Services on Demand
Journal
Article
Indicators
-
Cited by SciELO -
Access statistics
Related links
-
Cited by Google -
Similars in
SciELO -
Similars in Google
Share
Lecturas de Economía
Print version ISSN 0120-2596
Lect. Econ. no.68 Medellín Jan./June 2008
La curva de rendimientos a plazo y las expectativas de tasas de interés en los mercados colombianos de renta fija 2002-2007
The Yield Curve and the Interest Rates Expectations on Fixed Income Market in Colombia Between 2002 and 2007
La courbe de rendements à terme et les anticipations sur les taux d'intérêts dans le marché à revenu fixe en Colombie entre 2002 et 2007
Diego Agudelo RuedaI y Mónica Arango ArangoI
I Diego Agudelo Rueda: docente e investigador del Departamento de Finanzas, Universidad EAFIT, PhD. en Finanzas, Indiana University. Dirección electrónica: dagudelo@eafit.edu.co. Dirección postal: carrera 49 No. 7 sur 50, oficina 26-519, Medellín, Colombia. Mónica Arango Arango: docente e investigadora del Programa de Ingeniería Financiera, Universidad de Medellín, Magíster en Finanzas, Universidad EAFIT. Dirección electrónica: moarango@udem.edu.co. Dirección postal: carrera 87 No. 30-65, oficina 4-104, Medellín, Colombia. Agradecemos la colaboración de Andrés Fernández, Luis Eduardo Arango, Diego Restrepo y Ángela Pérez, así como las sugerencias de dos revisores anónimos. Esta investigación se desarrolló como trabajo de grado para optar al título de Magíster en Finanzas con énfasis en Ingeniería Financiera de la Universidad EAFIT.
–Introducción. –I. Los mercados de capitales y dineros. –II. La Hipótesis de las Expectativas y el spread. –III. Revisión de la literatura. –IV. Resultados. –Conclusiones. –Bibliografía
Resumen: ¿Cómo se incorporan las expectativas de las tasas de interés en la estructura de tipos de interés en Colombia? Las dos principales teorías propuestas son la Hipótesis de las Expectativas (HE) y la Hipótesis de prima por liquidez (HPL). Este estudio contrasta ambas teorías, tanto para las tasas de los TES como las de los CDTs, empleando modelos econométricos de series de tiempo que se controlan por la persistencia de las tasas y su heterocedasticidad. Los resultados soportan la HPL, consistente con el hecho de que en Colombia las tasas de largo plazo tienden a ser mayores que las de corto plazo. De otro lado, las tasas de largo plazo presentan algún poder predictivo sobre las tasas futuras de corto plazo, consistente con la HE.
Palabras claves: Hipótesis de Expectativas, Hipótesis de la prima por liquidez, Estructura temporal de la tasa de interés, Mercado de Capitales, Renta fija. Clasificación JEL: E40, E43.
Abstract: How does the yield curve incorporate expectations on the Colombian future short-term interest rates? Two theories have been proposed to explain it: the Expectation Hypothesis and the Liquidity Preference Hypothesis. This paper tests both theories for the TES yield curve as well as for the CDT yield curve, using time-series models that account for the persistence and heteroskedasticity of interest rates. The results support the Liquidity Preference Hypothesis, consistent with the fact that in Colombia long-term rates have been consistently higher than short-term rates. However we found evidence of some predictive power of the long-term rates on the future short term rates, consistent with the Expectation Hypothesis.
Keywords: expectations hypothesis, liquidity preference theory, term structure of interest rates, capital markets, fixed income. JEL Classification: E40, E43.
Résumé: Comment peut-on considérer les anticipations sur les taux d'intérêts dans la structure des taux d'intérêts en Colombie? Il existe en fait deux approches : celle concernant l'Hypothèse d'Anticipations (HE) et celle concernant l'Hypothèse d'une prime pour la liquidité (HPL). L'objectif de cette étude consiste à contraster ces deux approches à la fois pour les taux associés aux TES (titres de la dette publique) et à la fois pour les taux associés aux CDT's (certificats de dépôts à terme). Pour ce faire, nous avons utilisé des modèles économétriques des séries temporelles lesquels sont contrôlés par la persistance des taxes et par leur heterocedasticité. Les résultats montrent que l'HPL est consistante avec le fait qu'en Colombie les taux à long terme sont plus grands que ceux constatés à court terme. Par ailleurs, les taux à long terme ont un certain pouvoir prémonitoire sur les taxes à court terme attendus dans le futur, ce qui est consistent avec l'HE.
Mots clef: hypothèse d'anticipations, hypothèse d'une prime pour la liquidité, structure temporaire du taux d'intérêt, marché des capitaux, revenu fixe. Classification JEL: E40, E43.
Introducción
El estudio de la estructura temporal de tasas de interés —ETTI— resulta de predilección para los diferentes agentes que participan en los mercados de renta fija, entre los que se encuentran entes reguladores, operadores y analistas, emisores y banqueros de inversión. Según Arosemena y Arango (2004), la ETTI, también conocida como curva de rendimientos a plazo, es un predictor clave en la efectividad de la política monetaria en lo referente a las expectativas de inflación, tasas de interés, actividad económica y déficit fiscal. Una característica que marca la política económica es el efecto rezagado de sus medidas que, al afectar su efectividad, permite a los agentes reaccionar de manera anticipada. En este sentido, los bancos centrales tienen en el estudio de la ETTI un instrumento para estimar las expectativas del mercado en cuanto a tasas de interés, permitiéndoles monitorear la efectividad de la política implementada.
La ETTI es una herramienta importante también para los administradores de portafolios de renta fija, cuando comparan los rendimientos esperados en estrategias alternativas de inversión en diferentes plazos1. A nivel general, si los participantes en el mercado esperan menores tasas de interés en el futuro, estarán interesados, tanto en vender los títulos de corto plazo, como en comprar títulos de largo plazo. La acción de los agentes inducirá una disminución en las tasas de interés de largo plazo y un aumento en las tasas de corto plazo hasta llegar a un equilibrio. De otro lado, agentes especuladores con baja aversión al riesgo y con un horizonte de inversión de corto (largo) plazo, estarían dispuestos a asumir el riesgo de invertir en bonos de largo (corto plazo), cuando el rendimiento esperado de esta estrategia riesgosa supere suficientemente el rendimiento de los bonos de corto (largo).
La curva de rendimientos también posee importancia para los emisores y banqueros de inversión en el diseño de estrategias óptimas de financiación mediante instrumentos de renta fija; debe ser tenida en cuenta en el diseño óptimo de una emisión de bonos, en aspectos tales como, plazo, tipo de tasa cupón, opciones de compra y venta, duración y convertibilidad. Por ejemplo, una curva particularmente empinada, pero con tendencia a aplanarse en su tramo largo, sugiere que es costoso financiarse con bonos de largo plazo, tasa fija, alta duración y sin convertibilidad.
El objetivo del presente estudio es poner a prueba las Hipótesis de Expectativas —HE—y de Prima por Liquidez en la Curva de Rendimientos a Plazos (ETTI) en los mercados colombianos de renta fija. El estudio incluye la ETTI de los TES en pesos transados a través del Mercado Electrónico Nacional de la Bolsa de Valores de Colombia —MEC—, en el periodo comprendido entre 1 de enero de 2002 y 22 de febrero de 2007, así como la ETTI de los CDT en Colombia entre el 25 de septiembre de 2003 y el 1 de junio de 2006.
Este artículo se compone de cinco secciones: en la primera, se exponen brevemente los mercados de TES y CDT en Colombia; en la segunda, se discuten las principales hipótesis o teorías desarrolladas para explicar el comportamiento de la ETTI; en la tercera, se presenta una breve revisión sobre la literatura empírica relevante; en la cuarta sección se exponen los resultados obtenidos; por último, se discuten las implicaciones de los resultados.
I. Los mercados de capitales y dineros
Los activos financieros en Colombia se negocian en dos grandes mercados financieros: el de capitales y el de dineros, los cuales difieren en sus objetivos, función económica y tipo de activos financieros. El mercado de capitales permite la financiación de empresas e instituciones públicas a mediano y largo plazo, mediante instrumentos tales como los TES, acciones y bonos, y además, permite la destinación de los ahorros de la economía a la financiación de proyectos del sector real o de infraestructura. El mercado de dineros, por su parte, se caracteriza por la negociación de activos financieros de muy corta vida (comúnmente menos de un año), con frecuencia son sustitutos del dinero en razón de su elevada liquidez, entre los que sobresalen los CDT, las aceptaciones bancarias y los papeles comerciales; su propósito económico consiste en la financiación de necesidades de liquidez de los diferentes agentes económicos.
A. El mercado de Títulos de tesorería en Colombia
Los TES, títulos de deuda del gobierno nacional, son los activos financieros más representativos y activamente tranzados en el mercado colombiano de capitales. Los denominados TES Clase B, se destinan a la financiación de la Nación a través de apropiaciones presupuestales y operaciones temporales de tesorería del Gobierno Nacional; también expone como objetivos secundarios, desarrollar el mercado de capitales colombiano, incentivando el ahorro a largo plazo, servir como referencia para la conformación de una curva de rendimiento cero cupón, e informar al mercado sobre las expectativas y precios por plazo, entre otros.
En el gráfico 1 se aprecia el significativo aumento en los volúmenes de transacción en el mercado de TES clase B; además, los TES son responsables de la mayor parte del volumen de negociación en los mercados de capitales colombianos, correspondiendo al 81,78% del total del volumen transado en la Bolsa de Valores de Colombia —BVC— en marzo de 2007.2 Dichas características y el alto volumen de negociación le otorgan a los TES un lugar preponderante dentro del sistema financiero colombiano, justificando el estudio de la curva de rendimientos basada en estos títulos.
Gráfico 1. Promedio diario del volumen transado 1999-junio de 2005
B. El mercado de CDT en Colombia
Los CDT son instrumentos de deuda emitidos por los establecimientos de crédito autorizados. Son emitidos con un plazo fijo de mínimo 30 días y pagan una tasa de interés fija o variable, determinada por las condiciones del mercado en el momento de su constitución. Estos títulos se caracterizan por tener una amplia demanda en el mercado colombiano, particularmente entre familias, y son, además, la fuente principal de financiación para las entidades crediticias (Serrano, 2005, p. 136).
Durante el primer semestre de 2007 aumentó la participación de los CDT, de 2,4% en el acumulado del 2006, al 4%3 en el total de las negociaciones realizadas en la BVC, mientras que las aceptaciones bancarias y papeles comerciales tienen una participación inferior al 0,01%. De esta manera, los CDT se constituyen en el activo financiero más representativo del mercado de dineros en Colombia, justificando el estudio de la ETTI de corto plazo basada en dichos títulos.
II. La Hipótesis de las Expectativas y el spread
Para explicar la forma y evolución de la Curva de Rendimientos a Plazo han surgido diversas teorías que la relacionan con la expectativa de la evolución de las tasas de interés y las preferencias de los agentes. Tres son estas teorías ampliamente estudiadas sobre la ETTI: la Hipótesis de Expectativas Racionales, el Hábitat Preferido y la Hipótesis de la Segmentación.
La Hipótesis de Expectativas Racionales, introducida por primera vez por Fisher (1896), tiene como supuesto básico que los agentes forman sus expectativas de la tasa de interés de forma racional, de manera que no incurren en errores sistemáticos en sus predicciones. En consecuencia, los agentes harán predicciones de tasa de interés haciendo uso de toda la información disponible, y las predicciones presentarán errores que seguirán un comportamiento estocástico.
Un caso especial de esta teoría es la Hipótesis de Expectativas Puras —HEP—, la cual postula que en expectativa se obtendrán tasas de interés iguales para estrategias de inversión en el mismo periodo de tiempo, independientemente de los plazos de los bonos empleados en cada uno. En concreto, el valor esperado de la tasa de interés spot futura,4 para un plazo s, que se negociará en el momento t+n-s, será igual a la tasa forward para ese mismo periodo, que se negocie en el momento t, expresándose así:

Claramente, dicha ecuación asume que los agentes no solo son racionales en sus predicciones, sino también, neutrales ante el riesgo. Si un agente neutral ante el riesgo necesita invertir a una tasa de interés con plazo s en el momento t+n-s, la relación (1) hará que para él sea indiferente contratar la tasa forward desde ahora, o esperar hasta t+n-s y negociar la tasa spot que esté vigente en dicho momento.
Consideremos las implicaciones del no cumplimiento de las Hipótesis de Expectativas Puras —HEP— en un mundo neutral ante el riesgo, que se ilustra en el gráfico 2. Si la tasa forward F1,2 es consistentemente menor que la tasa spot futura correspondiente Y1,1, los agentes que buscan invertir de 0 a 2, en lugar de invertir a la tasa spot de dicho horizonte Y0,2 preferirían invertir a la tasa spot de un periodo Y0,2 y luego reinvertir en la tasa spot en el periodo siguiente Y1,1. Por el contrario, si la tasa forward es consistentemente mayor que la tasa spot futura, los agentes que buscan invertir de 0 a 1 lo harían mejor invirtiendo a dos periodos a Y0,2 y liquidando en 1 a la tasa de un periodo Y1,1. En cualquiera de estos dos casos el desequilibrio se resolverá cuando la acción de los agentes lleven la tasas forward F1,2 a ser igual al valor esperado de la tasa spot correspondiente a E[Y1,1].
Gráfico 2. La Hipótesis de Expectativas
Cochrane (2001) considera que es común adicionar una prima de riesgo constante al lado derecho de la ecuación y seguir refiriéndose al modelo como de Hipótesis de Expectativas (HE). Dicha prima de riesgo es la compensación en expectativa que esperan los inversionistas del ejemplo anterior por asumir el riesgo que la tasa en t+n-s sea menor a la tasa forward. En términos generales, la prima de riesgo dependerá de los plazos n y s. De otro lado, para efectos de estudios empíricos se asume que dicha prima, si bien depende de los plazos, es constante a través del tiempo.5
La Hipótesis del Hábitat Preferido surge con el trabajo de Modigliani y Sutch (1966), los cuales postulan que la aversión al riesgo de diferentes grupos de agentes es determinante para la ETTI. Los agentes solo estarán dispuestos a invertir a plazos diferentes a su hábitat preferido a cambio de una prima por plazo; la compensación puede ser positiva, o negativa. En esta hipótesis la tasa de interés forward no es un predictor insesgado de la tasa de interés spot, y el sesgo se explica por la prima por plazo, la cual no tiene un signo definido.
Bajo la Hipótesis de la Prima por Liquidez —HPL— (Hicks, 1939), la tasa de interés forward es un estimador sesgado del tipo de interés futuro, cuyo sesgo se considera positivo, denominado Prima por Liquidez. Existen dos formas alternativas de fundamentar esta hipótesis. En primer lugar, se asume que los agentes prefieren títulos de corto plazo a los títulos de largo plazo en la medida que se redimen más rápidamente, independiente de su liquidez secundaria; por lo cual, la prima por liquidez aumentará monótonamente con la madurez de los títulos. En segundo lugar, se asume que los títulos de más largo plazo son considerados más riesgosos y, por tanto, deben ofrecer una compensación superior.
La relación entre madurez y riesgo que presenta la teoría de la prima por liquidez, se basa en el supuesto que, el mercado está dominado por los agentes financieros con más impaciencia temporal y, en consecuencia, es más sensible al riesgo de tasa, propio de los títulos de largo plazo, y menos sensible al riesgo en títulos de vencimiento a corto plazo. En equilibrio se iguala el rendimiento esperado en todas las estrategias posibles de inversión o de endeudamiento, por tanto, el diferencial de rendimientos de títulos de distinta madurez refleja, no solo expectativas sobre la tasa de interés, sino también la existencia de una prima de compensación al riesgo o de liquidez.
La Hipótesis de la Segmentación (Culberston, 1957) considera individuos con aversión extrema al riesgo, que no están dispuestos a invertir por fuera de su hábitat preferido; esto implica que, el rendimiento de bonos para cada plazo se determina en mercados independientes. En estas circunstancias, la tasa de interés forward carece de interpretación económica.
En concordancia con la literatura empírica sobre el tema, este estudio se centrará en las Hipótesis de Expectativas y de Prima de Liquidez. Se dejan de lado las Hipótesis del Hábitat Preferido y de Segmentación al tratarse de teorías que no proponen implicaciones empíricas definidas ni sobre la relación entre las tasas forward y las spot futuras, ni sobre la existencia de una prima de riesgo entre las dos. Más aún, la Hipótesis de Segmentación ha sido duramente criticada, ya que descarta completamente la existencia de un mercado global de bonos y considera títulos de diferentes plazos como activos completamente independientes, todo lo cual está en abierta contradicción con los modelos teóricos de tasa de interés y con observaciones casuales de la forma como operan los agentes en estos mercados.
III. Revisión de la literatura
Existe una abundante literatura dedicada al análisis la ETTI, por razones de espacio nos concentraremos en la que resulta más relevantes para nuestro estudio.
A. Contraste de la Hipótesis de las Expectativas Puras y Prima por Liquidez
La mayoría de los modelos desarrollados para contrastar la HE parten del supuesto de expectativas racionales, según la cual los agentes realizan predicciones de la tasa de interés utilizando, de manera eficiente, la información disponible, incluyendo la historia de las tasas mismas. De esta forma, sus expectativas sobre las tasas spot son insesgadas:

Donde εt+n-s,s es el error de predicción de la tasa a un plazo s; t+n-s es el periodo hacia delante de la tasa a plazo s, y la predicción tiene origen en el momento t. Esta perturbación no debe estar correlacionada con variables del conjunto de información disponible en t. yt+n-s,s es la tasa spot en el periodo t+n-s. Et, a su vez, indica la esperanza condicionada al conjunto de la información disponible en t, es decir, el mecanismo generador de expectativas. Además, la HE toma la tasa forward como el predictor fundamental de la futura tasa spot; con lo cual el modelo resultante es:

Los estudios que ponen a prueba la HE, deben realizar supuestos sobre el mecanismo generador de expectativas que utilizan los agentes, y a la vez asumir eficiencia del mercado; por lo tanto, la hipótesis nula que se contrasta en estos estudios es conjunta (Hamburger y Platt, 1975, p. 191), por lo cual su rechazo no implica necesariamente el rechazo de la HE sobre el comportamiento de la ETTI. Este resultado puede deberse, alternativamente, a que el mercado no es eficiente o a que no se empleó el verdadero mecanismo generador de expectativas
A nivel internacional son muchos los estudios que se han realizado sobre la ETTI, centrándose tradicionalmente en determinar si el spread (margen) entre el tramo largo y corto de la curva (Prima de Plazo) contiene información sobre los cambios futuros en la tasa de interés. Los resultados obtenidos por la evidencia empírica son muy variados, así como los métodos de estimación utilizados; entre ellos se destacan: Hamburger y Platt (1975), quienes estudian el comportamiento del tramo corto de la ETTI para Estados Unidos en un periodo de 10 años. Los autores estudian las Hipótesis de Expectativas Puras desde dos perspectivas, el supuesto de eficiencia débil y el de eficiencia semifuerte para el mercado de las letras del Tesoro; los autores estiman inicialmente el modelo (2), plantean modelos que incluyen los diferenciales de las tasas, e incluso ponen a prueba la causalidad de las variables. La principal conclusión de dicho estudio es que, la tasa forward de tres meses para el periodo analizado es un pobre predictor de la tasa futura spot de largo plazo.
Fama (1984) propone el modelo (6) en primeras diferencias, el cual permite verificar si la prima forward explica las variaciones en las futuras tasas de interés esperadas a corto plazo, requiriendo un parámetro β= 1 para verificar la existencia de Hipótesis de Expectativas. No obstante, Fama obtiene una pendiente significativamente inferior a la unidad (βs < 1); es decir que, cuando la tasa forward es alta, la tasa spot no crece en igual magnitud, y por tanto se rechaza la HE. Alternativamente, el autor propone trabajar con las diferencias tanto de la spot como de la forward sobre la spot presente del mismo plazo, como se expresa a continuación:

Un estudio reciente presentado por Fama (2006), analiza la conducta de las tasas de interés de los bonos del Tesoro para el periodo comprendido entre 1952 a 2004. Para ello estima, por Mínimos Cuadrados Ordinarios, la prima forward como variable explicativa del spread en la spot, tal como se presenta en la expresión (4). Este estudio encuentra que la tasa forward sí es informativa con relación a la tasa spot futura para horizontes superiores a un año, y que su capacidad de predicción, medida con el R2, aumenta con el plazo.
El estudio de Campbell y Shiller (1991) pone a prueba la Hipótesis de Expectativas para diferentes combinaciones de vencimientos, comenzando en un mes hasta 10 años. La principal conclusión que expone este trabajo es que, el diferencial de tasas no predice correctamente los movimientos de las tasas a largo plazo, pero sí los movimientos en las tasas de interés a corto plazo de la manera que implica la teoría de las expectativas (Campbell y Shiller, 1991, p. 510). Los autores emplean como herramienta econométrica vectores autoregresivos, porque argumentan que el análisis por Mínimos Cuadrados Ordinarios posee algunos inconvenientes econométricos, debido a que la superposición de tasas genera problemas de autocorrelación de los errores (Hodrick, 1990, p. 3, 4).
B. Contraste de la Hipótesis de las Expectativas en Colombia
Para el caso colombiano solo encontramos el estudio realizado por Rey (2005), quien contrasta la Hipótesis de Expectativas en la estructura a plazos de tasas de interés de TES usando parte de la metodología propuesta por Campbell y Shiller (1991), con series desde mayo de 2000 hasta noviembre de 2004. El autor limita su investigación a las negociaciones realizadas en el Sistema Electrónico de Negociación -SEN- y estima la curva de rendimientos utilizando splines cúbicos suavizados. La evidencia empírica presentada en dicho trabajo rechaza la Hipótesis de las Expectativas en la mayoría de los plazos, excepto a 80 y 270 días. Rey reconoce, sin embargo, que los resultados obtenidos en esta investigación son condicionales al método de estimación de la curva cero-cupón, al periodo muestral y a la fracción del mercado SEN empleada.
IV. Resultados
A. Mercado de capitales
Las tasas spot que se tomaron para desarrollar la estimación están dadas en términos anuales continuos, y proceden de la base de datos Infoval entre 1 de agosto de 2002 y 27 de febrero de 2007 de los títulos transados a través del Mercado Electrónico Nacional —MEC— de la Bolsa de Valores de Colombia. Infoval suministra a sus suscriptores los parámetros β0, β1, β2 y τ que permiten calcular las tasas spot cupón cero para cada plazo t, en cada día de negociación, según la siguiente expresión:

Dichos parámetros son determinados por Infoval con base en las tasas de negociación del día, mediante el uso de bootstrapping para obtener las tasas cupón cero, e interpolando mediante el método de Nelson y Siegel (1987).
El gráfico 3 muestra la evolución de la estructura a plazo de la tasas de interés spot en Colombia con base en los datos suministrados por Infoval. Esta representación da indicios de la no estacionariedad de las series de tasas de interés para los diferentes plazos, de la persistencia de las tasas y de los clusters de volatilidad. Además, se sugiere que para el periodo de análisis, la ETTI disminuyó el spread entre el tramo corto y largo, indicando un posible aplanamiento en los últimos periodos de análisis.
Gráfico 3.6 Las tasas spot en los TES clase B en Colombia 2002-2007
Como punto de partida, tomamos las tasas spot procedentes de la ecuación (5) para el viernes de cada semana, o en su ausencia, el último día de la semana con transacciones para plazos t de 180, 360, 540, 720, 900 y 1080 días. Con base en dichas tasas spot se calculan las cinco tasas forward correspondientes a periodos de 180 días, es decir f180,360, f360,540, f540,720, f720,900 y f900,1080. Las tasas spot futuras se toman siempre con un plazo de 180 días, y se hacen corresponder con la tasa forward que comprende el mismo periodo. Por ejemplo, la spot futura de 180 días de plazo en t + 180 días, se asocia con la forward f180,360 en t.7
El modelo inicial para contrastar las hipótesis de Expectativas y de Prima por Liquidez es el siguiente:

Donde yt+n-s, s es la tasa spot futura dada en t+n-s y con plazo s, que corresponde al mismo periodo de la tasa forward ft+n-s, s dada en t. De la discusión de la sección anterior, por la Hipótesis de Expectativas, se espera que βs sea igual a 1,0 y αs sea no negativo, mientras que la Hipótesis de Expectativas Puras, como caso particular, implica un αs igual a cero. En contraste, la Hipótesis de Prima por Liquidez implica un αs negativo.
Como requisito previo para la estimación de la ecuación (6), es necesario comprobar que las tasas spot y forward sean estacionarias. En tal sentido se utilizan las pruebas de raíz unitaria Augmented Dickey-Fuller—ADF—, Phillips- Perron—PP— y Kwiatkowski-Phillips-Schmidt-Shin—KPSS— (omitidos).8
Los resultados obtenidos nos indican la necesidad de transformar las series para garantizar su estacionariedad; una de las opciones consiste en tomar la primera diferencia a ambos lados de la ecuación (6), es decir, trabajar con las primeras diferencias de las tasas forward y las spot. Sin embargo, dicha opción presenta dos serias desventajas: en primer lugar, la constante αs se eliminaría, lo cual impediría estimar la prima de riesgo y/o liquidez; en segundo lugar, se puede comprobar que esto reduce la relación signal-to-noise ratio (señal sobre ruido) reduciendo la significancia del coeficiente βs. En su lugar, empleamos la transformación propuesta por Fama (1984, 2006) que resta a ambos lados la tasa spot en t para el plazo s. Bajo la hipótesis nula βs = 1, (6) se transforma en (7). De esta forma, la variable dependiente del modelo es la "spread de la spot", definida como la diferencia entre la spot futura y la presente, S = yt+n-s, s - yt, s y la variable independiente, es la Prima forward, es decir la diferencia entre la tasa forward y la spot P= ft+n-s, s - yt, s.

El comportamiento de extrema persistencia de la prima forward, reflejado en las tasas de interés colombianas, es consistente con el presentado en los diferentes estudios realizados a nivel internacional, como lo indican Baillie y Bollerslev (2000). Dicho resultado ha persuadido a algunos autores sobre la existencia de componentes no estacionarios: es el caso de Evans y Lewis (1995) y Crowder (1994). Es por ello que la estimación del modelo (10) incluye términos autorregresivos y varianzas condicionales de los procesos de innovación.
En el gráfico 4 se presenta la serie de tiempo del spread de la spot y la Prima forward para diferentes plazos. A simple vista, el gráfico 4 sugiere un comportamiento constante de la Prima forward entre las tasas corto plazo —CP— y largo plazo —LP—. Sin embargo, hay importantes variaciones, ya que pasó de ser 4% a mediados del 2000 a 6% a mediados del 2005 y a casi 2% a mediados del 2006. De otro lado, no hay un Efecto Nivel evidente: los picos de volatilidad no están ligados al nivel, pero si a subidas de la tasa de interés. Los gráficos sugieren un movimiento conjunto entre las Primas forward y la spread de la spot futura correspondiente como postula la HE. Ahora bien, en general, la Prima forward suele estar por encima de la spread de la spot, lo cual es consistente con la HPL que implica que las spot de corto plazo son en general menores a las forward, ya que estas proceden de las spot de largo plazo; por supuesto, estas apreciaciones visuales solo son sugerentes y deben ser verificadas en el modelo econométrico.
Gráfico 4. Spread de la tasa spot y la Prima de la forward en los TES clase B 2002-2006
Para establecer si las series spread de la spot y Prima de la forward son estacionarias, se emplean las pruebas de estacionariedad antes mencionadas; las cuales no soportan estacionariedad para ninguno de los spread de la spot pero no así para las primas de la forward (omitidas). Ahora bien, visualmente se sugiere la existencia de cambios estructurales en los spread de las spot. Por su parte, Enders (2004, p. 201) reconoce que el poder de los test de estacionariedad es bastante bajo ante cambios estructurales, y que un salto estructural es fácilmente confundible con una raíz unitaria. Mediante la Prueba de Chow se confirma un cambio estructural alrededor de la primera semana de mayo de 2006, correspondiendo a un periodo de alta volatilidad e incremento en las tasas de interés en los mercados internacionales. En dichos días el nerviosismo de los agentes frente al rumbo de las políticas en economías desarrolladas parece haber precipitado caídas en los precios de los bonos de deuda pública de mercados emergentes.
Es común que las series macroeconómicas presenten procesos de raíz unitaria, lo que significa que los choques que presenten serán permanentes. Sin embargo, Vogelsang y Perron (1998) sustentan que muchas series económicas pueden definirse mejor en términos de saltos estructurales. Más aún, las pruebas clásicas de estacionariedad no son válidas en series que presenten esta característica. En este sentido, para definir si las series de tasas de interés son integradas se hace necesario emplear pruebas de raíz unitaria que tengan en cuenta quiebres estructurales.
Vogelsang y Perron (1998) proponen un método para identificar la presencia de raíz unitaria cuando hay cambio estructural. Su modelo incluye dos tipos de cambio estructural: el primero, denominado additive outlier (AO), caracterizado como un salto en nivel; el segundo, llamado innovational outlier (IO) en el cual se da un salto en pendiente. En el gráfico 4, al observar la evolución de la Prima de la spot se identifican cambios bruscos tanto en nivel como en pendiente, por lo cual se consideró apropiado un modelo que incluyera ambos tipos.
El primer paso del método consiste en hacer una regresión de la spot para cada vencimiento con salto estructural y tendencia:

Donde DUt=1(t > Tb) representa el salto en nivel, y DTt=1(t > Tb) (t-Tb) el salto en pendiente. Tb representa el momento en el cual se presentan los cambios estructurales. Tb se determina en un rango de fechas, como aquella que maximiza el estadístico t de Student del coeficiente γ en la regresión (11). Las fechas y los coeficientes respectivos se indican en la tabla 1.
Tabla 1. Coeficientes en el modelo de dos saltos estructurales (AO y IO) en Vogelsang y Perron, (1998) en el periodo de cambio estructural.

El segundo paso del método consiste en probar la hipótesis de raíz unitaria, probando si α =1, con el estadístico t de Student en la regresión de los residuales de (11) en la siguiente ecuación:

Donde yt son los residuales de la ecuación (11) y se incorporan además del primer rezago de dicha variable y k rezagos de las primeras diferencias, un grupo de k+1 dummies definidos como D(Tb) t=1(t=Tb+1). El k óptimo es determinado mediante el Criterio de Scharwz ( BIC)
Tabla 2. Resultados de la prueba de raíz unitaria con el método de Vogelsang y Perron, (1998) para un modelo de dos saltos estructurales (AO y IO)

El estadístico t para probar α = 1 consiste en seleccionar Tb con el máximo |tγ|, para un tamaño de muestra inferior a T = 100, 150, ∞, observaciones; con máximo de ocho rezagos (K=8) y el criterio de Scharwz más negativo.
En la tabla 2 se observa que los valores críticos presentados por Vogelsang y Perron (1998, p. 1081) son inferiores en valor absoluto a los estadísticos t obtenidos en la estimación; por lo cual se rechaza la existencia de raíz unitaria para los spread de la spot en los vencimientos analizados. La única excepción es S360, 540, para la cual el modelo, en lo sucesivo, deberá ser planteado en diferencias.
Para obviar el problema que induce el salto estructural en las variables spread de la spot, el modelo (10) será corrido con la variable filtrada procedente de (11), con lo cual estaremos obviando el efecto de la tendencia y los saltos estructurales. El modelo (10) que explica el spread de la spot en función de la Prima de la forward incluye efectos AR a efectos de neutralizar autocorrelación de los errores, inducida por la superposición de periodos y la persistencia de las variables. Asimismo, se incluyen efectos GARCH para tener en cuenta la heterocedasticidad temporal de las variables. Al involucrar ambos tipos de efectos, se logra que los residuales sean ruido blanco.9 Los resultados del modelo (10) se presentan en la tabla 3.
Tabla 3. Resultados de las estimaciones entre los spread de las spot y las primas de las forward en los TES 2002-200710

Los valores en corchetes son los errores estándar de las primas forward. Los valores en paréntesis son los estadísticos z estandarizados,11 para un nivel de confianza del 95% no se puede rechazar la hipótesis de que dichos coeficientes son estadísticamente diferentes de cero, pero ninguno es igual a la unidad. Pt,t+180 es la prima forward para t= 180,360,540,720 y 900. Los modelos incluyen efectos AR(p), ARCH y GARCH.

* La constante en este caso no permite obtener explicación sobre el comportamiento de la prima ya que para dicho vencimiento el modelo se estimó sobre las primeras diferencias de las series.
En los cinco modelos presentados en la tabla 3, se obtiene una pendiente βs significativamente inferior a la unidad. Por lo tanto, los resultados indican que la tasa forward no es un predictor perfecto de la tasa al contado, y se rechaza la implicación de la Hipótesis de Expectativas: βs = 1. Sin embargo, el coeficiente positivo y estadísticamente diferente de cero también señala que las tasas forward tienen algún poder predictivo sobre las tasas spot futuras. De otro lado, a mayor plazo, dicho poder predictivo tiende a disminuir.12
Los resultados también revelan una constante negativa y significativa para cuatro de los cinco modelos estimados. Este resultado coincide con la Hipótesis de la Prima por Liquidez presentada por Hicks, según lo expresan Cox, Ingersoll y Ross (1985), porque según ellos, la aversión al riesgo hará que las tasas forward sean sistemáticamente mayores que las tasas spot esperadas a medida que aumenta la madurez. En este contexto, la Prima por Liquidez es el incremento requerido para inducir al inversionista a mantener títulos de vencimiento a largo plazo (más riesgosos). También se esperaría que títulos con un mayor vencimiento otorgaran una Prima por Liquidez Superior, ya que el inversionista estaría sacrificando una mayor liquidez presente. No observamos un patrón de Prima de Liquidez mayor para plazos mayores en los modelos intermedios, pero es claro que ésta es menor para vencimientos a 360 días y mayor para vencimientos de 1080 días.
Si bien los resultados anteriores son estadísticamente significativos en la mayoría de casos, es necesario determinar si son importantes en términos económicos (ver tabla 4). Estimar el efecto económico de la Prima forward sobre el spread de la spot, requiere multiplicar un cambio típico de la variable independiente por el coeficiente estimado, y compararlo con un cambio típico en la variable dependiente, dado por su desviación estándar.
Tabla 4. Efectos de cambio económico

Así, por ejemplo, un cambio típico (una desviación estándar) de la Prima de la forward con un vencimiento de 360 días explica un cambio de 0,733% en spread spot futura de 180 en 360, lo que equivale al 100% de su desviación estándar. —Los demás efectos económicos se presentan en la tabla 4, demostrando que la predicción de la forward sobre la spot futura es significativa en términos económicos para todos los casos—. Adicionalmente, en los resultados de la tabla 4 se comprueba que la Prima de Liquidez está en el rango de -1,11% a -0,95% anuales continuos, claramente importante para el nivel de las tasas spot en la muestra de este estudio. Los resultados nos sugieren, en términos económicos, que la mayoría de agentes en el mercado de TES han preferido invertir en activos financieros de corto plazo en el periodo estudiado, asegurándole prioridad a la liquidez, aunque la reinversión (rollover) afecte su rentabilidad neta esperada en el largo plazo.
B. Mercado de dinero
Las tasas spot para Certificados de Depósito a Término —CDT— se calculan sobre los parámetros ofrecidos por Infoval entre el 25 de septiembre de 2003 y el 1 de junio de 2006. Infoval suministra a sus suscriptores los parámetros β0, β1, β2 y τ que permiten calcular las tasas spot cupón cero para cada plazo t, en cada día de negociación, según la expresión (8) de Nelson y Siegel (1987). A pesar de que los plazos que se trabajaron en la Curva de CDT son menores a los de la curva de TES-clase B, el procedimiento para obtener las estimaciones es el mismo procedimiento descrito anteriormente.
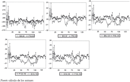
Como en el caso de los TES, los resultados de las pruebas de raíz unitaria (omitidos), para las tasas spot de los CDT nos indican la necesidad de transformar las series para garantizar su estacionariedad. En consecuencia, empleamos una transformación que resta a ambos lados la tasa spot en t para el plazo s. Bajo la hipótesis nula βs = 1, (6) se transforma en (7), como en Fama (1984, 2006), obteniendo un modelo estacionario. El gráfico 5 nos indica un comportamiento dinámico de los spread de las spot de los CDT a diferentes plazos. En general la prima de la forward supera la spot futura correspondiente, lo que de entrada sugiere la existencia de una Prima por Liquidez.
Gráfico 5. Spread de la tasa spot y Prima de la tasa forward en los CDT 2003-2006
Al realizar las pruebas de raíz unitaria para los spread y para las Primas, se comprueba que las series son estacionarias (omitidas). A continuación, se estima el modelo (7) incluyendo efectos ARMA y GARCH de las innovaciones, para garantizar que los residuales sean ruido blanco. Los resultados de dicha estimación se presentan en la tabla 5.
Tabla 5. Resultados de las estimaciones entre los spread de las spot y las primas de las forward en los CDT 2003-2006

En tres de los cinco modelos presentados se obtiene una pendiente βs significativamente diferente a la unidad. Por tanto, los resultados tienden a señalar que el tipo forward no es un predictor perfecto del tipo al contado, y se rechaza la implicación de la Hipótesis de Expectativas: βs = 1 para los plazos intermedios. Sin embargo, como en el caso de los TES, el coeficiente positivo y estadísticamente diferente de cero, también implica que las tasas forward tienen algún poder predictivo sobre las tasas spot futuras, en particular para los plazos de 30 y 150 días.
La constante es significativa en todos los casos, revelando un patrón interesante. En los cuatro primeros modelos dicha constante es negativa y significativamente diferente de cero en concordancia con la HPL. Pero dicha constante, entendida como Prima de Liquidez, tiende a aumentar con el plazo. Sin embargo, en el último modelo la constante reportada es positiva y significativamente diferente de cero, lo cual contradice la HPL. En concordancia con la HE, esta constante puede interpretarse como una Prima por Riesgo que refleja la preferencia del mercado por invertir en plazos de 180 días contra invertir a 30 días, y más aún a plazos entre 60 y 150 días.
Las constantes obtenidas en los modelos de la tabla 5 reflejan primas entre 0,2 y 1%, claramente inferiores a las obtenidas para la curva de los TES, lo cual es predecible por los menores plazos y riesgos percibidos en el mercado de dineros.
De otro lado, los efectos económicos de la prima de la forward sobre el spread de la spot futura para la Curva de los CDT, se calcularon de la manera descrita en el caso de los TES. Los resultados obtenidos, omitidos por falta de espacio, reflejan un efecto económico de magnitud apreciable en todos los plazos.
Conclusiones
El presente estudio propone una prueba empírica de dos hipótesis, no excluyentes, que buscan explicar el comportamiento de la ETTI, y su relación con las tasas spot futuras de corto plazo. La primera, la Hipótesis de Expectativas, propone que las tasas forward obtenidas de la ETTI son predictores insesgados de las tasas futuras de corto plazo correspondientes, más una prima no negativa de riesgo. La segunda, la Hipótesis de Prima por Liquidez, establece que, en general, los agentes del mercado prefieren títulos de menor plazo por su vencimiento más cercano y que, por ende, demandan una prima para invertir en títulos de mayor plazo. De esta forma, las tasas forward estarían por encima de las tasas spot futuras de corto plazo correspondientes.
El modelo econométrico básico busca explicar los cambios en la tasa spot futura con base en los cambios en la tasa forward correspondiente. Examinando la literatura empírica sobre el tema, se evidencia la necesidad de controlar la superposición de sus períodos por la persistencia de las tasas, y por su posible no estacionariedad. Estos problemas fueron controlados con dos estrategias básicas en el presente estudio: en primer lugar, el modelo se planteó con transformaciones de la forward y la spot futura, y en segundo lugar, el modelo incorporó efectos ARMA y GARCH, y variables de tendencia y cambio estructural, según se requirió, para garantizar estacionariedad y residuales ruido blanco.
Los resultados obtenidos soportan, en general, la Hipótesis de la Prima de Liquidez. En tres de cinco casos para la curva de los TES, las tasas forward de 180 días presentan una prima negativa y estadísticamente significativa por encima de las spot futuras de 180 días. En los otros dos casos la prima no es estadísticamente distinguible de cero. Asimismo, en cuatro de cinco casos, para la curva de los CDT las tasas forward de 30 días presentan una prima estadísticamente significativa por debajo de las spot futuras de 30 días. Tomada en conjunto, la evidencia sugiere la presencia de una Prima de Liquidez económicamente importante tanto en los mercados de CDT como en el mercado de TES en los últimos años, consecuente con la preferencia por el corto plazo que ha sido reconocida en nuestro mercado financiero.
Como una notable excepción a lo anterior, en el caso de los CDT, encontramos una prima positiva entre la forward de 30 días, empezando en 150 días, y la spot futura correspondiente. Esto parece sugerir que en el mercado de CDT hay una preferencia por invertir a un plazo de 180 días, en consonancia con la evidencia anecdótica de dicho mercado.
En resumen, la Prima de Liquidez parece una explicación válida del empinamiento persistente de la curva ETTI en Colombia en los últimos años, y de que no se hayan observado estructuras de tasas planas ni invertidas, a pesar del descenso de las tasas, al menos en los mercados, plazos y periodos de los que trata este estudio.
De otro lado, la evidencia permite rechazar la Hipótesis de Expectativas. En la mayoría de las regresiones de la spot futura, no solo el coeficiente de la prima de la forward es significativamente inferior a uno, sino que en general la constante es no positiva. Sin embargo, en todos los casos, sin excepción, la prima de la forward presenta un coeficiente positivo y estadísticamente significativo, con un importante efecto económico correspondiente. De lo anterior, podemos afirmar que la tasa forward sí contiene información sobre las tendencias futuras de la tasa spot, aun controlando por la persistencia y predictibilidad de dicha tasa. Esto último, tomado en conjunto con el resultado de la Prima de Liquidez, permite asegurar que en general, curvas ETTI particularmente empinadas predicen en cierto grado tasas de corto plazo incrementales, y que curvas ETTI menos empinadas sugieren tasas de corto plazo con tendencia a la baja.
Hacemos la salvedad que estos resultados son condicionales al modelo de expectativas empleado y a la eficiencia de mercado. De esta forma, si bien el rechazo de la Hipótesis de Expectativas podría entenderse como evidencia en contra de la eficiencia de mercado, puede argüirse que el modelo de expectativas empleado omite variables que el mercado tiene en cuenta para predecir mejor las spot futuras. Esta omisión potencialmente sesga la estimación del coeficiente de la tasa forward, como ha sido reconocido por Hamburger y Platt (1975).
Consideramos que este estudio tiene implicaciones importantes para entes reguladores, inversionistas y emisores. En primer lugar, la evidencia de la HE sugiere que la ETTI sí incorpora en algún grado las expectativas de los agentes y, por ende, es una consideración importante para los modelos de política monetaria. En segundo lugar, la existencia de una Prima de Liquidez y el rechazo parcial de la HE, sugiere que es posible implementar estrategias riesgosas de corto plazo con títulos de largo plazo, que generen un rendimiento esperado superior al de títulos de corto plazo. En tercer lugar, la existencia de la prima de liquidez hace indeseable para los emisores endeudarse con títulos de tasa fija, de largo plazo y/o altas duraciones, en particular cuando la ETTI esté altamente empinada; además, otros factores sugieran una reducción relativa esperada de las tasas de largo plazo con relación a las de corto plazo.
Este estudio deja aplicaciones de la ETTI y exploraciones adicionales para futuras investigaciones. Consideramos interesante estudiar las interacciones entre las ETTI de los CDT y de los TES para plazos similares, en especial, dado que cada vez es más frecuente encontrar CDT a plazos de uno a cinco años. Esto resulta aún más interesante dada la conocida paradoja de que los TES han presentado frecuentemente rendimientos superiores a los CDT de iguales plazos negociados en los mercados secundarios (Serrano, 2005, p. 67). También consideramos interesante plantear un modelo que permita estimar el desempeño relativo de inversiones en un mismo periodo, que empleen títulos de diferente duración, o un modelo que permita evaluar el costo financiero esperado de diferentes alternativas de emisión de bonos. De otro lado, como una prueba de robustez, recomendamos comparar las conclusiones de este estudio con suficientes datos posteriores a la crisis de mediados del 2006.
Bibliografía
1. Arango, Luis Eduardo; González, Andrés; León, John Jairo y Mel o, Luis Fernando (2007). "Efectos de los cambios en la tasa de intervención sobre la estructura a plazo", Borradores de Economía, Banco de la República de Colombia, No. 424, pp. 1-28. [ Links ]
2. Arango, Luis Eduardo; Flórez, Luz Adriana; Aroseme na, Angélica María (2004). "El tramo corto de la estructura a plazo como predictor de expectativas de actividad económica en Colombia", Borradores de Economía, Banco de la República, No. 279, pp. 1-21. [ Links ]
3. Arango, Luis Eduardo; Florez, Luz Adriana (2004). "Expectativas de actividad económica en Colombia y estructura a plazo: un poco más de evidencia", Revista ESPE, No. 47 Diciembre 2004, pp. 126-160 [ Links ]
4. Baillie, Richard y Bolle rsle v, Tim (2000). "The forward premium anomaly is not as bad as you think," Journal of International Money and Finance, Elsevier, Vol. 19, No. 4, Agosto 2000, pp. 471-488. [ Links ]
5. Bekaert, Geert; Hodrick Robert J. y Marshall , David A. (1996). "On Biases in Tests of the Expectations Hypothesis of the Term Structure of Interest Rates", National Bureau of Economic Research, Inc. NBER Technical Working Papers 0191. [ Links ]
6. Bekaert, Geert y Hodrick, Robert J. (2001). "Expectations Hypotheses Tests", The Journal of Finance, Papers and Proceedings of the Sixty-First Annual Meeting of the American Finance Association, New Orleans, Louisiana, Vol. 56, No. 4, Aug., 2001, pp. 1357-1394 [ Links ]
7. Bolsa de Valores de Colomb ia (2007). "Los mercados de la bolsa de valores en Colombia", Boletín mensual Bolsa de Valores de Colombia, disponible en:www.bvc.com.co/bvcweb/archivos/boletines/Mensual/LOS%20 MERCADOS%20DE%20LA%20BVC%20EN%20MARZO.pdf. (16 de Julio de 2007) [ Links ]
8. Campbel , John; Lo, Andrew y Craig Mackinlay (1997). The Econometrics of Financial Markets, Estados Unidos, Paul A. Samuelson Award, presented by TIAA-CREF [ Links ]
9. Campbel , John y Shille r, Robert J. (1991). "Yield Spreads and Interest Rate Movements: A Bird's Eye View," Review of Economic Studies, Blackwell Publishing, Vol. 58, No. 3, Mayo 1991, pp. 495-514. [ Links ]
10. Chordia, T; Goyal A.; Sadka, G.; Sadka R. y Shivakumar L. (2006). Liquidity and the postearnings-announcement-drift, Manuscript, London Business School. [ Links ]
11. Cochrane, John H. (2001). Asset Pricing, Estados Unidos, Princeton University Press [ Links ]
12. Crowder, William J. (1994). "Foreign Exchange Market Efficiency And Common Stochastic Trends," Journal of International Money and Finance, Elsevier, Vol. 13, No. 5, pp. 551-564. [ Links ]
13. Córdoba, Juan (2005). "Aportes de la Ley del Mercado de Valores" Superintendencia Financiera de Colombia, agosto 1 de 2005, disponible en: www.superfinanciera.gov.co/seminarios/JUANCORDOBA%20BVC.pps (Enero 5 de 2006) [ Links ]
14. Cox, Jhon, Ingersoll , Jonathan and Ross, Stephen (1985). "A Theory of the Term Structure of Interest Rates", Econometrica, Vol. 53, pp. 385-407. Culbe rston, J. (1957). "The term structure of interest rates", Quarterly Journal of Economics November 1957, Vol. 71, pp. 485-517. [ Links ]
15. Enders, Walter (2004). Applied Econometric Time Series, John Wiley & Sons. [ Links ]
16. Evans, Martin; Lewis, Karen K. (1995). " Do Expected Shifts In Inflation Affect Estimates Of The Long-Run Fisher Relation?", Journal of Finance, American Finance Association, Vol. 50, No. 1, pp. 225-53. [ Links ]
17. Fama, Eugene F. (1970). "Efficient Capital Markets: a Review of Theory and Empirical Work", Journal of Finance, American Finance Association, Vol. 25, No. 2, Mayo, pp. 383-417. [ Links ]
18. Fama, Eugene F. (1976). "forward rates as predictors of future spot rates", Journal of Financial Economics, Vol. 3, Issue 4 , University of Chicago, Chicago, IL, USA, Octubre, pp. 361-377. [ Links ]
19. Fama, Eugene F. (1984). "The information in the term structure", Journal of Financial Economics, Vol. 13, pp. 509-528. [ Links ]
20. Fama, Eugene F. (2006). "The Behavior of Interest Rates", The Review of Financial Studies, Vol.19, No. 2, pp. 360 – 379. [ Links ]
21. Fama, Eugene F y Bliss, Robert R. (1987). "The Information in Long-Maturity forward Rates," American Economic Review, American Economic Association, Vol. 77, No. 4, Septiembre, pp. 680-92. [ Links ]
22. Fisher, Irving. (1896). "Appreciation and Interest", AEA Publications, Vol. 11, No. 3, pp. 331-442. [ Links ]
23. Hicks, John. (1939). Value and capital, Oxford University Press. [ Links ]
24. Hodrick, Robert J. (1990). "Dividend yields and expected stock returns: alternative procedures for inference and measurement", Review of Financial studies, Vol. 5, pp. 357-386. [ Links ]
25. Hamburger, Michael J. y PLATT , Elliott N. (1975). "The Expectations Hypothesis and the Efficiency of the Treasury Bill Market", The Review of Economics and Statistics, Vol. 57, No. 2, May, pp. 190-199 [ Links ]
26. Modigliani, Franco y Sutch, Richard (1996). "Innovations in Interest Rate Policy", The American Economic Review, Vol. 56, No. 1/2, Marzo - Mayo, pp. 178-197. [ Links ]
27. Nelson, Charles R.; Siegel , Andrew F. (1987). "Parsimonious Modeling of Yield Curves", The Journal of Business, Vol. 60, No. 4, Octubre, pp. 473-489 [ Links ]
28. Phoa, Wesley (1998). Advanced Fixed Incomed Analytics, New Hope, Pennsylvania, publicado por Frank Fabozzi Associates. [ Links ]
29. Revista Dinero (2007). "Disminuyen negociaciones en BVC", Revista Dinero, disponible en: www.dinero.com.co/wf_InfoArticulo.aspx?idArt=36785. (16 de Julio de 2007) [ Links ]
30. Rey, Manuel (2005). La hipótesis de expectativas en la estructura a plazo de las tasas de interés: una estimación para Colombia, Tesis, Universidad del Rosario. [ Links ]
31. Sanjay, K. Nawalkha; Soto, Gloria M. y Bel iaeva, Natalia K. (2005). Interest Rate Risk Modeling: the Fixed Income Valuation Course, University of Massachusetts [ Links ]
32. Svensson, Lars. (1995). "Estimating and interpreting forward interest rates: Sweden 1992-1994", International Monetary Fund, Working paper, D95-1. [ Links ]
33. Serrano, Javier (2005). Mercados financieros, Ariel, Colombia [ Links ]
34. Thornton, Daniel L. (2003). "Tests of the Expectations Hypothesis: Resolving the Campbell-Shiller Paradox", Working Paper Series, Federal Reserve Bank Of St. Louis Research Division, August, Revised September 2004. [ Links ]
35. Vogel sang, Timothy J. y Perron, Pierre (1998). "Additional Tests for a Unit Root Allowing for a Break in the Trend Function at an Unknown Time," International Economic Review, Department of Economics, University of Pennsylvania and Osaka University Institute of Social and Economic Research Association, Vol. 39, No. 4, November, pp. 1073-1100. [ Links ]
Primera versión recibida en agosto de 2007; versión final aceptada en enero de 2008
Notas
1 Para profundizar sobre las implicaciones de la ETTI en la administración del riesgo en portafolios ver Phoa, Wesley (1998). Advanced fixed income analytics. Publicado por Frank Fabozzi Associates. New Hope, Pennsylvania. p. 19.
2 Disponible en: http://www.bvc.com.co/bvcweb/archivos/boletines/Mensual/LOS%2 MERCADOS %20DE%20LA%20BVC%20EN%20MARZO.pdf (16 de julio de 2007)
3 Disponible en: http://www.dinero.com.co/wf_InfoArticulo.aspx?idArt=36785 (16 de Julio de 2007)
4 Las tasas spot se denotan como Yt,1, Yt,2, Yt,3, ...Yt,n donde el primer subíndice hace referencia al periodo en que comienza la inversión, y el segundo al plazo en que se emite. La diferencia entre t y n indica el número de periodos que restan al vencimiento. Por lo tanto Yt,n se lee como la spot de n días dada en "t", por tanto Y180,360 será la spot de 180 días medida dentro de un año. El conjunto de las spot constituyen la estructura temporal de tasas de interés.
Si denominamos Pt,n el precio del bono y dado que la tasa spot es la tasa en la cual el mercado descuenta el pago que se realizará dentro de n periodos, entonces se puede decir que:

Ahora bien, es posible determinar el rendimiento implícito de las tasas en t de una inversión realizada entre dos fechas futuras, lo que se le denomina tasa forward y se expresa como:

Esta es la tasa implícita determinada en t de una inversión con plazo s periodos, que comenzará en t+n-s. Generalmente la ETTI se estima con tasas de interés compuesta en tiempo continuo, ya que las relaciones entre las tasas pasan a ser aditivas, evitando problemas derivados de la desigualdad de Jensen.

5 Si la prima fuera variable a través del tiempo y cambiara con los plazos se tendría una tautología y se tendría un modelo no comprobable empíricamente. Cochrane (2001, p. 426)
6 En el gráfico 3 la curva de mayor vencimiento (Y1080) está representada por la línea superior, mientras que la línea inferior muestra el comportamiento de la curva de menor vencimiento (Y180).
7 Hacemos corresponder la tasa forward con la tasa spot futura correspondiente, contando días exactos hacia adelante, consistente con la convención del mercado de capitales colombiano. Por ejemplo, a la tasa forward f180,360 en t tomada en un viernes, la hacemos corresponder con la tasa spot futura de 180 días en t+180, que se mide un miércoles. Por su parte, cuando la tasa spot futura cae en fin de semana se toma el valor del lunes siguiente.
8 En adelante cuando indiquemos que los resultados de una prueba han sido omitidos se entenderá que lo han sido por razones de espacio y que los resultados pueden ser puestos a disposición por parte de los autores.
9 En otra variante del modelo agregamos un término de tendencia, para controlar por medio de la variación en el tiempo de la Prima de la forward o de la constante del modelo. Los resultados son cualitativamente los mismos. 10 Para una probabilidad del 5% con rezagos de 2, se comprueba que la Prima de la forward explica el spread de la spot pero no viceversa (omitido), por lo que no es necesario estimar el modelo utilizando ecuaciones simultáneas o Vectores autorregresivos (VAR).
11 Para analizar la significancia de las variables en el modelo, se considera el estadístico z, ya que el modelo tiene componentes GARCH.
12 Es posible que los coeficientes del modelo de regresión considerado, varíen en el tiempo o sean inestables. Agradecemos a uno de los revisores por indicar este hecho. Como una forma de chequear los resultados, en previsión de lo anterior, dividimos cada muestra del spread de la spot a la mitad y corrimos el modelo (11) para cada una independientemente. Los resultados obtenidos son cualitativamente los mismos, obteniendo coeficientes significativamente menores que uno en los diez casos, y positivos en ocho de diez casos.


















