SciELO - Scientific Electronic Library Online

 
 issue71Interpreting the mexican standards for software process implementation and capacity assessment under a knowledge management approachVehicular traffic monitoring in V2I systems using a wireless sensor network author indexsubject indexarticles search
Home Pagealphabetic serial listing  

Services on Demand

Journal

Article

Indicators

Related links

  • On index processCited by Google
  • Have no similar articlesSimilars in SciELO
  • On index processSimilars in Google

Share


Revista Facultad de Ingeniería Universidad de Antioquia

Print version ISSN 0120-6230

Rev.fac.ing.univ. Antioquia  no.71 Medellín Apr./June 2014

 

ARTÍCULO ORIGINAL

 

Esquema multicapa de compresión de encabezados para aplicaciones VoIP en contextos rurales en redes 802.11

 

802.11g multilayer header compression for VoIP in remote rural contexts

 

 

Alvaro Armenta Ramade1 , Arturo Serrano Santoyo2.

1Facultad de Ingeniería, Universidad Autónoma de Baja California (UABC). Blvd. Benito Juárez S/N. CP. 21280. Mexicali, México.

2Centro de Investigación Científica y de Educación Superior de Ensenada (CICESE). Carretera Ensenada-Tijuana 3918, Zona Playitas. CP. 22860. Ensenada, México.

*Autor de correspondencia: teléfono: : + 52 + 646 + 175-0500 ext. 23023, correo electrónico: aarmenta@hotmail.com (A. Armenta)

 

(Recibido el 01 de abril de 2013. Aceptado el 14 de enero de 2014)

 

 


Resumen

En este artículo se presenta un esquema de compresión de encabezados multicapa para paquetes de VoIP en redes inalámbricas 802.11 que no requiere mantener sincronizados los contextos del compresor y descompresor. La reducción en el tamaño de los encabezados se logra a partir de la compresión de los campos estáticos de los encabezados RTP/UDP/IP y del uso de un direccionamiento virtual de 8 bits en la capa MAC. Si consideramos la longitud de los encabezados RTP/UDP/IP/MAC, este esquema permite obtener un 48% de eficiencia de compresión contra un 41% que ofrecen los esquemas CRTP y RoHC. Dado que el esquema propuesto no requiere mantener sincronizados los contextos, el descompresor siempre podrá regenerar los encabezados aún en condiciones de una alta tasa de pérdida de paquetes.

Palabras clave:VoIP, compresión de encabezados, comunicaciones rurales, comunicaciones inalámbricas, 802.11

Abstract

This article presents a Multilayer Header Compression scheme for VoIP packets in 802.11 wireless networks that does not require context synchronization of compressor and decompressor units. The reduction of the header size is accomplished through the static field compression of the RTP/ UDP/IP headers in conjunction with an 8 bit virtual addressing in the 802.11 MAC layer. Considering the RTP/UDP/IP/MAC header fields, this scheme allows 48% header compression efficiency compared with 41% provided by the CRTP and RoHC schemes. Given that our proposal does not require context synchronization, the decompressor will regenerate the headers even in high packet loss rate conditions.

Keywords:VoiP, header compression, rural Communications, wireless Communications, 802.11

Introducción

A pesar de los avances en la dotación y aprovechamiento de los servicios de telecomunicaciones, existen aún comunidades rurales remotas (CRR) en México que cuentan con mínima o nula infraestructura de telecomunicaciones [1, 2]. En el mejor de los casos, cuentan con una o dos casetas telefónicas públicas con acceso satelital limitando las oportunidades de comunicación de estas comunidades [3]. El bajo poder adquisitivo y la baja densidad poblacional en las CRR inhiben la expansión de las concesionarias privadas para atender este mercado.

El internet, a través de los servicios de voz sobre IP (VoIP), puede ofrecer una solución de bajo costo para incrementar la penetración del servicio telefónico en las CRR, sin embargo, en muchos de los casos el enfoque de la provisión de los servicios es de manera centralizada, es decir, la infraestructura para acceso a internet, se implanta primordialmente en centros comunitarios digitales (CCD), telecentros o algún establecimiento de acceso a la población, los cuales se dotan con equipos de cómputo y conectividad [4]. Se observa entonces que los esfuerzos que se hacen para llevar los servicios básicos de telecomunicaciones directamente en los hogares de las CRR son escasos y en su mayoría fragmentados con enfoques altamente centralizados en los aspectos tecnológicos sin incluir aspectos relativos al conocimiento de la dinámica sociocultural y económica de las poblaciones.

Aunque desde el punto de vista tecnológico existen tecnologías inalámbricas emergentes que permiten transmitir grandes volúmenes de información a distancias cortas y a su vez opciones para aumentar la cobertura y velocidades de transmisión de las redes WiFi tradicionales [5], los costos continúan siendo una limitante importante para su adopción en aquellas CRR con escasos recursos económicos.

Una alternativa de bajo costo para ampliar la cobertura del acceso a internet de los CCD a las casas es a través de las redes locales inalámbricas (WLAN, Wireless Local Area Network) basadas en la especificación IEEE802.11 [6]. Estas redes se caracterizan por su bajo costo de implementación y su amplia base de usuarios alrededor del mundo. Aunque el radio de cobertura de las tarjetas de red inalámbricas es de alrededor de 300 metros, éstas se pueden interconectar a través del mismo canal inalámbrico para incrementar su cobertura a cientos de metros o incluso kilómetros, lo que las hace tener el potencial de aplicarse exitosamente en las comunidades rurales como un medio para ofrecer servicios básicos y avanzados de telecomunicaciones, como por ejemplo, los servicios de VoIP.

Una implementación de VoIP sobre WLAN requiere tomar en cuenta dos aspectos que pueden limitar la cantidad de tráfico de VoIP que se puede transmitir en una red inalámbrica: primero, en la práctica, el caudal eficaz de un nodo WLAN es aproximadamente del 50% de la tasa de transmisión má xima [7, 8]y segundo. el tamaño de los paquetes que los codificadores de voz producen es pequeño en comparación con la cantidad de bytes de los encabezados de los protocolos de tiempo real (RTP, Real Time Protocol), datagrama de usuario (UDP, User Datagram Protocol) e internet (IP, Internet Protocol). Por ejemplo, un paquete de muestras de voz de un codificador G.729A produce paquetes de 20 Bytes mientras que los encabezados RTP/ UDP/IP pueden contener hasta 70 Bytes de control (para la versión 6 del IP). Este último punto es muy importante debido a que contribuye a disminuir aún má s el caudal eficaz reduciendo la capacidad de la red para transmitir paquetes de voz. La ecuación (1) permite obtener la eficiencia del protocolo de comunicación considerando la cantidad de bytes que se deben agregar para transmitir una carga útil.

De acuerdo a (1), la eficiencia de los protocolos RTP/UDP/IP para transmitir una muestra de 20 Bytes es del 25% cuando se usa IPv6, es decir, el 75% del paquete contiene información de control.

La compresión de encabezados es una técnica que permite incrementar la eficiencia de transmisión de los protocolos eliminando la información redundante en los encabezados de los paquetes. Sin embargo, los mecanismos de compresión son altamente sensibles a la pérdida de paquetes debido a que la reconstrucción de los encabezados se basa en la correcta descompresión de los encabezados anteriores. Cuando un paquete se pierde, el descompresor no podráactualizar su contexto y por lo tanto ya no estarásincronizado con el compresor. Una vez que el contexto se dañ a, es necesario restablecerlo mediante el envío de paquetes con encabezados completos. Cabe mencionar que los paquetes con encabezados comprimidos que lleguen antes de que se restablezca el contexto, serán descartados activando el mecanismo de retransmisión del protocolo de la capa MAC (dado que el receptor del paquete no enviaráel paquete de confirmación). La retransmisión de encabezados completos disminuye la eficiencia del mecanismo de compresión así como el caudal eficaz de la red.

Como una alternativa a los esquemas de compresión de encabezados de paquetes RTP/ UDP/IP estandarizados, se describe una técnica multicapa para la compresión de encabezados que no requiere actualizar los contextos y aún así, se obtiene una eficiencia de compresión similar o mayor a la obtenida por CRTP o RoHC. El mecanismo consiste en la compresión de los campos estáticos de los encabezados RTP/UDP/ IP y la utilización de un direccionamiento virtual de 8 bits en la capa MAC. El enfoque propuesto es válido para escenarios rurales en donde el número de nodos es pequeño y son fijos (no se presentan condiciones de movilidad).

El resto del artículo estáorganizado de la siguiente manera: primero se presenta una breve descripción de las técnicas de compresión de encabezados RTP/UDP/UP más utilizados asícomo de algunos trabajos en donde se aplican técnicas de reducción del tamaño de los encabezados. Posteriormente se describe la propuesta de ''compresión multicapa'' y su implementación en el simulador de redes Opnet, seguida por los resultados del desempeño del mecanismo propuesto con respecto al retardo y la tasa de pérdida de paquetes (PLR, Packet Loss Rate). Finalmente, se presentan las conclusiones.

Compresión de encabezados

El objetivo de los mecanismos de compresión de encabezados es reducir la cantidad de información de control de los paquetes que pertenecen a un mismo flujo. Al reducirse el tamaño del paquete, se libera ancho de banda que puede ser usado para incrementar el número de flujos de VoIP que pueden ser transportados en la red. Dos características de los flujos de VoIP que permiten la compresión de los encabezados RTP/ UDP/IP son: 1) la mayoría de los campos de los encabezados correspondientes a un mismo flujo se mantienen prácticamente constantes (campos estáticos) durante la duración del mismo; y 2), algunos de los campos que cambian su valor de un paquete a otro (campos dinámicos) lo hacen utilizando incrementos constantes. Cabe mencionar que aquellos campos que cambian de manera irregular, como por ejemplo, las sumas de verificación (checksum), no se pueden comprimir.

Los elementos que integran un esquema de compresión son el compresor, el cual se localiza en el nodo transmisor, y el descompresor, localizado en el nodo receptor. Ambos elementos almacenan información de contexto por cada flujo (considerando un flujo como una serie de paquetes consecutivos que contienen lasmismas direcciones IP y puertos UDP). Una vez establecidos los contextos, el compresor codifica la información de los campos dinámicos del encabezado RTP/UDP/IP que cambiaron con respecto al último paquete que se transmitió y envía esta información, junto con la muestra de voz, en una nueva estructura de paquete IP de encabezado comprimido el cual puede ser hasta 95% más pequeñ o que el encabezado RTP/UDP/ IP (Figura 1).

Para el correcto funcionamiento de los esquemas de compresión, los contextos del compresor y del descompresor deben mantenerse sincronizados durante toda la vida del flujo. La sincronización se lleva a cabo con la información del último paquete recibido, por lo que si uno de los paquetes se pierde, el descompresor perderála sincronización con el compresor y no podrádescomprimir correctamente los paquetes que reciba posteriormente hasta que se re-sincronice el contexto con el compresor.

Los esquemas estandarizados más conocidos para la compresión de encabezados VoIP son el protocolo de tiempo real comprimido (CRTP, Compressed Real Time Protocol) definido en el documento RFC 2508 [9]y el compresor de encabezados robusto (RoHC, Robust Header Compression) definido en los RFC 3095 [ 10]y RFC 4815 [11].

CRTP codifica los cambios en los campos dinámicos de paquetes consecutivos utilizando una codificación delta (la diferencia simple entre el valor del campo actual y el valor del campo del paquete anterior) las cuales son enviados al descompresor dentro de los encabezados comprimidos. Para que el descompresor pueda recuperar los valores originales de los campos dinámicos, tiene que sumar los valores codificados en el encabezado comprimido recibido con los valores correspondientes que tiene almacenado en el contexto. El contexto es actualizado con los nuevos valores calculados (sobrescribiendo los valores almacenados) y al mismo tiempo se crea un nuevo encabezado RTP/UDP/IP completo con los valores calculados el cual sustituye al encabezado comprimido recibido antes de que el paquete sea enviado a las capas superiores. Debido a que los encabezados comprimidos contienen la diferencia con respecto al paquete anterior, si uno de ellos se pierde en la red, el contexto del descompresor se desincroniza del compresor, y por lo tanto, cuando llegue un nuevo encabezado comprimido, este no podrá generar correctamente el encabezado completo del nuevo paquete (debido a que la información del contexto corresponde a la del penúltimo encabezado recibido). Cuando el descompresor detecta un problema al descomprimir un encabezado, envía una solicitud al compresor para restablecer el contexto, para lo cual el compresor vuelve a enviar un encabezado completo para este propósito. Debido a que los tiempos de retorno (roundtrip time) pueden ser largos en una WLAN, los paquetes que el descompresor reciba posteriores al envío de una solicitud de restablecimiento de contexto serán descartados hasta que reciba un paquete con el encabezado completo. Debido a que la pérdida de un solo paquete introduce inconsistencias en los contextos, este esquema funciona adecuadamente en enlaces con una PLR prácticamente nula [12].

Por otro lado, RoHC es un esquema de compresión de encabezados mejorado que puede operar en redes inalámbricas en donde la PLR es de moderada a alta. A diferencia de CRTP. puede soportar la pérdida de hasta 12 paquetes consecutivos sin que el contexto se pierda. Cuenta con tres modos de operación: 1) modo unidireccional (UM, Unidirectional Mode) el cual se utiliza para enlaces unidireccionales donde no es posible tener un canal de retroalimentación; 2) modo optimista (OM, Optimistic Mode) el cual hace un uso ligero del canal de retroalimentación para solicitar y/o confirmar el restablecimiento de contextos y 3) modo confiable (RM, Reliable Mode) el cual hace un uso intensivo del canal de retroalimentación confirmando prácticamente todas las actualizaciones de contexto. Dependiendo de las condiciones del canal, RoHC se mantendráen el modo OM cuando la PLR sea baja y en el modo RM cuando la PLR sea de moderada a alta (con lo que se utilizarán más recursos de la red). Los procesos de compresión y descompresión son implementados a través de máquinas de estados finitos. En cada uno de los modos de operación el proceso de compresión transita por tres estados: 1) estado de inicialización (IR, Initialization and Refresh) se configuran los contextos y se envían encabezados completos; 2) estado de Primer Orden (FO, First Order), los campos estáticos son almacenados en el contexto y se transmiten encabezados parcialmente comprimidos con la información codificada de las diferencias de las variaciones de los campos dinámicos y finalmente 3), estado de Segundo Orden (SO, Second Order), en este estado se suprimen los campos dinámicos y solamente se transmiten un número de secuencia (del cual se pueden inferir los campos dinámicos) y un campo de suma de verificación (Figura 2).

Trabajo relacionado

En [13, 14] se presentan mecanismos de compresión que explotan el uso de múltiples canales en una red inalámbrica en malla (WMN,Wireless Mesh Network) para reconstruir contextos en caso de pérdida de paquetes. Cada paquete comprimido perteneciente a un canal, incluye información adicional correspondiente a un canal vecino de tal manera que el canal vecino pueda reconstruir el contexto cuando un paquete sea descartado. Debido a esta redundancia, no se necesita de una canal de retroalimentación para solicitar el restablecimiento de contexto en condiciones de pérdidas de paquetes. Aunque con esta técnica se reduce la propagación de errores por la pérdida de paquetes, el hecho de introducir información redundante en todos los paquetes tiene un efecto negativo en la eficiencia de compresión.

Un esquema cooperativo de compresión de campos estáticos y agregación de paquetes se presenta en [15]. Para eliminar la necesidad de mantener sincronizados los contextos, los autores proponen almacenar en los contextos solamente los campos estáticos y transmitir los campos diná micos en los encabezados comprimidos. Para incrementar la eficiencia de compresión, utilizan la técnica de agregación de paquetes en la cual agrupan dos paquetes con encabezado comprimido en un solo paquete llamado paquete agregado. Adicionalmente eliminan las redundancias que pueda haber entre los dos encabezados comprimidos contenidos dentro del paquete agregado y formar un nuevo encabezado agregado. Aunque los resultados presentados muestran una reducció n considerable en la PLR, se observa un incremento en la latencia debido a que el mecanismo de agregación introduce un retardo fijo equivalente al tiempo necesario para formar un paquete agregado. Este retardo puede impactar negativamente a los paquetes de VoIP que tienen un margen restringido de retardo má ximo.

Debido a la gran cantidad de recursos que la utilización de los mecanismos de retroalimentación consumen para mantener sincronizados los contextos, algunos autores se han concentrado en encontrar los valores óptimos de los parámetros de operación del UM de RoHC que permitan encontrar la cantidad óptima de paquetes con encabezados comprimidos que se pueden enviar antes de enviar un paquete con un encabezado completo para actualizar el contexto el compresor [16, 17]. Sin embargo, el modo UM depende de que la PLR sea baja para que funcione adecuadamente, de lo contrario, se estarían transmitiendo una cantidad elevada de encabezados completos que bajarían la eficiencia de la compresión.

La mayoría de los esquemas de compresión de encabezados trabajan con los paquetes de la capa de red, sin embargo existen algunas propuestas que se enfocan en reducir el tamaño de los encabezados de la capa MAC. En [18], sus autores presentan un mecanismo similar al uso de contextos de CRTP en donde el par compresor/ descompresor generan un contexto con los campos estáticos y dinámicos del encabezado MAC. Debido a que el compresor debe elegir el nombre de la etiqueta, se requiere mantener un registro de las etiquetas usadas por él mismo y aquellas que ''ha escuchado'' de tramas que no estaban dirigidas al nodo para evitar escoger una que esté siendo utilizada por otro contexto. El principal reto de este mecanismo es detectar el uso de etiquetas duplicadas (que estén siendo usadas por otros contextos en la misma red), las cuales en condiciones de mucho tráico pueden someter a los nodos a un procesamiento excesivo al restablecer innecesariamente los contextos (la principal señal de etiquetas duplicadas es la falta de confirmación de las tramas MAC).

A continuación se presenta nuestra propuesta de compresión de encabezados que incrementa la eficiencia en la transmisión de los paquetes de voz y a la vez mantiene un costo bajo de procesamiento.

Esquema multicapa de compresión de encabezados

Los esquemas de compresión de encabezados estandarizados como RoHC requieren de sofisticados mecanismos de señalización para mantener sincronizados los contextos en la presencia de pérdida de paquetes. Sin embargo, el tráfico de señalización utilizado para este propósito introduce tráfico a la red lo cual disminuye la eficiencia de compresión del mecanismo.

El esquema de compresión propuesto estádiseñado para que mantenga su eficiencia de compresión en la presencia de una PLR alta sin la necesidad de utilizar tráfico de señalización y requerir mantener actualizados los contextos en el par compresor/descompresor.

La propuesta gira en torno a comprimir solamente los campos estáticos de los encabezados RTP/ UDP/IPv6 y utilizar un direccionamiento virtual de 8 bits en la capa MAC para reducir el tamaño del encabezado MAC (Figura 3). Esto significa que los encabezados comprimidos incluirán todos los campos dinámicos de los encabezados RTP/ UDP/IPv6 así como el identificador del contexto. La baja eficiencia de compresión obtenida por este enfoque serácompensada por la reducción en el tamaño del encabezado de la trama MAC al utilizar un direccionamiento virtual de 8 bits.

Compresión de encabezados estáticos

La compresión de encabezados estáticos consiste en almacenar en los contextos la información correspondiente a los campos estáticos de los protocolos RTP, UDP e IPv6, los cuales representan cerca del 85% de los encabezados cuando se utiliza IPv6 (52,375 Bytes). Los campos almacenados en el contexto forman la plantilla sobre la cual el descompresor creará el encabezado completo de los paquetes recibidos. Los campos dinámicos no son codificados por el compresor y simplemente se envían dentro del encabezado comprimido (8,6 Bytes). Cuando el descompresor recibe un encabezado comprimido, creará una nueva estructura de encabezado en la cual anexarálos campos estáticos contenidos en el contexto así como los campos dinámicos incluidos en el encabezado comprimido (Figura 4). Debido a que los campos estáticos no cambian su valor durante la duración del flujo, el descompresor no requiere actualizar el contenido del contexto con cada encabezado descomprimido.

Esta primera etapa del mecanismo propuesto reduce los encabezados RTP/UDP/IPv6 de 60 a 8.625 Bytes, un valor muy por arriba del 1 Byte que RoHC puede lograr. Sin embargo, la ventaja que presenta este enfoque es que, como es conocido, al transmitirse todos los campos dinámicos en el encabezado comprimido, la pérdida de paquetes no afectará el estado de los contextos y por lo tanto se obtendrán dos mejoras importantes: 1) la descompresión de encabezados serásiempre exitosa aún en la presencia de una gran cantidad de paquetes perdidos en forma consecutiva; y 2), no se requiere enviar tráfico de sñalización para solicitar el restablecimiento de los contextos así como tampoco se requiere el envío de paquetes con encabezados completos una vez que los contextos se han establecido por primera vez.

Una vez que el encabezado se ha comprimido, se pasa a la segunda etapa del mecanismo de compresión en la capa MAC.

Direccionamiento virtual de 8 bits de la capa MAC

Para compensar la baja en la eficiencia de compresión (por ejemplo, con respecto a RoHC) por el uso del enfoque de campos estáticos, nuestra propuesta consiste en reducir el tamaño del encabezado de la trama MAC de una red inalámbrica 802,11g mediante el uso de direcciones MAC virtuales de 8 bits.

Una trama MAC típica tiene un encabezado de 28 bytes y cuenta con tres campos de direcciones (DA, SA y BSS ID) de seis bytes (48 bits) cada uno (Figura 5 a). De acuerdo al tamaño del campo de direcciones de 48 bits, en teoría es posible direccionar más de 200 billones de direcciones lo cual, en la práctica, sería un escenario poco probable en una red inalámbrica.

Aprovechando la baja densidad de hogares en las comunidades rurales remotas, se propone limitar la capacidad de direccionamiento de los puntos de acceso (AP, Access Point) a 256 dispositivos inalámbricos por medio del uso de direcciones MAC virtuales de 8 bits: cuando una estación fija inalámbrica (la cual puede ser un teléfono IP localizado en una casa) solicita la asociación con el AP, éste le asigna una dirección MAC virtual de 8 bits la cual queda asociada a su dirección MAC de 48 bits en una tabla dentro de la memoria del AP y se la transmite a la estación solicitante junto con la dirección virtual del AP. Una vez asignada la dirección virtual, todas las tramas MAC de datos, entre el AP y la estación fija utilizarán direcciones virtuales de 8 bits. Las tramas de gestión, como por ejemplo, los faros (beacons) y las confirmaciones de trama (tramas ACK) utilizaran direcciones MAC de 48 bits para que puedan ser procesadas por equipos que no implementen el mecanismo de compresión. El uso de direcciones virtuales en las tramas de datos reducen en un poco más del 50% el tamaño de las tramas al pasar de 28 a 13 Bytes.

Para comparar la eficiencia de compresión que se obtiene con el esquema de compresión propuesto con los esquemas CRTP y RoHC es necesario considerar el tamaño total de la trama MAC: la trama sin compresión tiene una longitud de 108 bytes (20 Bytes de voz, 60 Bytes de encabezados RTP/UDP/IPv6 y 28 Bytes del encabezado MAC). A partir del tamaño del paquete de voz (20 Bytes) y del tamaño de los encabezados comprimidos, con el mecanismo de compresión multicapa es posible obtener una eficiencia de compresión del 48% contra los 40% y 41% que se pueden obtener con CRTP y RoHC respectivamente, considerando que no se presentan pérdidas de paquetes en la WLAN (Tabla 1), ya que en caso contrario, la eficiencia se vería reducida por el tráfico de señalización utilizado.

Simulación

Para analizar el desempeño del esquema propuesto, se implementó la arquitectura mostrada en la figura 6 en el simulador OPNET 15,4 en el cual se simuló el funcionamiento del mecanismo propuesto, el canal inalámbrico, el tráfico de VoIP y se recopilaron resultados numéricos. La topología de la red estáformada por dos redes inalámbricas: una red que opera como una troncal inalámbrica formada por cuatro enrutadores configurados en una topología lineal (cada enrutador sólo se puede comunicar con su vecino inmediato) separados 300 metros entre sí ; y una red inalámbrica de acceso local formada por un AP y un número variable de estaciones fijas inalámbricas (EFI) las cuales generarán el tráfico de voz. Para aislar el tráficos entre ambas redes y evitar que se interfieran entre sí, se optó por utilizar dos bandas de frecuencias: Para la troncal inalámbrica se utilizó la interface 802,11a, la cual opera en la banda de los 5 GHz, debido a que en esta banda operan pocos dispositivos que puedan hacer interferencia; y para las redes de acceso a los usuarios, la banda de 2,4 GHz con interfaces 802,11g debido a su bajo costo y alta disponibilidad. Finalmente, se cuenta con una red Ethernet conectada a uno de los extremos de la red troncal que funcionarácomo destino para las llamadas.

Para modelar el canal de radio, se utilizó el modelo de pérdidas por propagación en espacio libre (2) incluido en OPNET, el cual se calcula mediante la expresión:

donde PL es la pérdida por propagación, es la longitud de onda de la frecuencia central del canal, d es la distancia entre el transmisor y el receptor y n, es el exponente de pérdida por propagación. Para efectos de este trabajo, se tomó un valor de n=3 de acuerdo al estudio empírico realizado en [19] para un área en exterior con casas de uno o dos pisos. Así mismo, para tomar en cuenta los desvanecimientos debido a multitrayectorias, se consideró el modelo de canal con desvanecimientos Rayleigh con decaimiento exponencial recomendado en el documento IEEE 801.11-98/156r2 [20].

Los EFI establecen flujos de VoiP bidireccionales con las TE a través de la troncal inalámbrica. Para simular el tráfico de VoIP se utilizó la aplicación predefinida que OPNET proporciona, la cual, se encarga de modelar el tráfico de acuerdo a las características del codificador seleccionado. Para este trabajo se utilizó el codificador G.729A, el cual es muy popular para aplicaciones de VoIP debido a sus bajos requerimientos de ancho de banda y procesamiento computacional. Utiliza una frecuencia de muestreo de 8 kHz y produce paquetes de 10 o 20 Bytes a una tasa de 8 kbit/s. Para la simulación, se utilizaron paquetes de 20 Bytes con supresión de silencio para evitar la transmisión de paquetes cuando ninguno de los dos usuarios está hablando. Para el transporte de los paquetes de voz, se utilizaron los protocolos RTP y UDP en la capa de transporte así como IP versión 6, en la capa de red. Esta combinación de protocolos producen paquetes de VoiP de 80 Bytes (20 Bytes de voz, 12 Bytes del RTP, 8 Bytes del UDP y 40 Bytes del IP). La compresión de encabezados se realiza entre las EFI y el AP, y entre los enrutadores inalámbricos. La comunicación dentro del segmento Ethernet se realiza sin compresión.

El uso de enrutadores inalámbricos en la red troncal, nos permite incrementar la cobertura de la red. Para determinar el número de enrutadores que los flujos de VoIP pueden atravesar sin que se vea afectada considerablemente la calidad de las conversaciones, se implementaron 4 escenarios en los cuales se varió el número de enrutadores de 1 a 4. En cada escenario se llevaron a cabo cinco simulaciones en las cuales se incrementó, en múltiplos de 5, el número de flujos de VoiP simultáneos (5, 10, 15, 20 y 25 flujos respectivamente).

Resultados

La evaluación del desempeño del esquema de compresión propuesto se realizó en términos de retardo extremo a extremo de los paquetes de voz y la pérdida de paquetes. Los resultados presentados incluyen el comportamiento de la red con y sin el mecanismo de compresión propuesto, esto con el objeto de observar los beneficios de nuestro esquema propuesto.

Retardo extremo-extremo

Para la evaluación del retardo extremo a extremo, se tomó como referencia las recomendaciones hechas por la Unión Internacional de Telecomunicaciones en [21] que permiten definir diferentes intervalos de retardo que reflejan la percepción del usuario en términos de los tiempo de respuesta: excelente para retardos menores a 100 ms; muy buena para retardos entre 100 y 150 ms; buena para retardos entre 150 y 200 ms; aceptable para retardos entre 200 y 300 ms e inaceptable para retardos mayores a 300 ms.

La figura 7 muestra el comportamiento del retardo extremo a extremo correspondiente a los cuatro escenarios simulados. Se puede observar que en el escenario con un salto ( Figura 7a), el retardo obtenido fue prácticamente el mismo para ambas redes (con y sin compresión) manteniéndose éste por debajo de los 100 ms. En este escenario, el mecanismo de compresión no aporta una mejora notable a la red, sin embargo, los efectos del mismo se empiezan a hacer evidentes a medida que se incrementa la complejidad de la red y el úmero de flujos de VoIP. En la figura 7b se observa que, con la compresión, el retardo tiende a incrementarse de forma constante y moderada a medida que se incrementan los flujos de VoIP mientras que la red sin compresión presentó un crecimiento abrupto del retardo de 12% al pasar de 15 a 20 flujos. La compresión permitió mantener el retardo por debajo de los 100 ms con los 25 flujos, mientras que la red sin compresión mantuvo el retardo por debajo de los 100 ms con hasta 20 flujos ya que el retardo se incrementó hasta 112 ms con 25 flujos.

En el escenario con tres saltos (Figura 7c) el retardo presenta un incremento considerable, inclusive, en ambos casos, rebasa los 150 ms. Sin embargo, la compresión permitió obtener 10 flujos con un retardo menor a 100 ms y 15 flujos con un retardo menor a 150 ms. Por su parte, la red sin compresión, solamente mantuvo 5 flujos con un retardo menor a 100 ms y 10 flujos con un retardo menor a 150 ms, es decir, la compresión permitió duplicar la cantidad de flujos con respuesta excelente y muy buena. Con 15, 20 y 25 flujos, la compresión permitió obtener una reducción del retardo del 21% aproximadamente, manteniéndose en todos los casos, por debajo de los 200 ms.

En el escenario con 4 saltos (Figura 7d), el retardo se incrementó rápidamente disminuyendo la cantidad de flujos que se pueden transmitir con un retardo menor a los 300 ms. El retardo sin compresión presentó un crecimiento casi lineal hasta llegar a los 350 ms con 10 flujos, mientras que la compresión lo mantuvo por debajo de los 220 ms con 10 flujos (una mejora del 37%). En el intervalo de los 150 ms, se obtuvieron 7 flujos con compresión mientras que sin compresión solamente 5, es decir, un crecimiento del 40%. En el límite de lo que se consideró como buena (menor a 200 ms), con compresión se obtuvieron 9 flujos contra los 7 sin compresión (un incremento del 29%).

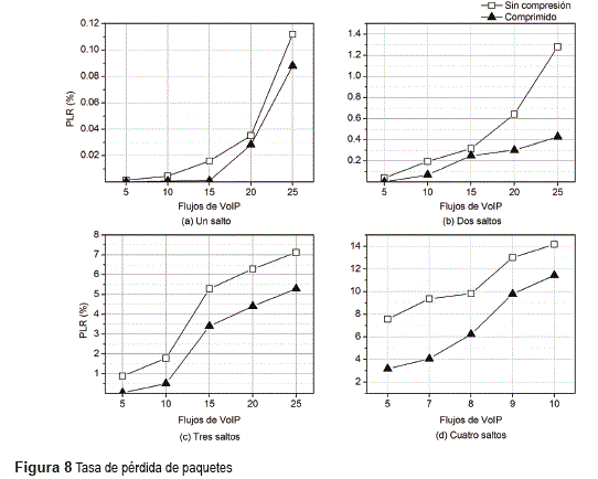
Tasa de Pérdida de Paquetes (PLR)

La pérdida de paquetes tiene efectos nocivos en la decodificación de los paquetes de voz recibos hasta el punto de hacer la reproducción de la voz incomprensible. Una PLR menor al 1% permite obtener una calidad de voz aceptable para la aplicación de telefonía [22].

La figura 8 muestra la PLR obtenida para los cuatro escenarios simulados con y sin el uso del mecanismo de compresión. La figura 8a muestra la PLR obtenida con un solo salto. Los valores de PLR obtenidos en ambos casos estuvieron muy por debajo del máximo recomendado por lo que los codificadores no tendrían problemas en compensar la pérdida de paquetes. La respuesta del PLR del mecanismo de compresión fue muy similar al modelo sin compresión con una reducción de la PLR máxima de 0,02 puntos porcentuales con 25 flujos.

En el escenario con dos saltos (Figura 8b), se puede observar que la PLR tuvo un incremento importante con respecto a la obtenida con un salto llegando a sobrepasar el máximo recomendado con 25 flujos. La PLR fue similar para ambos modelos con hasta con 15 flujos obteniendo una PLR máxima de 0,3%. Los efectos del mecanismo de compresión se hicieron evidentes a partir de 20 en donde la PLR obtenido por la compresión fue de 0,3% (una reducción del 50% del PLR del modelo sin compresión). Con 25 flujos, la PLR obtenida por la compresión fue de 0,42% mientras que sin compresión fue de 1,28%, una reducción de poco más del 67%.

En el escenario con tres saltos (Figura 8c), el mecanismo de compresión permitió obtener reducciones importantes en la PLR de hasta el 95% con 5 flujos. Con 10 flujos, la PLR sin compresión rebasó el umbral máximo recomendado al llegar al 1,78% contra el 0,50% obtenido con compresión. A partir de 15 flujos, el PLR del modelo con compresión también rebasó el umbral recomendado pero siempre mantuvo una diferencia de al menos el 25% contra lo obtenido por el modelo sin compresión: mientras que con 25 flujos el modelo sin compresión obtuvo una PLR superior al 7%, con compresión la PLR fue de 5,3%.

En el escenario con 4 saltos (Figura 8d), el mecanismo de compresión permitió obtener también una reducción importante en la PLR, sin embargo, no fue lo suficiente para mantener la PLR por debajo del 1%. Con 5 y 7 flujos, la PLR con compresión fue menor en un 55% al obtener 3,18% y 4,06% contra los 7,57% y 9,37% obtenida sin compresión respectivamente. Con 8, 9 y 10 flujos, la reducción del PLR obtenida con compresión fue del 36%, 25% y 19% respectivamente.

Los resultados combinados del retardo y la PLR nos permiten establecer que en el primer escenario. en donde solamente se cuenta con un salto, el mecanismo de compresión poco puede ofrecer dado que los resultados obtenidos sin compresión se mantuvieron en su mayoría por debajo de los valores máximos recomendados. En un escenario con dos saltos, el modelo sin compresión solo permitió la transmisión de 20 flujos con el retardo y la PLR por debajo de los límites recomendados mientras que con compresión, se lograron 25 flujos con un retardo menor a 100ms y una PLR menor a 0, 5%, es decir, un incremento del 25% en el número de flujos.

Con tres saltos, el modelo sin compresión solo permite la transmisión de 5 flujos, ya que aunque el retardo con 10 flujos es ligeramente superior a 100ms, la PLR casi llega al 2%. El mecanismo de compresión nos permite obtener hasta 10 flujos con los parámetros por debajo de los valores recomendados (un incremento del 100%).En el escenario con cuatro saltos, aunque el mecanismo de compresión permitió obtener reducciones importantes en el retardo y la PLR, no fue suficiente para mantener al menos 5 flujos con los parámetros dentro de las recomendaciones debido a que la PLR se mantuvo por arriba del 3%.

Conclusiones

En este trabajo se presentóun esquema multicapa de compresión de encabezados que no requiere realizar actualizaciones de los contextos. Como es sabido, al usar compresión estática en los encabezados RTP/UDP/IP, la posibilidad de que los contextos del compresor y descompresor se desincronicen cuando ocurren pérdidas de paquetes en la red es prácticamente nula, lo que ofrece al esquema propuesto una alta fiabilidad para la descompresión de encabezados comprimidos aún en la presencia de altas tasas de pérdida de paquetes. Por otro lado, el uso de un direccionamiento virtual de 8 bits en la capa MAC permite reducir en un poco más de la mitad el tamaño del encabezado manteniendo todas las funciones operativas de la capa MAC sin modificación. Al combinar ambos mecanismos (incluyendo los encabezados RTP/UDP/IP/MAC), obtenemos una eficiencia de compresión del 48% comparada con el 41% que se podría obtener con el uso de RoHC.

Como se pudo observar en los resultados, en los escenarios con poco flujo o con un solo salto, el mecanismo de compresión no ofrece una mejora considerable con respecto al retardo o a la PLR, sin embargo, la reducción en el tamaño de la trama puede ser un factor importante en aplicaciones que utilizan fuente de energías alternativas como baterías o celdas solares ya que entre menos información se transmita inalámbricamente, menor será el consumo de energía.

El esquema propuesto, que por sus características de complejidad moderada y beneficios tecnológicos, es una alternativa factible para expandir las capacidades de conectividad de CCD o sitios centralizados de acceso a internet y lograr servicios de VoIP a usuarios en sus hogares lo cual constituye una opción viable de adopción tecnológica para reducir la brecha digital en las CRR.

Referencias

1. OECD publishing. OECD Rural Policy Reviews: México 2007. Paris, France. 2007. pp. 1-198.         [ Links ]

2. J. Avilés, C. Paz. ''Institutional Connectivity: The Case of Mexico (English)''. Information Technologies & InternationalDevelopment. Vol. 8. 2012. pp. 1-20        [ Links ]

3. SEDESOL. Diagnóstico: Alternativas de la población rural en probreza para generar ingresos sostenibles. Ciudad de México, México. 2010. pp. 1-20.         [ Links ]

4. R. Sandoval, M. Gutiérrez, R. Torres. Reducing the Digital Divide in Mexico: Analyzing the Impact of Telecenters. Proceedings of the 18'h Conference Managing Worldwide Operations and Communications with Information Technology. Vancouver, Canada. 2007. pp. 1100-1103.         [ Links ]

5. J. Cox. Technologies to Watch 2013: Gigabit Wi- Fi. Network World. Available on: http://www. networkworld.com/news/2013/010312-outlook- gigabit-wifi-265254.html. Accessed: February 10, 2013.         [ Links ]

6. IEEE. Part 11: Wireless LANMedium Access Control (MAC) and Physical Layer (PHY) Specifications IEEE Standard for Information Technology - Telecommunications and Information Exchange Between Systems - Local and Metropolitan Area Networks - Specific Requirements. Revision of IEEE Std 802.11-1999. New York. USA. 2007. pp. 1-1076.         [ Links ]

7. J. Jangeun, P. Peddabachagari, M. Sichitiu. Theoretical Maximum Throughput of IEEE 802.11 and its Applications. Proceedings of the 2nd IEEE International Symposium on Network Computing and Applications. Cambridge, USA. 2003. pp. 249-257.         [ Links ]

8. L.Villaseñor, C. Portillo, J. Sánchez. ''A Performance Study of the IEEE 802.11g PHY and MAC Layers over Heterogeneous and Homogeneous WLANs''. Ingeniería, investigación y tecnología. Vol. 8. 2007. pp. 45-57.         [ Links ]

9. S. Casner, V. Jacobson. Compressing IP/UDP/RTP Headers for Low-Speed Serial Links. The Internet Engineering Task Force, RFC 2508. 1999. pp. 1-14.         [ Links ]

10. C. Bormann, C. Burmeister, M. Degermark, H. Fukushima, H. Hannu, L. Jonsson, R. Hakenberg, T. Koren, K. Le, Z. Liu, A. Martensson, A. Miyazaki, K. Svanbro, T. Wiebke, T. Yoshimura, H. Zheng. Robust Header Compression (ROHC): Framework andFour Profiles: RTP, UDP, ESP, and uncompressed. The Internet Engineering Task Force, RFC 3095. 2001. pp. 1-168.         [ Links ]

11. L Jonsson, K. Sandlund, G. Pelletier, P. Kremer. Robust Header Compression (ROHC): Corrections and Clarifications to RFC 3095. The Internet Engineering Task Force, RFC 4815. 2007. pp. 1-33.         [ Links ]

12. M. Degermark, H. Hannu, L. Jonsson, K. Svanbro. ''Evaluation of CRTP Performance Over Cellular Radio Links''. Personal Communications IEEE. Vol. 7. 2000. pp. 20-25.         [ Links ]

13. F.Fitzek, T. Madsen, P. Popovski, R. Prasad, M. Katz. Cooperative IP Header Compression for Parallel Channels in Wireless Meshed Networks. Proceedings of the 2005 IEEE International Conference on Communications. Seoul, Korea. 2005. pp. 1331-1335.         [ Links ]

14. A.Nascimento, E. Mota, S. Queiroz, E. Nascimento. Header Compression for VoIP Over Multi-hop Wireless Mesh Networks. Proceedings of the 2008 IEEE Symposium on Computers and Communications . Marrakech, Morocco. 2008. pp. 286-291.         [ Links ]

15. A. Nascimento, E. Mota, S. Queiroz, L. Galvao, E. Nascimento. Towards anEfficient Header Compression Scheme to Improve VoIP Over Wireless Mesh Networks. Proceedings of the 2009 IEEE Symposium on Computers and Communications, Sousse, Tunisia. 2009. pp. 170-175.         [ Links ]

16. P. Fortuna, M. Ricardo. ''Header Compressed VoIP in IEEE 802.11''. Wireless Communications, IEEE. Vol. 16. 2009. 69-75.         [ Links ]

17. W. Hui, J. Li, P. Hong. ''Performance analysis of ROHC U-mode in wireless links''. Communications, IEE Proceedings. Vol. 151. 2004. pp. 549-551.         [ Links ]

18. J. Arango, M. Faulkner, S. Pink. Compressing MAC Headers on Shared Wireless Media. Ed. Springer Berlin Heidelberg. Berlin, Germany. 2010. pp. 576-591.         [ Links ]

19. G. Durgin, T. Rappaport, X. Hao. Partition-Based Path loss Analysis for In-home and Residential Areas at 5.85 GHz. Global Telecommunications Conference, 1998. GLOBECOM 1998. The Bridge to Global Integration. IEEE. Sídney, Australia. 1998. pp. 904-909.         [ Links ]

20. N. Chatay. ''Updated Submission Template for TGa - revision 2. doc: IEEE 802.11-98/156r2''. 1998.         [ Links ]

21. International Telecommunication Union. ITU-T Recommendation G.114: Transmission Systems and Media : International Telephone Connections and Circuits - General Recommendations on the Transmission Quality for an Entire International Telephone Connection : One-Way Transmission Time. International Telecommunication Union. 2003. pp. 1-20.         [ Links ]

22. Y Chen, T. Farley, N. Ye. ''QoS Requirements of Network Applications on the Internet''. Inf. Knowl. Syst. Manag. Vol. 4. 2004. pp. 55-76.         [ Links ]