corriente GAS-2), pasan a un proceso de filtración mecánica (Bloque FILTRO SEPARADOR) en el cual se retiran inquemados como azufre, carbón y cenizas, que salen del proceso a través de la corriente CENIZAS, Figura 2. Los gases libres de inquemados y cenizas, (Corriente GAS-3), pasa al bloque REACTOR-4, un reactor RSTOIC o estequiométrico donde se simula, de manera simplificada, la reducción de NO de acuerdo a la reacción R2. Para ello, se ingresa además al reactor una corriente de aire auxiliar (corriente AIRE-3) para disminuir la temperatura en el reactor por debajo de 1300 °C, así como una corriente de urea en solución acuosa de concentración entre el 10-14 %, (corriente UREA+H2O, Figura 2) para favorecer la descomposición de los NOx [12].

Por último, la etapa de generación de vapor y potencia se simula mediante los bloques INTERCAMBIADOR y TURBINA (Figura 2). El bloque INTERCAMBIADOR simula una caldera donde los gases de combustión (Corriente GAS-4), que se encuentran a temperaturas entre 800-1500 °C, se mezclan con agua a temperatura ambiente (corriente AGUA), para generar vapor de alta presión a unos 400 °C y 40 bar, aproximadamente (corriente VAPOR-1, Figura 2). El flujo de agua que se alimenta a la caldera se fijó de modo tal que la temperatura de salida de los gases de combustión (corriente GAS-5) se mantuviese dentro de la normativa local [19]. Considerando además criterios de diseño del equipo como el delta de T, se fijó la temperatura de salida de los gases en 150 °C. La corriente VAPOR-1 se pasa a una turbina (bloque TURBINA, Figura 2) que se simuló como una turbina isentrópica, con eficiencia y presión de descarga de 0,9 y 0,15 bar, respectivamente [12]. De la turbina sale una corriente de vapor condensado (corriente VAPOR-2) y potencia eléctrica bruta (corriente POTENCIA), la cual, una vez se le descuenta la energía requerida para operar la planta (denominada Auxiliary), representa la potencia eléctrica neta que puede ser comercializada. Según la literatura, el Auxiliary puede estimarse entre el 10-15 % de la potencia eléctrica bruta generada [7]. En este estudio, siguiendo recomendaciones de [12], se fijó en el 13,5 %>.

Resultados y discusión

Validación del modelo

Para la validación del modelo se simularon las condiciones de operación para 2 modelos de plantas WtE tomados de la literatura [12,13], Tabla 2. En cada caso se utilizó la respectiva composición de RSM según la Tabla 1. Los resultados de las simulaciones para el sistema de generación se compararon con los datos reportados en cada una de las referencias consultadas (Tabla 3). Adicionalmente, los resultados de las simulaciones para la composición de los gases de salida, utilizando las condiciones de operación reportadas en [12], se compararon con datos reales de operación disponibles para una planta WtE ubicada en Ravenna-Italia [12] cuando opera bajo las condiciones simuladas (Tabla 3).

Tabla 2 Parámetros de operación de la planta WTE [12,13] utilizados en las simulaciones. 

Parámetro/Referencia [12] [13]
Flujo másico de entrada (RSM) (ton/día) 301 370
PCI (MJ/kg) 15 15,38
Aire en exceso combustión (%) 25 25
Presión de vapor entrada a la turbina (Mpa) 4 5,98
Temperatura de vapor entrada turbina (°C) 400 450
Presión de descarga de la turbina (kPa) 15 10

Tabla 3 Comparación de los resultados del modelo y datos de operación reportados en la literatura para el sistema de generación bajo condiciones de operación descritas en la Tabla 2. 

Parámetro/Referencia [12] Modelo propio [13] Modelo propio
Flujo de vapor (ton/h) 54 54 N/D -
Potencia térmica (MW) 52,16 48,37 65,9 57,14
Potencia eléctrica bruta (MW) 12,13 11,43 18,3 17,75
Auxiliary estimado 1,64 1,54 2,41 2,41
Potencia eléctrica neta (MW) 10,49 9,9 15,89 15,34
Eficiencia mecánica neta (%) 20,1 20,4 24,1 26,8

Tabla 4 Comparación de la composición de los gases de salida de acuerdo al modelo (Corriente GAS-4, Figura 2) y datos de operación de la planta WtE disponibles en [12]. 

Parámetro [12]* Modelo propio
Flujo másico H2O (kg/h) 8054 8259
Flujo másico N2 (kg/h) 91880 91829
Flujo másico O2 (kg/h) 14126 13879
Flujo másico SO2 (kg/h) 30 152,68
Flujo másico HCL (kg/h) 81 115
Flujo másico CO2 (kg/h) 18406 18608
Flujo másico Ar (kg/h) 1536 1537
Temperatura °C 1141 1082

*Datos de operación para una planta real.

De acuerdo con las Tablas 3 y 4 se puede observar que el modelo implementado en este estudio tiene un gran ajuste con respecto a datos reportados, independiente de las condiciones de operación simuladas. Según la Tabla 4, solo los flujos de SOx y HCl simulados presentan diferencias significativas con relación a los flujos reportados para la planta WtE, lo cual se debe a que el modelo no incluye el sistema de abatimiento o limpieza para estos gases. Para todos los demás parámetros comparados, los errores o diferencias entre datos simulados y tomados de la literatura (Tablas 3 y 4) es < 12 %, porcentaje suficientemente bajo para un estudio de pre-factibilidad. Se puede concluir que el modelo es apto para estimar flujos de masa y energía, al igual que la potencia eléctrica generada en el proceso WtE.

Simulación de escenarios de operación para la planta

El modelo validado se utilizó para evaluar la factibilidad de 4 escenarios proyectados al año 2030 para la generación y aprovechamiento de RSM en el AMVA [3,4]. Los escenarios asumen que la caracterización química y PCI de los RSM, así como los porcentajes de contribución del subsector residencial y no residencial, no serán significativamente diferentes a los valores actuales. En la Tabla 5 se resume la descripción de los escenarios simulados.

Tabla 5 Escenarios planteados para la simulación de la planta WTE. 

Información/Escenario 1 2 3 4
Generación de RSM a 2030 (ton/día) 4732 4732 4732 4732
Aprovechamiento actual proyectado a 2030 (ton/día) N/A 1011 N/A N/A
Generación subsector residencial 2030 (ton/día) N/A N/A 3250 N/A
Aprovechamiento según plan de gestión a 2030 (ton/día) N/A N/A N/A 3,732
RSM disponibles para WTE (ton/día) 4732 3721 1482 1000
PCI (MJ/kg) 3,63 3.63 7,84 7,84

Para la Tabla 5, El PCI se estimó asumiendo un valor de 1,71 MJ/kg para RSM residencial y de 7,83 MJ/kg para RSM no residencial, así como la proyección de la generación de estos residuos en el AMVA para 2030 [4]. Los demás parámetros de entrada al modelo se tomaron igual para los 4 escenarios replicando las condiciones de operación descritas en la Tabla 2, y que coinciden con los parámetros de operación de la planta real de Italia [12]. Los resultados de las simulaciones se presentan en la Tabla 6.

Tabla 6 Resultados modelos simulación de escenarios. 

Resultados modelo simulación Escenarios
1 2 3 4
Concentración CO gases salida caldera (ppm) 38 35 21 12
Concentración NOx gases salida caldera (ppm) 167 195 246 218
Concentración SO2 gases caldera (ppm) 662 737 425 541
Concentración HCl gases salida caldera (ppm) 341 379 219 278
Potencia térmica (MW) 335 258 160 88
Potencia eléctrica bruta (MW) 95,08 73,07 45,43 24,9
Auxiliary considerado (MW) 12,86 9,88 6,14 3,37
Potencia eléctrica neta (MW) 82,22 63,19 39,29 21,53
Potencia eléctrica especifica (MW/ton) 0,482 0,471 0,736 0,601
Eficiencia mecánica neta (%) 24,5 24,5 24,5 24,5
Flujo másico vapor (ton/día) 9072 6972 4336 2376
Flujo másico gases de combustión (ton/día) 13588 10417 6882 3694
Temperatura gases combustión (°C) 1595 1595 1595 1595
Flujo másico de urea + agua (ton/día) 103 99 95 45
Flujo másico cenizas + inquemados (ton/día) 558 458 44 75
Flujo másico de gases a depurar (ton/día) 14275 10086 6960 3671
Temperatura gases a depurar (°C) 148 151 149 153

De acuerdo con la Tabla 6, las concentraciones para el CO y el NOx en los 4 escenarios se encuentran por debajo del límite máximo permisible (100 ppm y 400 ppm, respectivamente), pero las concentraciones del SO2 y HCl se encuentran por encima de sus niveles máximos según con la normativa local (200 ppm y 40 ppm, respectivamente) [19]. Esto, debido a que el modelo no incluye la simulación de las etapas de absorción de SO2 ni de HCl. De acuerdo con la literatura [13], las eficiencias de remoción típicas para estos contaminantes utilizando tecnologías comerciales rondan el 86,5 % y 99 % respectivamente, lo cual daría como resultado concentraciones de SO2 <100 ppm y HCl <10 ppm en los 4 escenarios simulados. Para el caso de análisis económicos, los costos asociados al tratamiento de estos contaminantes pueden estimarse a partir de factores reportados en la literatura.

De acuerdo con datos reportados para plantas operativas [7], el PCI en 97 plantas operativas de Europa es de 10MJ/kg, generando potencias térmicas del orden de los 2,8 MWh/ton. Según los datos de la Tabla 6, las potencias térmicas obtenidas están acordes a ese orden de magnitud, con valores entre 1,66 y 2,2 MWh/ton para los diferentes escenarios simulados. Por su parte, en la mayoría de las instalaciones WtE en EE.UU, la potencia eléctrica específica ronda los 0,55 MW/ ton, alcanzando valores hasta de 0,7 MW/ton en algunas de las instalaciones más modernas y tecnificadas [7]. De acuerdo con los escenarios simulados para el aprovechamiento de RSM en el AMVA, la potencia eléctrica especifica obtenida en los escenarios 1 y 2 se acerca a los rendimientos de las plantas operativas, mientras que para los escenarios 3 y 4 los rendimientos son similares a los reportados para instalaciones más modernas.

De la comparación de los resultados simulados para los 4 escenarios de aprovechamiento de RSM en el AMVA, se destaca que los escenarios 1 y 2 presentan mayor potencia térmica y mayor generación eléctrica que los escenarios 3 y 4, pero a la vez presentan una mayor generación de contaminantes, gases de combustión, cenizas e inquemados, así como un mayor requerimiento de vapor, suponiendo mayores costos de operación. Por su parte, el escenario 3 presenta una mayor potencia térmica y una mayor generación de eléctrica especifica que el escenario 4, a la vez que menor generación de cenizas e inquemados, lo que implica menores costos de disposición. Esto en parte debido a que los RSM alimentados en el escenario 3 poseen un PCI mayor que el escenario 4, pues no considera la alimentación de RSM residenciales que contienen altos niveles de humedad (Tabla 1). De acuerdo con los resultados de las simulaciones, puede concluirse que entre los 4 escenarios contemplados para la gestión de RSM en el ANVA, el escenario 3 representa el más adecuado en caso que las autoridades competentes opten por el aprovechamiento energético de los residuos sólidos municipales en esta región urbana del país.

Conclusiones

Se estructuró un modelo simplificado en el software Aspen Plus para simular el aprovechamiento térmico de residuos sólidos municipales mediante tecnologías WtE. De acuerdo con la comparación entre datos de la literatura y resultados de las simulaciones, puede concluirse que este modelo es apto para estimar flujos de masa y energía, al igual que la potencia eléctrica generada en el proceso WtE. Adicionalmente, dado que las diferencias entre los valores reportados y simulados son suficientemente pequeñas (< 12 %) para diversos parámetros energéticos y flujos comparados, se concluye que el modelo puede usarse como herramienta de análisis para estudios de prefactibilidad en este tipo de plantas de proceso.

El uso del modelo para la simulación de diferentes escenarios de generación y manejo de residuos sólidos municipales en el Valle de Aburrá, permite concluir además que el modelo es útil para estimar importantes datos energéticos para la evaluación o comparación de estrategias relacionadas con el manejo de residuos en zonas urbanas y bajo diferentes condiciones de operación.

Referencias

[1] ONU, Programa para el medio ambiente. Perspectiva de la Gestión de Residuos en América latina y el Caribe. (Internet). Ciudad de Panamá, Panamá; 2018. Disponible en: Disponible en: https://www.unep.org/es/resources/informe/perspectiva-de-la-gestion-de-residuos-en-america-latina-y-el-caribe . Acceso en agosto de 2022. [ Links ]

[2] Superintendencia de Servicios Públicos Domiciliarios. Disposición Anal de residuos sólidos. Informe Nacional 2015. Bogotá, Colombia; 2016. Disponible en: Disponible en: https://www.superservicios.gov.co/sites/default/files/inline-files/informedisposicionfinalano2015-sspd1%20%281%29.pdf . Acceso en Agosto 2022. [ Links ]

[3] Área Metropolitana Valle de Aburrá. Plan de Gestión Integral de Residuos Sólidos (PGIR). Lineamiento estratégico de la gestión regional de residuos sólidos. Disponible en: Disponible en: https://www.metropol.gov.co/ambiental/residuos-solidos/Paginas/plan-de-gestion-integral.aspx?RootFolder=/ambiental/residuos-solidos/plangestionintegral/03_Objetivos_Metas&FolderCTID=0x0120000D70FBE3DFD4C044AD98D679EF2024E3&View=%7BBF93FD0C-0B6B-44E4-BBD3-29B3B8A73493%7D . Acceso en Agosto 2022 [ Links ]

[4] Cardona J. Estudio de Prefactibilidad de una Planta Térmica Waste To Energy (WtE) para el Aprovechamiento de Residuos Sólidos Municipales en el Valle de Aburra (tesis de maestría). Medellín, Colombia: Universidad de Antioquia; 2022. [ Links ]

[5] Empresas Varias de Medellín. EMVARIAS, Grupo EPM. Programa para la Prestación del Servicio Público de Aseo. Colombia; 2015. Disponible en: Disponible en: https://www.emvarias.com.co/LinkClick.aspx?fileticket=Hqo34yCWND0%3D&portalid=1 . Acceso en Agosto 2022. [ Links ]

[6] World Energy Council. World Energy Resources 2016. London, United Kingdom: World Energy Resources; 2016. Disponible en: Disponible en: https://www.worldenergy.org/assets/images/imported/2016/10/World-Energy-Resources-Full-report-2016.10.03.pdf . Acceso en Agosto 2022. [ Links ]

[7] Themelis N, Diaz M, Estevez P, Gaviota A. Guia para la Recuperación de Energía y Materiales de Residuos Columbia University; 2013. Disponible en: https://docplayer.es/52233299-Guia-para-la-recuperacion-de-energia-y-materiales-de-residuos.htmlLinks ]

[8] Departamento Nacional de Planeación. Documento CONPES 3874. Política Nacional para la Gestión De Residuos Sólidos. Colombia: Consejo Nacional de Política Económica y Social; 2016. Disponible en: Disponible en: https://colaboracion.dnp.gov.co/CDT/Conpes/Económicos/3874.pdf Acceso en Agosto 2022. [ Links ]

[9] Deltaway Energy. Waste-to-Energy: How It Works ; 2017. https://deltawayenergy.com/2018/08/waste-to-energy-how-it-works/Links ]

[10] Cimini S, Prisciandaro M, Barba, D. Simulation of a waste incineration process with flue-gas cleaning and heat recovery sections using Aspen Plus. Waste Manage. 2005;25 (2):171-175. doi.org/10.1016/j.wasman.2004.12.005 [ Links ]

[11] Ding G, He B, Cao Y, Wang C, Su L, Duan Z, et al. Process simulation and optimization of municipal solid waste fired power plant with oxygen/carbon dioxide combustion for near zero carbon dioxide emission. Energy Convers. Manag. 2018;157:157-168. doi.org/10.1016/j.enconman.2017.11.087 [ Links ]

[12] Jannelli E, Minutillo M. Simulation of the flue gas cleaning system of an RDF incineration power plant. Waste Manage. 2007;27(5):684-690. doi.org/10.1016/j.wasman.2006.03.017 [ Links ]

[13] Grieco E, Poggio A. Simulation of the influence of flue gas cleaning system on the energetic efficiency of a waste-to-energy plant. Appl Energy. 2009;86(9):1517-1523. doi.org/10.1016/j.apenergy.2008.12.035 [ Links ]

[14] Urbancl D, Zlak J, Anicic B, Trop P, Goricanec D. The evaluation of heat production using municipal biomass co-incineration within a thermal power plant. Energy. 2016;108:140-147. doi.org/10.1016/j.energy.2015.07.064 [ Links ]

[15] Jana K, De S. Biomass integrated combined power plant with post combustion CO2 capture - Performance study by Aspen Plus. Energy Procedia. 2014;54:166-176. doi.org/10.1016/j.egypro.2014.07.260 [ Links ]

[16] Stehlik P, Puchyr R, Oral J. Simulation of processes for thermal treatment of wastes. Waste Manage. 2000;20(5-6):435-442. doi.org/10.1016/S0956-053X(00)00008-8 [ Links ]

[17] Su X, Zhang L, Xiao Y, Sun M, Gao X, Su J. Evaluation of a flue gas cleaning system of a circulating fluidized bed incineration power plant by the analysis of pollutant emissions. Powder Tech. 2015;286:9-15. doi.org/10.1016/j.powtec.2015.07.038 [ Links ]

[18] Barrera R, Salazar C, Pérez J. Thermochemical Equilibrium Model of Synthetic Natural Gas Production from Coal Gasification Using Aspen Plus. IJCE. 2014:192057. doi.org/10.1155/2014/192057 [ Links ]

[19] Departamento Administrativo de la Función Pública Waste-to-Energy: How It Works . Decreto 0838 de 2005. Colombia; 2005. Disponible en: Disponible en: https://www.funcionpublica.gov.co/eva/gestornormativo/norma_pdf.php?i=16123 . Acceso Agosto 2022. [ Links ]

Cita: Barrera Zapata R, Cardona Giraldo JA. Simulación de una planta WtE (Waste to Energy) para la recuperación de energía a partir de residuos sólidos municipales en el Valle de Aburrá. rev. ion. 2022;35(2):71-81. doi:10.18273/revion.v35n2-2022006

Recibido: 25 de Agosto de 2022; Aprobado: 02 de Noviembre de 2022

Creative Commons License Este es un artículo publicado en acceso abierto bajo una licencia Creative Commons