Introducción
En deportes de pelota o balón, la tarea del defensor consiste en predecir, lo antes posible, tanto la dirección como la velocidad del siguiente golpeo del rival. Esta predicción está basaba principalmente en información de eventos anteriores a la ejecución del oponente. Por ejemplo, información específica del patrón de movimiento previo al impacto con la pelota o información genérica relacionada con la probabilidad de sus golpeos (Abernethy, Gill, Parks & Packer, 2001).
Williams (2009) afirma que el uso de información contextual por parte de los deportistas constituye una habilidad perceptivo-cognitiva que ayuda a conseguir acciones anticipatorias en el deporte. Similarmente, Triolet, Benguigui, le Runigo y Williams (2013) concluyen que la anticipación temprana ocurre cuando los tenistas usan información relevante y significativa del contexto deportivo, antes de que tenga lugar el movimiento del oponente.
Varios han sido los términos empleados para referirse a esta habilidad perceptivo-cognitiva, entre los se incluyen: (a) prior knowledge of probable upcoming events o conocimiento previo sobre la probabilidad de ocurrencia de próximos eventos (Buckolz, Prapavesis & Fairs, 1988); (b) subjetive probabilities o probabilidades estadísticas de que un evento pueda ocurrir dentro de un modelo conceptual que un deportista elabora durante su actuación deportiva (Bakker, Whiting & van der Brug, 1990); (c) situational probabilities o capacidad para formular a priori expectativas de las posibles opciones que podrían ocurrir en una situación deportiva determinada (Crognier & Féry, 2005; Mann, Schaefers & Cañal-Bruland, 2014; Roca, Ford, McRobert & Williams, 2013; Ward & Williams, 2003), o expectativas para anticipar futuros eventos (Williams, 2000); (d) situational probability information o dependencias secuenciales percibidas en el patrón de juego del oponente que son usadas para la anticipación y la toma de decisiones (Tanner & Gore, 2012) o información disponible para el deportista en el ambiente antes de que el oponente inicie su movimiento (Abernethy et al., 2001), y (e) contextual information o índices visuales avanzados disponibles al comienzo de la secuencia de golpeo (Abernethy, 1987).
La información situacional probabilística (ISP) incluye, en primer lugar, el término de información, puesto que los deportistas perciben índices visuales disponibles en la situación deportiva para tomar decisiones sobre lo que tienen que hacer; así se establece una relación entre el deportista y el ambiente a través de los procesos perceptivos. La información percibida tendría que ver con la: (a) posición relativa que adoptan compañeros, adversarios y móviles; (b) las frecuencias relativas de los golpeos, y (c) los puntos fuertes y débiles del oponente (Abernethy et al., 2001; Buckolz et al., 1988).
El atributo probabilístico proviene de la estimación personal que establece el deportista entre esa información que percibe y la posibilidad de aparición de un movimiento u otro (e. g., la probabilidad de que mi oponente pase en profundidad o en corto durante un contrataque en fútbol será del 70 y el 30%, respectivamente).
Esta vinculación que establece el deportista entre información percibida y probabilidad del evento proviene de una aproximación más cognitiva de la psicología al considerar que el uso de esta información visual durante el juego podría significar adaptación y plasticidad de los procesos perceptivo-cognitivos en la búsqueda de índices visuales relevantes (Williams, 2000) a través de estructuras de conocimiento y procesos cognitivos (Williams, Heron, Ward & Smeeton, 2005).
Por último, incluye el atributo situacional al tratarse de una información propia a cada acción de juego. De esta forma, la información percibida está asociada a un contexto de juego particular y específico que aparece en un momento temporal determinado. Los deportistas deben aprender a percibir y usar esta cambiante información contextual ya que el movimiento continuado de compañeros y oponentes varía las affordances del entorno deportivo, y con ello las posibilidades de acción (Araújo, Davids & Hristovski, 2006). Este carácter situacional de la información visual se acerca más a una aproximación ecológica de la percepción visual, ya que relaciona esta información con la habilidad del deportista para adaptarse al entorno deportivo cambiante (i. e., el deportista usa esta información para generar comportamientos adaptativos en cada situación de juego) sin necesidad de representaciones mentales previas (Gibson,1979).
El estudio sistemático de la ISP en el deporte se produjo a finales de los años 70 por Alain y colaboradores de la Universidad de Montreal (e.g., Alain & Proteau, 1977, 1978, 1980) a través de la manipulación de la probabilidad de ocurrencia del evento, y en concreto en tareas interceptativas de deportes de raqueta. Por ejemplo, Navia, van der Kamp y Ruiz (2013) encuentran en situaciones reales que los porteros de fútbol que perciben situaciones de alta probabilidad se lanzan significativamente más veces hacia el lado correcto de la portería, siendo el inicio de su respuesta dependiente de la disponibilidad de la ISP. También, Mann et al. (2014) muestran que si la preferencia de acción del oponente es alta, los porteros de balonmano mejoran su habilidad de anticipación y su juicio sobre la dirección final de la pelota a portería.
La variable mediadora principal en el estudio de la ISP y el rendimiento deportivo ha sido el nivel deportivo de los participantes. Existen diversos estudios que muestran cómo los expertos han mostrado mayor habilidad para establecer juicios precisos sobre el resultado de la siguiente acción del oponente cuando dicha probabilidad de ocurrencia ha sido manipulada. Por ejemplo, Paull y Glencross (1997) establecen que los jugadores expertos de béisbol inician significativamente antes la decisión sobre su respuesta gracias al uso adecuado de la información relativa a los golpeos presentes en las pantallas de juego.
En tenis, Farrow y Reid (2012) concluyen que solo los jugadores de mayor edad son capaces de concretar la dirección del primer servicio de tenis después del noveno juego, aun a pesar de manipular la dirección del primer servicio en tenis siempre hacia el centro del cuadro de saque. Recientemente, Loffing, Stern y Hagemann (2015) han mostrado que los jugadores expertos de voleibol son más precisos en la defensa de un remate de voleibol cuando el resultado de la acción ha sido una continuación de los patrones de ataque anteriores. Milazzo, Farrow, Ruffault y Fournier (2015) concluyen que los karatekas expertos son más rápidos y precisos defendiendo las acciones del oponente al percibir una ocurrencia del patrón de juego después de la visualización de 5 ensayos.
La metodología de análisis principal para el estudio de la ISP ha sido la técnica de oclusión temporal. Dicha técnica ha permitido conocer que los jugadores expertos muestran mejores tiempos de respuesta o de precisión en la respuesta que los noveles cuando la oclusión tiene lugar en los primeros estadios de la secuencia deportiva. Por ejemplo, Abernethy et al. (2001) muestran que los jugadores de bádminton expertos tienen menor cantidad de error de dirección y de profundidad respecto al lugar de caída del volante en todas las condiciones de oclusión. Específicamente, en la condición de máxima oclusión (620 ms antes del golpeo) muestran mejor rendimiento respecto a los jugadores de menor nivel debido a la percepción de la información contenida en las probabilidades situacionales del patrón de juego de sus oponentes.
Paull y Glencross (1997) encuentran que los jugadores de béisbol expertos son mejores que los noveles en la predicción del lugar de recepción de la bola cuando las condiciones de oclusión son previas a la información de la trayectoria de la pelota. En tenis, Loffing y Hagemann (2014) muestran que los tenistas expertos varían más sus expectativas de respuesta como una función de la posición de golpeo a través de diferentes condiciones de oclusión. De forma similar, Murphy, Jackson, Roca y Williams (2015) concluyen que los tenistas de mayor nivel tienen un juicio más preciso del lugar de caída de la pelota (en profundidad y dirección) cuando las secuencias de vídeo son ocluidas en el momento del golpeo y solo la información contextual estuvo disponible.
Recientemente, Luis (2015) ha realizado una revisión sistemática de estudios acerca del término ISP en el contexto deportivo y concluye que el uso adecuado de dicha información visual ayuda a los deportistas a iniciar antes la respuesta y a ser más precisos. Sin embargo, apenas se conoce cómo la habilidad perceptiva-cognitiva para usar esta ISP interactúa con otras (e. g., uso de índices visuales y el reconocimiento de patrones de juego) y qué implicaciones tiene en el entrenamiento (Roca & Williams, 2016). Tampoco se conoce la magnitud de la contribución de la ISP en el rendimiento deportivo. Por este motivo, el objetivo del presente artículo es cuantificar la dirección y la magnitud del efecto de la ISP sobre el tiempo de inicio de la respuesta y la precisión. Respecto a la hipótesis de trabajo se sugiere que los deportistas de mayor nivel anticiparán sus respuestas de forma más frecuente y precisa, debido a un mejor uso de la ISP durante la percepción de las acciones de juego.
Método
Tipo de estudio
Se trata de un agregado de estudios cuantitativos que utilizan la técnica del metaanálisis (Fernández-Ríos & Buela-Casal, 2009), donde se busca computar un tamaño de efecto (TE) medio entre estudios (objetivo sintético) y la estimación de diferencias entre los TE específicos de cada estudio (objetivo analítico).
Procedimiento
Se realizó una búsqueda bibliográfica automática con combinaciones de palabras claves (anticipation, reaction time, accuracy, response, fixation, eye movement, visual behavior, expertise, probability, situational, information, sport) en el título y el resumen de fuentes secundarias (e. g., bases de datos online: ISI Web of Knowledge, Web of Science, PsychINFO, SPORTDiscus) y primarias (e. g., libros y artículos científicos) desde el año 1950 hasta el 2013. También se llevó a cabo una búsqueda manual de trabajos de investigación, centrada en las áreas de Psicología y Deporte, de revistas indexadas en el Journal Citation Report [JCR] (Anales de Psicología, Acta Psychologica, Applied Cognitive Psychology, British Journal of Psychology, Experimental Psychology, Human Movement Science, International Journal of Sport Psychology, Journal of Applied Sport Psychology, Journal of Sport & Exercise Psychology, Journal of Sports Sciences, Perception, Revista Internacional de Medicina y Ciencias de la Actividad Física y el Deporte, Perceptual and Motor Skills, Psychology of Sport and Exercise, Revista de Psicología del Deporte), y en el catálogo DICE y LATINDEX (e. g., Apunts: Educació Física i Esports, Cuadernos de Psicología del Deporte, Motricidad: European Journal of Human Movement, Ricyde: Revista Internacional de Ciencias del Deporte). Dicho procedimiento de búsqueda se basa en otros utilizados anteriormente en el deporte. Por ejemplo, el metaanálisis de destreza perceptivo-cognitiva (Mann, Williams, Ward & Janelle, 2007), toma de decisiones (Travassos et al., 2013), o la «mano caliente en baloncesto» (Avugos, Koppen, Czienskowski, Raab & Bar-Eli, 2013).
Criterios de inclusión
Los criterios de inclusión introducidos en la búsqueda bibliográfica fueron: (a) que las fuentes primarias fuesen de calidad (e. g., artículos científicos indexados en revistas con revisión por pares y/o con factor de impacto); (b) que estudiara diferencias en el rendimiento deportivo en función de la manipulación de la ISP (e. g., comportamiento visual y motor), y (c) que alguno de los datos estadísticos (e. g., media y/o desviación típica, valor de t o F, valor de p o de r) estuvieran disponibles para el cálculo del TE.
De los 34 artículos inicialmente seleccionados, solo nueve cumplieron todos los criterios de inclusión anteriores. Los motivos de exclusión fueron el no cumplimiento del criterio b y/o c. Los estudios finalmente analizados (Farrow & Reid, 2012; Loffing & Hagemann, 2014; Loffing et al., 2015; McRobert, Ward, Eccles & Williams, 2011; Mann et al., 2014; Milazzo et al., 2015; Murphyetal., 2015; Navia etal., 2013; Paull & Glencross, 1997) incluyeron a un total de 292 deportistas. Un análisis de su contenido semántico (Delgado & del Villar, 1994) refleja que el término más empleado en la ISP ha sido information (508 apariciones), seguido de probability (192 apariciones) y situational (189 apariciones).
Variables
Las variables dependientes finalmente incluidas en el análisis de la ISP en el deporte son el inicio en el tiempo de respuesta (TRP) y la precisión de la respuesta (PRP). Las variables relacionadas con el comportamiento visual (e. g., número, tiempo y localización de las fijaciones visuales) se eliminan para el cálculo del TE debido a que solo tres estudios las analizan (McRobert etal., 2011; Milazzo et al., 2015; Navia et al., 2013). Como variable mediadora en la relación ISP-variables dependientes se encuentra el nivel deportivo de los participantes. Sin embargo, en los estudios de Mann et al. (2014) y Navia et al. (2013) se utilizará como variable mediadora el grado de probabilidad de la información contextual, al existir un solo grupo de participantes.
En deportes con móviles, el TRP se define como el tiempo que emplean los deportistas en empezar a moverse en relación con el momento en que el oponente golpea el móvil o pelota, mientras que la PRP se refiere a si el movimiento del deportista tiene lugar en la misma dirección del móvil (Farrow & Reid, 2012; Navia etal., 2013; Peiyong & Inomata, 2012). Si el TRP obtiene un valor negativo significa que el deportista ha comenzado a moverse antes de que el oponente contacte con el móvil y tendrá un valor positivo si el deportista reacciona a dicho golpeo. En algunos estudios empleados, en el metaanálisis, el TRP aparece citado como tiempo de decisión (Milazzo et al., 2015; Paull & Glencross, 1997).
La PRP suele expresare en porcentaje de aciertos respecto al 100% del total de ensayos realizados, de forma que conforme mayor sea este porcentaje mayor será el número de veces que el deportista se mueve en la dirección del móvil. Cada variable dependiente se analiza separadamente en el metaanálisis a fin de evitar así inflar el efecto simple detrás del número de estudios independientes (Rosenthal, 1984).
Análisis de la información y de datos
El metaanálisis presenta el TE para cada estudio así como la media ponderada para el conjunto de estudios. La métrica común final utilizada para calcular y valorar la magnitud del TE, de acuerdo con los estadísticos disponibles en los estudios, es la diferencia estandarizada de medias (d) propuesta por Cohen (1977). Según este autor, el rango de interpretación respecto a la estimación del TE es d=.20 (pequeño), d = .50 (moderado), d = .80 (grande). Este estadístico nos informa cuánto de la variable dependiente se puede explicar, controlar o predecir a partir de la variable independiente (i. e., especificará no solamente que la diferencia de medias es muy improbable que sea cero, sino también concretará la magnitud de esa diferencia, y por tanto, su relevancia).
Dicho cálculo se realiza a partir de las fórmulas proporcionadas por Lipsey y Wilson (2001), y con la ayuda del Practical Meta-Analysis Effect Size Calculator, disponible en la web del centro de recursos de Campbell Collaboration, salvo en los estudios en los que dicho valor estadístico aparezca reflejado en el estudio.
Se realiza una conversión de los valores d a r y R2 a fin de conocer la relación y la proporción de varianza explicada, respectivamente, que mantiene la ISP con las variables dependientes. La conversión de d a r se hace de acuerdo con las fórmulas propuestas por Cohen (1977). Si el tamaño de las dos muestras a comparar (expertos vs. noveles) es idéntica, la fórmula es:
Si las muestras no fueran idénticas pero no muy desiguales (e. g., en los estudios de Farrow & Reid, 2012; Loffing etal., 2015), tendríamos una aproximación de dicha conversión, donde p es la proporción de sujetos que corresponde a uno de los grupos (n1/(n1 + n2)) y q = 1-p o proporción de sujetos del otro grupo.
Al presentar el TRP y la PRP una distribución normal en la población de los estudios analizados, se valora el valor de d en términos del porcentaje (%) de participantes del grupo con media inferior que han sido superados por el sujeto medio del grupo con media mayor.
Se ejecuta un análisis de modelo de efectos aleatorios al considerar los estudios seleccionados como una muestra aleatoria de todos los posibles efectos y por incluir participantes, diseños y tratamientos distintos (Hedges & Olkin, 1985). Se incluye una representación gráfica de resultados del TE con su intervalo de confianza (IC) del 95% a fin de proporcionar una inspección visual de los resultados respecto a su heterogeneidad. De igual modo, se incluye la técnica de recuento de votos (Hedges & Olkin, 1985) a fin de obtener una información global de los resultados positivos y negativos sobre la base del conocimiento de la hipótesis de trabajo y el p valor o el nivel de significación (a) de cada estudio. El apartado de discusión incluye además aportaciones puntuales de alguna de las otras 23 investigaciones incluidas en la búsqueda inicial de 34 estudios que, sin manipular la información contextual ni presentar datos estadísticos concretos, sí disertan sobre la contribución de la ISP en el rendimiento deportivo.
Resultados
En primer lugar, la tabla 1 muestra los estudios analizados y sus principales características. Se debe destacar que la mayoría de ellos tienen lugar en laboratorio, salvo el de Navia etal. (2013) y Milazzo etal. (2015), que tuvieron lugar contra oponentes reales en escenarios específicos de competición. Si las variables dependientes (TRP y PRP) han sido medidas en el estudio se marca afirmativamente (sí) y, en caso contrario, se marca negativamente (no). Si la manipulación de la ISP consigue un efecto positivo sobre las variables dependientes aparece el símbolo (+) y si no tiene efecto, o el efecto se produce en sentido contrario al esperado, se marca con el símbolo (-).
Tabla 1 Estudios utilizados en el metaanálisis para cuantificar la relación (TE) entre ISP, TRP y PRP en el deporte
Variable tiempo de inicio de la respuesta
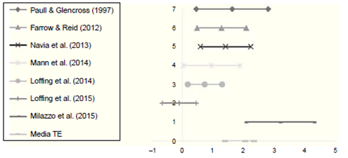
La técnica de recuento de votos permite verificar que en seis de los siete estudios que incluyen una media del TRP, la ISP consigue un efecto positivo sobre dicha variable. Por ejemplo, Paull y Glencross (1997) concluyen que los bateadores expertos tienen un tiempo de decisión menor que los noveles (d=1.63 al IC del 95% entre .46 y 2.80; r=.60; R2 = .37). Farrow y Reid (2012) obtienen un efecto principal para la variable Edad participantes, cuando solo se tiene en cuenta el primer punto de cada juego del servicio, de forma que los tenistas de mayor edad desarrollan TRP más tempranas que los tenistas jóvenes (d= 1.28 al IC del 95% entre .48 y 2.08; r=.68; R2 = .47).
Navia et al. (2013) muestran que los porteros de fútbol retrasan el inicio de su movimiento cuando la información situacional no está presente en comparación con las otras 3 situaciones de probabilidad (𝑑= 1.41 𝑎𝑙 𝐼𝐶 𝑑𝑒𝑙 95% 𝑒𝑛𝑡𝑟𝑒 .59 𝑦 2.23; 𝑟=.54; R2 = .29) con tiempos de -214ms (condición de no ISP) frente a los -256 ms (condición 50%/50%), -259 ms (80% derecha/20% izquierda) y -279 ms (80% izquierda/20% derecha). Mann et al. (2014) encuentran que los porteros de balonmano que entrenaron con una acción de preferencia del lanzador (i. e., 75% a una esquina y 25% al resto de esquinas) reaccionaron antes en el postest (𝑑= .95 𝑎𝑙 𝐼𝐶 𝑑𝑒𝑙 95% 𝑒𝑛𝑡𝑟𝑒 .03 𝑦 1.88; 𝑟=.39; R2 = .15) que en la situación donde no había una preferencia de lanzamiento.
Loffing et al. (2015) confirman que los tenistas expertos varían más su expectativa de respuesta que los noveles según la posición que adopte el oponente en la pista (𝑑= .73 𝑎𝑙 𝐼𝐶 𝑑𝑒𝑙 95% 𝑒𝑛𝑡𝑟𝑒 .17 𝑦 1.29; 𝑟= .31; R2 = .10). Similarmente, Milazzo et al. (2015) concluyen que los karatekas expertos usan la información visual contenida en los ensayos anteriores para mejorar su tiempo de decisión (𝑑 = 3.16 𝑎𝑙 𝐼𝐶 𝑑𝑒𝑙 95% 𝑒𝑛𝑡𝑟𝑒 2.05 𝑦 4.27; 𝑟=.98; R2 = .97). En cambio, Loffing etal. (2015) no encuentran que jugadores de voleibol expertos inicien antes su tiempo de respuesta respecto a jugadores de menor nivel como consecuencia de la percepción previa de patrones de acción en los oponentes (𝑑=−.10 𝑎𝑙 𝐼𝐶 𝑑𝑒𝑙 95% 𝑒𝑛𝑡𝑟𝑒 −.66 𝑦 .45; r= −.10; R2 = .01) (fig. 1).
Una inspección visual del gráfico de efectos permite determinar que el promedio del TE para los estudios analizados se sitúa ligeramente por encima de 1 (concretamente d = 1.29 al IC del 95% entre .45 y 2.14) y la magnitud de la diferencia es grande (Cohen, 1977). La magnitud de esta diferencia significa que aproximadamente un 90% de los deportistas que pertenece al grupo con media de TRP inferior (expertos) tienen valores de TRP más bajos que el sujeto medio del grupo con mayor TRP (noveles).
Variable precisión de la respuesta
En todos los estudios analizados (n = 9) se incluye una medición de la PRP. Se encuentra, a través de la técnica de recuento de votos, que siete estudios presentan un efecto positivo (Loffing & Hagemann, 2014; Loffing et al., 2015; Mann etal., 2014; Milazzo et al., 2015; Murphy et al., 2015; Navia et al., 2013; Paull & Glencross, 1997) y dos obtienen un efecto negativo (Farrow & Reid, 2012; McRobert et al., 2011).
Por ejemplo, Paull y Glencross (1997) encuentran que los bateadores expertos hacen un uso adecuado de las acciones de juego para tener menores errores de precisión al verbalizar la localización del siguiente lanzamiento del oponente (𝑑= 1.54𝑎𝑙 𝐼𝐶 𝑑𝑒𝑙 95% 𝑒𝑛𝑡𝑟𝑒 .39𝑦 2.70; 𝑟=.58; R2 = .33). Sin embargo, McRobert et al. (2011) no encuentran diferencias en la respuesta escrita entre jugadores expertos y noveles en condiciones de alta información contextual (i. e., condiciones en las que batearon cuatro jugadores distintos en bloques de 6 ensayos; d= .80 al IC del 95% entre - .10 y 1.75; r=.34; R2 = .11).
En tenis, Farrow y Reid (2012) tampoco encuentran diferencias en la precisión del resto al servicio (quitando el primer punto) según la variable «Edad participantes». Estos autores sugieren que la PRP podría no verse afectada por la ISP, ya que ninguno de los dos grupos de tenistas, independientemente de su edad, fueron capaces de usar esa información (𝑑 = .11 𝑎𝑙 𝐶 𝑑𝑒𝑙 95% 𝑒𝑛𝑡𝑟𝑒 −.61 𝑦 .84; 𝑟=.10; R2 = .01). En cambio, Loffing et al. (2015) muestran que los tenistas expertos anticipan más precisamente la dirección del golpeo del oponente, presionando la tecla correcta del ordenador en comparación con otro grupo de menor nivel (𝑑= 1.07 𝑎𝑙 𝐼𝐶 𝑑𝑒𝑙 95% 𝑒𝑛𝑡𝑟𝑒 .49 𝑦 1.65; r= .43; R2 = .19). Similarmente, Murphy et al. (2015) concluyen que los tenistas expertos muestran juicios más precisos sobre la profundidad y la dirección de la pelota (𝑑= 1.85 𝑎𝑙 𝐼𝐶 𝑑𝑒𝑙 95% 𝑒𝑛𝑡𝑟𝑒 .80 𝑦 2.90; r = .67; R2 = .44) debido al mayor conocimiento y experiencia de la tarea que los noveles cuando se omite la información cinemática (y solo está disponible la contextual).
Navia et al. (2013) encuentran que los porteros de fútbol anticipan más veces el lado correcto de los penaltis en las dos condiciones de alta probabilidad (65% en la situación 80% derecha/20% izquierda y 63% en 80% izquierda/20% derecha) en comparación con la condición de igual probabilidad (47% en la situación 50% derecha/50% izquierda) (𝑑= .26 𝑎𝑙 𝐼𝐶 𝑑𝑒𝑙 95% 𝑒𝑛𝑡𝑟𝑒 −.49 𝑦 1.02; 𝑟=.12; R2 = .01).
En balonmano, Mann et al. (2014) encuentran que los porteros consiguen más PRP si el oponente tiene una probabilidad alta del 75% en lanzar a una esquina de la portería (𝑑=1.07 𝑎𝑙 𝐼𝐶 𝑑𝑒𝑙 95% 𝑒𝑛𝑡𝑟𝑒 .13 𝑦 2.01; 𝑟=.43; R2 = .19) en comparación con otra situación donde la probabilidad de lanzar a las cuatro esquinas de la portería es equiprobable. Finalmente, Milazzo et al. (2015) concluyen que los karatekas expertos perciben la ocurrencia del patrón de ataque después de visualizar cinco ensayos (𝑑 = 3.48 𝑎𝑙 𝐼𝐶 𝑑𝑒𝑙 95% 𝑒𝑛𝑡𝑟𝑒 2.31 𝑦 4.66; r= 1.05; R2 = 1.10) para tener respuestas más precisas que los participantes de menor nivel deportivo (fig. 2).
Una inspección visual del gráfico de efectos permite determinar que el promedio del TE para los estudios analizados es muy similar al de TRP (en este caso d = 1.31 al IC del 95% entre .43 y 2.19) y la magnitud de la diferencia es grande (Cohen, 1977). La magnitud de esta diferencia significa de nuevo que aproximadamente un 90% de los deportistas que pertenece al grupo con media de PRP inferior (noveles) tienen valores de PRP más bajos que el sujeto medio del grupo con mayor PRP (expertos).
Discusión
El estudio cuantificó la influencia de la ISP sobre el comportamiento motor de deportistas en función de su nivel deportivo. Los resultados confirman que la manipulación de la ISP tiene influencia en el rendimiento deportivo, ya que ha generado una magnitud de efecto grande (Cohen, 1977) en las variables TRP y PRP según el nivel deportivo de los participantes. Esta relación, determinada empíricamente a través del TE del metaanálisis, significa que la hipótesis de trabajo se cumple, ya que el inicio y precisión de la respuesta de los deportistas guarda relación con su habilidad de usar índices visuales relevantes del contexto deportivo, así como por otorgar juicios de probabilidad de ocurrencia precisos relativos a los mismos.
Estos resultados confirman que los deportistas expertos, en situaciones deportivas de déficit temporal e incertidumbre, utilizan fuentes de información temprana para manifestar un comportamiento más anticipatorio y preciso (i. e., inician su movimiento antes de que la información relativa al movimiento aparezca; véase Raab, 2012). En contraposición, los deportistas de menor experiencia nivel deportivo podrían mostrar un comportamiento más reactivo que anticipatorio debido a un desconocimiento de los índices visuales avanzados de la secuencia ofensiva de juego o al coste negativo de una anticipación errónea para el equipo (Granda, 2002).
Los expertos podrían utilizar de forma más eficiente esta información respecto a las acciones de juego como consecuencia de estructuras de conocimiento adquiridas a través de la práctica (Paull & Glencross, 1997). Por ejemplo, los tenistas expertos mejoran la predicción respecto a la dirección final de la pelota cuando perciben: (a) información contextual del servicio o de los primeros indicios cinemáticos del mismo durante la fase preparatoria e inicial (Goulet et al., 1989); (b) información relacionada con la posición de los oponentes en el campo (Loffing et al., 2015), y (c) están en una situación con alta iniciativa táctica (Crognier & Féry, 2005).
En béisbol, Gray (2002b) encuentra que los bateadores de mayor nivel tienen un error de estimación temporal de golpeo inferior a los noveles en una tarea simulada de bateo debido a una predicción mejor de los efectos previos de la velocidad en el lanzamiento de la pelota. Similarmente, Paull y Glencross (1997) concluyen que los bateadores expertos utilizan la información estratégica del juego para incluir correcciones acerca de la trayectoria de la bola y así mejorar la organización de su respuesta motriz.
Otros estudios en fútbol muestran que los grupos de mayor nivel anticipan de forma más precisa la acción del oponente en situaciones de 1 x 1 y 11 x 11 (Ward & Williams, 2003) y con decisiones tácticas más acertadas y juicios más frecuentes de ISP en situaciones cercanas de juego (Roca et al., 2013). Los autores concluyen que los test relativos a la anticipación y el uso de las probabilidades situacionales son las variables que mejor discriminaron el nivel deportivo de los futbolistas. También Peiyong e Inomata (2012) muestran que los porteros de fútbol tienen un comportamiento anticipatorio superior que los jugadores de fútbol, si bien dichas diferencias no se manifiestan posteriormente a nivel de PRP.
Una de las fuentes de información contextual más importantes es aquella relativa a la probabilidad con que se repite un evento o acción deportiva. La percepción de dicha información resulta fundamental para anticipar la respuesta, de modo que cuanto mayor sea la probabilidad del evento, menor tiempo de reacción (Proteau & Alain, 1980). En esta línea, Alain y Sarrazin (1990) y Proteau, Levesque, Laurencelle y Girouard (1989) verifican que la reacción del deportista está basada en la interacción entre el tiempo disponible para responder y la probabilidad subjetiva que otorga un deportista a que un evento tenga lugar.
Ciertos estudios del metaanálisis también han encontrado dicha relación entre información probabilística y reacción (Farrow & Reid, 2012; Mann et al., 2014; Navia et al., 2013). Por ejemplo, los porteros de fútbol inician antes el movimiento de parada y son más precisos en la anticipación respecto al lado correcto como una función de la condición de probabilidad (Navia et al., 2013). También los porteros de balonmano inician antes su movimiento de parada y son más precisos (Mann et al., 2014).
Otras investigaciones han testado la influencia de percibir ensayos previos en el comportamiento motor. Por ejemplo, la precisión temporal con que se batea depende de la probabilidad de los tres ensayos previos (Gray, 2002a) o de la velocidad de los mismos (Gray, 2002b). También, Milazzo et al. (2015) muestran que los karatekas expertos son más rápidos y precisos después de detectar una repetición en el patrón de ataque en un bloque de seis ensayos. Sin embargo, esta información contextual no siempre podría ser beneficiosa para el rendimiento deportivo si no se corresponde con el resultado de la acción esperada (i. e., podría tener un coste en la anticipación; véase Canñal-Bruland & Mann, 2015). Por ejemplo, Gray (2002b) encuentra que el error temporal es mayor cuando un lanzamiento rápido es precedido por tres lanzamientos lentos en comparación con uno rápido precedido por tres rápidos.
Solamente, los estudios de McRobert et al. (2011), Navia et al. (2013) y Milazzo et al. (2015) han incluido medidas perceptivas en el análisis de la ISP a nivel deportivo. Los resultados de dichos estudios siguen la misma tendencia que las variables del comportamiento motor; es decir, muestran diferencias en las estrategias perceptivas atendiendo al nivel deportivo (i. e., los expertos tienen un comportamiento visual más eficiente, que les permite iniciar antes la respuesta defensiva y de forma más precisa; véase Milazzo et al., 2015).
Navia et al. (2013) muestran diferencias en el patrón perceptivo en una muestra reducida de 4 porteros. Los autores indican que dicha variabilidad es debida más a una preferencia individual del portero por usar esta información situacional que a la accesibilidad de dicha información de por sí. Sin embargo, la aportación principal del estudio es que el comportamiento motor del portero (i. e., cuándo y hacia dónde lanzarse) está condicionado por la presencia o ausencia de esta información situacional.
Roca et al. (2013) concluyen que las estrategias de búsqueda visual son una función del nivel deportivo de los futbolistas y de los condicionantes de la tarea. Los resultados de su estudio muestran que los participantes expertos modifican su comportamiento visual cuando visionan todo el campo o situaciones reducidas de juego.
De forma complementaria, los defensores de fútbol generaron un mayor número de juicios relativos a las probabilidades situacionales cuando la secuencia de juego está cercana a su zona de acción debido a la mayor necesidad de extracción de información relevante de la secuencia de juego, ya que es más probable que tengan que actuar. Los autores concluyen que cuando la pelota está en el otro lado del terreno de juego, el beneficio y el coste de generar probabilidades de ocurrencia son bajos, ya que se dispone de tiempo suficiente para completar la respuesta.
Limitaciones del estudio y prospectivas de la investigación
Como limitación del estudio, cabe destacar que solo 9 estudios han sido utilizados finalmente para cuantificar el TE. El resto de los estudios (hasta los 34 inicialmente seleccionados en la búsqueda) no tenía como objeto de estudio principal la manipulación de la ISP y muchos de ellos no presentaban los estadísticos mínimos necesarios para conocer su influencia. Estas limitaciones han impedido estimar el número de estudios nulos necesarios para atenuar el hipotético efecto del sesgo de publicación en cada variable dependiente (Rosenthal, 1984) a través del estadístico Z-test (i. e., suma de desviaciones estándar normal para k estudios), así como calcular los test ómnibus (i. e., la variación entre grupos e intragrupos a través de los estadísticos Q total Q between , Q within )
El reducido número de publicaciones existentes hasta la actualidad en torno a la ISP corrobora empíricamente la afirmación de Farrow y Reid (2012) que se trata de la habilidad perceptiva menos estudiada. Por ese motivo, Cañal-Bruland y Mann (2015) alientan a realizar nuevos estudios sobre esta habilidad perceptiva. Futuros estudios deberían testar el juicio de deportistas de diferente nivel respecto a la predicción de la probabilidad de ocurrencia en situaciones reales de juego, ya que la naturalidad con que se percibe esta información situacional es superior respecto a estudios de laboratorio (Abernethy et al., 2001). También se podría investigar si la ISP está influida por la experiencia deportiva (¿perciben y usan mejor los deportistas más veteranos esta ISP en relación con los jóvenes y les ayudan a suplir sus carencias físicas?). Incluso sería interesante relacionar la percepción de la ISP con ciertos estados psicológicos (e. g. estrés, ansiedad, autoconfianza), marcador o tiempo restante de partido y posición que ocupa el deportista en el terreno de juego.

















