SciELO - Scientific Electronic Library Online

 
vol.29 special issue 64Quantile Regression Model Applied to Artificial Neural Networks. An Approximation of the Structure Caviar for the Colombian Stock MarketCDS: Relationship With Stock Indexes and Risk Measure author indexsubject indexarticles search
Home Pagealphabetic serial listing  

Services on Demand

Journal

Article

Indicators

Related links

  • On index processCited by Google
  • Have no similar articlesSimilars in SciELO
  • On index processSimilars in Google

Share


Ensayos sobre POLÍTICA ECONÓMICA

Print version ISSN 0120-4483

Ens. polit. econ. vol.29 no.spe64 Bogotá June 2011

 

Regulación y valor en riesgo

Financial Regulation and Value at Risk

Regulação e valor em risco

Luis Fernando Melo
Joan Camilo Granados
*

*Los resultados y opiniones son responsabilidad exclusiva de los autores y su contenido no compromete al Banco de la República ni a su Junta Directiva. Los autores agradecen la base de datos proporcionada por el Departamento de Operaciones y Desarrollo de Mercado de la SG-MR del Banco de la República y a los comentarios y sugerencias de Giovanni Castro, Dairo Estrada y Carlos León.

Correo electrónico: lmelovel@banrep.gov.co; jgranaca@banrep.gov.co

Documento recibido: 7 de octubre de 2010; versión final aceptada: 28 de marzo de 2011.


En este artículo se analizan algunos aspectos de regulación establecida por la Superintendencia Financiera de Colombia, donde se propone el valor en riesgo (VaR ) como medida para cuantificar el riesgo de mercado. Esta regulación omite aspectos relevantes sobre el cálculo del VaR . A pesar de que la Superintendencia Financiera sugiere el uso de la regla de la raíz para el cálculo del VaR en multiperíodos con base en el VaR a un día, la validez de dicha regla no es clara. Además, la regulación tiene en cuenta pocos supuestos para la validación del cálculo del VaR (backtesting). Este documento calcula dos medidas de riesgo, el VaR y el VaR condicional, utilizando metodologías de fácil implementación (RiskMetrics, ARMA-GARCH, simulación histórica, simulación histórica filtrada y normalidad) para la TRM, los TES y el IGBC entre enero de 2003 y marzo de 2010. Los resultados muestran que para horizontes de pronóstico de un día, las mediciones del VaR son apropiadas. Los métodos con mejor desempeño son aquellos que modelan tanto la media como la VaR ianza condicional. Para horizontes mayores a un día, ninguna metodología tiene un desempeño adecuado. Además, se encuentra que la regla de la raíz no genera estimaciones apropiadas. Por último, si se consideran solo los criterios de regulación vigente, algunos modelos son adecuados para estimaciones multiperíodo; pero, al incluir supuestos relevantes adicionales ningún método es apropiado.

Clasificación JEL: C32, C52, G10, G28

Palabras clave: valor en riesgo, valor en riesgo condicional, backtesting, riesgo de mercado, regulación financiera.


This document analyzes some aspects of Colombian financial regulation related to the Value at Risk (VaR ) which is used to measure the market risk. In particular, we study the adequacy of the root rule and the performance evaluation of some alternative backtesting methodologies not considered by the current regulation. In order to analyze this problem, two measures of risk were considered; VaR , and Conditional VaR (CVaR ), using different methodologies of easy implementation (RiskMetrics, ARMA-GARCH, historical simulation, filtered historical simulation and assuming normal i.i.d. returns) for the Colombian nominal exchange rate, the treasury bonds (TES) and the Colombian stock market index in the sample period from January 2003 to March 2010. The results show that for one day forecast horizon the considered methodologies measure properly the VaR . The methods with the best performance are those that model both the mean and the conditional VaR iance. On the other hand, for horizons higher than one day, all methodologies have inadequate performance. In particular, it is found that the root rule does not provide acceptable estimations of the multiperiod VaR . It is important to note, that if the current regulation criteria are considered, some models would be adequate. However, when additional assumptions are taken into account, none of these methodologies is appropriated.

JEL classification: C32, C52, G10, G28.

Keywords: value at risk, conditional value at risk, backtesting, market risk, financial regulation.
Regulación y valor en riesgo


Neste artigo são analisados alguns aspectos da regulação estabelecida pela Superintendencia Financiera da Colômbia, onde se propõe o valor em risco (VaR ) como medida para quantificar o risco de mercado. Esta regulação omite aspectos relevantes sobre o cálculo do VaR . Apesar da Superintendencia Financiera sugerir o uso da regra da raiz para o cálculo do VaR multiperíodo baseado no VaR a um dia, a validez de tal regra não é clara. De outro lado, a regulação só leva em conta poucos supostos para a validação do cálculo do VaR (backtesting). Este documento calcula duas medidas, o VaR y o VaR condicional, utilizando metodologias de fácil implementação (RiskMetrics, ARMA-GARCH, simulação histórica, simulação histórica filtrada e normalidade) para a TRM, os TES e o IGBC entre janeiro de 2003 e março de 2010. Os resultados mostram que para horizontes de previsão de um dia, as medições do VaR são apropriadas. Os métodos com melhor desempenho são aqueles que modelam tanto a média como a VaR iância condicional. Para horizontes de mais de um dia nenhuma metodologia tem um desempenho adequado. Adicionalmente se conclui que a regra da raiz não gera estimações apropriadas. Para terminar, quando se consideram somente os critérios de regulação vigente, alguns modelos são adequados para estimativas multiperíodo, no entanto, quando se incluem supostos relevantes adicionais nenhum método é apropriado.

Classificação JEL: C32, C52, G10, G20.

Palavras chave: valor em risco, valor em risco condicional, backtesting, risco de mercado, regulação financeira.


I. INTRODUCCIÓN

A partir de las recomendaciones del comité de supervisión bancaria de Basilea realizadas en 1988, las entidades reguladoras de mercados financieros acogieron al valor en riesgo como una medida estándar de riesgo de mercado. De igual forma, la regulación colombiana ha acogido esta medida y ha impuesto su medición por parte de entidades bancarias para determinar el monto de capital de reserva requerido para cubrir los riesgos percibidos en el mercado.

El valor en riesgo, VaR αt/t-k, corresponde a la mínima pérdida esperada en el (1 - α) × 100% de los peores casos, con la información disponible hasta t - k, donde k es el horizonte de pronóstico o el período de tenencia del activo sobre el cual se calcula el VaR . El valor en riesgo se estima, por lo general, como el α-ésimo cuantil de la distribución futura de las pérdidas y ganancias del activo. Esta medida puede ser utilizada en VaR ios contextos; por ejemplo, en el caso de las entidades financieras, tiene implicaciones sobre la determinación de los requerimientos de capital exigidos por ley para cubrir el riesgo de mercado.

Así, dada la importancia y el amplio uso de esta medida, se han desarrollado diversos métodos para su estimación. Cada uno tiene distintos supuestos sobre la distribución de los retornos de los activos y pretende modelar diversos hechos estilizados de estas series.

La regulación actual presenta dos alternativas para la estimación del valor en riesgo. La primera alternativa corresponde a una metodología estándar de estimación de esta medida, realizada por el ente regulador. Dicha metodología se basa en diversos componentes de riesgo para un portafolio que son sumados para determinar los requerimientos de capital. En la segunda alternativa se considera la realización de modelos estadísticos por parte de las entidades reguladas; esta se conoce como aproximaciones de modelos internos (IMA, por sus siglas en inglés).

No obstante, pese a la posibilidad de que cada entidad lleve a cabo estimaciones por medio de las metodologías que considere adecuadas, existen unos requisitos y recomendaciones que debe cumplir cada modelo interno. Entre estos, se destacan el número mínimo de observaciones para estimar el VaR (250 datos), y el horizonte de pronóstico de esta medida (diez días). Dicho horizonte es superior a un día, que es una periodicidad común para las estimaciones del VaR ; por esto, la regulación recomienda reescalar el valor en riesgo diario para obtener el VaR multiperíodo.

Una vez calculado el VaR por las entidades, se deben lleVaR a cabo pruebas de desempeño (en adelante backtesting), las cuales evalúan si las estimaciones de modelos internos son apropiadas. Estas metodologías comparan los valores en riesgo pronosticados con los retornos observados; dichas pruebas determinan si el riesgo está siendo medido adecuadamente. En secciones posteriores del documento se describirán estas metodologías en forma detallada.

De acuerdo con la regulación, la estimación del VaR para períodos de tenencia mayores a un día se obtiene como la multiplicación del VaR diario por la raíz del horizonte de pronóstico. Así, si se quiere hallar el VaR para diez días, basta con calcular el VaR diario y multiplicarlo por la raíz de diez. Sin embargo, dicho escalamiento no es válido para todas las metodologías de estimación del VaR .

El propósito de este estudio es analizar el desempeño de estimaciones del VaR para un conjunto de activos colombianos, bajo diversas metodologías, estas incluyen diferentes horizontes de pronóstico y niveles de significancia. Además, se verifica si los requerimientos exigidos por la regulación actual colombiana son suficientes para evaluar apropiadamente las estimaciones del VaR en el contexto de los modelos internos.

Además de esta introducción, el documento se compone de las siguientes secciones: en la sección dos se lleva a cabo un resumen de los requerimientos de regulación de Basilea y de la Superintendencia Financiera de Colombia con respecto a la medición de riesgo de mercado. En la sección tres se define de forma detallada el valor en riesgo y el valor en riesgo condicional (CVaR ); mientras que la sección cuatro presenta diferentes metodologías para el cálculo de estas medidas. La sección cinco muestra algunas de las pruebas de backtesting más usadas en la literatura. En la sección seis se exponen los resultados de las estimaciones del VaR y CVaR del ejercicio empírico, incluyendo las pruebas de backtesting correspondientes. Finalmente, en la sección siete se llevan a cabo algunos comentarios finales.

II. REGULACIÓN FINANCIERA

En esta sección se resumen algunos de los requerimientos y pautas de regulación con respecto a la medición del riesgo tanto en Basilea I y Basilea II como para el caso colombiano. Este análisis se centra en riesgo de mercado.

Basilea II se basa en tres pilares que se fortalecen entre sí:

1) Requerimientos mínimos de capital: en este pilar se fijan requisitos de capital para cubrir el riesgo de crédito, de mercado y operacional.

2) Revisión de supervisores: el segundo pilar está relacionado con el papel que desempeñan los reguladores del sistema bancario. Los supervisores deben asegurar que los bancos mantengan reservas por encima de los requisitos mínimos de capital, y que las entidades financieras tengan un sistema para evaluar sus riesgos y responder rápidamente cuando se generen problemas al respecto. Este pilar busca cubrir riesgos que no son incluidos en el pilar 1.

3) Disciplina de mercado: el tercer pilar crea fuertes incentivos para que las entidades financieras operen de forma clara y eficiente. Se trata de un conjunto de recomendaciones que busca que los bancos publiquen información acerca de sus movimientos financieros, perfiles de riesgo y reservas de capital.

Este acuerdo establece los requisitos de capital para tres categorías de riesgo: de crédito, de mercado y operacional. El capital total de la entidad financiera debe exceder el monto de riesgo total, el cual está definido como la suma de los montos de capital asociados a los tres riesgos:

Capital > TRC = CRC + MRC + ORC

Donde TRC es el monto total de riesgo, CRC es el monto de capital asociado al riesgo de crédito, MRC es el capital asociado a riesgo de mercado y ORC es el capital relacionado con riesgo operacional.

A. RIESGO DE MERCADO

El VaR es una medida principalmente utilizada para la medición de riesgo de mercado. Se entiende por riesgo de mercado la posibilidad de obtener pérdidas en las posiciones de un activo a causa de cambios en sus precios. Antes de asignar los requerimientos de capital, la enmienda clasifica los activos de una entidad financiera en dos categorías:

1) Trading book: es el portafolio de la entidad que contiene instrumentos financieros que se tienen de manera intencional para reventa a corto plazo.

2) Banking book: esta clasificación considera otros instrumentos financieros, principalmente préstamos.

El método estándar supone que el riesgo de mercado se obtiene como la agregación de este tipo de riesgos para diversas categorías, de la siguiente forma:

Las cuatro categorías incluidas en esta clasificación son: riesgo de tasa de interés, riesgo de tipo de cambio, riesgo de acciones y riesgo de commodities. Este método posee la desventaja de que al sumar los tipos de riesgo de manera independiente, no tiene en cuenta la diversificación. Por esto, se puede considerar más apropiado lleVaR a cabo metodologías de modelo interno.

1. Metodologías de modelos internos

Debido a los problemas de la aproximación estándar, a partir de 1995 el comité de Basilea permitió que las entidades financieras usen sus propios modelos de medición del riesgo para determinar los requerimientos de capital; para usar la aproximación de modelos internos una entidad debe, en primer lugar, satisfacer algunos requerimientos cualitativos. Los modelos internos deben permitir la realización de pruebas de stress testing 1. Además, dentro de la entidad debe existir independencia entre el área de control de riesgos y los auditores externos. Una vez estos requerimientos básicos se cumplen, el cálculo del capital para cubrir riesgo de mercado tiene en cuenta los siguientes puntos:

1) El cálculo del VaR debe estar basado en el siguiente conjunto de requisitos cuantitativos:

a) El modelo debe calcular el valor en riesgo para un horizonte de diez días hábiles o dos semanas calendario;
b) Las estimaciones se deben lleVaR a cabo con un nivel de confianza de 99%, y
c) El número de datos observados que se utilizan en la metodología debe ser por lo menos un año y se deben actualizar como mínimo cada trimestre.

2) Correlaciones entre activos: las correlaciones se pueden analizar dentro y entre categorías. Por ejemplo, se pueden considerar categorías de títulos de renta fija y de tasas de cambio.

3) Requerimientos de capital (MRC): el capital necesario para cubrir el riesgo de mercado en el período t + 1 se fija como el máximo entre el VaR del día anterior y el producto entre el promedio del VaR de los últimos 60 períodos y un factor multiplicativo k. El valor del factor multiplicativo se fija dependiendo del número de fallas, definidas como las pérdidas que exceden al VaR.

4) Factor adicional: un componente de penalización, o plus factor, se debe añadir al factor multiplicativo para incentiVaR a los bancos a medir correctamente el riesgo. Este factor adicional se añadirá al factor multiplicativo en la medida que las pérdidas excedan al VaR en demasiadas ocasiones (véase Cuadro 1).

De esta forma el requerimiento de capital para un día t + 1, con información hasta el período t, según la aproximación de modelos internos está dado por:

Donde SRC es el monto de capital que cubre el riesgo específico2.

El factor multiplicativo (zona verde) y el factor adicional de penalización (zonas amarilla y roja) se fijan de acuerdo con el Cuadro 1.

Teniendo en cuenta la ecuación (1) y que el mínimo valor del factor multiplicativo es 3. Por lo general, el requerimiento de capital se calculará con base en el promedio de los valores en riesgo de los últimos 60 datos multiplicado por k.

Una gran ventaja de las metodologías de modelos internos es que permiten la actualización de los métodos de estimación con mayor frecuencia y rigurosidad, toda vez que no es necesario un cambio en la regulación para modificar los procesos de estimación.

Debe tenerse en cuenta que las metodologías internas deben ser revisadas con mayor rigurosidad. Esto se debe a que puede existir un incentivo para reportar un VaR con bajos valores para disminuir los requerimientos de capital.

Dowd (2002) menciona las siguientes falencias de la regulación tradicional con respecto las pruebas de desempeño sobre el VaR :

1) Se utiliza únicamente un tipo de prueba, el test de Kupiec, el cual no es confiable para muestras que no sean lo suficientemente grandes. Además, esta prueba solo evalúa una de las dos propiedades relevantes que debe cumplir un VaR .

2) Los modelos internos pueden ser mal evaluados en las pruebas de desempeño en situaciones de mercado anormales (como un desastre natural o un crack financiero) y, por tanto, generar penalizaciones que los bancos no merecen.

3) Tanto el valor del factor multiplicativo como el del factor adicional de penalización son fijados de forma arbitraria.

4) Los procedimientos de regulación con respecto a las pruebas de desempeño pueden desincentiVaR a las entidades financieras de reportar sus verdaderas estimaciones del VaR a los supervisores.

a. Otros aspectos de la validación del modelo

Además del backtesting, se tienen otras metodologías para la validación de modelos internos. Estos obedecen a diversos análisis de escenarios en los cuales se refleja el hecho de que regularmente los bancos cambian el perfil de riesgo que asumen y la composición de su portafolio. Algunos aspectos importantes de este tipo de validación son:

1) Se deben verificar los supuestos del modelo interno utilizado. Por ejemplo, los supuestos distribucionales o la validez de la regla de la raíz (Basel Committe on Banking Supervision, 2009).

2) El VaR debe ser medido suponiendo que las posiciones de las carteras al final del día no han cambiado.

3) Se deben utilizar VaR ios niveles de significancia para el cálculo del VaR .

2. Modelo estándar para el caso colombiano

Al igual que en Basilea II, la metodología estandarizada en el caso colombiano se compone de cuatro módulos que se calculan separadamente: el riesgo de tasa de interés, riesgo de tasa de cambio, riesgo de precio de las acciones y riesgo de inversiones en carteras colectivas. La exposición total a riesgos de mercado corresponde a la suma de los riesgos de cada módulo.

La exposición al riesgo para tasa de interés se calcula por medio de los siguientes pasos:

1) Cálculo de las sensibilidades: la sensibilidad se calcula multiplicando la posición en el instrumento financiero por la duración modificada (Superintendencia Financiera, circular externa 51 de 2007, anexo 1, p. 7) y por el cambio de la tasa de interés. Posteriormente, las sensibilidades netas se clasifican en las escaleras de bandas correspondientes a la moneda en la cual esté denominado el instrumento y para cada una de esas escaleras se calcula por separado la exposición al riesgo de tasa de interés.

2) Ajustes de bandas y zonas: las posiciones al interior de cada banda, entre bandas y entre zonas no son homogéneas, por lo que se debe realizar un ajuste de sensibilidades. Dicho ajuste consiste en multiplicar la suma menor de las sensibilidades en posiciones largas y la suma de sensibilidades de posiciones cortas por el factor de ajuste vertical y horizontal indicado por la Superintendencia. Al realizar los ajustes necesarios, se obtiene la sensibilidad neta del portafolio.

3) Cálculo del riesgo de tasa de interés para cada escalera de bandas: corresponde a la sumatoria de los distintos cargos calculados en los pasos anteriores; es decir, los montos correspondientes al riesgo para cada escalera de bandas3 más los cargos correspondientes a las posiciones en opciones.

Por otro lado, la exposición para tasa de cambio se calcula como la suma de las posiciones netas de operaciones spot (activos menos pasivos), la posición neta de las operaciones forward y la posición neta de operaciones en derivados. Posteriormente, se obtiene la posición neta de cada moneda y se calcula su equivalente en moneda legal de la siguiente forma: si se trata de activos en dólares, se multiplica la posición neta en dólares por la TRM. Si se trata de otras monedas, se deben convertir a dólares.

Como paso final en el cálculo del riesgo de tasa de cambio, las entidades vigiladas calculan la sensibilidad neta en cada moneda como el producto entre la posición neta y un factor de sensibilidad definido por la Superfinanciera. Así, la exposición al riesgo de la tasa de cambio será la suma del mayor valor entre la suma de sensibilidades netas positivas y el valor absoluto de la suma de las sensibilidades netas negativas (posiciones cortas).

El riesgo de precio de acciones se calcula como la suma de las posiciones netas en cada acción. La posición neta ponderada de cada acción es el producto de: 1) la posición neta de cada acción y 2) el factor de sensibilidad al riesgo general de acciones que refleja la volatilidad del IGBC. En el caso de que se tengan acciones en diferentes mercados, se debe calcular la exposición en cada mercado por separado y añadirla. Además, en algunos casos se agregan cargos por posiciones en opciones a la exposición total de riesgo de precio de acciones.

Por último, el riesgo en inversiones en carteras colectivas que abarca los fondos comunes de inversión, los fondos de valores y fondos de inversión, se calcula como el producto entre el factor de riesgo de cada fondo y la posición invertida en el mismo.

La exposición que determina el requerimiento total de capital (Market Risk Charge o MRC) viene dado al igual que en Basilea I y II, por la sumatoria de las diversas exposiciones en los módulos de riesgo considerados.

B. CAMBIOS POTENCIALES DE LA REGULACIÓN: BASILEA III

Debido a la crisis financiera experimentada recientemente, se ha puesto en tela de juicio la eficacia de la regulación instaurada en Basilea II. Los requerimientos de capital no fueron los suficientes para responder a las pérdidas generadas por el vertiginoso aumento en el riesgo de crédito y de mercado. Así, los principales entes reguladores han planteado la necesidad de modificar la regulación con la implementación de un nuevo acuerdo (Basilea III), aun cuando Basilea II no se ha establecido por completo en el sistema financiero.

Se propone aumentar la ponderación de riesgo de un porcentaje considerable de inversiones; así, como incrementar los estándares de calidad de los activos que conforman un portafolio. Este cambio en la regulación busca disminuir el tamaño de grandes conglomerados financieros; esto se logra aumentando sus requisitos de capital. Aunque este cambio de regulación implicaría un menor riesgo, también se generaría una disminución de la rentabilidad de los activos toda vez que se acumula más capital de reserva.

En cuanto al VaR, se propone un mayor énfasis en el uso de medidas de stress testing (stress-VaR), de manera que se pueda afrontar de mejor forma sucesos de la magnitud de la crisis de los últimos años.

Standard and Poors ha coincidido con los entes regulatorios en que el VaR debe tener en cuenta en mayor medida, los riesgos a las que están expuestas las inversiones. Sin embargo, menciona que usar el stress-VaR puede ser exagerado, pues como se observa en la ecuación (1) y en el Cuadro 1, el mínimo factor multiplicativo es 3; por tanto, se estaría actuando como si hubiese riesgos mucho mayores que los asociados a las pérdidas experimentadas en los últimos años. Como se ha mencionado, esto puede ir en detrimento de la rentabilidad del sistema financiero.

III. MEDIDAS DE RIESGO DE MERCADO

En esta sección se mencionan algunas metodologías para medir riesgo de mercado; además, se comentan sus principales ventajas y desventajas, así como la estimación de estos métodos para horizontes de pronóstico de uno o más días.

A. VALOR EN RIESGO (VaR )

El valor en riesgo es una metodología de amplio uso para la medición de riesgo de mercado de un activo. El VaR corresponde a la máxima pérdida posible en el α × 100% de los mejores escenarios, o de forma equivalente a la mínima pérdida posible en el (1 - α) × 100% de las pérdidas más grandes. De esta forma el administrador de riesgo tiene la idea de que la pérdida en su inversión no excederá el VaR con probabilidad α.

Por ejemplo, bajo el supuesto de que el negativo de los retornos (pérdidas) de un activo son i.i.d. y siguen una distribución normal estándar, el 5% peor de los casos (las pérdidas más grandes) se encuentra en el área no sombreada del Gráfico 1. Por consiguiente, el 95% de los mejores casos se encontrará en el área sombreada. El VaR αt|t - 1 corresponderá al percentil asociado a α, es decir, la mínima pérdida esperada en el (1 - α) × 100% de los peores casos.

1. Críticas del VaR

Como se ha mencionado, el VaR es una medida de fácil interpretación y amplia aceptación en los mercados financieros. Las principales ventajas de esta medida de riesgo, según Acerbi y Tasche (2002), son las siguientes:

1) El VaR es una medida de riesgo universal, ya que puede ser aplicado a cualquier tipo de activo o fuente de riesgo.

2) El VaR es simple, tiene una fácil interpretación.

3) El VaR es completo, resume en un solo número, en unidades monetarias, las posibles fuentes de riesgo de mercado existentes en un portafolio.

No obstante, Artzner, Delbaen, Eber y Heath (1999) definen algunas condiciones que debería satisfacer una medida de riesgo y definen el concepto de medida de riesgo coherente. Sea una medida de riesgo, donde V es un espacio de variables aleatorias en el que se encuentran todos los factores de riesgo. Se dice que ρ es una medida de riesgo coherente si satisface las condiciones de monotonicidad, homogeneidad positiva, inVaR ianza ante traslaciones y subaditividad4.

La subaditividad está asociada con el principio de diversificación. El riesgo de un portafolio diversificado debe ser menor o igual que la suma de los riesgos individuales.

Es posible mostrar que el VaR no satisface la condición de subaditividad; sin embargo, bajo distribuciones elípticas como en el caso de la normal esta propiedad se cumple (Embrechts, McNeil y Straumann, 2002). Por tanto, el VaR no es considerado como una medida coherente del riesgo; la consecuencia de esto es que en algunos casos el VaR puede lleVaR a resultados contradictorios para el administrador de riesgo.

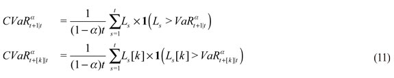
B. VALOR EN RIESGO CONDICIONAL (CVaR )

Una medida de riesgo que no presenta los inconvenientes del VaR es el CVaR (VaR condicional) o expected shortfall. Esta medida satisface la propiedad de subaditividad y, además, tiene en cuenta el tamaño de las pérdidas que exceden al VaR . El CVaR está definido como el valor esperado de las pérdidas que exceden al VaR (véase Gráfico 2). De esta forma, para los retornos de un activo, Lt, el CVaR está definido comod5:

El CVaR puede ser entendido como el promedio de los (1 - α) × 100% peores casos y puede ser calculado a través del promedio de los valores que exceden al VaR con un nivel de confianza α.

A partir de la ecuación (2), se puede encontrar que para una distribución continua el CVaR se puede calcular como sigue:

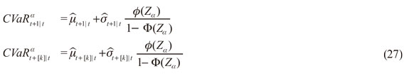
Donde U representa el extremo superior de los retornos y FL(·), fL(·), corresponden a la función de distribución y de densidad de los retornos, respectivamente. Si , L i.i.d.˜ N (μ,σ2) el CVaR está dado por:

C. VaR MULTIPERÍODO

La Superintendencia Financiera al igual que el comité de Basilea, exigen que las estimaciones del riesgo de mercado por medio del valor en riesgo se reporten para períodos de tenencia de diez días. A pesar de que la actualización de los perfiles de riesgo y modificación de las ponderaciones de los portafolios puede ser diaria, el aumento del horizonte de tiempo del VaR de uno a diez días se justifica, ya que es normal que el período de tenencia de cada activo sea superior a un día6.

El retorno para un período de tenencia de k días está dado por7:

En las condiciones descritas anteriormente, el valor esperado y la VaR ianza de Lt[k] son el producto del número de períodos k por el valor esperado y la VaR ianza de Lt, respectivamente. En este contexto, denotaremos a VaR αt + [k]|t. como el VaR asociado al retorno multiperíodo de horizonte k, mientras que para un horizonte de un período el VaR se denotará como VaR αt + [k]|t.

Basados en lo anterior y suponiendo que µ = 0, la regulación recomienda calcular el VaR con horizonte de diez días como el reescalamiento del VaR para un día; es decir, el valor diario se multiplica por la raíz cuadrada de 10. No obstante, la aplicación de esta metodología conocida como la regla de la raíz es muy criticada en la literatura.

Al respecto, Diebold, Hickman, Inoue y Schuermann (1997) desarrollan simulaciones de un proceso GARCH (1,1) y estiman las VaR ianzas multiperíodo del proceso; estos autores encuentran que las VaR ianzas son mucho más altas utilizando la regla de la raíz con respecto a estimaciones multiperíodo. Ellos concluyen que este reescalamiento solo es apropiado para retornos i.i.d., lo cual no es factible dados los conglomerados de volatilidad que caracterizan las series financieras. Este resultado se mantiene al utilizar modelos GARCH (p,q) en lugar de modelos GARCH (1,1).

Danielsson y Zigrand (2006) evalúan las implicaciones del escalamiento de los cuantiles de la distribución de los retornos cuando estos siguen un proceso estocástico de difusión con saltos; ellos encuentran que existe un sesgo al aplicar la regla de la raíz que tiende a empeorar a medida que aumenta el horizonte de pronóstico. Esto se debe a la regla de la raíz que no escala correctamente los saltos de riesgo que interactúan no linealmente con el término browniano. Estos autores también mencionan que la regla de la raíz solo es válida para retornos i.i.d.

Saadi y Rahman (2008) realizan un ejercicio a partir de los datos diarios sobre el índice de la bolsa de Toronto (S&P/TSX) y utilizan una metodología para generar residuales i.i.d., sobre los cuales aplican la regla de la raíz para comparar las estimaciones bajo diversos contextos económicos. Los autores encuentran que el sesgo de la estimación a partir de la regla de la raíz es una función cóncava del tiempo (positivo y aumenta a tasas decrecientes). Además, la volatilidad condicional escalada tiene una desviación estándar más alta que la de las volatilidades reales. Por último, se menciona que la magnitud de esta volatilidad es influenciada por cambios en el régimen de política monetaria.

Para el caso colombiano, Castaño, Gómez y Gallón (2008) estiman un modelo IGARCH para las VaR iaciones de la tasa de cambio y calculan la volatilidad multiperíodo; estos autores encuentran que los pronósticos de las VaR ianzas multiperíodos son diferentes a los obtenidos por la regla de la raíz. Por otro lado, León y Vivas (2010) analizan la regla de la raíz en el contexto de memoria de largo plazo, y concluyen que esta regla no se cumple para algunas series colombianas del mercado cambiario, accionario y de renta fija.

En general, la literatura ha coincidido en que existe un sesgo al estimar las volatilidades por la regla de la raíz, el cual aumenta a medida que el horizonte de pronóstico es mayor. Esta regla solo es válida cuando los retornos son i.i.d.8; sin embargo, las series de tiempo financieras de alta frecuencia no cumplen dicho supuesto.

Es importante aclarar que la evidencia empírica sobre el signo del sesgo no es concluyente, como lo comenta McNeil et al. (2005); este depende del tipo de ejercicio realizado.

IV. METODOLOGÍAS UTILIZADAS PARA LA MEDICIÓN DE RIESGO DE MERCADO

Para el cálculo del valor en riesgo y valor en riesgo condicional tanto a un período como multiperíodo se tuvieron en cuenta cinco metodologías, las cuales se muestran a continuación. Es importante tener en cuenta que se debe aproximar la medición del riesgo desde diversas alternativas, debido a las ventajas y desventajas que presenta cada técnica.

A. SIMULACIÓN HISTÓRICA

El VaR se puede obtener a partir de la información histórica de los retornos. Esta aproximación no paramétrica consiste en calcular el percentil α de la distribución empírica de las pérdidas y ganancias; esta metodología no impone supuestos sobre la distribución de los retornos y es de fácil aplicación. No obstante, la simulación histórica mantiene el supuesto de que la distribución no cambia en el tiempo, por lo que este método es muy sensible al tamaño de muestra utilizada y a la inclusión de nuevos datos. En particular, esta aproximación supone que la VaR ianza o volatilidad no cambia en el tiempo; esta característica genera desventajas para la simulación histórica con respecto a otras metodologías que modelan de forma apropiada el comportamiento de los retornos.

En esta metodología el VaR es calculado de la siguiente forma:

Donde PE es el cuantil de la distribución empírica asociado a α. Además, el CVaR es calculado como el promedio de los retornos superiores al VaR , es decir:

Donde 1(·) representa una función indicadora que toma el valor de uno cuando se satisface la condición entre paréntesis y cero en caso contrario.

B. NORMALIDAD (VaR IANZA-COVARIANZA)

Existen diferentes metodologías para calcular el VaR de forma paramétrica. El caso más simple resulta cuando se supone que la distribución de pérdidas y ganancias es normal. De esta forma, si Lt i.i.d ˜ N , σ2) el VaR por normalidad se deduce a partir del siguiente procedimiento:

Dado que para esta metodología se tiene que Lt[k]i.i.d ˜ N (k µ,kσ2), el VaR multiperíodo es calculado como sigue:

Al igual que la simulación histórica, el VaR por normalidad es ampliamente usado por su facilidad de estimación. Sin embargo, un hecho estilizado en las series financieras de alta frecuencia es que estas presentan distribuciones con colas pesadas y, por tanto, estos datos, en general, no siguen una distribución normal. Por otro lado, este método tampoco asume que la volatilidad VaR ía en el tiempo.

A partir de la ecuación (4) y de las distribuciones de los retornos a un día y multiperíodo, el CVaR para este caso está dado por:

C. RISKMETRICS®

A diferencia de algunos métodos paramétricos, como el de normalidad, existen otras metodologías que modelan la VaR ianza condicional de forma cambiante en el tiempo. Este hecho es consistente con la dinámica de las series de tiempo financieras, si se tiene en cuenta que los retornos se caracterizan por presentar períodos de baja (alta) volatilidad seguidos por períodos de alta (baja) volatilidad.

El método de RiskMetrics® se basa en la técnica de suavizamiento exponencial, en la cual la VaR ianza se determina como un promedio ponderado de los retornos cuadráticos pasados, es decir:

Donde αi tiende a 0 a medida que i se incrementa y . Así, suponiendo que las ponderaciones decaen exponencialmente a una tasa constante, es decir, αi+1 / αi = λ donde λ є (0,1)9 se obtiene:

Por último, restando (16) de (15) y asumiendo que el tamaño de n es grande, se tiene:

La ecuación (17) implica que la VaR ianza bajo esta aproximación está determinada por el retorno y la VaR ianza del período anterior. Una ventaja de este método es que depende de un solo parámetro λ, el cual indica la ponderación asignada a cada uno de los dos términos de la expresión (17). Esta metodología propuesta por JP Morgan Bank (1995), se conoce como RiskMetrics®. Por lo general, JP Morgan Bank (1995) recomienda que el parámetro λ tome valores entre 0,94 y 0,99. La serie resultante de varianzas tendrá un comportamiento más suave a medida que el valor de λ sea mayor.

Tsay (2002) prueba que bajo el modelo de RiskMetrics®, el pronóstico de la VaR ianza del retorno para k períodos, , está dado por:

Esta metodología supone que Lt ˜ N (0, σ2t), donde σ2testá determinado por la ecuación (17). Teniendo en cuenta estos supuestos y el resultado de la ecuación (18), se tiene que:

D. ARMA-GARCH

Engle (1982) propuso el modelo ARCH (autoregressive conditional heteroscedasticity models) buscando replicar algunos hechos estilizados de los activos financieros, como los conglomerados de volatilidad y las colas pesadas de su distribución. Estos modelos suponen que la VaR ianza no condicional es constante en el tiempo, mientras que la varianza condicional es variable. El modelo (& está definido a continuación:

Por otro lado, los modelos GARCH desarrollados por Bollerslev (1986), poseen una estructura de rezagos más flexible y permiten una descripción más parsimoniosa de los datos. Un modelo es descrito por las ecuaciones (21), (22) y una ecuación para la varianza condicional descrita por:

La varianza no condicionada del término de error en un modelo GARCH (p,q) es:

Si , la varianza del error no se encuentra definida, y los choques de volatilidad no se desvanecen a medida que avanza el tiempo. Así, para que la varianza esté definida, la suma de estos coeficientes debe ser menor a uno. Cuando dicha suma es igual a uno, se deben utilizar modelos GARCH integrados o IGARCH (Nelson, 1990). Un ejemplo de estos modelos es RiskMetrics®, el cual se puede ver como un caso particular de un modelo IGARCH (1,1) con α0 = 0.

El pronóstico de la varianza multiperíodo en el modelo está dado como sigue:

Teniendo en cuenta estos resultados, el VaR se calcula por las siguientes ecuaciones:

Por otro lado, el cálculo del CVaR para metodología ARMA-GARCH está basado en las siguientes ecuaciones:

La metodología ARMA-GARCH también se puede utilizar cuando los errores estandarizados tienen alguna distribución acumulada F diferente a la normal. En dicho caso, se debe reemplazar Zα por F-1(α) en el cálculo del VaR . Para el CVaR , la corrección, que depende del término que multiplica a la VaR ianza pronosticada, es más compleja; por ejemplo, en McNeil et al. (2005) se presenta esta corrección para la distribución t - student.

E. SIMULACIÓN HISTÓRICA FILTRADA

Esta aproximación busca combinar las ventajas del VaR calculado paramétricamente, es decir, basado en modelos como GARCH o RiskMetrics® con las de la estimación empírica dada por la simulación histórica. El término "filtrada" se refiere a la simulación que no se lleva a cabo sobre los retornos, sino sobre los residuales estandarizados del modelo paramétrico utilizado.

El cálculo del VaR por simulación histórica filtrada para un día es sencillo. Por ejemplo, si los retornos Lt siguen un proceso GARCH (p,q), sus errores estandarizados se pueden obtener a partir de la ecuación (22), y por tanto, el VaR a un período con un nivel de confianza α condicionado a la información disponible en t está dado por:

Donde PE es el cuantil de la distribución empírica asociado a , es la raíz cuadrada del pronóstico de la varianza un paso adelante obtenido a partir GARCH (p,q) descrito en la ecuación (24) y son los residuales estandarizados del modelo en el período t.

De igual forma, si los retornos siguen un modelo ARMA-GARCH, el VaR para un período se define como:

Cuando la estimación se realiza para retornos multiperíodo, la VaR ianza del proceso GARCH (o del modelo que se tenga en consideración) debe ser simulada a partir de técnicas bootstrap. De esta forma se obtiene para la iteración r, a partir de los residuales estandarizados del modelo, . Donde r = 1, 2,...,R, es decir, se realizan R replicaciones.

Posteriormente, se reconstruyen los errores (no estandarizados) y los retornos a partir de las ecuaciones (21), (22) y (24).

Al final del procedimiento se tendrán R secuencias de retornos simulados para los períodos t + 1 hasta t + k. Así, para cada iteración r, el retorno multiperíodo es calculado por medio de la siguiente ecuación:

En este caso, el resultado descrito en la ecuación (32) no incluye un término relacionado con VaR ianzas, ya que es un cuantil calculado sobre los retornos y no sobre los errores.

Por otro lado, el CVaR se calcula como el promedio de los retornos multiperíodo superiores al VaR , es decir:

V. BACKTESTING

Una vez calculado el VaR , es necesario determinar si el riesgo está siendo medido de una forma adecuada. Para esto, se llevan a cabo pruebas de hipótesis que verifiquen el cumplimiento de las propiedades que debe satisfacer esta medida.

Estas pruebas requieren estimaciones recursivas del VaR para un período de tenencia dado, tal como se describe a continuación. Se supone que el procedimiento comienza en el período n1, que se tiene información hasta el período n y que el horizonte de pronóstico es 110:

1) Con la información hasta el período t, se calcula el valor en riesgo con un nivel de confianza α, para el período

2) A partir de los valores en riesgo estimados, se construye la serie de excepciones (o fallos), la cual se define como:

Por tanto, las excepciones(α) tienen una distribución Bernoulli(p) con p = 1 - α, donde p = E(α)). Las principales propiedades que debe cumplir esta serie para un nivel de confianza dado son:

1) Propiedad de cubrimiento incondicional: la probabilidad de que se genere un exceso sobre el VaR reportado debe ser exactamente 1 - α; si se encuentra que la probabilidad de que el exceso tome valor de 1 es distinta de 1 - α, significa que el riesgo se está subestimando o sobrestimando, según sea el caso.

2) Independencia: cualquier par de elementos en la secuencia de fallos deben ser independientes.

Las propiedades anteriores implican que la medición del cuantil de la función de pérdidas correspondiente al α × 100% de los retornos (negativos) es adecuada, y que las excepciones observadas no poseen ninguna información relevante para predecir otros fallos. Una excepción predecible indica que el VaR no está reaccionando lo suficientemente rápido a las condiciones del mercado, y por tanto, no sería una medida adecuada del riesgo. Cuando no se cumple el supuesto de independencia se podrían presentar rachas de pérdidas, lo cual representa un mayor stress financiero.

Es importante anotar que las dos propiedades mencionadas utilizan información cualitativa y no tienen en cuenta el tamaño de las pérdidas que exceden al VaR . Una medida de riesgo adecuada que satisfaga las propiedades anteriores debe, además, penalizar las pérdidas de gran tamaño, puesto que estas podrían poner en riesgo la continuidad de la entidad. Posteriormente se mencionarán algunas metodologías que tienen en cuenta estos aspectos.

A. PRUEBA DE KUPIEC DE PROPORCIÓN DE FALLAS

La prueba más utilizada en el backtesting de un VaR es la prueba de Kupiec. Su versión estándar corresponde a un test de proporción de fallas que verifica el cumplimiento de la propiedad de cubrimiento incondicional.

La hipótesis nula de esta prueba es H0: p = 1 - α. Esta hipótesis puede ser contrastada a través de una prueba de razón de verosimilitud de la siguiente forma:

donde x representa el número de excepciones, m el número de observaciones incluidas en el backtesting y . El numerador del estadístico corresponde a la función de verosimilitud bajo la hipótesis nula, mientras que el denominador corresponde a la función de verosimilitud evaluada en el estimador de máxima verosimilitud no restringido de p. La distribución asintótica de esta prueba bajo la hipótesis nula es X2 con un grado de libertad.

Debido a sus propiedades asintóticas, esta prueba no es completamente adecuada para los tamaños de muestras propuestos por los entes regulatorios.

B. PRUEBAS DE CHRISTOFFERSEN

Como ya se ha mencionado, la prueba de Kupiec solo se concentra en el número adecuado de fallas. A este respecto, Christoffersen (2003) propone una prueba conjunta, que verifica tanto la propiedad de cubrimiento incondicional como la de independencia. Esta se basa en el supuesto de que las realizaciones de la sucesión de variables aleatorias siguen una cadena de Markov de orden uno, cuya matriz de transición tiene la siguiente forma:

para estimar las probabilidades de transición Πij, se hace necesario construir la función de verosimilitud para esta sucesión, dada por la siguiente ecuación:

donde mij representa el número de observaciones en las cuales It + 1|t(α) = j e It|t - 1 (α) = i, con m00 + m01 + m10 + m11 = m, siendo m el número total de observaciones incluidas dentro del backtesting. Utilizando la función objetivo (37), el estimador máximo verosímil de la matriz expresada en (35) es:

A partir de la matriz (35) y algunas consideraciones acerca del comportamiento de sus probabilidades de transición, es posible establecer si las excepciones son independientes. Específicamente, para este ejercicio resulta interesante comparar las diferencias entre Π01, la probabilidad de que mañana se presente una excepción dado que hoy no ocurrió, y Π11, la probabilidad de que mañana el retorno del activo exceda el VaRα condicionado a que hoy lo superó. Bajo el supuesto de independencia, se debe cumplir que π01 = π11 = π y, por tanto, la matriz de transición toma la forma:

En este caso, es posible demostrar que el estimador máximo verosímil de p, restringido a que π01 = π11 = π, es igual a. Con base en estos resultados, Christoffersen (2003) contrasta la hipótesis nula H0 : π01 = π11 mediante la siguiente prueba de razón de verosimilitud:

Donde . se distribuye asintóticamente X2 con un grado de libertad. En caso que se rechace H0, se diría que las excepciones del VaRα son dependientes y, por tanto, el modelo utilizado debería modificarse para corregir estas deficiencias.

Finalmente, aunque las dos pruebas de hipótesis anteriores brindan información acerca del desempeño del VaRα, sería deseable probar de manera conjunta si las observaciones de It + 1|t (α) son independientes y si el promedio de excesos en realidad se acerca al nivel de significancia supuesto para el modelo, es decir, (1 - α). Para poder tener en cuenta esta posibilidad, Christoffersen (2003) propone la siguiente prueba de razón de verosimilitud, en la que se contrasta la hipótesis nula H001 = π11 = p:

nuevamente , mientras que la matriz Πp corresponde a la matriz de transición (39) evaluada en π = p = (1 - α), siendo α el nivel de confianza considerado en el modelo VaRα. Bajo la hipótesis nula, el estadístico LRcc asintóticamente se distribuye X2 con dos grados de libertad11. Tal como lo destaca Christoffersen (2003), una forma sencilla de calcular el estadístico LRcc es a partir de las ecuaciones (34) y (40), de la siguiente forma:


para llegar a este resultado, nótese que cuando π01 = π11 = π , la función de verosimilitud (37) toma la forma de la función asociada a una variable aleatoria Bernoulli, y por tanto, el LRuc se puede reescribir como .

C. FUNCIONES DE PÉRDIDA

Además del cumplimiento de las propiedades de cubrimiento incondicional e independencia, se debe tener en cuenta las magnitudes de las pérdidas superiores al VaR . Por ejemplo, si se tienen dos medidas de VaR que satisfacen las dos propiedades mencionadas, pero una de ellas genera pérdidas mayores al VaR muy grandes, se preferirá aquella que tiene pérdidas menores. En este contexto, otra alternativa consiste en seleccionar aquel método cuyos pronósticos se acerquen en mayor medida a su pérdida esperada12. El primer caso está asociado a las funciones de pérdida utilizadas en el backtesting, mientras que el segundo hace referencia a las funciones de puntaje de probabilidad cuadrática. Estos dos casos son descritos a continuación.

1. Funciones de puntaje de probabilidad cuadrática

En este apartado se muestran algunas metodologías que evalúan el desempeño del backtesting desde el punto de vista del pronóstico de las pérdidas implícito en el VaR . Más que verificar supuestos sobre el VaR , estas pruebas se pueden utilizar para clasificar las metodologías del VaR según su desempeño en términos de una función de puntaje de probabilidad cuadrática (QPS, por sus siglas en inglés).

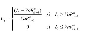
El punto inicial de estas metodologías consiste en generar una función de pérdida de la siguiente forma:


Esta función debe cumplir la propiedad ; es decir, la función Ct toma valores mayores cuando las pérdidas son superiores al VaR . Si el valor esperado de Ct es p = 1 - α. Entonces, la función de puntaje de probabilidad cuadrática se define de la siguiente forma:

Por tanto, el modelo asociado al estadístico QPS más pequeño corresponde al modelo con el mejor rendimiento en términos de los pronósticos implícitos del VaR . De esta forma, es posible clasificar los modelos según su desempeño.

a. Propuesta de Blanco - Ihle

Para la construcción del estadístico QPS, Blanco e Ihle (1999) proponen utilizar la siguiente función de pérdida:

El valor de referencia para la evaluación de la estadística, p, es la diferencia entre el CVaR y el VaR , dividido por el VaR , esto es:

Un problema de la aproximación de Blanco - Ihle, es que no está definida si el . Además, se pueden generar distorsiones en el estadístico QPS si el VaR toma valores cercanos a cero. Para solucionar estos inconvenientes, Dowd (2002) propone la siguiente función de pérdida:

El valor esperado de los excesos para este caso es el CVaR . Así, la función de puntaje cuadrático está dada por:

2. Otro uso de las funciones de pérdida

Como se mencionó anteriormente, en lugar de construir el estadístico QPS se puede calcular un índice de desempeño alternativo para modelos de riesgo, definido como:

De esta manera, a medida que C es más alto, el modelo de riesgo presenta un peor desempeño. Así, el mejor modelo será aquel que minimice (44). Al igual que en el caso del estadístico QPS, para la construcción de estos índices se han propuesto diferentes funciones de pérdida, algunas de estas se muestran a continuación.

a. Frecuencia de pérdidas en las colas (López I)

Dentro de este contexto, López (1998) especifica la siguiente función de pérdida binomial:

Una desventaja de esta medida es que no tiene en cuenta el tamaño de las pérdidas.

b. Aproximación de frecuencia ajustada por el tamaño (López II)

Para superar los problemas de la metodología anterior, López (1998) propone la siguiente función de pérdidas:

c. Funciones de pérdida de Caporin

Caporin (2003) menciona que la función de López ajustada por el tamaño de las pérdidas, tiende a descartar modelos apropiados para la medición de riesgo cuando estos presentan excepciones de gran tamaño13. Por tanto, propone el uso de funciones de pérdidas menos sensibles a valores atípicos; estas funciones se definen de acuerdo con la ecuación (43), donde g(·) = 0 y f(·) = Fi para i = 1,2,3, como se muestra a continuación:

D. BACKTESTING SOBRE EL CVaR

Becerra y Melo (2008) mencionan una prueba para evaluar el CVaR . Esta se basa en la definición del CVaR ; es decir, que esta medida corresponde al valor esperado de los retornos que exceden al VaR . Por tanto, la diferencia promedio entre los retornos mayores al VaR y el CVaR debería ser cero.

Esta prueba se calcula sobre la secuencia de "excesos de retorno", Ht|t- 1 (α), definida para un período de tenencia y un nivel de confianza α, como:

Si el CVaR está bien especificado, Ht|t - 1(α) no debería ser significativamente diferente de cero. Para evaluar la hipótesis nula Ht|t - 1(α) = 0, McNeil et al. (2005) proponen el uso de un estadístico t calculado a partir de técnicas bootstrap. Estos autores recomiendan ponderar a Ht|t - 1(α) por cuando la varianza no sea constante en el tiempo, donde es el pronóstico de la desviación estándar para el período t condicionado a la información disponible en t - 1.

Es importante anotar que respecto a las metodologías mencionadas en esta sección, la única que se exige dentro de la regulación actual, tanto en Basilea como en el caso colombiano, es la prueba de cubrimiento incondicional. Por tanto, se omite la verificación de otras propiedades relevantes de las medidas de riesgo. Por ejemplo, no se tiene en cuenta la independencia de los excesos, ni tampoco se considera el tamaño de las pérdidas.

VI. EJERCICIO EMPÍRICO

El ejercicio empírico consiste en la estimación del VaR y CVaR para diferentes activos utilizando las siguientes metodologías: RiskMetrics®, normalidad, ARMA-GARCH, simulación histórica, simulación histórica filtrada con RiskMetrics® (simulación histórica filtrada RM) y simulación histórica filtrada con ARMA-GARCH (simulación histórica filtrada AG). Estas estimaciones se llevan a cabo para tres niveles de confianza (0,95, 0,99 y 0,995) y para horizontes de uno y diez días.

Es importante notar que de las seis metodologías mencionadas, solo la de RiskMetrics® cumple teóricamente la regla de la raíz. Para efectos comparativos se proponen tres ejercicios adicionales en los cuales erróneamente se aplica la regla de la raíz a metodologías que no la cumplen. Estos se denotan normalidad RR, ARMA-GARCH RR y simulación histórica RR.14

De acuerdo con las metodologías presentadas en la sección V, el desempeño del valor en riesgo se evalúa mediante las pruebas de razón de verosimilitud de cubrimiento incondicional (LRuc), independencia (LRind) y cubrimiento condicional (LRcc). Respecto a las QPS y funciones de pérdida, se muestran los resultados de las estimaciones de Blanco - Ihle, Dowd, López, así como las funciones F1, F2 y F3 de Caporin. Finalmente, para aquellas metodologías del VaR que sean apropiadas, se lleva a cabo la prueba de backtesting del CVaR propuesta por McNeil et al. (2005).

A. DATOS

Las medidas de riesgo son calculadas para los retornos (negativos)15 de las siguientes variables: índice general de la Bolsa de Valores de Colombia (IGBC), precio implícito de títulos de tesoro a diez años (TES) proporcionados por la Subgerencia Monetaria y de Reservas del Banco de la República y la tasa de cambio representativa del mercado peso-dólar (TRM). Para este ejercicio se seleccionó el período comprendido entre enero de 2003 y marzo de 2010 y se utilizaron datos de frecuencia diaria.

B. RESULTADOS

1. Estimación para período de tenencia de un día

Los Cuadros A1.1, A1.2 y A1.3 del Anexo 1 muestran las pruebas de backtesting asociadas a la estimación del VaR para un horizonte de un período para los retornos de la TRM, el IGBC y los TES, respectivamente. Cada cuadro está dividido en tres bloques. En el primer bloque, se presentan los p-values para los estadísticos de razón de verosimilitud LRuc, LRind y LRcc y entre paréntesis se indica el número de excepciones correspondientes. En el segundo y tercer bloque se muestran los valores de las estadísticas QPS de Blanco - Ihle y de Dowd; así, como las funciones de pérdida de López II y las de Caporin (F1, F2 y F3). En cada una de las nueve estadísticas se presentan tres columnas que indican los tres niveles de confianza utilizados (0,95, 0,99, 0,995). Finalmente, las filas de estos cuadros representan cada una de las metodologías utilizadas para la estimación del VaR .

En el caso de la TRM se observa que las pruebas de razón de verosimilitud para las seis metodologías utilizadas y los tres niveles de confianza no muestran indicios de una mala especificación. Por otro lado, para el IGBC el desempeño de las metodologías de RiskMetrics® y normalidad para todo nivel de confianza del VaR es adecuado según las tres pruebas LR. Sin embargo, el VaR medido por las metodologías de simulación histórica, simulaciones históricas filtradas y ARMA-GARCH, tienden a rechazar la hipótesis de cubrimiento incondicional (LRuc) en algunos casos y en tres de estas cuatro metodologías, se rechaza la hipótesis nula de la prueba de cubrimiento condicional para α = 0,95.

En cuanto a las estimaciones del VaR para los TES, las tres pruebas de backtesting de razón de verosimilitud para las metodologías ARMA-GARCH y simulación histórica filtrada por ARMA-GARCH, no muestran evidencia de mala especificación. Respecto a las otras metodologías, la prueba de cubrimiento condicional se rechaza en el caso de RiskMetrics®, normalidad y simulación histórica para uno de los tres valores de α.

Los anteriores resultados se pueden verificar en los gráficos de backtesting del Anexo 216. Estos gráficos muestran los retornos negativos de las series analizadas, el VaR estimado, y los puntos indican los casos en los que el retorno supera al VaR ; es decir, la serie de excepciones.

Como se comentó anteriormente, en el segundo y tercer bloque de los Cuadros A1.1, A1.2 y A1.3 se presentan los puntajes de probabilidad cuadrática y diferentes funciones de pérdida. Las estadísticas QPS y las funciones de pérdida permiten clasificar las metodologías según su desempeño en términos del tamaño de las pérdidas. Valores cercanos a cero de la estadística QPS indican que la metodología es adecuada. De forma similar, entre menores sean las funciones de pérdidas se tendrá un modelo con menores excesos.

Para la TRM, las metodologías con mejor desempeño en términos de las estadísticas QPS y funciones de pérdida, son la metodología de ARMA-GARCH y de forma menos evidente, normalidad y RiskMetrics®. Por otro lado, la simulación histórica y la simulación histórica filtrada presentan un mejor rendimiento según las funciones de pérdida. Lo mismo sucede para el IGBC; sin embargo, el resultado con respecto a las simulaciones históricas filtradas no es claro, pues no hay fallas para α = 0,99 y α = 0,995. Por último, en cuanto a los TES, las estadísticas QPS tienden a seleccionar las metodologías de RiskMetrics®, normalidad y ARMA-GARCH como las de mejor desempeño, y las funciones de pérdida a las simulaciones históricas. Sin embargo, este último resultado es de difícil interpretación, ya que no se tienen excesos en estas metodologías para dos de tres niveles de α.

En el Cuadro A1.7 del Anexo 1 se encuentran los resultados que evalúan el desempeño del CVaR basados en una prueba propuesta por McNeil et al. (2005). Estos resultados indican que, en general, no existe evidencia de una mala especificación del valor en riesgo condicional.

En resumen, el desempeño de las medidas de riesgo para horizontes de un día es apropiado para las seis metodologías consideradas. Sin embargo, se debe notar que las estimaciones con mejor desempeño, son las reportadas por las metodologías que modelan tanto la media como la VaR ianza condicional. Es decir, RiskMetrics®, ARMA-GARCH y simulaciones históricas filtradas.17

2. Estimación multiperíodo

Las pruebas de backtesting para horizonte de pronóstico de diez períodos se muestran en los Cuadros A1.4, A1.5 y A1.6 del Anexo 1. Estos cuadros tienen la misma estructura que los presentados para horizonte de un período; incluyendo metodologías reescaladas por la regla de la raíz, tal como se menciona al inicio de la sección VI. Por otro lado, los gráficos de backtesting asociados a estas estimaciones son mostrados en el Anexo 218.

En general, para los activos y las metodologías analizados se rechaza la hipótesis nula de la prueba de cubrimiento incondicional. Además, la prueba de independencia es de difícil interpretación, puesto que en muchos de los casos el número de excepciones es cero; en los casos en que existen fallos, se rechaza la hipótesis nula de independencia.

Lo anterior implica que la hipótesis nula de la prueba conjunta de cubrimiento condicional se rechaza en la mayoría de los casos. Cuando no es así, se debe a la ausencia de fallos que hace que la prueba de independencia tenga un p-value de uno sin implicar que los retornos mayores al VaR presenten un buen comportamiento.

De esta forma, se concluye que ninguna metodología satisface los supuestos del VaR para los niveles de confianza utilizados. Por tanto, no se considera adecuado interpretar las estadísticas QPS, ni las funciones de pérdida. Tampoco se deben estimar pruebas de desempeño del CVaR , toda vez que el VaR en ningún caso está bien especificado.

Respecto a las metodologías reescaladas con base en estimaciones con horizonte de pronóstico a un día, tampoco se observan estimaciones adecuadas de las medidas de riesgo. Dados estos resultados y tomando en cuenta que las estimaciones para períodos de tenencia de un día son adecuadas, se tiene que en los casos considerados, la regla de la raíz no es una medida apropiada para la estimación del VaR .

Para analizar la robustez de los resultados anteriores, se realizaron estimaciones multiperíodo para períodos de tenencia de cuatro y siete días. Dichas estimaciones muestran el mismo comportamiento; es decir, existe evidencia de mala especificación del VaR para todas las metodologías consideradas19.

Otro resultado interesante, es que bajo las exigencias de la regulación, la única prueba que se requiere verificar es la prueba de cubrimiento incondicional para un nivel de confianza de 0,99. Al utilizar este criterio para el VaR multiperíodo, se encuentra que existen algunas metodologías que tendrían un desempeño adecuado. Sin embargo, si se verifican todas las propiedades relevantes del VaR para los tres niveles de confianza considerados, ningún modelo es apropiado.

VII. COMENTARIOS FINALES

En este documento se hizo una revisión de los requerimientos de regulación por parte de Basilea II y la Superintendencia Financiera de Colombia para la medición de riesgo de mercado. Además, se mostraron las pruebas backtesting exigidas por la regulación actual y pruebas adicionales que evalúan otras propiedades del VaR y que se deberían tener en cuenta para verificar de forma adecuada el desempeño de las metodologías de medición del riesgo.

De igual forma, se consideraron diferentes modelos para la medición del VaR en el contexto de modelos internos. Los modelos considerados incluyen tanto metodologías sencillas y de fácil implementación como métodos que pretenden modelar algunos hechos estilizados de las series financieras.

Cuando el horizonte de pronóstico es un día, el desempeño de las medidas de riesgo es apropiado, puesto que, en general, todas las metodologías consideradas reportan resultados aceptables. Sin embargo, se debe notar que las estimaciones con mejor desempeño, son las reportadas por las metodologías que modelan tanto la media como la varianza condicional.

Los resultados muestran que ninguna metodología mide adecuadamente el VaR multiperíodo para los activos considerados y horizontes de cuatro, siete y diez días. De igual forma, reescalar medidas con horizonte de pronóstico a un día, tampoco generan estimaciones adecuadas del riesgo. Esto implica que la regla de la raíz no es una medida apropiada para la estimación VaR .

Por otro lado, se observa que si solo se tienen en cuenta los criterios de la regulación vigente (prueba de proporción de fallas, α = 0,99 y horizonte de diez días), se tendrían algunos modelos adecuados; sin embargo, cuando se tienen en cuenta supuestos adicionales que debería satisfacer el VaR , ninguna metodología es apropiada.

En conclusión, se tiene que las pruebas de backtesting exigidas por la regulación no evalúan completamente el desempeño del VaR . Esto se debe a que no comprueban el cumplimiento de todas las propiedades relevantes para obtener un VaR y CVaR correctamente estimados (independencia de los excesos, cubrimiento condicional y que el promedio de las pérdidas mayores al VaR sea aproximadamente igual al CVaR ). Por tanto, se deberían lleVaR a cabo pruebas adicionales a las exigidas por la regulación, para no validar metodologías de valor en riesgo incorrectas.

Comentarios

1 Estas consisten en generar artificialmente escenarios extremos en los retornos de un portafolio y evaluar su impacto en el modelo de riesgo. Una definición más detallada se encuentra en Christoffersen (2003) y Alexander (2008), entre otros.

2 Los modelos internos se concentran en el riesgo de mercado total que asume la entidad financiera y no tiene en cuenta fuentes de riesgo específico. Si una entidad mide el VaR utilizando la metodología interna, debe tener en cuenta un monto de capital por riesgo específico de no menos de la mitad del monto que se calcularía bajo el modelo estándar.

3 Esta tabla de bandas se encuentra en el anexo 1 de la circular 51 de 2007 de la Superintendencia Financiera.

4 Estas propiedades se encuentran descritas en McNeil, Frey y Embrechts (2005), entre otros.

5 La ecuación (2) muestra la definición del CVaR en el caso de distribuciones continuas. Sin embargo, para esta medida de riesgo existen otras definiciones más generales, las cuales pueden ser aplicadas tanto a casos continuos como discretos. Una discusión detallada sobre estas medidas se encuentra en Acerbi y Tasche (2002).

6 Jorion (2007) menciona que presumiblemente, el comité de Basilea escogió un período de diez días porque este refleja el trade-off entre los costos de frecuente monitoreo y los beneficios de detección temprana de problemas potenciales.

7 Este resultado se debe a que los retornos se calculan en forma logarítmica de la siguiente forma:

8 Es importante aclarar, que esta regla también se puede satisfacer en ciertos modelos que no suponen retornos i.i.d.; un ejemplo es RiskMetrics®. Esta metodología es explicada en secciones posteriores.

9 Es decir,

10 Para facilitar la notación, en esta sección se supone que el horizonte de pronóstico, k, es de un período. Sin embargo, las definiciones y procedimientos utilizados pueden ser fácilmente generalizados para horizontes mayores.

11 Es de notar que el estadístico de razón de verosimilitud de Kupiec se puede expresar en términos de la notación de Christoffersen de la siguiente manera: .

12 En este caso, la pérdida esperada equivale al CVaR asociado al ejercicio, ya que este se define como el valor esperado de las pérdidas mayores al VaR .

13 Es decir, pérdidas mayores al VaR muy altas.

14 Las metodologías de simulación histórica filtradas con RiskMetrics® y ARMA-GARCH, no fueron consideradas para estos ejercicios debido a su alto costo computacional.

15 Es decir, para cada una de las series analizadas, pt, se realiza la siguiente transformación: Por tanto, valores altos de esta serie indican pérdidas grandes.

16 Por motivos de espacio, en el Anexo 2 solo se presentan los gráficos de backtesting asociados a los retornos de los TES. Es decir, no se incluyen los gráficos para los retornos de la TRM y el IGBC. Sin embargo, estos se encuentran a disposición del interesado.

17 Es de notar que RiskMetrics® solo modela la VaR ianza condicional; el restante de estas metodologías modela tanto la media como la VaR ianza condicional.

18 Al igual que en el caso de la estimación con horizonte de pronóstico de un día, en el Anexo 2 solo se presentan los gráficos de backtesting asociados a los retornos de los TES por motivos de espacio. Es decir, no se incluyen los gráficos para los retornos de la TRM y el IGBC. Sin embargo, estos se encuentran a disposición del interesado.

19 Por simplicidad, estos resultados no son presentados en este documento, pero se encuentran a disposición de los interesados.

REFERENCIAS

1. Acerbi, C.; Tasche, D. "On the Coherence of Expected Shortfall", Journal of Banking and Finance, núm. 26, pp. 1487-1503, 2002.         [ Links ]

2. Alexander, C. Market Risk Analysis, vol. IV, "Value at Risk Models", John Wiley & Sons, 2008.         [ Links ]

3. Artzner, P.; Delbaen, F.; Eber, J.-M.; Heath, D. "Coherent Measures of Risk", Mathematical Finance, núm. 9, pp. 203-228, 1999.         [ Links ]

4. Basel Committe on Banking Supervision. Ammendment to the capital accord to incorporate market risks. Technical report, GloriaMundi, 1996a.         [ Links ]

5. Basel Committe on Banking Supervision. Supervisory framework for the use of backtesting in conjunction with the internal models approachto market risk capital requirements. Technical report, GloriaMundi, 1996b.        [ Links ]

6. Basel Committe on Banking Supervision. Basell II: International convergence of capital measurement and capital standards. Technical report, GloriaMundi, 2005.         [ Links ]

7. Basel Committe on Banking Supervision. Revisions to the Basell II market risk framework. Technical report, GloriaMundi, 2009.         [ Links ]

8. Becerra, O.; Melo, L. F. "Medidas de riesgo financiero usando cópulas: teoría y aplicaciones", Borradores de Economía 489, Banco de laRepública, 2008.         [ Links ]

9. Blanco, C.; Ihle, G. "How Good is Your VaR ? Using Backtesting to Assess System Performance", Financial Engineering News, 11, 1999.         [ Links ]

10. Bollerslev, T. "Generalized Autoregressive Conditional Heteroscedasticity", Journal of Econometrics, núm. 31, pp. 309-328, 1986.         [ Links ]

11. Caporin, M. "Evaluating Value-at-Risk Measures in Presence of Long Memory Conditional Volatility". Technical Report 0305, GRETA, 2003.         [ Links ]

12. Castaño, E.; Gómez, K.; Gallón, S. "Pronóstico y estructuras de volatilidad multiperíodo de la tasa de cambio del peso colombiano", RevistaCuadernos de Economía, vol. 27, núm. 48, pp. 241-266, 2008.        [ Links ]

13. Christoffersen, P. F. Elements of Financial Risk Management, Academic Press, 2003.        [ Links ]

14. Danielsson, J.; Zigrand, J.-P. "On Time-Scaling of Risk and the Quare-Root-of-Time Rule", Journal of Banking & Finance, vol. 30, núm. 10, pp. 2701-2713, 2006.         [ Links ]

15. Diebold, F. X.; Hickman, A.; Inoue, A.; Schuermann, T. "Converting 1-Day Volatility to h-Day Volatility: Scaling by Root-h is Worse Than You Think", Center for Financial Institutions Working Papers, 97-34, Wharton School Center for Financial Institutions, University of Pennsylvania, 1997.        [ Links ]

16. Dowd, K. An Introduction to Market Risk Measurement, John Wiley & Sons, 2002.        [ Links ]

17. Embrechts, P.; McNeil, A.; Straumann, D. "Correlation and Dependency in Risk Management: Properties and Pitfalls", in Dempster, M. (ed.), Risk Management: Value at Risk and Beyond, pp. 176-223, Cambridge Univesity Press, 2002.         [ Links ]

18. Engle, R. "Autoregressive Conditional Heteros-cedasticity With Estimates of the VaR iance of Uk Inflation", Econometrica, núm. 50, pp. 987-1008, 1982.         [ Links ]

19. Gourieroux, C.; Jasiak, J. Financial Econometrics: Problems, Models, and Methods, Princeton University Press, 2001.        [ Links ]

20. Jorion, P. Value at Risk: The New Benchmark for Maging Financial Risk, 3rd edit., McGraw-Hill, 2007.         [ Links ]

21. Morgan Bank, J. P. "Riskmetrics Technical Document", Technical report, 1995.         [ Links ]

22. León, C.; Vivas, F. "Dependencia de largo plazo y la regla de la raíz del tiempo para escalar la volatilidad en el mercado colombiano", Borradores de Economía, 603, Banco de la República, 2010.        [ Links ]

23. López, J. A. "Methods for Evaluating Value-at-Risk Estimates", Federal Reserve Bank of New York, Economic Policy Review, núm. 3, pp. 119-124, 1998.        [ Links ]

24. McNeil, A.; Frey, R.; Embrechts, P. Quantitative Risk Management: Concepts, Techniques, and Tools, Princeton University Press, 2005.        [ Links ]

25. Melo, L. F.; Becerra, O. R. Medidas de riesgo, características y técnicas de medición, Universidad del Rosario - Centro Editorial Rosarista, 2006.        [ Links ]

26.Nelson, D. "Stationarity and Persistence in the garch (1,1) model", Econometric Theory, núm. 6, pp. 318-334, 1990.        [ Links ]

27. Saadi, S.; Rahman, A. "Evidence of Non-Stationary Bias in Scaling by Square Root of Time: Implications for Value-at-Risk", Journal of International Financial Markets, Institutions and Money, vol. 18, núm. 3, pp. 272-289, 2008.         [ Links ]

28. Superintendencia Financiera de Colombia. Circular externa 51 de 2007. Tsay, R. Analysis of Financial Time Series, John Wiley & Sons, 2002.        [ Links ]

ANEXO 1

Pruebas sobre el backtesting del VaR y el CVaR

En este anexo, se muestran las pruebas de desempeño realizadas sobre las metodologías de VaR y CVaR mencionadas en la sección IV, y para las versiones reescaladas por regla de la raíz (normalidad RR, ARMA-GARCH RR y simulación histórica RR). En estos cuadros RM denota RiskMetrics® y AG significa ARMA-GARCH.

ANEXO 2

Gráficos de backtesting

Creative Commons License All the contents of this journal, except where otherwise noted, is licensed under a Creative Commons Attribution License