Services on Demand
Journal
Article
Indicators
-
Cited by SciELO -
Access statistics
Related links
-
Cited by Google -
Similars in
SciELO -
Similars in Google
Share
Ciencia y Tecnología Agropecuaria
Print version ISSN 0122-8706On-line version ISSN 2500-5308
Cienc. Tecnol. Agropecuaria vol.22 no.1 Mosquera Jan./Apr. 2021 Epub Jan 01, 2021
https://doi.org/10.21930/rcta.vol22_num1_art:1414
Economía y Desarrollo Rural
Competitividad de la fresa mexicana en el mercado estadounidense de 1992 a 2017
1Universidad Autónoma de Baja California. Ensenada
2Universidad Autónoma de Baja California. Ensenada
Las exportaciones de fresa a nivel internacional han alcanzado un promedio de 457.703 t en los últimos 30 años; el 2012 fue el año más importante con 852.369 t exportadas en total. Para el 2013, el valor de estas exportaciones fue de USD 2.330.136, y entre 1983 y 2013, el promedio fue de USD 971.262. La producción de fresa en México ha incrementado debido a programas enfocados en el fomento de la agricultura y la aplicación de métodos de producción. En 2011, los mayores exportadores de fresa fueron España, EE. UU., Países Bajos, Bélgica y México. El principal destino de exportación fue EE. UU., que concentró el 96 % para complementar su demanda. Los datos de producción y exportación ubican a México en el segundo lugar de producción y el quinto lugar de exportación a nivel mundial. Este estudio tuvo por objetivo determinar la competitividad de la fresa mexicana en el mercado estadounidense y su comportamiento en comparación con otros países exportadores como España y EE. UU. Para medir la competitividad, se utilizó el índice de Balassa y el índice de grado de apertura en exportaciones, que señalaron una competitividad positiva. Sin embargo, se requiere mayor especialización para aumentar los niveles competitivos existentes.
Palabras clave comercio; competitividad; importación; índices de competitividad; producción
Strawberry exports worldwide have averaged 457,703 t in the last 30 years, with 2012 being the most important year for export, with a total of 852,369 t. For 2013, a value of $2,330,136 and an average of $971,262 was obtained from 1983 to 2013. The Mexican strawberry has increased in production due to programs focused on promoting agriculture and applying production methods. The leading strawberry exporting countries worldwide in 2011 were Spain, the United States, the Netherlands, Belgium, and Mexico. The main destination of the export was the United States that concentrated 96% to complement its demand. The production and export data positions the Mexican strawberry in second place in production, and fifth place in world export. This study aimed to determine the competitiveness of Mexican strawberry in the US market and its behavior compared to exporting countries, such as Spain and the US. The Balassa index and the export opening degree index were used to measure competitiveness, stressing a positive competitiveness. However, higher specialization is required to increase the current competitive levels.
Keywords competitiveness; competitiveness index; import; production; trade
Introducción
La fresa, conocida también como frutilla o fresón, es una especie de planta rastrera cuyo nombre se deriva del vocablo latino fragrare, el cual hace referencia a la fragancia que posee. Esta especie pertenece al género Fragaria, conformado por plantas rastreras estoloníferas de la familia Rosaceae (Villaseñor, 2016). La fresa se desarrolla en regiones de clima templado con temperaturas medias anuales entre 12 °C y 20 °C, en suelos fértiles, bien drenados, de tipo arenoso-arcilloso, ricos en materia orgánica y con un pH de 5,5 a 6,5 (Aguilera & Chávez, 2011). Es un fruto rico en antioxidantes y otros compuestos bioactivos que disminuyen el riesgo de sufrir cáncer y enfermedades cardiovasculares. Además, es considerada como una fruta de gran valor nutricional con olor y sabor agradables, por lo que tiene gran demanda en el mercado nacional y extranjero (Hannum, 2004).
Los principales componentes que determinan la calidad de los frutos maduros son los sólidos solubles y la acidez. El contenido en sólidos solubles (glucosa, fructosa y sacarosa) cambia dependiendo de la variedad estudiada (Martínez-Bolaños et al., 2008; Ojeda-Real et al., 2008). El ácido cítrico es el ácido más abundante en la fresa —seguido del málico, el succínico y el ascórbico—, razón por la cual los resultados de acidez se suelen expresar en cantidad de ácido cítrico (Ojeda-Real et al., 2008).
Aunque la planta de fresa puede vivir varios años, dura dos en producción económica. En plantaciones de mayor edad, las plantas son claramente más débiles, con bajo rendimiento y frutas de menor calidad debido a una mayor incidencia de plagas y enfermedades (Altamirano, 2004).
En México, la fresa es un cultivo que, si bien no destaca por el número de hectáreas sembradas o por las divisas generadas con su exportación, es una gran fuente de empleo en las principales zonas productoras. Esto se debe a que no solo es un producto muy intensivo en la utilización de mano de obra, tanto en la fase agrícola como en la industrial, sino también genera bastante actividad en las áreas de producción de insumos, comercialización y transporte, entre otras (Echánove, 2001).
La fresa se introdujo en México a mediados del siglo pasado a través del estado de Guanajuato, con variedades procedentes de la región de Lyon, Francia. En un principio, esta producción incipiente se limitaba a cubrir las necesidades del mercado doméstico; sin embargo, desde 1950 su importancia aumentó debido a la creciente demanda de EE. UU., que buscaba complementar su consumo durante el periodo invernal (Apoyos y Servicios a la Comercialización Agropecuaria, 1998).
Fue precisamente la exportación lo que hizo que el cultivo se extendiera aproximadamente a 12 estados del país y la instalación de congeladoras y empacadoras creciera de forma rápida en las diversas regiones freseras (Feder, 1981). En 2017, la fresa alcanzó un lugar relevante en la industria agrícola nacional por la generación de divisas. El 52,21 % de la producción nacional de fresa se destina al mercado externo y cada año este porcentaje ha venido creciendo, dado el éxito de este producto en el comercio internacional. De hecho, México es el tercer proveedor de fresa fresca en el mercado internacional, con un 14,83 % del valor de las exportaciones mundiales. Las exportaciones mexicanas representaron el 87,79 % de las importaciones de fresa en EE. UU. (Secretaría de Agricultura, Ganadería, Desarrollo Rural, Pesca y Alimentación, 2017).
Las exportaciones han crecido en las últimas décadas, en términos absolutos y respecto a la producción nacional (Servicio de Información Agroalimentaria y Pesquera [SIAP], 2017), y en 2014 representaron el 59 % de la producción total nacional. Los precios de la fresa han sido un factor de crecimiento de las exportaciones; desde mediados de 1980 el precio de exportación ha sido superior al del mercado doméstico (Sistema Nacional de Información e Integración de Mercados, 2017).
El cultivo de la fresa en México tiene una gran importancia desde el punto de vista socioeconómico. Según los datos registrados en el Servicio de Información Agroalimentaria y Pesquera (SIAP), en 2010 México alcanzó una superficie cultivada de 6.282 ha con diferentes variedades de fresa, que aportó una producción de 226.657 t con un valor superior a los 2.102 millones de pesos (Secretaría de Agricultura, Ganadería, Desarrollo Rural, Pesca y Alimentación, 2017). Este cultivo ha adquirido reconocimiento en productos agroindustriales e importancia a nivel mundial.
En México, la producción de fresa ha mostrado un crecimiento atribuido a programas enfocados en el fomento de la agricultura y la aplicación de métodos de producción. El país produjo 95.006 t en 1994 y 36.042,6 t en 2012; los principales estados productores de fresa son Michoacán y Baja California, con más del 90 % de la producción total (SIAP, 2015).
El valor de la producción de fresa en México fue de 369 millones de dólares en 2014 (SIAP, 2015), similar al de la producción de Florida en EE. UU. (333 millones de dólares), que solo fue superada por la de California (Guan et al., 2015). México es el principal proveedor de fresa de EE. UU., con cerca del 95 % del volumen total de sus importaciones del producto (Hee et al., 2017). La proximidad geográfica entre ambos países, la producción limitada en EE. UU. durante el invierno (Arnade & Kuchler, 2015), la calidad de la fresa mexicana (Estrada-Chavira et al., 2017) y los costos de producción menores en México (Wu et al., 2015) contribuyen al aumento de las exportaciones de fresa mexicana a EE. UU.
En el contexto productivo, de las 11.092 ha sembradas en 2016, el 89,78 % de la superficie se encuentra mecanizada, el 65,63 % cuenta con tecnología aplicada a la sanidad vegetal y el 87,14 % del territorio sembrado con este cultivo tuvo asistencia técnica. Por otro lado, el 56,96 % de la producción total es de temporal, mientras que, en las modalidades de riego, el 0,74 % es por goteo, el 3,54 % por aspersión, el 2,98 % por gravedad, el 0,01 % por bombeo y el resto por otro tipo de riego sin especificar (SIAP, 2017).
En la producción mundial de fresa, EE. UU. ocupó el primer lugar en 2012 con 1.366.850 t (40 %), México alcanzó la segunda posición con 360.426 t (10 %), Turquía llegó al tercer puesto con 353.173 t (10 %) y España se posicionó en el cuarto lugar con 289.900 t (8 %) (FAOSTAT, 2015). La tabla 1 muestra el promedio del área cosechada, el rendimiento y la producción desde 1983 hasta 2013; se puede observar que durante los últimos 31 años el promedio de la producción mundial de fresa fue de 4.229.072,29 t y tuvo una tasa de crecimiento media del 2 %.
Tabla 1 Indicadores generales de la producción mundial de fresa (promedio) 1983-2013

TMCA:tasa media de crecimiento anual
Fuente: Elaboración propia con base en FAOSTAT (2017)
En el periodo 2003-2013, la producción superó el promedio total de 1983 a 2013, con más de 6 millones de toneladas y un crecimiento medio del 4 % anual. El principal productor de fresa en el mundo durante el periodo analizado fue EE. UU., con un promedio de 837.164,97 t. En 2013, EE. UU. logró una producción de 1.382.096 t y México, en segundo lugar, obtuvo una producción de 379.464 t (FAOSTAT, 2015).
A nivel mundial, las exportaciones de fresa tuvieron un promedio de 457.703 t en el periodo analizado. En 2013 hubo una exportación de 839.151 t, 13.218 t menos que en 2012, que fue el año más importante para la exportación de fresa con 852.369 t en total. Para el 2013, se obtuvo un valor de USD 2.330.136 y entre 1983 y 2013 el promedio fue de USD 971.262 (FAOSTAT, 2017).
En 2011, los mayores exportadores de fresa fueron España, EE. UU., Países Bajos, Bélgica y México; este último exportó 76.890 t con un valor de USD 142.053. El principal destino de exportación fue EE. UU., que concentró el 96 % de la producción para complementar su demanda. Los datos ubican a México en el segundo lugar de la producción y en el quinto lugar de la exportación mundial de fresa. Los principales países importadores son Canadá, EE. UU., Alemania, Francia y Reino Unido; Canadá y Francia ocuparon los primeros lugares en cuanto al valor de sus importaciones, con USD 319.463 y USD 267.669, respectivamente (FAOSTAT, 2015).
El promedio de las importaciones de fresa durante los últimos 30 años es de 464.649 t. El 2012 fue el año más importante para las importaciones, con 919.454 t y un valor de USD 2.502.883 en promedio. Los principales destinos de las exportaciones de fresa mexicana son EE. UU. (99,92 %), Canadá (0,02 %), Países Bajos (0,02 %) y Japón (0,02 %) (Hernández-Soto et al., 2011). Los datos reflejan una concentración de las exportaciones a EE. UU. explicada por ventajas comparativas y competitivas (Ramírez-Padrón et al., 2016).
En 2016, el mercado mundial de fresa ascendió a 9,2 millones de toneladas, un 5 % más alto que el año anterior. El volumen de mercado experimentó una fuerte expansión en 2007-2016, con una tasa compuesta anual positiva de 5,0 % (IndexBox, 2020).
Entre los principales países consumidores durante 2016, se encuentran Turquía con un nivel de consumo per cápita de 5,2 kg/año, Egipto con 4,9 kg/año y Estados Unidos con 4,5 kg/año. Sin embargo, el mayor crecimiento anual del consumo per cápita se registró en México, con una tasa promedio anual de 11,3 % entre 2007 y 2016 (IndexBox, 2020).
En 2016, el volumen de las exportaciones mundiales ascendió a 860.000 t y ha tenido una tendencia general al alza en los últimos años. Se ha registrado un aumento gradual durante el periodo 2007-2011, con un 18 % en 2012 y nuevas fluctuaciones leves hasta 2016. Los principales proveedores de fresa a nivel mundial, con una cuota conjunta del 70 % de las exportaciones, fueron España (311.000 t), EE. UU. (134.000 t), México (103.000 t) y Países Bajos (56.000 t) (Organización Mundial del Comercio, 2018).
Para determinar la competitividad en la producción de fresa entre países, es necesario analizar, dentro de los mercados internacionales, las exportaciones y las importaciones en un contexto económico donde se identifique el grado de competitividad que ejerce un país sobre otro.
Contreras (2000) define la competitividad de un producto como su capacidad de participar exitosamente en el mercado internacional de acuerdo con los precios de mercado existentes. Por tanto, un producto o una actividad pueden ser competitivos aun cuando no tengan ventajas comparativas. Asimismo, un producto puede presentar ventajas comparativas, pero no ser competitivo.
Ávila-Arce y González-Milán (2012) realizaron un estudio sobre la competitividad de la fresa y su participación en el mercado internacional entre 2000 y 2007, medida con el índice de ventaja relativa de exportación (VRE) y el índice de participación constante en el mercado (CMS, por su sigla en inglés). Los resultados muestran que, si bien las exportaciones de fresa de México se han incrementado desde 2004, han perdido competitividad.
Ramírez-Padrón et al. (2016) analizaron los índices de competitividad del comercio de la fresa mexicana entre 1994 y 2012 mediante el índice de balanza comercial relativa (BCR), el indicador de transabilidad (Tij), el coeficiente de dependencia comercial y el grado de apertura en exportaciones. Los resultados obtenidos reflejaron que la fresa producida en México es competitiva internacionalmente. Asimismo, Pat-Fernández et al. (2016) calcularon indicadores de competitividad en el mercado internacional para el periodo 1994-2010. Mediante el análisis del índice de BCR, el Tij y el coeficiente de dependencia comercial (Glij), estos autores comprobaron que el cultivo de la fresa es competitivo a nivel nacional e internacional.
El análisis de competitividad requiere de variables como el consumo nacional aparente, el indicador de BCR, el indicador de procedimientos —que permite seguir la evolución de un producto en cada una de sus etapas—, el Glij, el índice de exportación y el grado de apertura exportadora (Rojas & Sepúlveda, 1999).
Dada la importancia mundial de la producción y el comercio de la fresa cultivada en México, el objetivo del presente estudio es determinar su competitividad en comparación con la fresa producida en España en el mercado estadounidense, su comportamiento dentro de este mercado y el momento en que la fresa mexicana es y deja de ser competitiva durante el periodo 1992-2017. Este análisis permitirá corroborar los datos analizados por otros autores e identificar si el país pierde competencia internacional para la toma de decisiones futuras.
Materiales y métodos
Existen diversos análisis que permiten medir la competitividad y analizar los factores que inciden en esta, a fin de crear indicadores que midan el desarrollo de la economía y describir la competitividad de los productos agroalimentarios importantes para la mejora del sector agrícola en México (Ávila-Arce & González-Milán, 2012).
La competitividad es un factor de medición importante para los flujos de las exportaciones de un país en el mercado internacional. Cuando se habla del flujo de exportaciones, es importante analizar la competitividad de los productos que se comercializan, pues de esto dependerá que el flujo se mantenga o disminuya. La competitividad se puede medir por medio de indicadores indirectos como la participación de mercado del producto o el índice de ventaja relativa de exportaciones (VRE), los cuales se estiman utilizando los datos del comercio (Avendaño, 2008).
Para medir la competitividad del cultivo de fresa de México y España en el mercado de EE. UU., se utilizó, en primer lugar, el índice de Balassa (1989), el cual permite conocer las ventajas que tiene un país en cuanto a las exportaciones totales de ciertos productos en un mercado específico (Hernández- Soto et al., 2011).
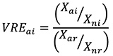
Para medir la ventaja comparativa revelada, se utiliza la ecuación 1:
Donde VREaies la ventaja relativa de exportaciones del producto a en el país i; Xai es el valor de las exportaciones del producto a en el país i; Xnies el valor de las exportaciones totales (menos el producto a) en el país i; Xares el valor de las exportaciones del producto a en el mundo (menos el país i), y Xnres el valor de las exportaciones totales (menos el producto a) en el mundo (menos el país i).
Para la lectura de este indicador, se recomienda utilizar las siguientes escalas:
Entre +0,33 y +1 existe ventaja para el país.
Entre -0,33 y -1 existe desventaja para el país.
Entre -0,33 y +0,33 existe tendencia hacia un comercio intraproducto.
Este índice puede ser calculado en casos particulares con información de referencia del mercado de análisis (Balassa,1989).
Si la participación del producto en el mercado es mayor al promedio, se presenta una VRE. Mientras más alto sea el índice, más alto será el grado de especialización del país en tal producto y mayor será su grado de competitividad (Balassa, 1989). Los cambios en el índice muestran la tendencia de la competitividad del producto de un país; si el índice tiene una tendencia creciente, el país va ganando competitividad, y lo contrario ocurre si el índice disminuye. Cabe destacar que este modelo teórico supone la existencia de solo dos países y no toma en cuenta las distorsiones ocasionadas por políticas gubernamentales, lo que limita la interpretación de los resultados (Avendaño, 2008).
Para medir la competitividad de la fresa producida en México también se empleó el índice de grado de apertura en exportaciones (GE), que se refiere al grado de libertad respecto al comercio y las exportaciones de un producto. Este índice muestra la participación de las exportaciones de un producto sobre el consumo aparente y al grado de inserción en un mercado específico (Ministerio de Agricultura y Desarrollo Rural, 2002). Para calcular este índice se utiliza la ecuación 2.
Donde GE es el grado de apertura en exportaciones; Xij representa las exportaciones del producto i del país j; Mij equivale a las importaciones del producto i del país j, y Qij es la producción doméstica del producto i del país j.
Para interpretar este indicador, se entiende que si el GE es mayor de 0, el sector se considera competitivo dentro del país; pero si el GE es menor de 0, se trata de un sector no competitivo por el exceso de importaciones o de demanda que no corresponde con la producción nacional. Cuanto más grande sea el valor de este índice, más competitivo es el producto. Este indicador muestra, además, un grado del consumo aparente (Ministerio de Agricultura y Desarrollo Rural, 2002).
Resultados y discusión
El mercado estadounidense de la fresa se abastece principalmente del estado de California, el resto de la demanda se importa de países como México y España, unos de los mayores exportadores de fresa en el mundo. En este mercado, la fresa representa un 5,5 % del valor de todas las frutas en el país, por lo que EE. UU. tiene una participación importante en el consumo mundial de este producto.
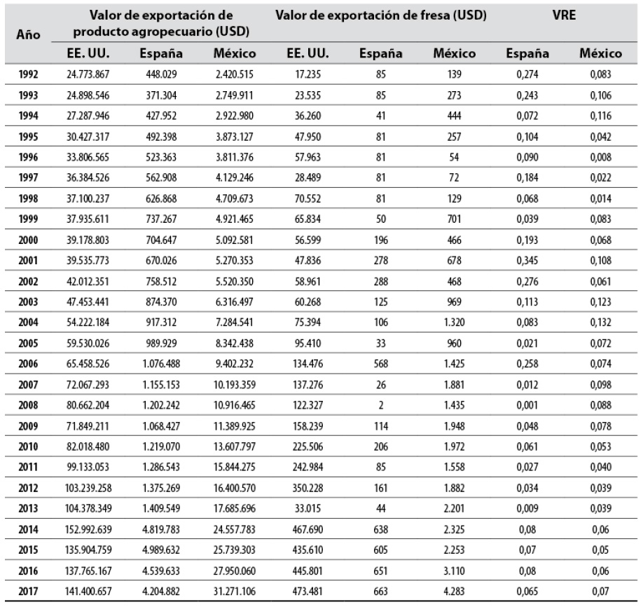
Las exportaciones a EE. UU. de fresa producida por México experimentaron una disminución de su competitividad durante los últimos años respecto a principios de la década de 1990. La tabla 2 muestra el índice de VRE de los últimos 30 años para España y México. En general, aunque México es cada vez más competitivo, no logra posicionarse del todo en el mercado estadounidense de fresa.
Tabla 2 Índice de ventaja relativa de exportaciones (VRE) de fresa de México y España a EE. UU., 1992-2013

Fuente: Elaboración propia con base en FAOSTAT (2017)
Para la producción de fresa en México, el índice VRE mostró resultados positivos en todos los años. Sin embargo, en todos los casos su valor fue menor que la unidad, lo que puede indicar una falta de especialización no significativa en el producto. El resultado más alto se registró en 2004, con un valor de 0,132 y un promedio de 0,077 grados de competitividad (Fernández, 2011).
De igual forma, a lo largo del periodo analizado, España presenta resultados positivos, pero menores que la unidad. No obstante, ha ido perdiendo competitividad desde 2006, con una caída del 40 % en los grados de competitividad. Aun así, alcanza un promedio mayor que el de México (0,116). Uno de los valores más altos es el registrado en 2002 (0,276 grados), seguido del obtenido en 2017 (0,07). A pesar de esto, la competitividad de ambos países es similar para el último año analizado.
El VRE muestra una variación de la competitividad en México y una caída constante de esta en España a lo largo del periodo, para terminar con valores similares en ambos países. Se puede interpretar que las acciones de España en el mercado estadounidense han reducido su competitividad, lo que puede deberse a una diversificación del mercado o a un aumento de las exportaciones de México a EE. UU.
La tabla 3 presenta los datos correspondientes al comercio exterior de la fresa entre 1993 y 2017. Se observa un importante crecimiento de las exportaciones a lo largo de este periodo; sin embargo, no ocurre lo mismo con el índice de grado de apertura en exportaciones, que ha disminuido debido a que la producción y las importaciones aumentaron. Un número igual o mayor a la unidad indicaría que la producción del país es suficiente para abastecer el mercado interno y ser competitiva en el mercado internacional. El promedio durante el periodo analizado fue de 0,0031 y el resultado más alto se alcanzó en el año 2007, con un valor de 0,0060 grados de apertura en exportaciones.
Tabla 3 Índice de grado de apertura en exportaciones (GE) 1992-2017

X:exportaciones de fresa M: importaciones de fresa
Q:producción doméstica de fresa
Fuente: Elaboración propia con base en FAOSTAT (2017)
Al igual que el índice de VRE, en la década de 1990 se presenta un menor grado de apertura en exportaciones (GE) y un aumento en las importaciones, con un valor máximo de 70.552 t en 1998. Después de 1999, este índice tiene un aumento significativo (0,0035) en comparación con el año anterior y el mayor valor se registra en el año 2007 (0,0060). En promedio, a partir de 2010 se observa un GE positivo —debido a una reducción de las importaciones—, pero poco significativo. El índice evidencia un aumento en 2017 que no ocurría desde 2007.
Durante el periodo analizado, aunque el GE se comporta de manera positiva, el crecimiento de las importaciones es muy similar al de las exportaciones. Esto permite interpretar que la producción de fresa mexicana está dedicada a la exportación y parte del mercado nacional se abastece, en cierta medida, de la importación, de manera que el mercado interior es desatendido.
Estos resultados concuerdan con los hallazgos Avendaño (2008) y Ávila-Arce y González-Milán (2012). A pesar de que la fresa mexicana es competitiva en el mercado estadounidense, los resultados indican que dicho sector está perdiendo competitividad, aunque es uno de los principales proveedores de fresa de EE. UU. El índice de VRE muestra una caída en la competitividad a partir de 2004.
La competitividad de México y España varía a lo largo del periodo analizado. Después de una caída desde 2009 a 2013, en 2017 México logró igualar el grado de competitividad de España. Este país ha perdido competitividad desde 2006 y en 2017 fue superado por México.
Conclusiones
México es un importante productor y exportador de fresa en el mundo. Entre sus principales socios comerciales se encuentran Países Bajos, Canadá y EE. UU., el país que importa la mayor cantidad de fresa mexicana. La apertura en exportaciones de México es cercana a cero en todo el periodo analizado, lo que indica que la producción nacional abastece el mercado interno y es necesario buscar nuevos socios comerciales. Se deben diversificar los mercados y reducir las importaciones para obtener un mayor grado de apertura en exportaciones, solo de esta manera México podrá competir con España y EE. UU. en exportación de fresa y logrará aprovechar las oportunidades que este producto ofrece, no solo en el mercado estadounidense, sino también en el de otros países.
Agradecimientos
A los maestros y alumnos de la Universidad Autónoma de Baja California, por su apoyo y contribución a esta investigación.
REFERENCIAS
Aguilera, J., & Chávez, D. (2011). Ventaja competitiva financiera de las empresas exportadoras michoacanas de fresa, hacia los Estados Unidos de América, a través de instrumentos de deuda internacionales. Red Internacional de Investigadores en Competitividad, 5(1), 2408-2427. https://www.riico.net/index.php/riico/article/view/686 [ Links ]
Altamirano, R. (2004). El cultivo de la fresa para el ciclo otoño-invierno, en California, Estados Unidos de Norte América [Undergraduate thesis, Universidad de Guadalajara]. Repositorio DSpace. http://repositorio.cucba.udg.mx:8080/xmlui/handle/123456789/43 [ Links ]
Arnade, C., & Kuchler, F. (2015). Measuring the impacts of off-season berry imports. ERR-197. United States Department of Agriculture, Economic Research Service. https://www.ers.usda.gov/webdocs/publications/45445/54290_err197.pdf?v=42306 [ Links ]
Apoyos y Servicios a la Comercialización Agropecuaria. (Ed.). (1998). Revista Claridades Agropecuarias, (55). https://info.aserca.gob.mx/claridades/revistas/055/ca055.pdf#page=19 [ Links ]
Avendaño, B. (2008). Globalización y competitividad en el sector hortofrutícula: México, el gran perdedor. El Cotidiano, 23(147), 91-98. https://biblat.unam.mx/hevila/ElCotidiano/2008/no147/10.pdf [ Links ]
Ávila-Arce, A., & González-Milán, D. (2012). La competitividad de las fresas (Fragaria spp.) mexicanas en el mercado nacional, regional y de Estados Unidos. Agricultura, Sociedad y Desarrollo, 9(1), 17-27. http://revista-asyd.mx/index.php/asyd/article/view/1165 [ Links ]
Balassa, B. (1989). "Revealed" comparative advantage revisited. In Comparative advantage, trade policy and economic development (pp. 63-79). New York University Press. [ Links ]
Contreras, J. (2000). La competitividad de las exportaciones mexicanas de aguacate: un análisis cuantitativo. Reporte de Investigación 46. Centro de Investigaciones Económicas, Sociales y Tecnológicas de la Agroindustria Mundial; Universidad Autónoma de Chapingo. https://bit.ly/31C7zUH [ Links ]
Echánove, F. (2001). Abastecimiento a la Ciudad de México: el caso de los pequeños productores de fresa de Guanajuato. Investigaciones Geográficas, 45, 128-148. http://dx.doi.org/10.14350/rig.59149 [ Links ]
Estrada-Chavira, M., Portillo-Vázquez, M., Calderón-Zavala, G., Segarra, E., Martínez-Damián, M., & Medina-Cuéllar, S. (2017). Potential for strengthening strawberry exports from Michoacán to the United States. Revista Chapingo Serie Horticultura, 23(3), 135-146. https://doi.org/10.5154/r.rchsh.2017.02.007 [ Links ]
FAOSTAT. (2015). Data. Crops. Food and Agriculture Organization of the United Nations. http://www.fao.org/faostat/en/#data/QC [ Links ]
FAOSTAT. (2017). Data. Crops and livestock products. Food and Agriculture Organization of the United Nations. http://www.fao.org/faostat/en/#data/TP [ Links ]
Feder, E. (1981). El imperialismo fresa (3d ed.). Ediciones Nueva Sociología. [ Links ]
Fernández, S. (2011). Regresión logística. Universidad Autónoma de Madrid. https://bit.ly/3baLX4I [ Links ]
Guan, Z., Wu, F., Roka, F., & Whidden, A. (2015). Agricultural labor and immigration reform. Choices, 30(4), 1-9. https://bit.ly/3gKrcOt [ Links ]
Hannum, S. (2004). Potential impact of strawberries on human health: a review of the science. Critical Reviews in Food Science and Nutrition, 44(1), 1-17. https://doi.org/10.1080/10408690490263756 [ Links ]
Hee, S., Guan, Z., & Khachatryan, H. (2017). The impact of Mexican competition on the U. S. strawberry industry. International Food and Agribusiness Management Review, 20(4), 591-604. https://doi.org/10.22434/IFAMR2016.0075 [ Links ]
Hernández-Soto, D., Guzmán-Soria, E., & De la Garza-Carranza, M. T. (2011). Competitividad de la fresa mexicana de exportación a EE. UU.: un modelo de equilibrio parcial. Revista Globalización, Competitividad y Gobernabilidad, 5(3), 102-114. https://doi.org/10.3232/GCG.2011.V5.N3.06 [ Links ]
IndexBox. (2020, julio 15). Global strawberry market overview 2020. https://www.indexbox.io/store/world-strawberries-market-report-analysis-and-forecast-to-2020/ [ Links ]
Martínez-Bolaños, M., Nieto-Angel, D., Téliz-Ortiz, D., Rodríguez-Alcazar, J., Martínez- Damian, M. T., Vaquera-Huerta, H., & Carrillo, O. (2008). Comparación cualitativa de fresas (Fragaria x ananassa Duch.) de cultivares mexicanos y estadounidenses. Revista Chapingo. Serie Horticultura, 14(2), 113-119. http://dx.doi.org/10.5154/r.rchsh.2006.09.035 [ Links ]
Ministerio de Agricultura y Desarrollo Rural. (2002). Observatorio de Agrocadenas Colombia. Metodología de cálculo de indicadores de competitividad. http://hdl.handle.net/11348/5207 [ Links ]
Ojeda-Real, L. A., Cárdenas-Navarro, R., Lobit, P., Grageda-Cabrera, O., Valencia-Cantero, E., Macías Rodríguez, L. (2008). Efecto de la nutrición nítrica y sistemas de riego en el sabor de la fresa (Fragaria x ananassa Duch.) flavor. Revista Chapingo Serie Horticultura, 14(1), 61-70. http://dx.doi.org/10.5154/r.rchsh.2006.02.015 [ Links ]
Organización Mundial del Comercio. (2018). III. Tendencias más recientes del comercio mundial, 2017-2018. In Examen estadístico del comercio mundial 2018 (pp. 26-39). https://www.wto.int/spanish/res_s/statis_s/wts2018_s/wts2018_s.pdf [ Links ]
Pat-Fernández, V., Caamal-Cauich, I., Caamal-Pat, Z., Jerónimo-Ascencio, F. (2016). Análisis de los indicadores de competitividad del cultivo de la fresa de México en el mercado mundial. Textual, 68, 45-64. https://dx.doi.org/10.5154/r.textual.2016.68.004 [ Links ]
Ramírez-Padrón, L., Caamal-Cauich, I., Pat-Fernández, V., & Martínez-Luis, D. (2016). Índices de competitividad de la fresa (Fragaria vesca L.) de México en el mercado mundial. Agroproductividad. http://revista-agroproductividad.org/index.php/agroproductividad/article/view/756/622 [ Links ]
Rojas, P., & Sepúlveda, S. (1999). ¿Qué es la competitividad? Serie Cuadernos Técnicos, N.º 9. Instituto Interamericano de Cooperación para la Agricultura. http://repiica.iica.int/docs/B0193e/B0193e.pdf [ Links ]
Secretaría de Agricultura, Ganadería, Desarrollo Rural, Pesca y Alimentación. (2017). Planeación Agrícola Nacional 2017-2030. Gobierno de México. https://bit.ly/3gMKIu4 [ Links ]
Servicio de Información Agroalimentaria y Pesquera [SIAP]. (2015). Anuario Estadístico de la Producción Agrícola. Año 2015.https://nube.siap.gob.mx/cierreagricola/ [ Links ]
Servicio de Información Agroalimentaria y Pesquera [SIAP]. (2017). Anuario Estadístico de la Producción Agrícola. Año 2017. https://nube.siap.gob.mx/cierreagricola/ [ Links ]
Sistema Nacional de Información e Integración de Mercados. (2017). Mercados del exterior. Precios de mercado.http://www.economia-sniim.gob.mx/nuevo/Home.aspx [ Links ]
Villaseñor, J. (2016). Checklist of the native vascular plants of Mexico. Revista Mexicana de Biodiversidad, 87(3), 559-902. http://dx.doi.org/10.1016/j.rmb.2016.06.017 [ Links ]
Wu, F., Guan, Z., & Whitaker, V. (2015). Optimizing yield distribution under biological and economic constraints: Florida strawberries as a model for perishable commodities. Agricultural Systems, 141, 113-120. https://doi.org/10.1016/j.agsy.2015.10.002 [ Links ]
Recibido: 10 de Abril de 2019; Aprobado: 18 de Agosto de 2020










text in 





