Services on Demand
Journal
Article
Indicators
-
Cited by SciELO -
Access statistics
Related links
-
Cited by Google -
Similars in
SciELO -
Similars in Google
Share
Ingeniería y Desarrollo
Print version ISSN 0122-3461
Ing. Desarro. vol.32 no.1 Barranquilla Jan./June 2014
ARTÍCULO DE INVESTIGACIÓN / RESEARCH ARTICLE
WiTricity mediante inducción magnética
WiTricity by magnetic induction
Hernán Paz Penagos*
Juan J. Torres**
Escuela Colombiana de Ingeniería "Julio Garavito", Colombia
* Ph.D. en Educación de la Universidad Pedagógica Nacional de Colombia, magíster en Teleinformàtica de la Universidad Distrital "Francisco José de Caldas" e ingeniero electricista de la Universidad Nacional de Colombia. Profesor asociado del Programa de Ingeniería Electrónica de la Escuela Colombiana de Ingeniería "Julio Garavito", Bogotá-Colombia. hernan.paz@escuelaing.edu.co
** Juan J. Torres, ingeniero electrónico de la Escuela Colombiana de Ingeniería "Julio Garavito", Bogotá-Colombia. juan.jose@escuelaing.edu.co
Fecha de recepción: 1 de abril de 2013
Fecha de aceptación: 26 de noviembre de 2013
Resumen
La realización de dos experimentos para el transporte inalámbrico de energía eléctrica (WiTricity) en regiones de campo cercano: reactivo y zona de Fresnel, en los cuales se aplicó el principio de inducción magnética y se usó solenoides autorresonantes en un régimen de acoplamiento cercano a 1, demostró ser eficiente en la transferencia de electricidad a distancias hasta de cuatro veces el radio de la bobina (experimento 2, Ll,2), con una eficiencia del 60%. En el artículo se presentan los diseños y resultados de la experiencia de investigación; así mismo, se discute la aplicabilidad práctica de estos sistemas y se sugiere mejoras para trabajos futuros.
Palabras clave: acoplamiento, inducción magnética, resonancia, transmisión inalámbrica de energía.
Abstract
Performing two experiments for wireless transport of electrical energy (WiTricity) in the near field regions: reactive and Fresnel zone, in which the magnetic induction principle was applied and solenoids in a self resonant and coupling regime close to 1, were used, these showed be efficient in the transfer of electricity to distances up to 4 times the radius of the coil (Experiment 2, L1,2), with an efficiency of 60%. The article presents the design and results of research experience, likewise, it is discussed the practical applicability for future work.
Keywords: coupling, magnetic induction, resonance, wireless power transmission.
1. INTRODUCCIÓN
La transferencia de energía mediante inducción magnética y a través de ondas de radio fue un problema que se planteó Tesla (1856-1943) a principio del siglo pasado. Él intentó solucionarlo mediante un sistema de distribución de electricidad a largas distancias (Torre Wardenclyffe), infortunadamente sin éxito. Otras estrategias que se experimentaron para transportar energía eléctrica por un medio inalámbrico fueron posteriores y se enfocaron a emitir radiación altamente directiva, tales fueron los casos de estudio de la NASA en 1975, que logró transmitir 34 kW de potencia a una distancia de 1,5 km en la banda de microondas, o de la industria militar de Norteamérica, que diseñó y construyó un sistema electrónico para la transferencia de dosis letales de potencia mediante rayos láser en el campo de batalla [1], [2]; sin embargo, estas soluciones no eran eficientes en potencia, requerían línea de vista libre de obstáculos y representaban riesgos graves para la salud humana, de tal manera que fueron reevaluadas.
Hace poco, investigadores del Massachusetts Institute of Technology (MIT) retomaron el problema y para su solución propusieron WiTricity [3], [4]. El principio de operación de esta tecnología se fundamenta en técnicas de inducción magnética mejoradas, resonancias de larga vida y acoplamiento fuerte. En sus experimentos lograron trasferir electricidad por vía inalámbrica a una bombilla de 60 W (hasta encenderla), ubicada a 2 m de distancia y con una eficiencia del 40%. Sin embargo, quedan muchos temas por investigar, por ejemplo, nuevas geometrías para los solenoides y prácticas de laboratorio para mejorar los resultados obtenidos.
En la perspectiva de aportar a la resolución del problema planteado, el grupo de investigación Ecitrónica, línea de investigación en telecomunicaciones, abordó el estudio que tuvo por título Electricidad propagada por vía inalámbrica en bajas frecuencias, que se desarrolló en 2009. Consistió en diseñar y construir dos sistemas de transmisión inalámbrica de energía eléctrica en la banda de VLF (very low frequency), mediante los principios de inducción magnética, autorresonancia y acoplamiento de ondas de radio en campo cercano.
2. MARCO DE REFERENCIA TEÓRICA
En este punto se examinan, entre otros aspectos, los principios teóricos de inducción magnética y las características del canal de radio. La inducción eléctrica es la propiedad de un circuito de crear una fuerza electromotriz en otro que se ubica cercano a aquel, a partir de un campo magnético variable que a su vez es causado por la variación de una corriente. También se define como el flujo magnético por unidad de área de una sección normal a la dirección de flujo, en algunos casos recibe el nombre de intensidad de campo magnético B, ya que es el campo real.
El campo magnético es una región de espacio en la cual una carga eléctrica puntual de valor q, que se desplaza a una velocidad v, sufre los efectos de una fuerza que es perpendicular y proporcional tanto a la velocidad v como al campo B. Así, dicha carga percibirá una fuerza descrita con la siguiente igualdad.

La fuerza, dirección y extensión de B se representan a menudo a través de líneas de campo magnético. La relación entre señal inducida y el flujo de campo magnético se expresa mediante la ley de Lenz de las ecuaciones 2 y 3.
Donde
es la diferencial de flujo y
es el vector de campo eléctrico.
El flujo es la cantidad de campo magnético que pasa por la superficie que encierra el circuito cerrado, como se muestra en la ecuación 4.
En consecuencia, un segundo bucle cerrado y conductor, interpuesto en campo cercano del primero, podría capturar una parte de ese flujo magnético oscilante para inducir una corriente eléctrica en el mismo (ley de inducción de Faraday [5]).
El medio de propagación es el espacio libre. En particular, para esta investigación interesaba caracterizarlo en las subregiones de campo cercano al solenoide, por donde se esperaba propagar la energía. En la siguiente tabla se identifican y comparan algunas características.
De la información proporcionada en las filas cuarta y séptima de la tabla anterior se puede inferir indirectamente que, en la zona de Fresnel y a bajas frecuencias, las corrientes de desplazamiento que están relacionadas con el campo eléctrico cambiante en el tiempo, debidas a la polarización de los dieléctricos y que a su vez generan potencia radiada, son despreciables en comparación con las corrientes de conducción que predominan en los circuitos. En este contexto y de acuerdo con la siguiente figura, la magnitud del campo magnético es relevante en la proximidad del emisor porque la impedancia es muy baja y disminuye al alejarse de la fuente. Además, este campo es independiente del eléctrico, lo que implica que puede existir por separado o no existir, dependiendo del valor de
y de la longitud de onda
.
Así mismo, con las variaciones de
y
se puden deducir las variaciones de impedancia del medio según el tipo de subregión. En la siguiente figura, y en una escala logarítmica, se muestra dicha variación de impedancia para las regiones de campo.
En este contexto, y según Yaghjian [6], la impedancia de la onda en la su-bregión de campo cercano reactivo se determina por las características de la fuente, mientras que en la zona de Fresnel el campo de radiación no es sustancialmente del tipo onda plana y tiene una estructura compleja; por tanto, la relación entre
y
no es constante, y no es la impedancia intrínseca del aire
(o del medio por el que se propague).
3. METODOLOGÍA
La investigación partió de una revisión teórica sobre inducción magnética y propagación de ondas en campo cercano. Se examinó el caso específico WiTricity realizado por el MIT. Teniendo en cuenta las limitaciones de sus resultados presentados en [3] y [4], se contemplaron nuevas bandas de frecuencia, circuitos y materiales para la construcción de los mismos como posibilidades para mejorar dichos resultados. A partir de lo anterior, el equipo de trabajo seleccionó la frecuencia intermedia de VLF (16 KHz) como la más propicia y diseñó dos circuitos resonante y autorresonante para los experimentos en dicha frecuencia. Previo al trabajo de laboratorio, se cálculo matemáticamente el campo magnético máximo para cada diseño. Con los resultados teóricos de
como referencia se hicieron los experimentos, se analizaron los resultados y se infirieron algunos aprendizajes que se presentan más adelante.
Primera aproximación: como se muestra en la siguiente figura, se partió de un solenoide monocapa conformado por espiras arrolladas, una próxima a la otra (de paso constante), en un sistema de coordenadas sobre el eje
y con origen en 0.
Sea
el número de espiras,
el radio de una de ellas y
la longitud del solenoide. Sobre el mismo eje geométrico se alinearon los solenoides transmisor y receptor que tendrán longitudes
diferentes entre sí, pero que en ambos casos
. Estas condiciones iniciales fueron consideradas para el primer experimento. La circulación de
a lo largo de
del solenoide se puede aproximar a una distribución laminar de corriente
en la superficie del cilindro sobre el cual está arrollado el solenoide (núcleo de aire), si se parte del hecho que todas las espiras tienen el mismo radio
y se supone que por cada espira circula el mismo valor de corriente
.
Luego se toma la corriente que circula en cada espira y se multiplica por el número de espiras
, para obtener el valor de corriente laminar
. Con esta aproximación se obtiene una densidad lineal de corriente
. Haciendo esta aproximación se pude tomar un incremental de corriente laminar como si fuera una espira elemental de espesor
por la que circula una corriente
. Esto permite integrar desde 0 hasta
a lo largo del eje del solenoide, ya que la espira deja de considerarse en forma discreta para pasar a tratarse en conjunto como un todo continuo a lo largo del eje geométrico de alineación.
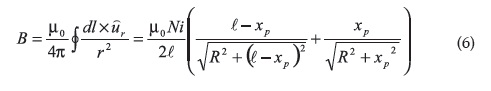
Desarrollando el proceso algebraico correspondiente a partir de la fórmula de Biot-Savart se obtiene la ecuación 5, que denota la intensidad de campo
para cualquier punto
ubicado sobre el eje del solenoide (
está a una distancia
del origen).
La ley de Biot-Savart proporciona el valor del campo magnético en un punto dado para un pequeño elemento del conductor. Para encontrar el campo magnético total
en algún punto debido a un conductor de tamaño finito, se deben sumar todas las contribuciones de todos los elementos de corriente que constituyen el conductor (ecuación 6).
El valor de campo magnético máximo de
se calcula mediante la ecuación 7, en la cual se considera
en el punto medio sobre el eje del solenoide.
Segunda aproximación: para este caso se contó con un solenoide de longitud
muy corto y con un perímetro de la espira
,lo suficientemente pequeña con relación a la longitud de onda de la frecuencia de operación del experimento en
. Bajo las anteriores restricciones y guiados por la teoría de antenas, se modeló el solenoide como si fuera una antena
corta, a través de la cual circulaba una corriente casi constante.
En consecuencia, para el cálculo de
se emplearon las mismas relaciones de campos electromagnéticos aplicados para el dipolo Hertziano corto.
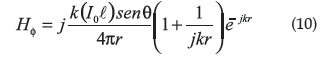
En esta perspectiva, el vector de potencial magnético se calcula mediante la ecuación 8.
Donde
es la constante de propagación,
es la distancia al punto donde se considera el potencial
, y
, la longitud del dipolo corto al cual es aproximado el solenoide.
La dificultad de obtener
para todas y cada una de las espiras con cualquier distribución de corriente y que fuera válida en cualquier punto de observación radicaba en la complejidad de desarrollar la integral del potencial
. Por esta razón se halló el campo magnético para todo el conjunto mediante las ecuaciones 9 y 10.
Entonces
Para este experimento, el punto de observación
se eligió entre
y en la subregión de Fresnel; en consecuencia, la potencia asociada a los campos en esta zona no es totalmente potencia radiada propagándose por el medio (campos dinámicos), ni tampoco potencia reactiva almacenada de forma similar a la que se puede encontrar en campos estáticos.
La potencia del solenoide corresponde a campos cuasi estáticos o de
, que dependen en forma cuasi estacionaria de la distribución de cargas y corrientes en el solenoide, y cuya interacción da como resultado un número complejo con una parte real y una imaginaria: la parte real, o potencia radiactiva, podía ser transferida al medio y, por tanto, era la que se debía utilizar; mientras que la potencia reactiva era la parte imaginaria y esta no podía ser transferida al medio, simplemente permanecía oscilando entre los campos.
La magnitud de potencia radiactiva y reactiva variaba con la distancia respecto del origen y era posible predecirla con la ecuación de Friis modificada [7] o tomando el promedio de la potencia recibida en muchos puntos ubicados a una distancia
del transmisor. De acuerdo con lo anterior, se pudo corroborar lo que afirma la literatura acerca de que la zona de Fresnel tiene importancia únicamente en antenas grandes comparadas con la longitud de onda, como los reflectores parabólicos.
Continuando con los diseños, en la siguiente figura se muestra el circuito básico para construir el sistema de Tesla, que para el cálculo de
utiliza la primera aproximación.
El principio de funcionamiento consiste en que una corriente eléctrica alterna que circula por una bobina
crea a su alrededor un campo electromagnético variable, capaz de inducir corriente alterna en otra bobina
colocada en su mismo núcleo. Este sistema está conformado por la red eléctrica como fuente de suministro de energía (120 Vrms y 60 Hz), transformador elevador
,
condensador
y dos bobinas:
y
. El
se construye con dos tornillos que se enfrentan por sus cabezas y separan una distancia aproximada de 1 mm (ver figura 4).
El condensador
se ensambla con placas metálicas de papel aluminio
, separadas por un dieléctrico con hojas de acetato
su función es almacenar cargas eléctricas (ver figura 5).
Desde esta perspectiva, el campo magnético se genera y acopla a través de dos circuitos: uno resonante y otro autorresonante, diseñados mediante las ecuaciones 11 y 12, y a la misma frecuencia.
El primero se modela matemáticamente mediante un circuito resonante serie. Este lo constituye una bobina
(
con núcleo de aire de la figura 6), construida con alambre de cobre (resistividad igual a
) calibre 8, aislamiento de plástico y arrollada en seis espiras de 12 cm de diámetro, que resuena con la capacitancia
, determinada por el área efectiva de las placas conductoras, espesor y clase de material empleado como dieléctrico. Mientras tanto, el segundo circuito es autorresonante. Este se modela como un circuito resonante paralelo, está formado por
(
esmaltada de la figura 6), con espiras de 8 cm de diámetro y embobinado con alambre de cobre calibre 12 sobre una botella de plástico con agua y de longitud de 20 cm.
En autorresonancia, el inductor resuena con su propia capacitancia distribuida
; esta se calculó con la ecuación 13, que corresponde a la fórmula de Medhurst [8].
Donde
es el diámetro y
la longitud del solenoide, ambos datos en cm; por su parte,
es un coeficiente de la relación
, de acuerdo con la siguiente tabla:
Como se requería una frecuencia de autorresonancia en la banda
, se intentó incrementar el efecto de la capacitancia distribuida del solenoide, haciendo
lo suficientemente grande, pero sin comprometer el factor de calidad del circuito; esto implicó solenoides largos.
Según la figura 3,
interconecta la red eléctrica con un circuito resonante serie mediante sus embobinados. La configuración y relación del número de vueltas en estos últimos cumple la función de acoplamiento magnético y también de elevar el nivel de la señal de voltaje desde 120 Vrms hasta 1.300 Vrms. Debe tenerse en cuenta que de la relación de vueltas y del calibre del alambre entre los embobinados primario y secundario de
dependerá el nivel de corriente inducida.
En seguida se conecta el explosor mediante una configuración en paralelo con el secundario de
Por su parte, el condensador
se fija a una de las puntas de la bobina primaria
y la otra punta, a uno de los extremos del explosor. Así mismo, se interconectan los terminales de las bobinas
y
a la otra placa del explosor. A
también se conecta la carga que se quiere alimentar de manera inalámbrica.
A través del embobinado secundario del transformador
se inyecta corriente alterna al condensador
generando una diferencia de potencial entre las placas de este. La tensión es tan alta que rompe la resistencia del aire haciendo saltar una chispa entre los bornes del explosor
mediante esta se cierra un circuito volante [9] que permite la descarga de
a través de la bobina primaria
. Enseguida el condensador
se carga nuevamente repitiendo el proceso y estableciendo un circuito sintonizado. Debido a la corriente alta que circula por este, el campo cercano es predominantemente magnético.
La ubicación de dentro de
como lo muestra la siguiente figura, permite que el flujo magnético
generado por cada espira de
tenga un flujo magnético total
que es mutuo con
porque también atraviesa su devanado, obteniéndose un acoplamiento magnético fuerte casi unitario. Así las cosas, se induce una corriente eléctrica máxima que se puede utilizar para alimentar una bombilla de 100 W, como se mostrará más adelante. Algunos ejemplos comunes de dispositivos basados en la inducción magnética son los transformadores y generadores eléctricos.
Otro criterio de diseño fue aproximarse a una relación distancia de separación entre centros de espiras adyacentes / diámetro del alambre de 0,56, con el fin de maximizar el
del circuito resonante. Para lograrlo se utilizó alambre n.° 12, que tiene un diámetro de 2,05 mm, en consecuencia, la separación entre espiras fue de 1,153 mm.
El factor de calidad
para el circuito resonante serie se evaluó con la siguiente ecuación:
Donde
y
son la reactancia inductiva y resistencia serie del solenoide, también llamado valor equivalente de resistencia de pérdidas. Se nota que cuanto más baja es la resistencia de la bobina en relación con la reactancia inductiva, más alto será el
y más ideal será el inductor. Así mismo, se puede afirmar que en baja frecuencia predomina una resistencia de corriente continua y que el
es una función lineal de la frecuencia, aunque también depende de las dimensiones, forma y separación entre las espiras.
Por su parte, para el circuito resonante paralelo se recurrió a la ecuación 15.
Otro procedimiento para calcular el
del circuito resonante paralelo, teniendo como criterio de diseño la geometría del solenoide, es aplicar la fórmula de Medhurst:
Donde
es el diámetro de la bobina en cm,
es la frecuencia en
y
es el coeficiente extraído del gráfico de Medhurst (1947), que depende de las relaciones
de la tabla 2. En resumen y como lo muestra la siguiente tabla, se obtuvieron los siguientes valores de diseño para los solenoides monocapa.
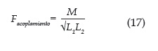
Finalmente, el acoplamiento magnético se produce cuando el flujo magnético de un dispositivo enlaza a otro y, como consecuencia, le induce una corriente. En esta perspectiva, se logró un acoplamiento fuerte en el sistema porque se tuvo en cuenta la proximidad o inductancia mutua
entre los dos solenoides, este se calculó mediante la ecuación 17.
En la figura 8 se muestra el segundo montaje experimental con el cual se transmitió electricidad mediante ondas magnéticas a una frecuencia de 16 KHz. En este sistema se acoplan dos antenas hélices autorresonantes con una configuración de solenoides rectos monocapa de 50 cm de radio con núcleo de aire. Se construyeron con alambre de cobre esmaltado, con conductividad
Dichos solenoides se enrollaron sobre una base de material aislante para minimizar pérdidas por efecto de proximidad.
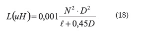
A partir de una frecuencia de trabajo conocida, y utilizando la teoría de circuitos eléctricos, se diseñaron
y
idénticos para los dos solenoides; porque tanto la hélice transmisora como la receptora tenían las mismas especificaciones geométricas. Para hallar el valor del inductor se empleó la ecuación 18, que corresponde a la fórmula de Wheeler [10].
Donde
es el número de espiras,
el diámetro de la bobina y
la longitud de la misma. Los dos últimos parámetros en mm.
Por su parte, el cálculo de la capacitancia distribuida siguió la fórmula de Medhurst mencionada arriba. Los dos solenoides se alinearon en el mismo eje axial y se aproximaron hasta lograr acoplamiento magnético; de este modo, las líneas de fuerza del devanado transmisor enlazaron con el devanado del receptor para máxima transferencia de energía por un medio inalámbrico. El
de ambos solenoides se calculó con la ecuación 16 y dependió fundamentalmente de su geometría, ya que los parámetros físicos quedaban escondidos detrás de los geométricos. En la siguiente tabla se resumen los datos que arrojó el diseño.
La resistencia de radiación para un dipolo corto calculada a partir de las ecuaciones propuestas por los libros de antenas y electromagnetismo [11], [12] para una frecuencia de 16 KHz es aproximadamente de
de manera que la
de pérdidas del solenoide es menor 10 veces.
RESULTADOS Y ANáLISIS DE RESULTADOS
Del primer experimento: en la siguiente figura se muestra una escena del primer experimento, en la cual se ilumina un bombillo de 100 W que es alimentado de manera inalámbrica desde una fuente (bobina externa) situada a 5 cm de distancia.
Para lograr transferencia de potencia inalámbr ica considerable a la distancia mencionada arriba, el sistema requirió de corrientes grandes, para lo cual fue necesario sintonizar y acoplar magnéticamente los circuitos transmisor y receptor para obtener una inducción de corriente que diera suministro al bombillo de 100
; sin embargo, una buena sintonía implicaba bajas pérdidas en el inductor que maximizara el factor de calidad de los solenoides; además de garantizar una conservación energética entre los mismos.
En el caso específico de este experimento, la resistencia de pérdidas no solo comprendió la que resultaba del efecto pelicular por la circulación de corriente a través del conductor sobre el que se construyó la bobina, sino que también sumaba las pérdidas por dispersión de campo en el núcleo de aire del solenoide. Además, a la frecuencia de resonancia, ubicada en el valor intermedio de la banda de
, no lograban acoplar algunas líneas de campo debido a que las longitudes de onda grandes que emitía el transmisor no garantizaban directividad.
En la figura 10 se muestran varias curvas del factor de calidad de resonancia logradas en el experimento a partir de distintos embobinados utilizados para la construcción del solenoide 1. Como se evidencia en la misma figura, cuando el transmisor resuena y el valor de
del inductor es alto, la corriente a través del circuito disminuye de modo inversamente proporcional; en este caso, el factor de calidad
es bajo y la curva de resonancia es ancha. Por el contrario, a menores valores de
tanto mayor será la amplitud de
y de hecho, teóricamente, si no hubiese
alguna en el circuito, la amplitud de
y
el valor de serían infnitos en el punto de resonancia.
En resumen, se logró selectividad con respecto a la frecuencia gracias a la selección de materiales adecuados y al seguimiento de algunos criterios de diseño, tales como construir solenoides con alambres conductores de diámetros grandes, diseñar el sistema a una frecuencia intermedia de
, embobinar los solenoides con una geometría cilindrica que garantizará un coeficiente
de la tabla 2 aproximado a 2 y que no implicará
altas, sin embargo, se falló en cobertura para la máxima transferencia de energía al circuito autorresonante por las altas pérdidas de este.
Del segundo experimento: como se muestra en la figura 11 y se reseñó arriba, la segunda experiencia investigativa se diseñó y construyó para inducir campo magnético y eléctrico mutuo en zona de Fresnel; el propósito era crear una onda viajera y poder lograr gran cobertura. Sin embargo, la radiación electromagnética, aunque ha demostrado ser eficiente para la transmisión de señales de información moduladas en una portadora, no lo es para la transferencia eficaz de energía eléctrica porque la dispersa en muchas direcciones, desperdiciando grandes cantidades de la misma en el espacio libre, además de sufrir una atenuación de potencia inversamente proporcional a la distancia. En resumen, se logró encender un
de 90
de potencia a una distancia de 80 cm y con una eficiencia del 60%.
En la transferencia de energía a través de campo cercano (subregión de Fresnel) se lograron algunos aciertos, como la sintonía del sistema y el acoplamiento electromagnético, pero también persisten algunos problemas por superar. Un desacierto fue que la fuente de suministro (generador) no tuvo la potencia sufciente para hacer funcionar nada a una distancia mayor a 80 cm; sin embargo, debido al fenómeno de autorresonancia fue posible que la segunda corriente fuera lo suficientemente grande como para encender un Led.
Igual como sucedió en el primer experimento, se produjeron pérdidas que se intentó controlar; estas tuvieron distintos orígenes, entre los cuales se mencionan las pérdidas debidas a la resistencia del embobinado, constituida por la resistencia óhmica del alambre del arrollamiento; las ocasionadas por el efecto de proximidad de los solenoides; las generadas por corrientes parásitas inducidas en materiales conductores próximos al solenoide; las pérdidas dieléctricas en los materiales aislantes asociados al inductor (soporte del arrollamiento), las pérdidas en el núcleo y por efecto peculiar.
Para el caso de los circuitos autorresonantes de ambos experimentos, y como por naturaleza esta frecuencia se ubica por arriba de la de resonancia, fue necesario incrementar
la del solenoide para sintonizar el sistema a la misma
lo que se logró mediante un arrollamiento de espiras muy juntas y consecutivas, y con alambre esmaltado, así mismo, con un núcleo adecuado, aprovechando que el aire tiene menor constante dieléctrica y por consiguiente arroja mayor capacidad distribuida. Sin embargo, en los circuitos autorresonantes hay baja estabilidad y tanto la resistencia del inductor como su capacitancia distribuida intervenían en el
el circuito, por tanto fue conveniente recurrir a consideraciones de tipo geométrico para superar estos inconvenientes y lograr la sintonía del sistema.
No obstante lo anterior, la autorresonancia por inducción demostró ser medianamente eficiente para aplicaciones de este tipo, ya que la energía de la onda que se enlazaba en el segundo solenoide era fundamentalmente magnética, ello dio lugar a otras pérdidas por histéresis, residuales y por corrientes parásitas o de Foucault, que le restaron eficiencia al sistema.
Como el solenoide receptor estaba sometido a un campo alterno, demoraba medio ciclo de ida y otro medio de regreso para atravesar distintos estados de energía magnética, por lo tanto, al integrar la curva en un ciclo completo se obtenía la diferencia entre la energía absorbida y la energía devuelta, o sea, resultaba la energía gastada en hacer descubrir al solenoide un ciclo completo. En consecuencia, la pérdida por histéresis por ciclo y por unidad de volumen era proporcional a la superficie que encerraba el lazo.
Por su parte, las corrientes parasitas aparecían cuando el solenoide receptor se sometía al campo magnético longitudinal inducido. Como consecuencia de este campo, se generaban en dicho circuito corrientes parásitas que, de acuerdo con la ley de Lenz, producían un campo magnético antagónico; por lo tanto, estas corrientes eran directamente proporcionales a la inducción alterna
y a la frecuencia, e inversamente proporcionales a la resistividad del volumen del material receptor, de allí que los valores altos de inducción y la frecuencia de operación en VLF causaran valores significativos de pérdidas, tanto debidas a histéresis como a corrientes parásitas, porque dependían proporcionalmente de
y de
.Estas, con las pérdidas residuales y las de efecto
limitaron el alcance de la comunicación inalámbrica a través de campo magnético inducido.
En resumen, para el primer experimento fue necesario conservar la fuente de energía y el dispositivo de captura muy cercanos el uno del otro, para lograr transferencia de energía con magnitudes relativamente altas; mientras que para el segundo se consiguió cobertura en detrimento de la magnitud de la señal transferida.
DISCUSIÓN DE RESULTADOS
Este apartado se plantea desde dos perspectivas: eficiencia de los sistemas de transferencia de energía por un medio inalámbrico, y las nuevas posibilidades que se abren en este campo de investigación.
Con respecto al primer aspecto, la eficiencia en la transferencia de energía mediante inducción magnética y en campo cercano es baja si la potencia de la fuente y la frecuencia de operación son bajas, el factor de acoplamiento del sistema es menor que 1 y el factor de calidad de los embobinados de los circuitos resonantes no es mayor por lo menos a 100 veces. Lo anterior implica investigar en nuevos materiales, operarlos en sus puntos de mayor linealidad posible y explorar nuevas geometrías para minimizar las pérdidas, tanto en los devanados como en los núcleos; así mismo, se sugiere evitar sistemas que se sintonicen mediante autorresonancia, ya que la inducción magnética por estos medios genera enormes pérdidas en el núcleo, que sumadas a las de los embobinados, le restan eficiencia al sistema. En cuanto a la característica de eficiencia del sistema WiTricity referida por los estudiosos del MIT, acerca de que toda la energía del primer circuito resonante no es inducida al segundo sino que parte de esa energía es reabsorbida por la bobina transmisora en un sistema resonante fuertemente acoplado, se podría inferir que no es posible generar o captar campo magnético con una eficiencia cercana a 1; sin embargo, es susceptible de mejorar el 40% logrado en las investigaciones realizadas por el mismo instituto [13], si se implica en el enlace una interacción de campos, no solo campo magnético, ya que la potencia media transferida tiene una relación directa con la dependencia que exista entre
y 
Por último y acerca de las nuevas posibilidades que se abren para la tecnología WiTricity, muchos usuarios de dispositivos electrónicos y eléctricos (laptops, teléfonos celulares, reproductores MP3 / MP4, cámaras, PDAs,
controladores de juegos, dispositivos móviles implantados, automóviles eléctricos y otras unidades móviles) que se alimentan a través de baterías que deben ser recargadas muchas veces desean una solución inalámbrica, sencilla y universal que los libere de los problemas de las conexiones alámbricas de los cargadores y adaptadores. Este sería un aporte ecológico, ya que eliminaría cientos de kilómetros de cables de alimentación y miles de millones de pilas desechables.
En esta perspectiva se continuará investigando la tecnología WiTricity para mejorar en las limitaciones mencionadas arriba, para que se convierta en una solución adecuada a partir del cumplimiento con las normas aplicables en relación con las radiaciones electromagnéticas máximas permitidas en el hogar, la oficina, la industria y demás entornos. Avanzando en este sentido, se podría extender a aplicaciones que capturen la energía solar fuera de la atmosfera de la tierra para retransmitirla mediante haces dirigidos a las residencias, medios de transporte y cargas industriales ubicadas en la tierra. Desde luego que surgirán nuevas cuestiones por resolver, como evitar el robo de energía eléctrica y garantizar sistemas de transferencia eficientes en una gama o escala de conversión amplia, desde mW hasta KW, que le dé acceso a cualquier tipo de usuario.
Para trabajos futuros en este campo de investigación y en aras de identificar la frecuencia de operación adecuada, se podrían explorar en el laboratorio las frecuencias de resonancia de Schumann de 7,83, 14,1 y 20,3 Hz [14] o cualquiera de sus armónicas que propicien un acoplamiento fuerte, además de minimizar las pérdidas con el propósito de mejorar la eficiencia del sistema de transmisión de energía eléctrica mediante inducción magnética en campo cercano.
A esas frecuencias, pero fundamentalmente a 7,83 Hz, se podría conseguir resonancia fuertemente acoplada, similar a la que se presenta en acústica, electromagnética, magnética o nuclear, porque a dicha frecuencia resuena la cavidad tierra-ionosfera, según Schumann (1952), y bajo esta premisa se minimizan las pérdidas, ya que no solo el transmisor y el receptor entrarían en resonancia mediante sintonización, sino que también el medio de propagación lo estaría por su propia naturaleza. En consecuencia, se operaría en un régimen fuertemente acoplado y la transferencia de energía podría ser más eficiente.
CONCLUSIONES
Los resultados de esta experiencia de laboratorio revelan que la tecnología WiTricity es eficiente y práctica para transmisión de energía inalámbrica mediante resonancia magnética en campo cercano no radiante, con acoplamiento fuerte entre los solenoides, en rangos de frecuencias bajas y cantidad de energía no trivial a distancias limitadas.
Los sistemas de transferencia de energía eléctrica experimentados en esta investigación arrojan un mejoramiento en la eficiencia respecto de trabajos previos; sin embargo, queda aún mucho trabajo por realizar en cuanto a mejorar en cobertura e identificar frecuencias más propicias para lograr acoplamientos fuertes en los enlaces; así mismo, dispositivos transmisores y receptores estables, eficientes y fáciles de fabricar. Definitivamente se descarta diseñar e implementar sistemas WiTricity que recurran a la sintonía por autorresonancia, ya que se incrementan las pérdidas y disminuye la eficiencia.
También se recomienda seguir investigando en teoría de modos oscilantes no acoplados (por métodos numéricos, teoría de campos), variación de la impedancia en campo cercano, ondas que no son aprovechadas por el receptor y son reabsorbidas por el transmisor, y nuevas estructuras del sistema de transferencia de energía más eficientes para lograr mayor distancia (solenoides en forma de espiral [monocapa, multicapa], cuadrada, rómbica, circular, plana multicapa). Así mismo, en la configuración del sistema: un emisor con doble receptor, doble emisor y receptor, etc.
Debido a que la transmisión de energía es direccional, esta propagación no se ve afectada por obstáculos no conductores, en consecuencia, es capaz de traspasar paredes, puertas, suelos y techos.
Los trabajos de investigación teórica y experimental, en esta perspectiva, pueden llevar a la tecnología WiTricity a una buena puesta a punto, y aunque se encuentra en un nivel en el que puede ser útil en algunas aplicaciones prácticas, se podría extender a otras aplicaciones y mejorar aún más, tanto en eficiencia como en cobertura, a través de nuevas geometrías y alineamientos de los elementos resonantes (vertical, horizontal u oblicuo) y ensayando con nuevos materiales que incrementen el factor de calidad
de los circuitos.
Un concepto ampliamente conocido en el área de investigación es la radiación electromagnética de ondas tipo TEM en antenas de radio, que para el caso de estudio del cual se ocupa este artículo (transporte eficiente de energía) no es útil porque dispersa la señal a transmitir en muchas direcciones, desperdiciando grandes cantidades de energía en el espacio. En esta perspectiva, la baja eficiencia de radiación de la antena, sumada a la atenuación de potencia radiada en una proporción cuadrática a la distancia de propagación, arruinaría cualquier esfuerzo por transportar energía eléctrica mediante ondas electromagnéticas.
Los resultados obtenidos en los dos experimentos revelan que la trasferencia de energía a la misma frecuencia y mediante onda electromagnética es menos eficiente que la alcanzada con dispositivos de transmisión / recepción por inducción magnética; sin embargo, tiene menor alcance.
REFERENCIAS
[I] D. M. Pozar. Microwave Engineering. New Jersey: John Wiley & Sons, Inc., 2005. [ Links ]
[2] W. G. Xin and Y. Wang. "A method for improving the wireless power transmission efficiency of an endoscopic capsule based on electromagnetic localization and synthesis of magnetic field vector", Journal of Medical Robotics and Computer Assisted Surgery vol. 6, pp. 113-122, 2010. [ Links ]
[3] A. Karalis, J. D. Joannopoulos and M. Soljacic. "Efficient wireless non-radiative mid-range energy transfer", Annals of Physics vol. 323, n.° 1, pp. 34-48, 2008. [ Links ]
[4] R. E. Hamam, A. Karalis, J. D. Joannopoulos and M. Soljacic. "Efficient weakly-radiative wireless energy transfer: An EIT-like approach", Annals of Physics vol. 324, n.° 8, pp. 1783-1795, 2009. [ Links ]
[5] H. Paz. Sistemas de comunicaciones digitales (1.a ed.). Bogotá: Escuela Colombiana de Ingeniería. 2009. [ Links ]
[6] A. Yaghjian. "An Overview of near-field antenna measurements", IEEE transactions antennas propagation AP-34, pp. 30-45, 1986. [ Links ]
[7] C. A. Balanis. Antenna theory: analysis and design. New Jersey: John Wiley & Sons, Inc., 2005. [ Links ]
[8] R. Medhurst. "HF resistance and self capacitance of single-layer solenoids" Wireless Engineering,p. 80, March 1947. [ Links ]
[9] W. Hayt, J. Kemmerly and S. Durbin. Engineering circuit analysis. Bogotá: Mc Graw Hill, 2007. [ Links ]
[10] H. Wheeler. "Formulas for the skin effect", Proceedings of the I. R. E. 412-424, 1942. [ Links ]
[II] J. Kraus. Antennas(3.a edición). Bogotá: Mc Graw Hill, 2002. [ Links ]
[12] M. Sadiku. Elementos de electromagnetismo. Bogotá: Oxford, 2003. [ Links ]
[13] J. Lee, B. Zhen, Ch. Song-Liang, W. Qiu, J.D. Joannopoulos, M. Soljacic and O. Shapira. "Observation and differentiation of unique high-Q optical resonances near zero wave vector in macroscopic photonic crystal slabs" Physical Review Letters vol. 109, n.° 6, pp. 236-241. Disponible: http://prl.aps.org/abstract/PRL/v109/i6/e067401 [ Links ]
[14] A. Nickolaenko. Resonances in the earth-ionosphere cavity. Tokyo: Kluwer. [ Links ]





































