Services on Demand
Journal
Article
Indicators
-
Cited by SciELO -
Access statistics
Related links
-
Cited by Google -
Similars in
SciELO -
Similars in Google
Share
Boletín de Geología
Print version ISSN 0120-0283On-line version ISSN 2145-8553
bol.geol. vol.30 no.2 Bucaramanga July/Dec. 2008
ROCAS CON AFINIDAD ADAKITICA AL SUR-ESTE DE
MANIZALES: RASGOS PETROGENETICOS Y GEOQUIMICOS
Luz Mary Toro Toro1; Mauricio Alvarán-Echeverri1; Carlos Alberto Borrero-Peña1
1 Departamento de Ciencias Geológicas, Universidad de Caldas. Correo electrónico Zmtoro21@yahoo.com - mauricio_alvaran@ucaldas.edu.co, borrero_c@yahoo.com
RESÚMEN
Al sureste de la ciudad de Manizales, en el sector de Gallinazo, se presentan una serie de cerros alineados: Gallinazo, Amazonas, Sabinas, La Oliva y La Negra, correspondientes a rocas volcánicas y sub-volcánicas de composición andesítica y dacítica respectivamente, con características geoquímicas similares a las de rocas adakíticas. Ambos tipos de rocas tienen altos contenidos de SiO2 (63,87– 70,15%) y Al2O3 (14,18–16,83%), bajos contenidos en Y (11,20–27 ppm) e Yb (0,94–1,93 ppm), fuerte enriquecimiento en tierras raras livianas (LREE) y en elementos altamente incompatibles (Rb, Ba), con excepción del Sr, el cual presenta bajo contenido, y anomalía negativa de Nb-Ta, características que de igual manera distinguen a los magmas calcoalcalinos. En general, los patrones de tierras raras y multielementos son muestran un fuerte fraccionamiento ((La/Yb)N>8) con los típicos bajos contenidos de (Yb ≤ 1.8 ppm, Y ≤ 18 ppm).
Se propone que estas rocas con signatura adakítica fueron generadas por la fusión de la placa subducida de composición basáltica y con una leve participación de cuña mantélica. El origen y las características geoquímicas de estas rocas abre la posibilidad de encontrar mineralizaciones de tipo pórfido con Au-Cu y epitermales de Au en la zona debido a su potencial áltamente oxidante.
Palabras clave: adakitas, subducción, rocas volcánicas, Manizales, Colombia
ADAKITE-LIKE ROCKS AT THE SOUTH-EAST OF MANIZALES:
PETROGENETIC AND GEOCHEMICAL CHARACTERISTICS
ABSTRACT
To the southeast of Manizales city, in Gallinazo area, there are a series of aligned hills such as: Gallinazo, Amazonas, Sabinas, La Oliva and La Negra, corresponding to volcanic and sub-volcanic rocks of andesitic and dacitic composition respectively, geochemical data present characteristic of adakitic rocks.
Both, volcanic and sub-volcanic rocks presents high SiO2 concentration (63,87-70,15%), Al2O3 (14,18-16,83%), low Y concentration (11,20-27 ppm) and Yb (0,94-1,93 ppm); strong enrichment in Light Rare Earth Elements(LREE) and highly incompatible elements (Rb, Ba), except for Sr which presents low contents and negative anomaly of Nb-Ta, characteristic that distinguish also the calcoalkaline magmas. Geochemical pattern of LREE and multielements show a strong fractionation ((La/Yb)n>8) with typical low content of (Yb ≤ 1.8 ppm , Y ≤ 18 ppm).
In this work authors propose SE Manizales adakita-like rocks were generated by subducted basaltic slab melting with some minimum peridotitic mantelic wedge contamination. Genesis and geochemical characteristics of these rocks open the possibility to find Au-Cu porphyry mineralizations and epithermal gold deposits in this area due to their highly oxidixing potential.
Key words: adakita-like rocks, subduction, volcanic rocks, Manizales, Colombia
INTRODUCCIÓN
En el modelamiento y trabajos experimentales relacionados con la génesis de magmas calco-alcalinos en zonas de subducción, los procesos de fusión parcial de la corteza oceánica subducida ofrecen una explicación adecuada para la génesis de estos magmas, cuyas principale s características son el enriquecimiento en elementos litófilos de ion grande (LILE, e.g. Ba, K), Th, U y elementos de tierras raras ligeras (LREE) sobre los de alto potencial iónico (HSFE, e.g., Nb, Ti) y tierras raras pesadas (HREE) (e.g. Bourdon et al., 2002) .
Pero, al mismo tiempo, un tipo peculiar de rocas orogénicas fue reconocido, primero en la isla Adak (Archipiélago de Las Aleutianas, Kay, 1978 en Bourdon et al., 2002). Estas rocas, denominadas “adakitas” por Defant & Drummond (1990), cuyo número de localidades donde son descritas aumenta día a día, especialmente en las rocas volcánicas recientes de la Zona Volcánica Norte de los Andes (NVZ, Bourdon et al., 2002) están caracterizadas por SiO2> 56%, bajo contenido de K2O, alto contenido de Al2O3 (>15% Al2O3 a 70% SiO2), alto contenido de Na2O y Sr (>400 ppm) y muy bajos contenidos de Y y HREE (Hidalgo et al , 2007). Estas características geoquímicas son congruentes con un origen a partir de fundidos derivados de una corteza oceánica subducida durante un periodo de subducción con condiciones geométricas cambiantes que permitieran su fusión (Gómez-Tuena et al., 2005), y por lo tanto no pueden seguir siendo consideradas como un fenómeno aislado en el vulcanismo de arco.
El objetivo de este trabajo es presentar las características petrográficas y geoquímicas de un conjunto de cuerpos volcánicos y subvolcánicos aflorantes en el centrooccidente de la Cordillera Central, al sureste de la ciudad de Manizales, Colombia (FIGURA 1), en los cerros Gallinazo, Amazonas, La Oliva, Sabinas y La Negra, en predios de reserva especial de la Central Hidroeléctrica de Caldas (CHEC). Este grupo de productos efusivos están relacionados genética y estructuralmente a la etapa constructiva inicial del Volcán Nevado del Ruiz, denominada Ruiz Ancestral, de edad Plioceno Tardío – Pleistoceno Temprano (Thouret et al., 1990; Borrero et al., 2008).
Comparando la geoquímica de estas rocas con la ya descrita en el volcanismo de arco ecuatoriano, como la del volcán Antisana (Bourdon et al., 2002), el complejo volcánico Cayambe (Samaniego et al., 2005) y el complejo volcánico Ilinaza (Hidalgo et al., 2007), se sugiere que la génesis de los magmas estuvo fuertemente influenciado por los fundidos silicatados derivados de la fusión parcial de una corteza oceánica subducida caliente. Esto conllevaría a considerar la importancia de este evento magmático en el marco de la evolución tectónica y vulcanológica de la región.
CONTEXTO GEOLÓGICO Y ESTRATIGRÁFICO
Las rocas del basamento que afloran en la zona de estudio (FIGURA 1) corresponden a: el Complejo Cajamarca, de edad paleozoica (Cuellar et al., 2003) que forman una secuencia de esquistos cuarzo-sericíticos y grafitosos, filitas verdes y cuarcitas; la Milonita Granítica del Guacaica, de edad triásica (Cuellar et al., 2003), de composición monzogranítica; y la Granodiorita de Manizales del Cretácico Tardío - Paleógeno (Aguirre y López, 2003). Las rocas volcánicas y sub-volcánicas estudiadas en el presente trabajo (Plioceno Tardío – Pleistoceno temprano, Borrero et al., 2008) cortan las rocas del Complejo Cajamarca y se presentan alineados en general en sentido NW-SE. Su distribución está controlada por el sistema de fallas Villa María – Termales con una dirección N75°W (Jaramillo y González, 2002, Borrero et al., 2008, FIGURA 1). Flujos de escombros y depósitos piroclásticos (Qt) se encuentran suprayaciendo las rocas volcánicas.
La tectónica de esta zona es compleja, con fallas activas que la atraviesan de este a oeste y de norte a sur. Los drenajes están controlados estructuralmente por fallas, fracturas, foliación y diaclasas; este fallamiento facilitó el emplazamiento de cuerpos volcánicos (Montoya y Torres, 2005)..
La zona de Gallinazo comprende dos dominios estructurales principales, donde se evidencian fallas con tendencia general NNE pertenecientes al sistema de fallas de Romeral que comprende las fallas Mangabonita con tendencia N-S, definida por Aguirre y López (2003) como una falla inversa dextro-lateral, con rumbo N5ºE y una longitud de 25 km, la cual pone en contacto rocas esquistosas del Complejo Cajamarca con la Milonita Granítica del Guacaica. La falla Villamaría-Termales, con tendencia N75ºW (González y Jaramillo, 2002), presenta una serie de centros volcánicos a lo largo de su traza tales como: domo San Cancio, Cerro Tesorito, Cerro Gallinazo y lavas de Lusitania.
MÉTODOS DE ESTUDIO
Diez muestras de roca fueron recolectadas y ubicadas mediante GPS (Garmin GPSMAP 60CSx) para análisis petrográficos y geoquímicos. Los estudios petrográficos se realizaron en los laboratorios de Petrología y Yacimientos Minerales del Departamento de Ciencias Geológicas de la Facultad de Ciencias Exactas y Naturales de la Universidad de Caldas.
Los análisis geoquímicos de elementos mayores, traza y tierras raras se realizaron en el laboratorio ACME (ANALYTICAL LABORATORIES LTD, VANCOUVER BC, Canadá). La concentración de los elementos mayores se determinó mediante fluorescencia de rayos X (XRF), mientras que la abundancia de elementos traza se estableció por espectrometría de masas mediante plasma acoplado (ICP-MS) (TABLA 1). Los minerales de alteración se determinaron mediante análisis petrográficos y difracción de rayos X (DRX) en Ingeominas, Cali.
PETROGRAFIA –METALOGRAFÍA DE LAS ROCAS SUBVOLCÁNICAS -VOLCANICAS
Las rocas sub-volcánicas son cuerpos porfiríticos, con fenocristales de color gris claro, casi siempre alterados, en una masa fundamental afanítica y se encuentran intruyendo a las rocas metamórficas. Los fenocristales (15-20%) son esencialmente de plagioclasa, hornblenda y cuarzo. Microscópicamente corresponden a texturas inequigranulares, porfiríticas, compuestas por fenocristales que varían entre 0,5 y 2 mm. Las plagioclasas tienen formas euhedrales a subhedrales, están zonadas y macladas según ley de Albita, Periclina y combinadas. Algunos fenocristales de plagioclasa son poiquilíticos con inclusiones de pirita y hematites; en ocasiones presentan fracturación. La gran mayoría de los fenocristales de plagioclasa se presentan desde parcial a totalmente alterados a carbonatos, epidota, clorita y mica blanca.
El cuarzo está en menor porcentaje, con formas desde sub a anhedrales, texturas generalmente en bahías y extinción ondulosa. La masa fundamental es microgranular felsofírica compuesta por cuarzo, feldespatos y minerales opacos. Se observa también sericita; como minerales accesorios están el apatito y minerales opacos (pirita, marcasita y calcopirita). Estas rocas fueron clasificadas como dacitas porfiríticas.
Las rocas volcánicas corresponden a lavas de color gris y aspecto vítreo, ubicadas en la parte superior de las rocas subvolcánicas. Son rocas con textura porfirítica (fenocristales de plagioclasa, hornblenda , biotita y cuarzo), y masa fundamental vítrea de color gris claro. Microscópicamente presentan texturas porfiríticas constituidas por fenocristales de plagioclasa, hornblenda, biotita y cuarzo en una masa fundamental hialocristalina de tipo hialofítica, y con presencia de cracks perlíticos en una masa de vidrio volcánico de color pardo. (FIGURA 2a). Los fenocristales de plagioclasa, con tamaños hasta de 2mm, tienen forman euhedrales a subhedrales, hábito tabular a prismático y están frecuentemente zonados, presentando macla de Carsbald, Periclina y polisintética. Su composición varía desde el límite andesina-labradorita hasta andesina (determinación mediante métodos ópticos), siendo frecuente la presencia de bordes de reabsorción y texturas sieve. Estas rocas fueron clasificadas como andesitas y dacitas.
Las rocas sub-volcánicas (dacitas porfiríticas) presentan mineralización diseminada y en vetillas de sulfuros: pirita (2-10%), marcasita (5-8%) y calcopirita (<1%) y óxidos principalmente hematites (5-7%) y magnetita en poca cantidad. La pirita se observa diseminada y en venillas muy delgadas, muy fracturada, con cristales subhedrales a anhedrales, algunos con forma esqueletal y tamaños que varían entre 0.5 mm hasta 2 mm. Se asocia comúnmente a marcasita, calcopirita y hematites. Se encuentran algunos cristales pequeños incluidos en cuarzo y en plagioclasa (FIGURA 2b). La marcasita se presenta como cristales alargados astillosos (anhedrales) con maclas polisintéticas, es común encontrarla rellenando venillas. La calcopirita se presenta en poca cantidad, usualmente <1%, en cristales anhedrales, asociada a pirita y a hematites. La hematites se presenta en cristales predominantemente anhedrales (alargados) en forma diseminada, variando entre 5-8% y como inclusiones en pirita, la magnetita se encuentra en poca cantidad (<0.5%), usualmente como inclusión en cristales de pirita. El oro no fue observado en sección delgada pulida.
GEOQUIMICA
Los datos geoquímicos disponibles (TABLA 1) incluyen básicamente elementos mayores, trazas y tierras raras de rocas volcánicas y subvolcánicas pertenecientes a los cerros Gallinazo, Amazonas, Sabinas, La Oliva y La Negra.
Para la clasificación geoquímica de las rocas del SE de Manizales, se utilizó el diagrama TAS, de Le Maitre (1989), donde se puede observar que las muestras analizadas se ubican en los campos correspondientes a las andesitas y dacitas; y adicionalmente se utilizó el diagrama de (Perecillo et al. 1976) de K2O versus SiO2 , en el que se puede apreciar que las muestras pertenecen a la serie subalcalina, principalmente en la zona media de potasio (FIGURA 3a-3b). En el diagrama AFM (FIGURA 3c) se observa un diseño característico de una evolución de un magma calcoalcalino cuyos productos más evolucionados serían las dacitas.
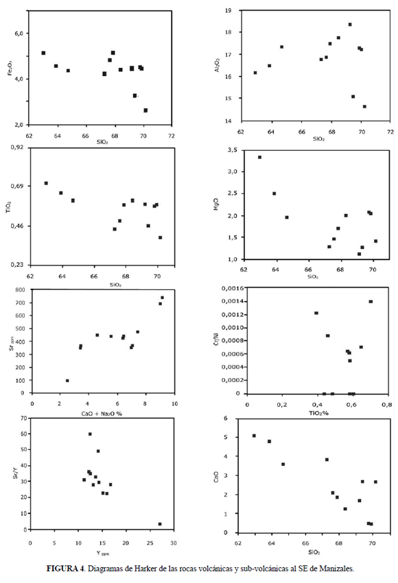
Las correlaciones observadas en los diagramas de Harker muestran un decrecimiento generalizado de Fe2O3, MgO, TiO2 y CaO con el incremento de SiO2. El Al2O3 no presenta una tendencia definida, con los valores más altos en las rocas sub-volcánicas, como es típico en las rocas de la Zona Volcánica Norte (Bryant et al., 2006) (FIGURA 4). Contenidos de K2O (1,20 a 3,15%) y razones Na2O/ K2O mucho más altos (< 3,5%) que los contenidos típicos de adakitas (K2O < 1,5%) y (Na2O/ K2O < 2,5%) (Bourdon et al., 2002).
Inicialmente las rocas del SE de Manizales y de algunos volcanes del Ecuador tales como: el volcán Antisana e Illiniza, fueron normalizados con respecto a las concentraciones de elementos de tierras raras (REE) en la condrita, según Nakamura (1974).(FIGURA 5a) mostrando patrones enriquecidos en tierras raras ligeras (LREE) hasta 100 veces con respecto a ésta, ausencia de anomalía de Eu y un patrón casi plano para las tierras raras pesadas (HREE), comportamiento típico de rocas generadas en zonas de subducción. En este diagrama es clara la similitud entre rocas volcánicas y subvolcánicas.
Abundancia de elementos traza muestra alto Sr (348 -739 ppm) y bajos contenidos en Y( 11-16 ppm), Cr (0,01-0,02 %), Ni (8-16 ppm) , y una razón baja de Sr/Y (23-60). Adicionalmente, los diagramas multielementos, normalizados a los basaltos de cresta oceánica (MORB) según Sun &McDonough (1989) muestran enriquecimiento en elementos altamente incompatibles (Rb, Ba), con excepción del Sr, el cual presenta bajo contenido, y anomalía negativa de Nb- Ta, características que de igual manera distinguen a los magmas calcoalcalinos. (FIGURA 5b). En general los patrones de tierras raras y multielementos son semejantes a las adakitas altas en sílice (HSA) que referencia Martin et al. (2005), las cuales muestran un fuerte fraccionamiento ((La/Yb)N >8) con los típicos bajos contenidos de (Yb ≤ 1.8 ppm, Y ≤ 18ppm).
ADAKITAS
El término adakita (Defant y Drummond, 1990) es usado para referirse a una roca volcánica especial, cuya localidad tipo corresponde a la Isla de Adak en las islas Aleutianas en la región boreal de Norte América, donde fueron reportadas por Kay (1978 en Bourdon et al., 2002). Para Castillo (2006) adakita cubre un rango de rocas de arco variando desde aquellas que incluyen fundido de corteza oceánica subducente (prístina) hasta las que incluyen un fundido hibrido de adakitaperidotita.
Los magmas adakíticos se generan en márgenes convergentes activas (Atherton y Petford, 1993). Defant y Drummond (1990) interpretan los magmas adakíticos como derivados de fusión parcial de una corteza oceánica subducida joven y caliente (< 20 M.a.) que se extiende hasta la zona de transición anfibolita-eclogita. Otros modelos plantean la generación de los magmas como fusión parcial de corteza inferior máfica engrosada (Atherton y Petford, 1993), o por fusión parcial por delaminación cortical de corteza continental inferior (Xu et al., 2005) y/o fusión parcial subcortical basáltica (Rapp et al. 2002). Las características geoquímicas que definen a las rocas adakiticas según Defant y Drummond (1990) y Martin (1999) son contenidos altos de SiO2 >56%, Al2O3 ≥ 15%, altos contenidos (3.5 < Na2O < 7.5 % wt.), MgO < 3%, y bajas relaciones (K2O/Na2O ~ 0.42), contenido alto de Sr (>300 ppm) y bajos contenidos en tierras raras pesadas (Yb ≤ 1.8 ppm) e Y≤18 ppm.
En los últimos años se ha reconocido la presencia de rocas con signatura adakítica en diversos segmentos de los Andes, las que han cobrado importancia por su potencial relación con grandes yacimientos minerales (e.g., Kay y Mpodozis, 2001, Oyarzún et al. 2001, 2002) Rocas volcánicas descritas como adakitas se han reconocido en los Andes septentrionales de Ecuador (Gutscher et al. 1999, 2000; Beate et al. 2001, Bourdon et al. 1999, 2002, Samaniego et al., 2005; Hidalgo et al., 2007).
Las rocas volcánicas encontradas en el SE de Manizales presentan características adakíticas tales como contenidos de SiO2 (62,96 -70.15%), Al2O3 (14,8-16,7%), bajos contenidos en MgO (1.12-3,33%), Y (11-16ppm) y Yb (0.9-1.93 ppm) y razón baja de Sr/Y (23-60) y La/Yb (12- 19). Otra característica típica está dada por sus diseños de tierras raras (FIGURA 5a), los que están caracterizados por una pendiente total empinada con relaciones ((La/Yb)N ≤ 8) y por sus diseños de tierras raras pesadas, (Sm/Yb = 1,89 a 3,78); contenido bajo de tierras raras pesadas (Yb=0,94–1,51); una anomalía de Europio pequeña o inexistente (Eu/Eu* < 0,8) y relaciones de La/Ce relativamente bajas (0,46-0,54). Una característica distintiva de las adakitas es su proyección en los diagramas de discriminación de (Sr/Y) vs (Y) y (La/Yb)N vs (Y)N (Defant y Drummond, 1990 y Martin 1987,1999), en los que las rocas de la zona estudiada se proyectan en el campo definido para las adakitas (FIGURAS 6a y 6b). En la FIGURA 7 tomada de Pinto et al., (2008), se compara el contenido de MgO vs SiO2 y se enmarcan los diferentes campos para los posibles orígenes de las adakitas. Las rocas de este estudio se localizan en el campo de las adakitas derivadas de corteza oceánica subducida.
Las rocas volcánicas y sub-volcánicas del sureste de Manizales forman parte del episodio constructivo del Ruiz Ancestral (Plioceno tardío – Pleistoceno temprano, Thouret, et al., 1990; Borrero et al., 2008). Durante este periodo, el sistema de transporte de los magmas desde la cámara magmática no solo funcionó en los alrededores del Ruiz actual, sino que fue amplificado por la falla de Villa María- Termales como lo proponen (Borrero et at., 2 008 manuscrito en imprenta) lo que condujo a la formación de pequeños conos monogenéticos alineados con esta falla.
DISCUSIÓN
La fusión de la corteza oceánica subducida ha sido sugerida como la fuente probable de magmas de arco adakíticos (magmas andesíticos y dacíticos fuertemente empobrecidos en Y y HREE y altas razones de Sr/Y). La discusión se centra sobre la edad de esa corteza, ya que modelos numéricos y petrológicos, restringen la fusión parcial a cortezas oceánicas muy jóvenes (≤ 5 Ma) y típicamente a 60-80 km de profundidad (Gutscher et al., 2000). Pero, paradójicamente, la mayoría de las ocurrencias de adakitas conocidas del Plioceno- Pleistoceno están relacionadas a litosferas entre 10 – 45 Ma, la cual se supone no debe fundir bajo los gradientes térmicos en condiciones normales de las zonas de subducción (Gutscher et al., 2000). Por este motivo, Gutscher et al., (2000), Beate et al., (2001) y Bourdon et al., (2002) postulan un modelo de subducción plana, en donde se darían las condiciones de presión y temperatura necesarias para que se fundiera la corteza oceánica. Estos modelos se relacionan casi siempre con la subducción de cortezas muy gruesas, como en el caso de la Placa de Nazca por efecto de bloqueo de cordilleras como las de Malpelo y Carnegie.
En una situación de subducción normal como la actual, a la latitud donde se localiza el cinturón volcánico Machín – Cerro Bravo, el más septentrional de la NVZ (Bourdon et al., 2002), donde están localizadas las dacitas y andesitas con afinidad adakítica estudiadas en este trabajo, se define un arco volcánico estrecho y marcado por una sola línea de volcanes, el cual está localizado arriba de la corteza subducida entre 110 y 160 km (contornos de iso-profundidad de Pedraza et al., 2007).
Comparaciones con regiones donde la subducción plana está bien constreñida, como en el arco volcánico ecuatoriano actual (arco localizado a una distancia entre 250 -400 km de la trinchera, Gutscher et al., 2000) y donde se presentan magmas adakíticos (Bourdon et al., 2002), permiten suponer que esas deberían ser las condiciones de subducción en la trinchera colombiana a la lat. 5° N durante el Plioceno tardío- Pleistoceno temprano cuando se formaron las dacitas y andesitas con signatura adakítica del sureste de Manizales como parte del vulcanismo relacionado con el Ruiz Ancestral.
Esta comparación con el volcanismo adakítico ecuatoriano es válida, por estar localizados en la misma zona volcánica, aunque la edad de las rocas del Sureste de Manizales sea más antigua.
Es más, dado que las rocas volcánicas post-Ruiz ancestral no presentan firmas adakíticas típicas, (verdatos geoquímicos de Vatin-Perignon et al., 1990 y Schaefer, 1995) se puede inferir un cambio de la dinámica de la subducción a esta latitud desde hace 1 M.a. hasta la actualidad, con un buzamiento más empinado que no permita la fusión parcial de la corteza oceánica subducida en comparación con la subducción en el Ecuador.
Al normalizar los valores de las REE de las rocas al SE de Manizales, se observa un fuerte enriquecimiento en tierras raras livianas y en elementos altamente incompatibles (Rb, Ba), lo que corroboría que las rocas poseen una fuerte afinidad con magmas signatura adakítica. La ausencia de anomalía en Eu es notable y podría explicarse como una ausencia de plagioclasa residual o un fraccionamiento importante en plagioclasa.
Según Defant y Drummond (1990) la generación de rocas adakíticas también se puede explicar por la fusión parcial de metabasitas en facies de granulita y eclogita en la base de la corteza continental. Por el contrario, en el caso de las rocas del SE de Manizales, sus características petrográficas y geoquímicas, permiten plantear un origen a partir de la subducción de la placa oceánica, la cual reacciona con la cuña mantélica, que podría estar constituida por una cuña de peridotita con presencia de granate y espinela, similar al modelo de Weber et al. (1998) para el suroeste de Colombia. Aunque en las rocas objeto de este estudio la participación mantélica (manto peridotítico) fue poca como lo revela los bajos contenidos en Mg, Cr y Ni (cf. Sen and Dunn, 1995 en Gutscher et al., 2000).
Estos magmas adakíticos también se relacionan con eventos métalogénicos tal como lo argumenta Sillitoe (1973) en el cual los pórfidos mineralizantes son cuerpos sub-volcánicos félsicos que se emplazan a 1.5-3 km de profundidad, y cuya influencia varía hacia arriba y hacia abajo. Hacia arriba, la actividad hidrotermal alcanza la columna de rocas volcánicas comagmáticas, localmente formando depósitos epitermales, cuya conexión con los sistemas de pórfido cuprífero está cada vez más sustentada por argumentos geológicos y geoquímicos (e.g., Sillitoe, 1993; Hedenquist et al., 1998; Heinrich et al., 1999; Sillitoe y Hedenquist, 2003 en Valencia et al., 2006). Sin embargo, los cuerpos sub-volcánicos del sureste de Manizales presentan un halo de alteración externo representado por alteración propilítica, zona caracterizada por la carencia de mineralizaciones de oro y poca cantidad de calcopirita. Y están suprayacidos por las lavas que no presentan alteración hidrotermal. Lo cual indica que no se desarrolló un verdadero sistema de pórfido cuprífero, aunque los datos geoquímicos y petrográficos revelan relaciones comagmáticas de estas rocas.
CONCLUSIONES
-
Las rocas que se presentan en el sector SE de Manizales en los cerros El Gallinazo, Amazonas, Sabinas, La Oliva y La Negra poseen un carácter subalcalino y pertenecen a la serie calco-alcalina media en potasio. Estas corresponden a rocas subvolcánicas y volcánicas de composición andesítica a dacítica
-
Del comportamiento geoquímico de los elementos mayores y traza en los diagramas de variación se concluye una clara firma de un magma parental común que fue sometido a diferentes procesos de diferenciación durante su ascenso a superficie. En los diagramas de discriminación para adakitas de (Defant and Drummond, 1990) y (Martin 1987- 1999), las rocas estudiadas se proyectan en el campo característico de las adakitas.
-
Los REE normalizados con respecto a la condrita, muestran un fuerte fraccionamiento ((La/Yb)N >8) y típicos bajos contenidos de (Yb≤1,8ppm, Y≤18ppm). La ausencia de anomalía de Eu es notable y podría explicarse como una ausencia de plagioclasa residual o un fraccionamiento importante en plagioclasa.
-
Con base en la información geoquímica se plantea que estas rocas con signatura adakítica fueron generadas por la fusión de la placa subducida de composición basáltica y con una leve participación de cuña mantélica. A su vez abre la posibilidad de encontrar mineralizaciones de tipo pórfido con Au- Cu y epitermales de Au, relacionadas genéticamente a los magmas adakíticos, ya que éstos magmas se consideran como los más favorables para albergar mineralizaciones de Au-Cu debido a su potencial altamente oxidante
AGRADECIMIENTOS
Los autores desean expresar su agradecimiento a la Vicerrectoría de Investigaciones de la Universidad de Caldas por el financiamiento del proyecto. Nuestro reconocimiento a los acertados comentarios y la minuciosa revisión del trabajo al Dr. Diego Morata C. de la Universidad de Chile.
REFERENCIAS
Aguirre, O. R. y López, J.A. 2003. Cartografía geológica y petrografía del Stock de Manizales y su relación con sus rocas encajantes. Manizales, Colombia. Trabajo de grado (Geólogo). Universidad de Caldas. Facultad de Ciencias Exactas y Naturales. Programa de Geología. 194 p. [ Links ]
Atherton, M., Petford,C. 1993. Generation of sodium-rich magmas from newly underplated basaltic crust: Nature, 362: 144-146. [ Links ]
Beate, B., Monzier, M., Spikings, R., Cotton, J., Silva, J., Bourdon, E., Eissen, J.-P. 2001. Mio-Pliocene adakite generation related to flat subduction in southern Ecuador: The Quimsacocha Volcanic Center. Earth and Planetary Science Letters, 192: 561-570. [ Links ]
Borrero, C., Toro, L.M., Alvarán, M. and Castillo, H. 2008. Geochemistry and Tectonic controls of the effusive activity related with the Ancestral Nevado del Ruiz Volcano, Colombia. Revista Geofísica Internacional (UNAM, México DF), (manuscrito en imprenta) [ Links ]
Bourdon, E. 1999. Conséquences petrogénétiques de la subduction d'une ride asismique: l'example de vulcanisme de la marge Équatorienne, Thèse de Doctorat, Université de Bretagne Occidentale, Brest, 190 p. [ Links ]
Bourdon, E., Eissen, J-P., Monzier, M., Robin, C., Martin, H., Cotton, J. and Hall, M. 2002. Adakite-like lavas from Antisana Volcano (Ecuador): Evidence for Slab Melt Metasomatism beneath the Andean Northern Volcanic Zone. Journal of Petrology, 43(2): 199-217. [ Links ]
Bryant, J.A., Yogodzinsky, G.M., Hall, M.L., Lewicki, J.L. and Bailey, D.G. 2006. Geochemical Constraints on the Origin of Volcanic Rocks from the Andean Northern Volcanic Zone, Ecuador. Journal of Petrology. 47: 1147-1175; doi: 10.1093/petrology/egl006. [ Links ]
Castillo, P.R. 2006. An overview of adakite petrogenesis. Chinese Science Bulletin, 51 (3): 257-268. [ Links ]
Cuellar M.A., Valencia, M. Sánchez, C. 2003. Caracterización petrográfica y deformativa de las rocas aflorantes en los alrededores de la Falla San Jerónimo, al Este del Municipio de Manizales. Trabajo de grado (Geólogo). Programa de Geología. Universidad de Caldas. Facultad de Ciencias Exactas y Naturales. Manizales, Caldas, Colombia. 230p. [ Links ]
Defant, M.J. and Drummond, M.S. 1990. Derivation of some modern arc magmas by melting of young subducted lithosphere. Nature 347: 662-665. [ Links ]
Gómez-Tuena, A., Orozco-Esquivel, M.T. y Ferrari, L. 2005. Petrogénesis ígnea de la faja Volcánica Transmexicana. Boletín de la Sociedad Geológica Mexicana Tomo LVII (3): 227-283. [ Links ]
González, L. y Jaramillo, C.M. 2002. Estudio Neotectónico multi-disciplinario aplicado a la Falla Villa María- Termales. Trabajo de Grado, Departamento de Ciencias Geológicas. Universidad de Caldas, Manizales, Caldas, Colombia. 298 p. [ Links ]
Gutscher, R., Malavieielle, J., Lallemend, S. and Collot, J.Y. 1999. Tectonic segmentation of the North Andean margin: Impact of the Carnegie ridge collision. Earth and Planetary Science Letters, 168: 255-270. [ Links ]
Gutscher, M-A., Maury, R., Eissen, J-P., and Bourdon, E. 2000. Can slab melting be caused by flat subduction?. Geology, 28 (6): 535-538. [ Links ]
Hidalgo, S., Monzier, M., Martin, H., Chazot, G., Eissen, J.-P. and Cotton J. 2007. Adakitic magmas in the Ecuadorian Volcanic Front: Petrogenesis of the Illiniza Volcanic Complex (Ecuador). Journal of Volcanology and Geothermal Research. 159: 366-392. [ Links ]
Kay, S.M. and Mpodozis, C. 2001, Central Andean ore deposits linked to evolving shallow subduction system and thickening crust. GSA Today, 11: 4-9. [ Links ]
Le Maitre, R., Bateman, P., Dudck, A., Keller, J., Lameyre LeBas, M., Sabine, P., Schmid, R., Sorensen, H., Streckeisen, A., Woolley, A. and Zanettin, B., 1989. A classification of igneous rocks and glossary of terms. Ed. Blackwell, Oxford./ [ Links ]
Lonsdale, P. 2005. Creation of the Cocos and Nazca plates by fission of the Farallón plate, Tectonophysics 404: 237-264. [ Links ]
Martín, H. 1987. Petrogenesis of Archean trondjemites,tonalites and granodiorites from Eastern Finland; major and trace element geochemistry. Journal Petrology, 28 (5): 921-953. [ Links ]
Martín, H. 1999. The adakitic magmas: modern analogues of Archean granitoids. Lithos, 46 (3), 411-429. [ Links ]
Martín, H., Smithies. R. H., Rapp. R., Moyen. J-F., Champion D. 2005. An overview of Adakite, tonalite-trondhjemite-granodiorite (TTG), and sanukitoid: relationships and some implications for crustal. Lithos 79, pp. 1-24. [ Links ]
Middlemost, E.A. 1994. Naming material in the magma/igneous rock system. Earth Science Reviews, 37: 215-224. [ Links ]
Montoya, A. y Torres A. H. 2005. Cartografía, análisis metalográfico y petrográfico de los pórfidos ubicados al este del municipio de Manizales, sector de Gallinazo. Tesis de grado. Departamento de Ciencias Geológicas. Universidad de Caldas. Manizales, Caldas, Colombia. 107 p. [ Links ]
Nakamura, N. 1974. Determination of REE, Ba, Mg, Na, and K in carbonaceos and ordinary chondrites. Geochemical, Cosmochimical Acta, 38: 757-775. [ Links ]
Oyarzun, R., Marquez, A., Lillo, J., Lopez, I. and Rivera, S. 2001. Giant versus small porphyry Copper deposits of Cenozoic age in northern Chile: adakitic versus normal calc-alkaline magmatism. Mineralium Deposita, 36: 794-798. [ Links ]
Oyarzun, R., Marquez, A., Lillo, J., Lopez, I. and Rivera, S. 2002. Reply to Discussion on " Giant versus small porphyry Copper deposits of Cenozoic age in northern Chile: adakitic versus normal calc-alkaline magmatism". Mineralium Deposita, 37: 795-799. [ Links ]
Pedraza, P., Vargas, C. A. and Monsalve, H. 2007. Geometric Model of the Nazca Plate Subduction in Southwest Colombia. Earth Sciences Research Journal, 11 (2): 117-130. [ Links ]
Pinto-Linares, Porfirio J., S. Leveresse. Gilles., Tritlla. Jordi., Valencia. Victor.A., Torres-Aguilera. José. M., González. Manuel y David Estrada. 2008. Transitional adakite-like to calc-alkaline magmas in a continental extensional setting at La Paz Au-Cu skarn deposits, Mesa Central, Mexico: Metallogenic implications. Revista Mexicana de Ciencias Geológicas, 23 (1): 39-58. [ Links ]
Rapp, R.P., Xiao, L. and Shimizu, N. 2002. Experimental constraints of the origin of Potassium-ridge adakite in east China. Acta Petrologica Sinica, 18 : 293-311. [ Links ]
Samaniego, P., Martin, H., Monzier, M., Robin, C., Fornari, M., Eissen, J-P. and Cotton, J. 2005. Temporal Evolution of Magmatism in the Northern Volcanic Zone of the Andes: The Geology and Petrology of Cayambe Volcanic Complex (Ecuador). Journal of Petrology. 46 (11): 2225-2252. [ Links ]
Schaefer, S.J. 1995. Nevado del Ruiz Volcano, Colombia: Magmatic System and Evolution, PhD. Thesis, Arizona State University. 147 p. [ Links ]
Sillitoe, R.H. 1973. The tops and bottoms of porphyry copper deposits: Economic Geology, 68, 799-815. [ Links ]
Sun, S., Mc Donough,W. 1989.Chemical and isotopic systematics of oceanic basalts: implications for mantle composition and process. In magmatism in the ocean basins. (Saunders. A.D., Norry, M., editors, geological Society of London Special Publication 42:313-345. [ Links ]
Thouret, J.-C., Cantagrel, J.M., Salinas, R. and Murcia, A. 1990. Quaternary eruptive history of Nevado del Ruiz (Colombia). Journal of Volcanology and Geothermal. Research, 41: 225-251. [ Links ]
Trenkamp, R., Kellog, J.N., Freymueller, J.T. and Mora, H. 2002. Wide plate margin deformation, southern Central America and northwestern South America, CASA GPS observations, Journal of South America Earth Sciences 15: 157-171. [ Links ]
Valencia, M., Ochoa, L., Noguez, B., Ruiz, J. y Pérez, E. 2006. Características metalogenéticas de los depósitos de tipo pórfido cuprífero en México y su situación en el contexto mundial. Boletín de la Sociedad Geológica Mexicana. Tomo LVIII (1): 1-26. [ Links ]
Vatin-Perignon, N., Goemans, P., Oliver, R. and Parra-Palacio, E. 1990. Evaluation of magmatic processes for the products of the Nevado del Ruiz Volcano, Colombia from geochemical and petrological data. J. Volcanol. Geotherm. Res. 41: 153-176. [ Links ]
Weber, M.B.I., Tarney, J., Kempton, J.D. and Kent, R.W. 2001. Crustal make-up of the northern Andes: evidence based on deep crustal xenolith suites, Mercaderes, SW Colombia. Tectonophysics. 345:49-82. [ Links ]
Xu, W.-L., Wang, Q.-H., Wang, D.-Y., Guo, J.-H. and Pei, F.-P. 2005. Mesozoic adakitic rocks from the Xuzhou - Suzhou area, eastern China: Evidence for partial melting of delaminated lower continental crust. Journal of Asian Earth Sciences. doi:10.1016/j.jseaes.2005.03.005. [ Links ]
Trabajo recibido: julio 6 de 2008
Trabajo aceptado: octubre 24 de 2008



















