Services on Demand
Journal
Article
Indicators
-
Cited by SciELO -
Access statistics
Related links
-
Cited by Google -
Similars in
SciELO -
Similars in Google
Share
Ingeniería y Desarrollo
Print version ISSN 0122-3461On-line version ISSN 2145-9371
Ing. Desarro. no.25 Barranquilla Jan./June 2009
Simulación de ensayos triaxiales cíclicos con presión de confinamiento constante y variable empleando ecuaciones empíricas
Simulation of cyclic triaxial tests with constant and variable confining pressure using empirical equations
Hugo Alexander Rondón Quintana*
* Ingeniero Civil, magíster en Ingeniería Civil y doctor en Ingeniería. Facultad de Ingeniería Civil, Universidad Católica de Colombia. Correspondencia: Universidad Católica de Colombia, Dg. 47 No 15-50, sede El Claustro, cuarto piso, Bogotá (Colombia). Apoyos y subvenciones: Universidad Católica de Colombia.
Resumen
La mayor parte de las ecuaciones que se utilizan en el mundo para intentar predecir la deformación que experimentan materiales granulares no tratados (GNT) en estructuras de pavimentos flexibles son de carácter empíricas y regresionales. A pesar de que múltiples investigaciones en esta área han sido desarrolladas, la discusión sobre el grado de confiabilidad y eficacia de dichas ecuaciones no ha finalizado. Inicialmente, el artículo presenta la evolución de algunas de las ecuaciones matemáticas empíricas desarrolladas en el área de los pavimentos para intentar predecir la acumulación de las deformaciones permanentes que experimentan materiales granulares no tratados (GNT) en ensayos triaxiales cíclicos con presión de confinamiento constante (PCC) y variable (PCV). Con base en el análisis de dichas ecuaciones, se escogieron las más utilizadas en el mundo con el fin de simular el comportamiento que experimentó un GNT en ensayos tipo PCC y PCV. Las simulaciones realizadas demuestran que la mayor parte de las ecuaciones empíricas que se utilizan para predecir la acumulación de la deformación permanente de un material granular bajo carga cíclica no pueden reproducir su comportamiento en ensayos PCC y PCV. Adicionalmente, los parámetros que emplean dichas ecuaciones no son constantes del material.
Palabras claves: Materiales granulares no tratados, ensayos triaxiales cíclicos, ecuaciones empíricas.
Abstract
In the world the most used equations in order to predict deformations in unbound granular materials (UGM) of flexible pavement structures are empirical. Many researchís projects have been performed in this area, however the discussion if these equations are reliable have not finished yet. Initially, the paper presents the evolution of some empirical equations developed in order to try to predict the permanent strain accumulation that undergo unbound granular materials (UGM) in cyclic triaxial tests with constant and variable confining pressure (CCP and VCP respectively). Based in the analysis of such equations, the most used in the world were chosen in order to simulate the behavior that underwent a UGM in CCP and VCP tests. The simulations performed, shown that the most part of the empirical equations used to predict the permanent strain accumulation in UGMís can not reproduce the behavior of these materials in CCP and VCP tests. Additionally, the parameters used in such equations are not constants of the material.
Key words: Unbound granular materials, cyclic triaxial test, empirical equations.
Fecha de recepción: 19 de septiembre de 2008
Fecha de aceptación: 24 de marzo de 2009
INTRODUCCIÓN
En la mayor parte el mundo, las investigaciones que se hacen sobre materiales granulares no tratados (GNT) para pavimentos emplean equipos triaxiales cíclicos (especialmente aquellos donde la presión de confinamiento permanece constante durante el ensayo) cuando estudian el comportamiento (rigidez y acumulación de las deformaciones permanentes) que experimentan bajo carga cíclica. Con base en estas investigaciones se han desarrollado diversas ecuaciones empíricas que relacionan principalmente la evolución de la deformación permanente con el número de ciclos de carga y la magnitud de los esfuerzos aplicados. A pesar de que múltiples investigaciones en esta área han sido desarrolladas, la discusión sobre el grado de confiabilidad y eficacia de dichas ecuaciones no ha finalizado. Por lo anterior la presente investigación ayuda a que se profundice en la discusión. Así, inicialmente el artículo presenta la evolución de algunas de las ecuaciones matemáticas empíricas desarrolladas a fin de predecir la deformación, de las que se escogieron las más utilizadas en el mundo para simular el comportamiento que experimentó un GNT en ensayos triaxiales cíclicos con presión de confinamiento constante (PCC) y variable (PCV). Con los resultados de las simulaciones se analiza el grado de confiabilidad y la eficacia de las ecuaciones utilizadas. Los ensayos triaxiales cíclicos y de caracterización sobre el GNT fueron realizados en el Instituto de Investigaciones de Mecánica de Suelos y Cimentaciones de la Ruhr Universität Bochum (Alemania) y sus resultados son descritos detalladamente en Rondón et ál. [1] y Rondón [2].
ECUACIONES DE DEFORMACIÓN PERMANENTE
A continuación se presentan algunas ecuaciones empíricas encontradas en la literatura de referencia que intentan predecir la evolución de la deformación permanente en materiales granulares (ε1p significa deformación permanente axial y N número de ciclos).
- Barksdale [3] realizó ensayos triaxiales cíclicos con un máximo de 105 ciclos de carga.
- Hyde [4] tiene en cuenta la influencia del esfuerzo desviador y la presión de confinamiento.
a, b son parámetros del material obtenidos por regresión.
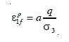
ε1fp es la deformación permanente axial final para un número de ciclos infinitos, q es el esfuerzo desviador, σ3 es la presión de confinamiento y a es un parámetro del material obtenido por regresión. Lashine et ál. [5] y Brown [6] habían presentado una ecuación similar donde a = 0.9 y 0.01, respectivamente.
- Para Veverka [7] la ecuación supone que existe una correlación de proporcionalidad entre las deformaciones resilientes y las permanentes.
- μ es una constante de proporcionalidad entre la deformación permanente y la resiliente, ε es la deformación permanente para los primeros 200 ciclos de carga y α es un parámetro que tiene en cuenta la disminución de la tasa de deformación con N.
- Lentz y Baladi [8] proponen una ecuación hiperbólica donde se correlacionan los esfuerzos y las deformaciones cíclicas con las monotónicas.
- Khedr [9], con base en ensayos triaxiales cíclicos tipo PCC y PCV (presión de confinamiento variable), concluyó que la tasa de deformación permanente en materiales granulares decrece logarítmicamente con el número de ciclos de carga y relaciona la deformación permanente con la rigidez del material.
- Según Paute et ál. [10], la ecuación tiene en cuenta que en los primeros cien ciclos de carga la deformación permanente se debe al reacomodo de la muestra durante el ensayo.
- Tseng y Lytton [11].
- Sweere [12] plantea una ecuación similar a la de Barksdale [3], pero las muestras en los ensayos experimentaron un número de ejes mayores de carga (106).
- Hornych et ál. [13]. Esta ecuación se basa en los resultados de ensayos tipo PCV aplicando al material granular 8x104 ciclos de carga.
- Wolff [18], Wolff y Visser [19] aportaron un ecuación fundamentada en ensayos a escala real con un simulador de vehículo pesado (HVS por sus siglas en inglés).
- Huurmann [20] y Werkmeister et ál. [21], a partir del concepto del Shakedown desarrollaron la Ec. (11), que también fue empleada en los estudios de van Niekerk et ál. [22].
- Theyse [23], basado en resultados obtenidos en un HVS, modifica la ecuación de Wolf [18] con el fin de que pueda tener en cuenta la influencia del esfuerzo.
- Gidel et ál. [24]. Esta ecuación tiene en cuenta el efecto que produce ensayar el material granular con diferentes trayectorias de carga q/p (esfuerzo desviador/presión media). Se divide en dos partes: la primera es función del número de ciclos de carga y la segunda es función de los esfuerzos máximos que experimenta el material.
- Theyse [25]. La Ec. (15) es similar a la de Wolf y Wisser [19] y puede ser empleada cuando la deformación permanente tiende a una fase estable. Para el caso donde la deformación permanente es inestable, los autores recomiendan utilizar la Ec. (16).
- El Abd et ál. [26] modifican la Ec. (14) para el caso en el cual la fase estable de deformación permanente no es alcanzada en los ensayos triaxiales cíclicos. Reemplazan la primera parte de la Ec. (14) por la Ec. (8) de Sweere (1990).
- Núñez et ál. [27] mediante en ensayos triaxiales cíclicos tipo multiescala realizados en Brasil sobre un material basáltico triturado con diferentes granulometrías desarrollaron ecuaciones que relacionan la deformación permanente inicial (εpi) y la tasa de deformación constante (TDC) con el esfuerzo desviador (q) y la relación entre el esfuerzo desviador y el de falla (q/σ1f). Estas ecuaciones pueden ser utilizadas para el caso en el que la magnitud del esfuerzo desviador es tal que el material presenta una tasa de deformación permanente constante.
- Liu y Carter [28]. En la Ec. (22) los autores relacionan la deformación permanente con el incremento en el esfuerzo desviador cíclico (Δq) y en el de falla monotónico (qf). Dependiendo de la trayectoria de esfuerzo descomponen la Ec. (22) en la Ec. (23).
- Uzan [29] relaciona la deformación permanente axial con la resiliente (ε1r) para el mismo N.
- Erlingsson y Ingason [30] desarrollaron una ecuación similar a la de Tseng y Lytton [11], pero correlacionan las deformaciones resilientes (εr) con las permanentes (εp) medidas en laboratorio e in situ (campo) por medio de un HVS.
σd es el esfuerzo desviador cíclico, Sd es la resistencia pico medida en un ensayo triaxial monotónico, εp es la deformación permanente, ε0.95Sd es la deformación monotónica que se produce en el 95% de la resistencia pico y n, m son parámetros del material.
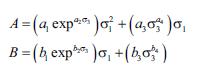
MR es el módulo resiliente, Ro es la relación de esfuerzos octaédricos (τo/ σo) y S1, S2, S3, m son parámetros del material.
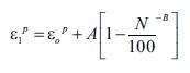
εop es la deformación producida en los primeros 100 ciclos de carga y A, D son parámetros del material obtenidos por regresión.
εop es la deformación producida en los primeros 100 ciclos de carga y A, B son parámetros del material. A en esta ecuación es considerado como el valor límite de acumulación de deformación [14]. Lekarp et ál. [15-16] y Lekarp y Dawson [17] basados en ensayos triaxiales cíclicos mencionan que esta ecuación puede perder validez cuando los niveles de esfuerzo desviador y N son elevados.
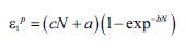
c es la pendiente de la asíntota en la curva ε1p vs. N, a es el intercepto de la asíntota y b controla su curvatura.
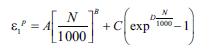
A es un parámetro que describe la deformación para 1000 ciclos de carga cuando la magnitud del esfuerzo es tal que el material tiende a una fase de estabilización de la deformación permanente. B es un parámetro que describe la pendiente de la curva de deformación vs. N. Con los parámetros C y D (segunda parte de la ecuación) se puede describir el comportamiento del material cuando la fase estable de la deformación no es alcanzada durante el ensayo. ai y bi son parámetros del material obtenidos por regresión.
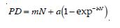
PD es el desplazamiento vertical permanente (por su sigla en inglés) y c, s y B son parámetros del material.
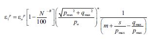
εop es la deformación permanente producida en los primeros 100 ciclos de carga, pmax es la presión media máxima, qmax es el esfuerzo desviador máximo que experimenta el material durante el ensayo y B, m, n, s son parámetros del material. La Ec. (14) puede ser utilizada cuando la magnitud de esfuerzos es tal que el material presenta una fase de estabilización de la deformación permanente.
PD es el desplazamiento vertical y a, b, r, s son parámetros del material.
a, b son parámetros del material obtenidos por regresión.
a, b, c, d, e, f, g son parámetros del material obtenidos por regresión.
a, b son parámetros del material obtenidos por regresión.
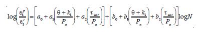
θ es la suma de esfuerzos principales, τoct es el cortante octaédrico, Pa=100 kPa y ai, bi, k1 son parámetros obtenidos por regresión.
εo, ρ y β son parámetros obtenidos por medio de regresión.
La mayor deficiencia de las ecuaciones presentadas es que sus parámetros en muchos casos no tienen significado físico y son variables del estado del material. Además, no son capaces de reproducir la evolución de la rigidez bajo diversas trayectorias de esfuerzo. Incluso algunas de ellas (p. ej., [3, 12-13]) relacionan solamente la deformación permanente con N y no pueden ser aplicadas con alto grado de confianza ya que no toman en cuenta la magnitud del esfuerzo aplicado.
DESARROLLO EXPERIMENTAL
Ensayos de caracterización
A continuación se mencionan los ensayos de caracterización realizados al material, que en su gran mayoría fueron ejecutados siguiendo las Normas de ensayos de materiales para carreteras del Instituto Nacional de Vías [31]: análisis granulométrico de agregados gruesos y finos (INV. E - 213), peso específico (INV. E - 222, 223), porcentaje de partículas fracturadas (INV. E - 227), índice de alargamiento y aplanamiento (INV. E - 230), índice de plasticidad (INV. E - 125, 126), Proctor modificado (INV. E - 142), ángulo de reposo para la estimación del ángulo de fricción crítico, densidad máxima y mínima seca del material (ρdmax, ρdmin, respectivamente) según la norma alemana DIN 18126, y triaxial monotónico drenado en estado denso.
El material granular utilizado para los ensayos está formado básicamente por partículas subangulares de cuarzo. La granulometría utilizada corresponde con lo exigido por las especificaciones colombianas para la conformación de bases granulares tipo BG-2 en pavimentos flexibles (INVÍAS [32]) (ver figura 1), a excepción del tamaño máximo de partícula (dmax) requerido. El dmax se redujo a 16 mm a fin de que la relación entre la longitud de la sección transversal (b) de las muestras en el ensayo triaxial y dmax (b/dmax) fuera mayor a 5 (valor requerido por la especificación alemana DIN 18 137 para el caso de materiales bien gradados). El diámetro medio de partícula (d50) es 6.3 mm y el coeficiente de uniformidad (Cu=d60/d10) es 100. El peso específico del material (ρs) es de 2.65 g/cm3 y se utilizó un picnómetro para su determinación. Conforme a la especificación Alemana DIN 18 126, la máxima densidad seca del material (ρdmax) es de 2.16 g/cm3 (determinada en una mesa vibratoria) y la mínima (ρdmin), de 1.84 g/cm3. Con los anteriores valores se obtuvieron las relaciones de vacíos mínima (emin=0.225) y máxima (emax=0.444) del material. El contenido óptimo de agua determinado en el ensayo Proctor fue de 5.2% y la densidad seca máxima (ρdmaxPr), de 2.30 g/ cm3. Este porcentaje de agua fue el que utilizó para la elaboración de las muestras de los ensayos triaxiales monotónicos y cíclicos. El ángulo de fricción crítico (φc ≈ 38°) fue determinado por medio del ensayo de ángulo de reposo con el material en estado seco. La fracción fina del material no presentaba plasticidad, los índices de alargamiento, aplanamiento y caras fracturadas presentaban valores de 29%, 33% y 70%, respectivamente. Una descripción más detallada de los ensayos de caracterización y resistencia monotónica realizados sobre el GNT puede ser consultada en Rondón et ál. [1].
Ensayos triaxiales cíclicos
En la tabla 1 se presenta la información del programa de ensayos triaxiales cíclicos, que fueron realizados bajo condición drenada. Las trayectorias de esfuerzos descritas en la tabla 1 se representan de manera gráfica en la figura 2; en esta se observa que para cada trayectoria PCV existe una PCC con la misma qmed, pmed y qmax. En la figura 3 se describe esquemáticamente la notación de la distribución del esfuerzo durante los ensayos. Las muestras de los ensayos eran saturadas después de ser compactadas empleando un contenido de agua de 5.2% (óptimo obtenido en el ensayo Proctor modificado).
Las frecuencias de carga (f) fueron de 0.05 Hz y de 1.0 Hz para los ensayos PCV y PCC, respectivamente. Esta diferencia en la frecuencia fue por razones técnicas de operación del equipo triaxial ya que la máxima velocidad de carga en el ensayo PCV debe ser de 0.05 Hz. Por tal razón en los ensayos PCV fueron aplicados 3x104 ciclos de carga al material y para el caso de los ensayos PCC hasta 2x105. Una descripción más detallada sobre los ensayos realizados para caracterizar el material granular puede ser consultada en Rondón [2].
RESULTADOS Y SIMULACIÓN DE LOS ENSAYOS CÍCLICOS
En las figuras 4-13 se presentan los resultados obtenidos de los ensayos triaxiales cíclicos tipo PCC y PCV, lo mismo que su simulación con el empleo de las Ec. (1, 6-8, 10). Estas ecuaciones fueron escogidas debido principalmente a que:
- Son las más utilizadas en el mundo para intentar predecir la evolución de las deformaciones permanentes con el número de ciclos de carga.
- En el presente artículo se pretende evaluar la efectividad y las limitaciones de emplear ecuaciones cuando no tienen en cuenta la influencia del esfuerzo aplicado sobre la evolución de las deformaciones permanentes.
Los valores de los parámetros de cada una de las ecuaciones utilizadas se presentan en la tabla 2 donde se observa que dichos parámetros no son constantes del material, sino variables de estado ya que exhiben valores diferentes dependiendo de la magnitud de los esfuerzos aplicados al material ensayado. Los parámetros fueron obtenidos utilizando el software EasyPlot 4.
En las figuras 4 y 5 se presenta la simulación de los ensayos triaxiales cíclicos utilizando la Ec. (7) para el caso de los ensayos PCC y PCV, respectivamente. Se observa que esta ecuación no reproduce de manera adecuada la evolución de las deformaciones permanentes con los ciclos de carga. Una conclusión similar se obtiene de las figuras 6 y 7 cuando se utiliza para la simulación la Ec. (1), especialmente, cuando la relación entre qmax y la presión de confinamiento (σ3med) presenta valores superiores a 2.66 (ensayos 9-11). Cuando esta relación presenta valores entre 1.2 y 1.54 (ensayos 8 y 2 respectivamente), la predicción, que emplea la Ec. (1), mejora; pero el valor del estado inicial de deformación no es bien reproducido. Contrario a lo anterior, cuando se emplea para las simulaciones la Ec. (10) (ver figuras 8 y 9), la predicción es mejor si los niveles de esfuerzos son pequeños (qmax/σ3med≤1.54), pues mejora a medida que se incrementan; sin embargo, se observa en las figuras que la Ec. (10) no reproduce de manera confiable la acumulación de las deformaciones permanentes con los ciclos de carga.
En las figuras 10-13 se presentan las simulaciones de los ensayos triaxiales cíclicos utilizando las Ec. (8) y (6), y se observa que la predicción de la acumulación de las deformaciones es buena cuando se emplean estas ecuaciones. La mejor reproducibilidad de los ensayos se obtiene cuando se emplea la Ec. (6), especialmente, si el número de ciclos de carga es elevado.
Con relación a los esfuerzos, generalmente en la literatura de referencia (p.e., [2, 15, 33]) se evidencia que en los ensayos triaxiales cíclicos tipo PCC, la acumulación de la deformación permanente es influida principalmente por la magnitud de qmax/σ3med. Con el fin de determinar si existe una correlación entre las variables de estado y la relación qmax/σ3med, se realizaron las gráficas que se presentan en las figuras 13-14. En ellas se observa que no existe una correlación entre qmax/σ3med y las variables de estado, a excepción de A en la Ec. (6), que se incrementa a medida que aumenta qmax/σ3med.
CONCLUSIONES
Una vez realizadas las simulaciones de los ensayos triaxiales cíclicos con presión de confinamiento constante y variable se evidencia que no todas las ecuaciones propuestas en la literatura de referencia son capaces de reproducir el comportamiento que experimenta un material granular en dichos ensayos.
Con base en las simulaciones realizadas, la mejor predicción de la acumulación de la deformación permanente se obtiene cuando se utilizan las Ec. (6) y (8) propuestas por Paute et ál. [10] y Sweere [12], respectivamente. Sin embargo, la mejor reproducibilidad de los ensayos se obtiene cuando se emplea la Ec. (6), especialmente, cuando el número de ciclos de carga es elevado.
Los parámetros obtenidos por medio de regresión para realizar las simulaciones no son constantes del material, ya que evolucionan con la relación entre el esfuerzo desviador cíclico máximo aplicado y la presión de confinamiento (qmax/σ3med).
REFERENCIAS
[1] H.A. Rondón, T. Wichtmann, Th. Triantafyllidis, and A. Lizcano, "Hypoplastic material constants for a well-graded granular material (UGM) for base and subbase layers of flexible pavements", Acta Geotechnica, vol. 2, no. 2, pp. 113-126, 2007. [ Links ]
[2] H.A. Rondón, Comportamiento de un material granular no tratado en ensayos triaxiales cíclicos con presión de confinamiento constante (PCC) y variable (PCV). Tesis de doctorado en Ingeniería, Universidad de los Andes, Bogotá D. C. (Colombia), 2008, 173 pp. [ Links ]
[3] R.D. Barksdale, "Laboratory evaluation of rutting in basecoarse materials", Proceedings of the 3rd International Conference on Asphalt Pavements, vol. 1, pp. 161-174, 1972. [ Links ]
[4] A.F.L. Hyde, Repeated load triaxial testing of soils. Doctoral Thesis, University of Nottingham, 1974. [ Links ]
[5] A.K. Lashine, S.F. Brown, and P.S. Pell, Dynamic properties of soils. Department of Civil Engineering, University of Nottingham (England), 1971. [ Links ]
[6] S.F. Brown, "Repeated load testing of a granular material," Journal of the Geotechnical Engineering Division, vol. 100, no. 7, pp. 825-841, 1974. [ Links ]
[7] V. Veverka, "Raming van de spoordiepte bij wegen met cen bitumineuze verharding", De Wegentechniek, vol. 24, no. 3, pp. 25-45, 1979. [ Links ]
[8] R.W. Lentz, and G.Y. Baladi, "A simplified procedure to characterize permanent strain in sand subjected to cyclic loading," International Symposium on Soils under Cyclic and Transient Loading, Swansea; Balkema Publishers; Rotterdam, the Netherlands, pp. 89-95, 1980. [ Links ]
[9] S. Khedr, "Deformation characteristics of granular base course in flexible pavements", Transportation Research Record, 1043, Transportation Research Board, Washington, D. C., pp. 131-138, 1985. [ Links ]
[10] J.L. Paute, P. Jouve, J. Martínez and E. Ragneau, "Modèle de calcul pour le dimensionnement des chaussèes souples", Bulletin de Liaison des Laboratoires des Ponts et Chaussèes, pp. 21-36, 1988. [ Links ]
[11] K.H. Tseng and R.L. Lytton, "Prediction of permanent deformation in flexible pavement materials", J. Assoc. Asphalt Paving Technol, vol. 58, pp. 155-156, 1989. [ Links ]
[12] Sweere, G. T. "Unbound granular bases for roads". Doctoral Thesis, University of Delft. Netherlands, 1990. [ Links ]
[13] P. Hornych, J.F. Corté, and J.L. Paute, "Étude des déformations permanentes sous chargements répétés de trois graves non traitées", Bulletin de Liaison des Laboratoires des Ponts et Chaussèes, n.o 184, pp. 77-84, 1993. [ Links ]
[14] J.L. Paute, P. Hornych, and J.P. Benaben, "Repeated load triaxial testing of granular materials in the French Network of Laboratoires des Ponts et Chaussées", en Flexible Pavement, Ed. Gomes Correia, Balkema, Rotterdam, 1996, pp. 53-64. [ Links ]
[15] F. Lekarp, I. Ulf, and A.R. Dawson, "State of the art. II: Permanent Strain Response of Unbound Aggregates", Journal of Transportation Engineering, vol. 126, n.o 1, pp. 76-83, 2000. [ Links ]
[16] F. Lekarp, I.R. Richardson, and A. Dawson, "Influences on permanent deformation behavior of unbound granular materials", Transportation Research Record, n.o 1547, Transportation Research Board, Washington D. C., pp. 68-75, 1996. [ Links ]
[17] F. Lekarp, and Dawson, A. "Analysis of permanent deformation behaviour of unbound granular materials", International Symposium on Thin Pavements, Surface Treatments, Unbound Roads, Canada, 1997. [ Links ]
[18] H. Wolff, "ElastoPlastic modelling of granular layers", Research Report RR92/312 Department of Transport, South Africa, 1992. [ Links ]
[19] H. Wolff, and A.T. Visser, "Incorporating Elasto Plasticity granular layers pavement design", Proc.Instn. Civil Engineering Transportation, 105, pp. 259272, 1994. [ Links ]
[20] M. Huurman. "Permanent deformation in concrete block pavements". Doctoral Thesis, Delft University of Technology, 1997. [ Links ]
[21] S. Werkmeister, A. Dawson and F. Wellner, "Pavement design model of unbound granular materials", Journal of Transportation Engineering, vol. 130, pp. 665-674, 2004. [ Links ]
[22] A.A. Van Niekerk, A.A.A. Molenaar, and L.J.M Houben, "Effect of material quality and compaction on the mechanical behavior of base course materials and pavement performance", 6th International Conference Bearing Capacity of Roads, Railways and Airfields, pp. 1071-1081, 2002. [ Links ]
[23] H.L. Theyse, "Mechanistic Empirical modelling of the permanent deformation of unbound pavement layers", 8th International Conference on Asphalt Pavements, Federal Highway Administration, Washington D. C., pp. 19, 1997. [ Links ]
[24] G. Gidel, P. Hornych, J. Chauvin, D. Breysse, and A. Denis, "A new approach for investigating the permanent deformation behavior of unbound granular material using the Repeated Load Triaxial Apparatus", en Bulletin Des Laboratoires Des Ponts et Chaussées, 2001, pp. 5-21. [ Links ]
[25] H.L. Theyse, "Stiffness, strength, and performance of unbound aggregate materials: application of South African HVS and laboratory results to California flexible pavements", Report produced under the auspices of the California Partnered Pavement Research Program for the California Department of Transportation. University of California, 2002, 76 pp. [ Links ]
[26] A. El Abd, P. Hornych, D. Breysse, A. Denis, and C. Chazallon, "A simplified method of prediction of permanent deformations of unbound pavement layers", Proc. of the 6th International Symposium on Pavements Unbound, pp. 179-189, 2004. [ Links ]
[27] W.P. Núñez, R. Malysz, J.A. Ceratti, and W.Y.Y. Gehling, "Shear strength and permanent deformation of unbound aggregates used in Brazilian pavements", Proc. of the 6th International Symposium on Pavements Unbound, pp. 23-31, 2004. [ Links ]
[28] M.D. Liu and J.P. Carter, "Application of a new definition for the number of cycles of loading", In Cyclic Behaviour of Soils and Liquefaction Phenomena, Proc. of CBS04, Bochum, pp. 57-63, 2004. [ Links ]
[29] J. Uzan, "Permanent deformation in flexible pavements", Journal of Transpor tation Engineering, vol. 130, pp. 6-13, 2004. [ Links ]
[30] S. Erlingsson, and T. Ingason, "Performance of two thin pavement structures during accelerated pavement testing using a Heavy Vehicle Simulator", In 2nd International Conferences on Accelerated Pavement Testing, University of Minnesota, 19 pp., 2004. [ Links ]
[31] INVÍAS Instituto Nacional de Vías, Normas de ensayos de materiales para carreteras, Bogotá D. C., Colombia, 2007. [ Links ]
[32] INVIAS Instituto Nacional de Vías, Especificaciones generales de construcción de carreteras, Bogotá D. C., Colombia, 2007. [ Links ]
[33] H.A. Rondón and F.A. Reyes, Comportamiento de materiales granulares en pavimentos flexibles: estado del conocimiento, Universidad Católica de Colombia y Pontificia Universidad Javeriana, 2008, p. 119. [ Links ]























































