Services on Demand
Journal
Article
Indicators
-
Cited by SciELO -
Access statistics
Related links
-
Cited by Google -
Similars in
SciELO -
Similars in Google
Share
DYNA
Print version ISSN 0012-7353
Dyna rev.fac.nac.minas vol.78 no.169 Medellín Oct. 2011
MODELOS EMPÍRICOS PARA LA PREDICCIÓN DE LA GEOMETRÍA DEL CORDÓN EN SOLDADURAS A TOPE DE UN ACERO INOXIDABLE DÚPLEX 2205
EMPIRICAL EXPRESSION FOR THE PREDICTION OF PENETRATION IN BUTT JOINTS FOR DUPLEX STAINLESS STEEL SAF 2205
MINERVA DORTA ALMENARA
MSc. Profesor, Universidad Simón Bolívar, Venezuela, midorta@usb.ve
JORGE VIDAL
Ing. Materiales. Universidad Simón Bolívar Venezuela, vidal.suarez@hotmail.com
ANTONIO MATEO
PhD., Universitat Politècnica de Catalunya, España
GEMMA FARGAS
PhD., Universitat Politècnica de Catalunya, España
FRANKLIN CAMEJO
Ing. Mecánico. Universidad de Carabobo, Venezuela, fcamejo@uc.edu.ve
Recibido para revisar Marzo 9 de 2011, aceptado Julio 19 de 2011, versión final Julio 26 de 2011
RESUMEN: La presente investigación muestra dos modelos empíricos que permiten predecir la geometría del cordón de soldadura a tope de un acero inoxidable dúplex tipo 2205. Para obtener dichos modelos se empleó una metodología que permite utilizar los parámetros operacionales más importantes de la soldadura, como son: la intensidad de corriente (I), el voltaje (E), la velocidad de pasada (v) y calor aportado (HI). Se realizaron diferentes combinaciones de dichos parámetros para realizar la soldadura por arco sumergido (SAW). A cada muestra se le realizó la medición de la geometría del cordón a través de un barrido de 360° con 38 mediciones para obtener los modelos, los cuales luego fueron validados a través de gráficas de control. Se pudo observar que al aumentar la intensidad de corriente y el calor aportado, aumenta la geometría del cordón, es decir, la penetración, el ancho y la altura, mientras que lo inverso ocurre cuando se incrementa la velocidad de pasada.
PALABRAS CLAVE: SAW, Dúplex, SAF 2205, Modelo Matemático, Geometría y Cordón.
ABSTRACT: This research shows some empirical models to predict the butt geometry of duplex 2205steel weldment. These models consider the most important operational parameters of the weld: current (I), voltage (E), welding speed (v) and heat input (HI). Different combinations of these parameters were applied for the SAW process. The geometry of the weld metal was measured throughout a 360 ° sweep with 38 measurements for each sample. The models were then validated through control charts. It was observed that increasing the intensity of current and heat input, increases the weld bead geometry, penetration, width and height. The opposite occurs with an increase in the welding speed.
KEYWORDS: SAW, Duplex SAF 2205, Mathematical Model, Geometry and Cordon.
1. INTRODUCCIÓN
Los aceros inoxidables dúplex (DSS) representan una alternativa sobre las otras familias de aceros inoxidables, ya que muestran una excelente combinación de propiedades mecánicas y una alta resistencia a la corrosión, tanto generalizada como localizada, en diversos medios, además de una buena soldabilidad. Los DSS son aceros austeno-ferríticos, es decir que poseen una microestructura mixta (a + g ), entre 30-50% ferrita y 70-50% austenita, esto se logra con suficiente cantidad de estabilizadores de la austenita, como lo son el níquel y el nitrógeno [1]. Debido a la combinación de las propiedades antes mencionadas, los DSS son empleados especialmente en la industria química y petroquímica. En éste y otros sectores, los DSS actualmente representan los más fuertes competidores de los aceros inoxidables austeníticos. El acero dúplex 2205 es el tipo de DSS más extendido a nivel comercial. Está básicamente constituido por las fases mayoritarias ferrita y austenita, en proporción aproximada de 50%-50% [2]. Actualmente, los DDS son soldables por métodos de fusión convencionales, pero si se aplica un inadecuado proceso de soldadura son susceptibles a la pérdida del balance de fases mayoritarias y a la formación de fases minoritarias perjudiciales [3], lo cual ocasiona una disminución en las propiedades mecánicas y en la resistencia a la corrosión. De ahí la importancia de encontrar las condiciones de soldadura adecuadas para realizar un proceso óptimo sin detrimento de las propiedades del material ni la calidad de la misma.
Diversos investigadores han estudiado los efectos de los parámetros de soldadura sobre la penetración y la geometría del cordón.
V.K. Goyal, P.K. Ghosh y J.S. Saini (2009) realizaron estudios analíticos sobre el comportamiento térmico y la geometría del charco de soldadura con la técnica P-GMAW. Sus análisis termodinámicos permiten predecir la geometría de la zona de fusión. Los ensayos obtenidos por los autores al igual que los de ésta investigación determinan que las variables del proceso como voltaje, corriente y velocidad, a pesar de relacionarse para expresar el Heat Input, cada una de ellas por si solas tienen un efecto particular en los resultados de las soldaduras. [4]
Chin Hyung Lee y otros investigadores (2009) realizaron un análisis de la influencia de la geometría de la soldadura sobre la resistencia a la fatiga, y han encontrado que pequeñas alteraciones de la geometría producen efectos catastróficos en cuanto a la resistencia a fatiga. [5]
N.Gómez, (2002) estudió la influencia de las variables operacionales; intensidad, voltaje y velocidad de avance, sobre la geometría del cordón y establece un modelo matemático en función de dichas variables. El proceso de soldadura empleado fue el sistema GMAW y se le aplicó a probetas de Acero Inoxidable Dúplex SAF 2205, determinándose que el voltaje es la variable de mayor influencia en la geometría del cordón, siguiendo la intensidad y por último la velocidad de soldadura. [6]
Otras investigaciones, como las de V. Gunaraj y N. Murugan (2000), ratifican los resultados obtenidos por J.Osborn (2000) sobre la optimización y predicción del cordón de soldadura en procesos de arco sumergido, en función del voltaje y la velocidad de pasada; concluyen que la penetración se reduce mientras que la dilución y las dimensiones en el ancho del cordón aumentan al incrementar el voltaje. En relación a la velocidad de pasada, añaden que si ésta se incrementa en forma excesiva, tiene un efecto negativo en todos los parámetros del cordón de soldadura, ya que altas velocidades de soldadura producen una menor deposición de metal en la junta, debido a que hay una menor cantidad de calor suministrado al metal base. [7]
J. Ogborn, The Lincoln Electrical Company (2000) indica que soldaduras en arco sumergido (SAW) realizadas con muy bajas corrientes tienden a generar cordones con poca penetración, mientras que las realizadas con altas intensidades de corriente generan cordones con penetración profunda y altas tasas de dilución y deposición. También a incrementos en el voltaje producen mayores longitudes de arco, trayendo como consecuencias cordones anchos y poco profundos; si este incremento es excesivo puede producir cordones cóncavos tipo sombrero, los cuales tienen baja resistencia al agrietamiento. Voltajes menores tienden a disminuir las longitudes del arco e incrementan la penetración. En cuanto a la velocidad de pasada, si es lenta, el calor suministrado a lo largo de la junta se incrementa, dando como resultado una mayor penetración y cordones más anchos. Por otro lado, altas velocidades de pasada pueden producir cordones agrietados y tendencia a la aparición de defectos como porosidades. [8]
En esta investigación se estudia el proceso de soldadura de tipo SAW en aceros inoxidables dúplex SAF 2205 y se propone un modelo matemático para la estimación de la geometría del cordón de soldadura donde se consideran los parámetros de operación como lo son: la intensidad de corriente, el voltaje y la velocidad del proceso en la geometría del cordón, dado que hasta este momento no se han encontrado referencias de estudios donde se obtengan expresiones que establezcan la influencia de éstos parámetros operacionales en la geometría del cordón de soldadura a tope en este tipo de acero.
2. PROCEDIMIENTO EXPERIMENTAL
El metal base seleccionado para realizar las soldaduras, fue una lámina de acero inoxidable dúplex marca Sandvik SAF 2205, cuya composición química nominal se presenta en la tabla ,la cual cumple con las normas (ASTM A815 y A789). De esta lámina se extrajeron 10 cupones para la realización de las soldaduras con las dimensiones mostradas en la figura 1.
Figura 1. Dimensiones de las probetas para la realización de los cordones de soldadura, cuyo espesor es de 10,3mm.
Para la selección del material de aporte para las soldaduras SAW de los aceros inoxidables dúplex SAF 2205, se consideró la norma AWS 5.22, seleccionándose el electrodo E-ER 2209, marca Sandvik, tipo 22.8.3. L de 2,4 mm de diámetro, cuya composición química nominal se representa en la tabla 1. El fundente empleado fue el Sandvik 15W [10].
Tabla 1. Composición química del acero inoxidable dúplex SAF 2205 (% en peso) y del electrodo ER 2209 (8,9)

Se realizó el proceso de soldadura de juntas a tope, sin abertura entre las caras a unir, por medio de la realización de los cordones de soldadura por la mitad del ancho de los cupones, evitándose así inconvenientes de ajuste. Se soldaron 10 probetas en un equipo SAW variando los valores de voltaje, intensidad y velocidad de soldadura como se muestra en la tabla 2, calibrando la máquina de soldar para cada condición de soldadura.
Tabla 2. Condiciones Experimentales de los parámetros de operación al soldar.

El tipo de soldadura realizada se puede clasificar como soldadura de cordón, en una sola pasada y sin movimientos laterales, de tipo homogénea, debido a que la composición del material de aporte se puede considerar similar al material base y de posición plana donde el metal de soldadura se mantiene en posición por la fuerza de gravedad.
2.1 Mediciones de la Geometría del Cordón y la Penetración
En lo concerniente a las mediciones de la geometría del cordón para cada una de las fotomacrografías, bajo las diferentes condiciones de soldadura, fueron realizadas de la siguiente forma:
- Para cada una de las 10 fotomacrografías obtenidas, se determinó el aumento real mediante la utilización de las divisiones en cada una de las imágenes. Con esta escala se pudo determinar para cualquier dimensión su respectivo tamaño real.
- Se dibujaron sobre una plantilla en papel transparente 36 líneas que realizan un barrido por completo de los 360° en el plano. Este barrido y una fracción de la cantidad de líneas se representan de manera simétrica en la figura 2.
- En tercer lugar, las mediciones se realizaron sobre la distancia lineal existente entre los límites geométricos del cordón y el centro del cordón (para todas las líneas que representan el barrido angular), por lo tanto, las mediciones se realizaron fijando la plantilla sobre las 10 fotomacrografías, resultando por cada fotomacrografía 38 mediciones que por simetría se reducen a 19. Esta reducción por simetría se realizó calculando el promedio de las distancias obtenidas de cada ángulo con su respectivo ángulo opuesto. Las medidas tomada a 0° representa S/2, la medida tomada a 90° representa hc y la tomada a 270° es P.
Figura 2. Esquema de la geometría del cordón y las mediciones realizadas en el área de aportación y en la de penetración.
2.2 Metodología para el análisis estadístico y la realización de los modelos matemáticos.
Para el análisis estadístico de regresión lineal múltiple, se tiene que establecer, en primer lugar, una variable dependiente en función de los parámetros de operación. Esta será, la distancia de soldadura con respecto al centro que se describen en la figura 2, y que delimitan la geometría del cordón de soldadura. Estas distancias incluyen el ancho, la altura y la penetración del cordón.
Luego, se fijan las variables dependientes en función de las variables independientes como lo son el voltaje, la intensidad de corriente y la velocidad de avance en el Modelo Matemático I y el calor aportado para el Modelo Matemático II. Se tiene que estas variables regulan y controlan la geometría completa del cordón de soldadura. De este modo entonces se procede a tomar todas las distancias promedios (19 en total) para cada condición, y junto a los parámetros variables de operación se establece un sistema para el análisis estadístico de regresión lineal múltiple para los Modelos Matemáticos.
En los Modelos Matemáticos cada una de estas distancias representará una función potencial dependiente de los parámetros de operación. Esta función potencial se transformó a una función lineal, lo cual implica que a cada uno de los datos de distancia, de intensidad, de voltaje y velocidad se les aplicó logaritmo base 10, y luego con los datos correspondientes a la variable dependiente y a las variables independientes se utilizó un programa estadístico para los análisis de regresión lineal múltiple, donde luego de los análisis estadísticos se obtienen 19 funciones potenciales que determinan la geometría del cordón de soldadura dependientes de los tres parámetros de operación (intensidad, voltaje y velocidad). El Modelo Matemático I para determinar la geometría del cordón de soldadura, se establece con las ecuaciones matemáticas obtenidas por los análisis estadísticos realizados, ecuaciones que determinan la geometría del cordón para cualquier condición de variación de los tres parámetros operacionales como los son el voltaje, la intensidad de corriente y la velocidad de soldadura.
Mediante la utilización del método de regresión polinomial contenido en el programa Minitab Statistical se analizó la relación entre todas las distancias promedios que describen la geometría del cordón del proceso SAW. Las ecuaciones resultantes con sus respectivos gráficos, son producto de todos los valores medidos de cada una de las muestras que representan las 10 condiciones y del posterior análisis que permitió obtener las ecuaciones matemáticas polinomiales que se aplicaron al modelo. Al emplear todas estas ecuaciones en una hoja de cálculo de Excel y graficarlas, permite determinar la geometría del cordón de soldadura ya que cada uno de los puntos cartesianos es dependiente del ángulo que define a cada función, que a su vez depende de los valores de HI.
3. RESULTADOS Y DISCUSIÓN
Para obtener un análisis de la influencia de los parámetros de operación en la geometría del cordón de soldadura, se tomaron las dimensiones de mayor importancia en el área de soldadura que son: el ancho, la altura y la penetración del cordón; por lo cual, se presentan los análisis de gráficos que implican el estudio de cada variable operacional sobre estos parámetros geométricos. Entre las variables operacionales se tiene la intensidad de corriente y la velocidad de soldadura, que por medio de 10 condiciones se establecen las combinaciones mínimas necesarias para verificar el efecto de cada una de las variables operacionales sobre la geometría del cordón. Esto se logra cuando las otras variables operacionales se mantienen constantes o cuando su variación es mínima.
Inicialmente, se tiene la influencia de la intensidad de corriente sobre los tres parámetros geométricos estudiados como lo son: el ancho del cordón (S/2), la altura del cordón (hc) y la penetración del cordón en el metal base (P). En las figuras de la 3 a la 5, se muestra el comportamiento de los parámetros geométricos en función de la variación de la intensidad de corriente. En ellos se observa que los tres parámetros varían de manera directamente proporcional a la intensidad, es decir, un incremento de la intensidad de corriente implica un aumento del ancho, la altura y la penetración del cordón. Esto se puede explicar, dado que los aumentos en la intensidad de corriente implican una mayor fusión y deposición del material de aporte del electrodo, además de una mayor fusión del material base debido a que aumenta el calor aportado, ampliándose el ancho del área de aporte.
Figura 3. Efecto de la intensidad de corriente sobre el ancho del condón.
Figura 4. Efecto de la intensidad de corriente sobre la altura del cordón.
Figura 5. Efecto de la intensidad de corriente sobre la penetración de la soldadura.
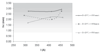
Luego, se tiene la influencia de la velocidad de soldadura sobre los tres parámetros geométricos como el ancho (S/2), la altura (hc) y la penetración del cordón (p), donde la intensidad de corriente se mantiene constante para poder estudiar el efecto de la variación de la velocidad en los siguientes casos: I=450A, I= 400A e I=300A, situaciones que se muestran en los gráficos de las figuras 6 a la 8 respectivamente.
Figura 6. Efecto de la velocidad de la soldadura sobre el ancho del cordón.
Figura 7. Efecto de la velocidad de la soldadura sobre la altura del cordón.
Figura 8. Efecto de la velocidad de la soldadura sobre la penetración de la soldadura.
Las figuras de la 6 a la 8, evidencian en líneas generales que la geometría del cordón (S/2, hc y p) es inversamente proporcional a la velocidad de pasada, es decir aumentos en la velocidad traen como consecuencia una disminución en la cantidad de calor por unidad de longitud aportado a la soldadura, reduciendo la deposición de material de aporte del electrodo y por consiguiente una disminución del ancho y la altura; al mismo tiempo disminuye la fusión del metal base produciendo una menor penetración en la soldadura.
Las figuras de la 9 a la 11, muestran la relación existente entre la cantidad de calor aportado y la geometría del cordón.
Figura 9. Efecto del calor aportado sobre el ancho del cordón. Línea de tendencia polinomial.
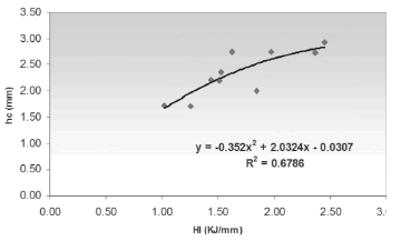
Figura 10. Efecto del calor aportado sobre la altura del cordón. Línea de tendencia polinomial.
Figura 11. Efecto del calor aportado sobre la penetración de la soldadura. Línea de tendencia polinomial.
Nótese en las figuras de la 9 a la 11, que mayores valores de HI, tanto el ancho, la altura y la penetración aumentan, lo cual demuestra que la geometría del cordón es directamente proporcional a la cantidad de calor aportado a la soldadura, y al ser este último directamente proporcional al voltaje y la intensidad e inversamente proporcional a la velocidad, se puede realizar una analogía, por las circunstancias ya analizadas, del por qué aumentan las dimensiones del cordón a medida que se incrementa la cantidad de calor aportado.
3.1 Expresiones Matemáticas que predicen la penetración
Los resultados obtenidos fueron analizados siguiendo el método de lineal de regresión múltiple. En cuanto a los coeficientes de determinación, R2, R2adj, permiten evaluar la idoneidad del modelo, siendo el valor ideal igual a 1. La expresión resultante se muestra a continuación, como Eq.1. La ecuación uno tiene valores de R2= 0,8216 y Radj2= 0,7324
![]()
Donde:
P: Penetración (mm)
I: Intensidad de corriente (A).
E: Voltaje (V)
v: Velocidad (mm/min)
En la figura 12 se muestra el gráfico de los residuos estándares correspondientes al Modelo Matemático I obtenido. Los gráficos de residuos estándares vs. el pronóstico de la variable dependiente. Son diagramas de control que permiten detectar desviaciones sistemáticas de las hipótesis, permitiendo conocer la confiabilidad del ajuste que se obtiene mediante la regresión lineal múltiple. Se considera que un ajuste es confiable cuando la dispersión de los residuales estándares se encuentra distribuida uniformemente a lo largo de la línea de desviación cero y están dentro de los límites máximos permitidos (±3) [12].
Figura 12. Gráfico de Residuales correspondiente a la ecuación de penetración:
Analizando la gráfica de residuales presentada en la figura 12 se evidencia que los valores de los residuales estándares para ninguna ecuación sobrepasan los límites máximos permitidos, además están distribuidos uniformemente a lo largo de la línea de desviación cero, por lo que permite asegurar que la predicción de la geometría del cordón en base a este modelo es confiable. En la figura 13 se observa la pequeña desviación que se obtiene cuando se comparan los valores calculado por el modelo en correspondencia con los valores medidos haciéndose más significativa para valores superiores a 0,5.
![]()
Figura 13. Comparación de los valores Z(270º) medidos y calculados por el modelo.
3.2 Expresiones Matemáticas que representan el comportamiento de la geometría del cordón según el modelo I
Mediante la utilización del método de regresión lineal múltiple, se analizó la relación entre todas las distancias promedios que describen la geometría del cordón con las variables operacionales del proceso SAW. Las ecuaciones resultantes con sus respectivos gráficos residuales son producto de todos los valores medidos de cada una de las muestras que representan las 10 condiciones y del posterior análisis estadístico que permitió obtener las ecuaciones matemáticas que se aplicaron al modelo (ver tabla 3).
Tabla 3. Expresiones matemáticas empleadas en la predicción de la geometría del cordón. Modelo I.

La combinación de todas las ecuaciones permite establecer un modelo para la determinación de la geometría del cordón de soldadura.
Haciendo uso del enfoque visual se puede establecer un gráfico dinámico, donde se observa el cambio que se produce en la geometría del cordón de soldadura al variar los valores de E, I y v. En la figura 14 se muestra un ejemplo donde se tiene que para una combinación de los parámetros de operación, siempre que estén dentro de un rango determinado, es posible predecir la geometría de cordón para esas condiciones.
Figura 14. Ejemplo del contorno obtenido con Modelo Matemático I para la predicción de la Geometría del Cordón de un acero Dúplex SAF 2205 soldado por SAW, HI de 2,45kJ/mm.
3.3 Expresiones Matemáticas que representan el comportamiento de la geometría del cordón según el modelo II
A continuación en la tabla 4 se muestran las ecuaciones aplicadas en el “Modelo II" en función de la variable: HI (kJ/mm)
Tabla 4. Expresiones matemáticas empleadas en la predicción de la geometría del cordón. Modelo II.

Las ecuaciones presentadas en la tabla 4, representan el comportamiento de las principales variables que definen la geometría del cordón. Por medio de las líneas de tendencia polinomiales, es posible verificar que a medida que se incrementa el calor aportado en la soldadura aumentan las dimensiones del cordón.
Existen diferentes criterios estadísticos para evaluar que tan adecuada es la ecuación de predicción obtenida. Una medida comúnmente usada es el coeficiente de correlación múltiple R, el cual trata sólo de la asociación entre las variables en estudio. Un coeficiente de correlación alto demuestra la existencia de una estrecha relación matemática entre las variables, por otro lado, un coeficiente de correlación bajo significa que la variable independiente no influye en la cantidad medida, o que es posible que existan otros factores que anulan el efecto que ejerce la variable independiente sobre la dependiente [13]. En estas ecuaciones del modelo II puede considerarse que los coeficientes de correlación múltiple R son relativamente altos, con valores que van desde 66,9% hasta 89,1%, lo que muestra que la variable en estudio influye sobre la geometría del cordón. El valor ideal del coeficiente de correlación es igual al 100%.
Los valores de los parámetros geométricos de ambos modelos son bastante exactos y precisos en relación al valor real medido. A su vez, al comparar los resultados de penetración, altura y ancho del cordón de cada modelo se puede observar que arrojan valores muy cercanos, mostrando una diferencia no mayor al 4,6 %, lo que evidencia más aún que cualquiera de los dos modelos obtenidos es adecuado para la predicción de los parámetros geométricos de soldaduras de acero inoxidable dúplex SAF 2205 mediante el proceso SAW.
Es importante destacar que estos modelos permiten predecir la geometría del cordón, y por consiguiente se podrían realizar cálculos sencillos para establecer la composición química de la zona de fusión y así los porcentajes de fases presentes, mediante el empleo de diagramas de fases, sin comprometer la sanidad de la soldadura.
Los modelos diseñados permiten establecer una aproximación de la composición química general, pero al no estar discriminada por porcentajes de fases, se debe realizar un apropiado análisis de los resultados obtenidos.
3.4 Evaluación Microestructural
La figura 16 hace una comparación de la microestructura de las probetas 8 y 9 según la numeración de la tabla 1, se puede observar la marcada diferencia morfológica entre las condiciones con HI 1,52 y 1,62. Para ambas condiciones se muestra la zona superior del cordón (figura 16.a y 16.d), la región central de la zona de fusión (figura 16.b y 16.e) y la región inferior del cordón en la que se aprecian las tres zonas relacionadas a la soldadura (figura 16.c y 16.f). La muestra con HI 1,52 presenta una microestructura que se presume es austenítica sobre la base de su morfología y composición química obtenida mediante EDS (Energy Dispersive Spectroscopy), esta condición aumenta el porcentaje de austenita en la zona de fusión trayendo consigo una variación significativa en la relación de áreas anódica y catódica en la probeta, lo cual es desfavorable para la ferrita. Por su parte la condición con HI 1,62 presentó una morfología columnar dendrítica de austenita con ramificaciones Widmastätten en una matriz ferrítica en toda la zona de fusión y el porcentaje de fases presentes en esta zona es similar al del metal base, por lo tanto la relación de áreas anódica y catódica no es desfavorable para la ferrita. [13].
Figura 16. Fotomicrografias de la zona de fusión con las condiciones de HI 1,52 y 1,62; a) 50X; b) 200X; c-f) 50X. Muestras atacadas electrolíticamente con NaOH 20% y 3V por 40 s.
Dado que la condición con HI de 1,52 tiene un voltaje de 34,1 voltios y la de HI de 1,62 un voltaje de 25,5 voltios, se presume que estas variaciones en las fases se deben a las diferencias en el voltaje empleado en la soldadura, pues la magnitud del voltaje puede generar inestabilidad en el arco eléctrico produciendo estos cambios morfológicos y obteniéndose que valores de voltaje elevados favorecen la formación de austenita en la zona de fusión.
4. CONCLUSIONES
A partir de las soldaduras de juntas a tope realizadas al acero inoxidable dúplex SAF 2205 para todas las condiciones establecidas, se pueden extraer las siguientes conclusiones:
- Para todos los casos de estudio se observó que el ancho, la altura y la penetración del cordón disminuyen al aumentar la velocidad de pasada, por el contrario, el tamaño del cordón es directamente proporcional a la intensidad de corriente.
- Al aumentar el calor aportado o de entrada se obtiene un aumento en todos parámetros geométricos de las soldaduras, manifestándose en un aumento en el área de los cordones. La geometría del cordón es directamente proporcional al calor aportado (HI).
- La variable operacional más influyente en la variación de la geometría del cordón es la corriente, mientras que el voltaje tiene mayor influencia en cuanto a la morfología microestructural obtenida en el cordón favoreciendo la formación de austenita.
- Los modelos matemáticos desarrollados para predecir las dimensiones del cordón de soldadura en función de las variables operacionales son adecuados, debido a la pequeña desviación obtenida para cada caso.
- Los valores de los parámetros geométricos obtenidos con los dos modelos desarrollados son exactos con respecto a los valores reales y a su vez muestran poca diferencia entre ellos.
- Estos modelos no predicen el porcentaje de fases final. Los valores de composición química obtenidos mediante la utilización de los modelos matemáticos consideran la zona de fusión como un todo sin hacer discriminación de los porcentajes de fases, lo cual es de suma importancia cuando se realizan estudios de resistencia a la corrosión y propiedades mecánicas.
NOMENCLATURA

5. REFERENCIAS
[1] Asm Specialty Handbook, Stainless Steels, ASM International, USA, pp 32-34, 341-390, 483-485, 842-905, 1994. [ Links ]
[2] Alferez. W, Propiedades, fabricación y aplicación de los aceros inoxidables dúplex. Revista del Capítulo de Ingeniería Metalúrgica Colegio de Ingenieros del Perú, Perú, pp. 12-16, 2006. [ Links ]
[3] Castro. J, Soldabilidad de los aceros inoxidables dúplex. Revista del Capítulo de Ingeniería Metalúrgica Colegio de Ingenieros del Perú, Perú, pp. 17-22, 2006. [ Links ]
[4] Goyal V.K., Analytical studies on termal Behavior and geometry of weld pool in pulsed current gas metal arc welding. Journal of Materials Processing Technology, 209, pp. 1318-1336, 2009. [ Links ]
[5] Chin-Hyung L., Effect of Weld geometry on the fatigue life of non-load-carrying fillet welded cruciform joints. Engineering Failure Analysis 16, pp 849-855, 2009. [ Links ]
[6] Gómez. N., Modelo para la determinación de la geometría del cordón e influencia de los parámetros de operación en soldaduras de aceros inoxidables dúplex SAF 2205. USB, Venezuela, pp 32-35, 2002. [ Links ]
[7] Gunaraj. V. y Murugan. N., Prediction and Optimization of Weld Bead Volume for the Submerged Arc Process Part 1. Research/Development, India, pp. 286,287,290,291,294, 2000. [ Links ]
[8] Lincoln Electric Company, Submerged Arc Welding", ASM Handbook Welding, ASM International, USA, Pp 204- 209. (2000). [ Links ]
[9] Sandvik, Duplex Stainless Steels, Sweden, 2002. [ Links ]
[10] Sandvik, Guía para soldar fácilmente aceros inoxidables Dúplex, Sweden, 2000. [ Links ]
[11] Jonson. R., Probabilidad y Estadística para Ingenieros de Miller y Freund. Quinta edición, Prentice Hall, México, pp. 330-386, 1997. [ Links ]
[12] Galezo. H., Payares C., Model Program for Duplex Stainless Steel SAF 2205.Versión 1.0, USB, Venezuela. [ Links ]
[13] Ramazan K., Effect of solidification mode and morphology of the microstructure on the hydrogen content of dúplex stainless steel weld metal. Materials & Design. ELSEVIER. Turkey, pp 1-8, 2003. [ Links ]












