Services on Demand
Journal
Article
Indicators
-
Cited by SciELO -
Access statistics
Related links
-
Cited by Google -
Similars in
SciELO -
Similars in Google
Share
Ingeniería y Universidad
Print version ISSN 0123-2126
Ing. Univ. vol.15 no.1 Bogotá Jan./June 2011
Influencia del costo de parqueo en el uso del auto en Bogotá1
Influence of Parking Costs on the Use of Cars in Bogota2
Influência do custo do estacionamento no uso do carro em Bogotá3
Luis Gabriel Márquez-Díaz4
Lyda Astrid Gallo-González5
Carlos Andrés Chacón-Pérez6
1 Este artículo se deriva de un proyecto de investigación denominado Influencia de las variaciones del costo de parqueo en la utilización del auto en Colombia, código SGI-643, financiado por la Universidad Pedagógica y Tecnológica de Colombia, Tunja, Colombia.
2Submitted on November 17, 2010. Accepted on February 23, 2011. This article is the result of the research project Influence of Parking Costs on the Use of Cars in Bogota, registration number SGI-643, funded by the Universidad Pedagógica y Tecnológica de Colombia, Tunja, Colombia.
3Data de recepção: 17 de novembro de 2010. Data de aceitação: 23 de fevereiro de 2011. Este artigo deriva de um projeto de pesquisa denominado Influência das variações de custo de estacionamento na utilização do automóvel na Colômbia, código SGI-643, financiado pela Universidade Pedagógica e Tecnológica da Colômbia, Tunja, Colômbia.
4Ingeniero en Transporte y Vías, Universidad Pedagógica y Tecnológica de Colombia, Tunja, Colombia. Magíster en Ingeniería con énfasis en Transporte, Universidad Pedagógica y Tecnológica de Colombia. Docente de tiempo completo, Universidad Pedagógica y Tecnológica de Colombia. Correo electrónico: luis.marquez@uptc.edu.co.
5Ingeniera en Transporte y Vías, Universidad Pedagógica y Tecnológica de Colombia, Tunja, Colombia. Correo electrónico: lydaastridgallo@hotmail.com.
6Ingeniero en Transporte y Vías, Universidad Pedagógica y Tecnológica de Colombia, Tunja, Colombia. Correo electrónico: chaconcarlos9020@hotmail.com.
Fecha de recepción: 17 de noviembre de 2010. Fecha de aceptación: 23 de febrero de 2011.
Resumen
En este artículo se aplica un experimento de elección, mediante la técnica de preferencias declaradas, al comportamiento de los usuarios de auto frente a cambios en las tarifas de parqueo en una zona céntrica de Bogotá. El objetivo es determinar la elasticidad entre el precio de parqueo y el uso del auto en viajes al trabajo. El experimento de elección toma en cuenta variables como el costo, el tiempo de viaje, la duración del parqueo y la distancia de caminata desde el parqueadero hasta el sitio de trabajo. Se estima un modelo Logit multinomial que permite conocer la elasticidad entre el costo de parqueo y el uso del auto. El modelo estimado indica que la elasticidad entre el costo de parqueo y el uso del auto es de -0,13496, que se considera bajo si se compara con estándares internacionales; sin embargo, el modelo refleja gran sensibilidad de los usuarios del auto respecto a la distancia de caminata. En cuanto a trabajos previos, este se constituye en un aporte al perfeccionamiento de políticas tarifarias de parqueo que desincentiven el uso del auto en la ciudad.
Palabras clave: Servicios de parqueo-costo-efectividad, parqueaderos-precios-Bogotá (Colombia), automóviles-estudios de uso.
Abstract
This paper describes the use of the stated-preference technique in a discrete choice experiment carried out to examine the behavior of car users concerning changes in parking costs in the central business district of Bogotá. The research seeks to determine the level of elasticity between parking costs and car use for work trips. First, the area of interest is selected, bearing in mind compatibility with other studies. Then, the experiment is designed taking into account variables such as costs, commuting time, parking time and walking distance from the parking lot to the workplace. A multinomial logit model is used in order to determine elasticity between the parking cost and the use of the car, and to experiment with the variables included in the model. The model shows that the elasticity between parking costs and car use is -0.13496, which is considered low when compared to international standards. However, the model indicates high sensitivity on the part of car users with respect to walking distances. This work contributes to improving parking pricing policies to discourage the use of cars in urban areas.
Key words: Automobile parking-cost effectiveness, parking lots-prices-Bogota (Colombia), automobiles - use studies.
Resumo
Neste trabalho foi aplicado um experimento de escolha, utilizando técnica de preferência declarada para investigar o comportamento dos usuários de automóveis a variações no custo do estacionamento no centro de Bogotá. O objetivo desta pesquisa é determinar a elasticidade entre o preço do estacionamento e uso de viagens de carro para o trabalho. É inicialmente selecionada a área de estudo, tornando-o compatível com outros estudos e, então, projetar o experimento escolha, incluindo variáveis como custo, tempo de viagem, a duração do estacionamento e, finalmente, a pé do estacionamento até o local de trabalho. Com os dados coletados são estimados do modelo Logit multinomial que determina a elasticidade do custo do estacionamento e da utilização do carro e permite que você experimente as variáveis relevantes do modelo. O modelo estimado indica que a elasticidade do custo do estacionamento é -0,13496, considerado baixo quando comparado com os padrões internacionais, entretanto, o modelo mostra alta sensibilidade dos usuários de automóveis em relação à distância de estacionamento. Com relação aos trabalhos anteriores, o trabalho apresentado constitui uma contribuição para a melhoria das políticas de estacionamento de preços que desestimulem o uso de carros em áreas urbanas.
Palavras chave: Serviços de estacionamento-custo-benefício, estacionamentos-preços-(Colômbia), automóveis-estudos de uso.
Introducción
A diferencia de los países desarrollados, los países en desarrollo como Colombia se caracterizan por un rápido cambio de su entorno socioeconómico, que sugiere un aumento potencialmente grande en la posesión y uso del automóvil en el futuro próximo y, por consiguiente, la reducción del uso de los sistemas de transporte público (Zhang et al., 2008). La demanda por transporte, al ser una demanda derivada del sistema de actividades, reclama un cambio en la fijación de estrategias, puesto que un incremento de la movilidad per se no es ni podrá ser una meta razonable en la fijación de una política sustentable de transporte urbano; en cambio, fijar sistemas de tarificación podría ser una buena idea en el intento de reducir los viajes de las personas a las áreas más congestionadas de una ciudad (Levine y Garb, 2002).
Varios estudios han explorado los efectos que produce en los usuarios la implementación de políticas relacionadas con peajes por congestión (Schaller, 2010; Eliasson, 2009) y tarifas de parqueadero (Bonsan y Young, 2010; Arnott y Rowse, 2009; Calthrop y Proost, 2006; Albert y Mahalel, 2006; Shiftan y Golani, 2005). En ellos se ha encontrado que los cobros por congestión producen gran rechazo por parte de los usuarios (Schaller, 2010); además, se ha observado que los costos de administrar esos sistemas de cobro son bastante altos, aun para los países desarrollados (Jansson, 2010). Sin embargo, la evidencia existente indica que los altos índices de elasticidad de la demanda por auto y la mayor disposición a pagar por las tarifas de parqueadero (Albert y Mahalel, 2006) auguran buenos resultados en la implementación de políticas tarifarias de parqueo, ya que los usuarios, al reducir el uso del automóvil en respuesta a incrementos del costo de parqueo, producen efectos positivos en algunas externalidades como accidentalidad (Márquez, 2010), contaminación y emisiones de gases de efecto invernadero (Chu y Tsai, 2011). Esto es particularmente cierto en el caso de los viajes al trabajo, en los cuales difícilmente los usuarios pueden cambiar el destino como respuesta a los incrementos de los costos de parqueo (Hensher y King, 2001).
Si bien hace varios años se estudia el tema (por ejemplo, Kanafani y Lan, 1988; Glazer y Niskanen, 1992), el impacto potencial de una política de precios de parqueo en la generación de viajes -especialmente en la elección modal- está ganando un mayor reconocimiento dentro de la investigación de gestión de la demanda de transporte (Kelly y Clinch, 2006). En el caso específico de Bogotá, ya se había concluido que una política de parqueo podría ser más favorable que una restricción por placas y que un sistema de cobro por congestión, pues una política tarifaria de parqueo presenta facilidad de control y posibilidad de iniciarla a corto plazo (Ardila, 1995); no obstante, se había advertido también que la propuesta podría ser inequitativa, al afectar más a unos grupos de la clase media que al resto de la sociedad y que, por lo tanto, se les debería compensar con un sistema de transporte público de mayor calidad.
El más reciente estudio mundial de tarifas de parqueo en las zonas céntricas de las ciudades (Moore, 2010) no ubica a ninguno de los países latinoamericanos en el ranking de los más costosos. Bogotá, en comparación con las demás ciudades de la región incluidas en el reporte (Buenos Aires, São Paulo, Río de Janeiro, Santiago, San José, Ciudad de México, Ciudad de Panamá y Lima), comparte la sexta posición con Buenos Aires en el análisis de tarifas diarias de parqueo; pero al evaluar la tarifa mensual, se ubica en el penúltimo lugar sólo por encima de Ciudad de Panamá. De acuerdo con Moore (2010), debido a la tendencia creciente de la demanda, se espera que en América Latina se incrementen las tarifas de parqueadero en los próximos años; pero no se evalúa la manera como esos incrementos podrían afectar el comportamiento de los usuarios y, en consecuencia, la congestión de las ciudades.
Aunque existen varias técnicas para estudiar el comportamiento de los individuos frente a las políticas de tarificación, el uso de encuestas de preferencias declaradas ha sido ampliamente difundido en el análisis de la tarificación del parqueo (Albert y Mahalel, 2006; Hensher y King, 2001; Tsamboulas, 2001), ya que con los datos recopilados se pueden estimar con éxito modelos de elección discreta para estudiar la demanda de transporte (Hess, 2005; Orro, 2005), las elasticidades y la disposición a pagar de los individuos por el mejoramiento de ciertos atributos del modelo (Huang, 2008).
Al aplicar esa técnica, el presente trabajo investiga acerca del comportamiento de los usuarios frente a situaciones hipotéticas en las que se proponen cambios en las tarifas de parqueo en una zona céntrica de Bogotá, y mediante la construcción de modelos de elección discreta se determina la elasticidad de la demanda por auto frente a cambios en las tarifas de parqueo. Se espera que los resultados obtenidos con esta investigación ayuden a perfeccionar medidas que desincentiven el uso del auto a través de la gestión del parqueo y que produzcan además un manejo más eficiente del espacio disponible.
1. Modelos de elección discreta
Además de los estudios apoyados en las tradicionales encuestas origen y destino, las evaluaciones de demanda de transporte utilizan modelos de elección discreta, cimentados en la teoría de la maximización de la utilidad aleatoria, que parten de una simplificación de las decisiones del viajero para tratar analíticamente su comportamiento (Train, 2003) y, a través de modelos matemáticos de creciente complejidad, elaborar prognosis probabilísticas de elecciones en situaciones determinadas (Orro, 2005). Para la calibración de estos modelos es necesario obtener datos mediante la aplicación de encuestas específicas, que pueden ser de preferencias reveladas o de preferencias declaradas (Hensher et al., 1999), considerando la complejidad del proceso de elección (Cantillo y Ortúzar, 2005).
Aunque recientemente se han desarrollado modelos y teorías del comportamiento para tratar de explicar las decisiones que se relacionan con el ámbito económico y psicológico (Kahneman, 2003), casi siempre la modelación de las decisiones de los usuarios sigue una secuencia de elecciones jerarquizadas, como se describe en Bates (2000) y que puede ser resumida así: definición del problema de elección, generación de alternativas, evaluación de los atributos de las alternativas y elección y ejecución de la alternativa elegida (Ben-Akiva y Lerman, 1985).
No obstante, es evidente que los individuos no realizan este proceso siempre que deben efectuar una elección, sino que pueden omitirlo y tomar una decisión por hábito, convencionalismo social o intuición, por ejemplo (Orro, 2005). En cualquier caso, estos comportamientos pueden describirse mediante un proceso de elección en el que el decisor genera una única alternativa; para ello se debe tener en cuenta quién es el decisor, cómo se genera el conjunto de alternativas disponibles, qué atributos caracterizan las alternativas y qué reglas determinan la elección. Inicialmente, lo habitual era usar modelos agregados (Domencich y McFadden, 1972), pero en las últimas décadas los modelos de elección de modo de transporte han adoptado un enfoque desagregado, considerando el proceso a escala individual (Orro, 2005; Train, 2003).
Siguiendo este enfoque, en los modelos de elección discreta se representa el comportamiento de un individuo n que se enfrenta a la elección de una única alternativa i, entre un conjunto finito I de alternativas disponibles (Train, 2003).
El individuo busca maximizar su utilidad (Un), así que prefiere la alternativa i sobre la j si:
(1)
El investigador observa sólo algunos atributos de decisión xnj y algunos atributos del individuo sn, de manera que mientras el problema es determinístico para el individuo. No lo es así para el investigador, quien tratará la función de utilidad con un error aleatorio ∈nj de media cero y por lo tanto:
(2)
Entonces, la utilidad representativa o sistemática Vnj es una función que requiere para su calibración el ajuste de los parámetros βque acompañan a las variables o atributos incluidos en la función de utilidad determinística (Orro, 2005).
Los distintos modelos de comportamiento de maximización de la utilidad aleatoria se diferencian principalmente en la especificación que suponen para la densidad de los factores no observados f(∈n). En consecuencia, los principales modelos de elección discreta son: (1) logit multinomial (MNL), con errores Gumbel, que no admite correlación entre alternativas ni entre elecciones y requiere homocedasticidad; (2) probit (MNP), cuyos factores no observados distribuyen conjuntamente normal; (3) modelos de valor extremo generalizados (GEV), que admiten patrones de correlación entre alternativas, como el Logit jerárquico o anidado (HL), en el que las alternativas se estructuran en grupos llamados nidos, de modo que los factores no observados tienen la misma correlación para las alternativas en el interior del nido y no existe correlación con las restantes (Orro, 2005); (4) Logit mixto (ML), donde los factores no observados se dividen en una parte que contiene la posible correlación y heterocedasticidad y otra parte que distribuye Gumbel, con la ventaja que este modelo puede aproximar a cualquiera de los otros (Train, 2003) y, por lo tanto, es completamente general.
2. Modelo Logit multinomial
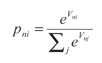
En el modelo Logit multinomial, al suponer que los términos de error ∈nj. distribuyen en forma idéntica e independiente Gumbel la probabilidad de que un individuo n elija la alternativa i, viene dada por:
(3)
Donde, Vnj es la utilidad representativa o sistemática. En la mayor parte de los modelos de elección discreta que se emplean en la actualidad se especifican funciones lineales y se considera que los parámetros β son constantes para todos los individuos, pero pueden variar entre las alternativas (Train, 2003), así:
(4)
Para estimar el modelo Logit multinomial se debe observar una muestra de las elecciones de n individuos, y sobre ella aplicar la técnica de estimación por máxima verosimilitud. La probabilidad de que un individuo elija la alternativa que efectivamente escogió está dada por:
(5)
Donde, Yni toma el valor de 1 si el individuo n elije la alternativa i, y 0 en otro caso. Asumiendo que las decisiones de los individuos son independientes entre sí, la probabilidad que cada individuo en la muestra elija la alternativa que se observó está dada por:
(6)
Donde, βes el vector que contiene los parámetros del modelo. Entonces, la función de log-verosimilitud queda así:
(7)
El proceso de calibración consiste en estimar los coeficientes β, tomando como estimadores aquellos valores que maximicen la verosimilitud de la muestra utilizada (Train, 2003). Este proceso puede hacerse utilizando paquetes comerciales o de uso libre como Biogeme (Bierlaire, 2009). Cuando se alcanza la convergencia y se obtienen los valores que maximizan la verosimilitud, se debe cumplir que:
(8)
Esto significa que los estimadores máximo-verosímiles son aquellos valores de βque satisfacen las condiciones de primer orden. La selección del mejor modelo se basa en el examen y comparación de algunos indicadores, como la consistencia de signos, la significancia de los estimadores, medidas de bondad de ajuste mediante los índices de razón de verosimilitud p y p2 (Ortúzar y Willumsen, 2001) y la aplicación del test de razón de verosimilitud para comparar modelos más complejos frente a otros más sencillos que pueden obtenerse mediante restricciones lineales (Ben-Akiva y Lerman, 1985, citados por Orro, 2005).
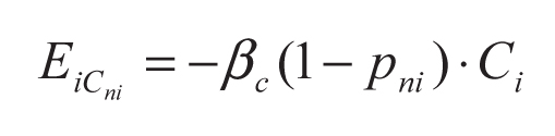
Una vez que el mejor modelo es elegido, además de su empleo para pronósticos de elecciones en diferentes escenarios, puede aprovecharse a fin de medir elasticidades respecto a diferentes variables, como tarifas y demás atributos (Orro, 2005). Así, la variación porcentual en la probabilidad de utilizar una alternativa i en cuanto a la variación porcentual del costo se calcula como:
(9)
Donde βc es el coeficiente estimado del costo, pni es la probabilidad de que el individuo n decida realizar su viaje en el modo i y Ci es el costo medio de la alternativa evaluada.
3. Procedimiento experimental
El objetivo principal fue determinar la elasticidad entre el precio del parqueo y la utilización del auto particular en un sector específico de Bogotá. Para hacerlo fue necesario considerar los efectos cruzados entre los atributos de los modos de transporte disponibles y, en especial, aislar el efecto del costo de parqueo en la utilización del auto, situación muy difícil de conseguir por medio de la observación directa de las elecciones de los individuos. Por tal razón, el proceso investigativo aplicó la técnica de preferencias declaradas y con los datos recopilados se procedió a estimar modelos econométricos de elección discreta del tipo Logit multinomial y Logit mixto. Finalmente, se calcularon las elasticidades de interés con base en el modelo seleccionado.
La determinación de la zona de estudio se basó en el análisis comparativo de distintas zonas de la ciudad de Bogotá, y tuvo en cuenta aspectos como la compatibilidad con otros estudios (Moore, 2009; Guerrero y Ruiz, 2003), la influencia comercial, alta demanda de parqueo y presencia de sectores empresariales. Luego de este análisis se llevó a cabo la investigación en la Localidad de Santafé, específicamente en la zona de San Victorino, que limita al norte con la avenida Jiménez, al occidente con la avenida Caracas, al sur con la calle 10 y al oriente con la carrera 10.
El instrumento de toma de información utilizado se estructuró en dos partes: la primera reveló información general del individuo y del último viaje realizado; mientras que la segunda planteó el experimento de preferencias declaradas. Las variables estudiadas en la primera parte fueron: sexo, edad, ocupación, ingreso mensual, posesión y tenencia del auto, modelo del vehículo, cilindrada del vehículo, duración del viaje, suma pagada por el servicio de parqueadero, distancia recorrida del parqueadero al sitio de trabajo y duración del servicio de parqueadero. El diseño experimental utilizado en la segunda parte de la encuesta se explica a continuación.
3.1 Diseño experimental
Antes de proceder con el diseño definitivo del experimento de preferencias declaradas se aplicó una encuesta preliminar a 31 usuarios de parqueaderos en el centro de Bogotá, para determinar sus características relevantes y conocer la forma como los individuos eligen un modo de transporte determinado entre las alternativas disponibles para viajar, juzgando atributos como el costo de parqueo, distancia de caminata del parqueadero al sitio de destino, motivo del viaje y duración del servicio de parqueadero. Con el procesamiento de esta información preliminar se identificaron las variables relevantes a considerar en el diseño de la prueba piloto y se establecieron los umbrales de la disposición a pagar por la prestación del servicio de parqueo.
La prueba piloto se diseñó como un juego de elección entre auto particular y transporte público con tres alternativas: auto particular y pago de parqueadero (APP), auto particular y parqueo en la calle (APC) y servicio de transporte público (STP). El experimento fue aplicado a personas con disponibilidad de usar el auto como alternativa de movilidad y, dadas las condiciones del viaje, se supuso apropiado excluir modos de transporte no motorizados, a fin de garantizar que el conjunto de elección fuera mutuamente excluyente, exhaustivo y finito (Train, 2003).
El experimento introdujo aquellos atributos con influencia en la decisión de usar o no auto y, por lo tanto, de usar o no parqueadero, por ejemplo: costo de parqueo, distancia de caminata, tiempo de viaje y duración del servicio de parqueadero. Todos los atributos se trataron con tres niveles, excepto la distancia de caminata, que se estudió únicamente con dos niveles. Esta configuración dio un total de 54 tratamientos (33.21), de los cuales fueron elegidos nueve para aplicar el experimento con base en los criterios de diseño de Koçur et al. (1982) y cumplir con las exigencias de ortogonalidad, balance de niveles, traslape mínimo y balance de utilidades (Zwerina et al., 2005).
La prueba piloto se aplicó a 20 individuos que viajaron en auto con motivo trabajo a la zona de San Victorino, utilizando dos diseños para representar viajes de distinta duración, con el fin de aproximar los experimentos a las verdaderas condiciones de los viajeros. Los datos recopilados indicaron que la alternativa APC no era relevante para los individuos, así que no se consideró en el diseño definitivo. Para confirmar la eficiencia del diseño experimental propuesto se estimó preliminarmente un modelo MNL, que permitió comprobar la consistencia de signos de los parámetros e incluso la significancia de algunos estimadores, a pesar de los pocos datos acopiados. El diseño definitivo para los viajes cortos se presenta en la Tabla 1. Para los viajes largos se utilizó el mismo diseño experimental, pero se cambiaron los tiempos viaje en auto a 30, 40 y 50 minutos, y los tiempos de viaje en transporte público a 40, 50 y 60 minutos, respectivamente.
Las encuestas definitivas se aplicaron en el sector de San Victorino en mayo del 2010 a un total de 60 individuos con disponibilidad de auto. Cada encuestado aportó 9 observaciones de preferencias declaradas, que conformaron una muestra de 60 viajes reportados y 540 seudoindividuos observados.
3.2 Especificación y estimación de modelos
El componente determinístico de la utilidad se especificó como una función lineal, que es la especificación más habitual (Orro, 2005). Se calibraron varios modelos con el programa Biogeme 1.8 (2009), considerando modelos MNL y ML mediante la especificación de componentes aleatorios. Los valores de las variables principales fueron tomados directamente del diseño experimental, mientras que otras variables recibieron un tratamiento adecuado para su incorporación en los modelos, tal como la variable "propiedad del vehículo", que tomó el valor de 1 si el auto es propio y 0 en otros casos.
La comparación de modelos equivalentes se hizo con el test de razón de verosimilitud (LR), que indica que cuando LR ≤ χr,α se debe preferir el modelo restringido en lugar del modelo más complejo:
(10)
Donde l(βr) es la log-verosimilitud en convergencia del modelo restringido y l(β) es la log-verosimilitud en convergencia del modelo más complejo con r grados de libertad (restricciones lineales).
4. Resultados y discusión
Para lograr una mejor caracterización de la zona estudiada se inventariaron parqueaderos, tal como se muestra en la Tabla 2, y se encontró un total de 285 espacios de estacionamiento y una tarifa promedio de 47 $/min, la cual concuerda con la estimación hecha por (Moore, 2010), si se toma un promedio de 7 horas diarias de parqueo.
Del total de encuestados se encontró una distribución mayoritaria de hombres (67%), ligeramente superior a la distribución modal de los viajes por género de la encuesta de movilidad de Bogotá (C&M et al., 2006), que señaló una distribución por género para el modo auto de 58% de hombres frente al 42% de mujeres. La edad promedio de las personas entrevistadas se ubicó en 44 años, en general con ingresos superiores a 3 salarios mínimos mensuales legales vigentes.
Respecto a la caracterización de los vehículos se encontró que el 80% de los autos es propio y que el 20% restante corresponde a un régimen de propiedad familiar. La edad promedio de los vehículos se ubicó en 10 años, levemente menor a la que había reportado la Cámara de Comercio de Bogotá (2007), de 13,5 años, y se encontró que la mediana de la cilindrada es de 1400 cm3, con una desviación de 500 cm3. En el caso de los autos propios se obtuvo una correlación positiva de 0,614 entre la cilindrada y el ingreso de los individuos.
En cuanto al uso de parqueaderos, se encontró que en promedio los usuarios mantienen sus vehículos estacionados entre seis y ocho horas diarias, lo cual es consistente con el horario laboral y, por lo tanto, se supone razonable. Se hizo la estimación de modelos MNL (Tabla 3) y ML, aunque en el caso de los modelos mixtos se obtuvo un resultado inadecuado, ya que la especificación de los coeficientes aleatorios en ningún caso dio significativa.
Efectuado el escalafonamiento de los modelos calibrados se encontró que el mejor de ellos es el MNL-5, pues presenta signos consistentes y coeficientes significativos; además, al ser comparado con un modelo más sencillo como el MNL-2, se dedujo que es estadísticamente superior, puesto que la aplicación del test de razón de verosimilitud (10), con dos restricciones lineales (edad del vehículo y edad de los individuos), arrojó un valor de 24.084 que, al ser superior al valor crítico de 5.991, indica que se debe preferir el modelo más complejo, en este caso el MNL-5.
El modelo seleccionado, además de los atributos costo y distancia de caminata, incluyó otras variables de interés, como la edad del vehículo y la cilindrada que, tal como se comprobó en el análisis estadístico de los datos, puede ser vista como una aproximación del ingreso. Todos los parámetros estimados en el modelo elegido tienen un nivel de confianza superior al 97%; en consecuencia, la experimentación que se haga con el modelo se considera válida estadísticamente.
Al aplicar el modelo MNL-5 con base en los valores medios de las variables contenidas en las funciones de utilidad (Tabla 4) se encontró que el auto particular sería utilizado en el 56,3% de los viajes, mientras que el servicio público participaría con el 43,7%. Este comportamiento es ligeramente diferente al reparto obtenido por medio de las encuestas, donde el 31% de los encuestados declaró usar el servicio público y el 69% restante el auto particular. En realidad esta diferencia no representa un problema serio, ya que al tratarse de un modelo no lineal, este método de agregación "ingenuo" siempre sesga los resultados (Ortúzar y Willumsen, 2001).
Al variar el costo de parqueo, manteniendo todo lo demás constante, se obtuvo la Figura 1, que muestra, bajo los supuestos del modelo calibrado, cómo varía la participación del auto en la medida que crece el costo de parqueo.
La elasticidad entre el costo de parqueo y el uso del auto, calculada con base en las cuantías de referencia de la Tabla 4, dio un valor de -0,13496, que si bien puede calificarse como una elasticidad baja (Litman, 2007), se considera razonable si se compara con estándares internacionales que ubican este tipo de elasticidades entre -0,1 y -0,3 (Litman, 2007; Vaca y Kuzmyak, 2005; Kuzmyak et al., 2003). Debe advertirse, sin embargo, que este valor podría cambiar si se utiliza otra especificación, pues los parámetros estimados no sólo dependen de los valores de los atributos, sino de la propia especificación del modelo (Márquez y Jaimes, 2009).
El nivel de ingreso de los individuos no pudo incluirse en el modelo y por lo tanto no fue posible comprobar de forma directa si una política de gestión de precios de parqueo afectaría más a grupos con menores ingresos (Ardila, 1995). Sin embargo, al admitir que la cilindrada es una adecuada aproximación del poder adquisitivo de los individuos, se determinó que individuos con mayores ingresos serían menos sensibles a la medida de gestión propuesta (Figura 2).
Finalmente, por tratarse de un indicador de interés, se calculó la elasticidad entre la distancia de caminata desde el parqueadero al lugar de trabajo, consiguiendo un valor de -0,61497, que refleja una gran sensibilidad de los usuarios del auto con relación a la distancia que deben caminar desde el parqueadero, y aunque no se validó este resultado respecto a otros estudios, deja entrever otra estrategia de gestión para tratar de reducir el uso del auto en las ciudades.
5. Conclusiones
Se determinó la elasticidad entre el costo de parqueo y el uso del auto, con base en información recopilada en una zona céntrica de la ciudad de Bogotá. El procedimiento usado se apoyó en un experimento de elección discreta, diseñado y aplicado siguiendo la técnica de preferencias declaradas.
Se eligió un modelo Logit multinomial con seis parámetros que incluyen: una constante específica para el servicio de transporte público; dos variables modales genéricas: costo y distancia de caminata; dos variables específicas para el modo auto: cilindrada y edad del vehículo, y un parámetro que introduce en el modelo la edad de los individuos. El nivel de ingreso no pudo evaluarse de manera directa, ya que el coeficiente de esta variable no fue significativo cuando se incluyó en los modelos, posiblemente a causa del recelo de los individuos para dar a conocer su verdadero poder adquisitivo; por tal razón, se decidió incorporar la cilindrada de los vehículos como una aproximación al poder adquisitivo de los individuos, bajo el entendido de que a mayor poder adquisitivo, es posible obtener un auto de mayor cilindrada.
La aplicación del modelo con base en los valores de referencia de cada alternativa arrojó un reparto modal de 56,3% para el auto y 34,2% para el servicio público, y aunque no se utilizó una muestra de validación, se comprobó la consistencia del modelo respecto al fundamento teórico subyacente.
Los resultados muestran que la elasticidad entre el costo de parqueo y el uso del auto, para los valores medios de las variables del modelo, es de -0,13496, y aunque ha sido calificada como una elasticidad baja, se considera razonable si se compara con estándares internacionales. Se encontró también que los individuos con mayor poder adquisitivo serían menos sensibles a los incrementos de las tarifas de parqueo, lo cual respalda la tesis que sugieren algunos investigadores, en el sentido que medidas de esta naturaleza afectan más a grupos con menores ingresos.
Aunque el modelo estimado tiene un nivel de confianza superior al 97%, no se puede afirmar que los resultados obtenidos sean plenamente concluyentes, así que se recomienda aplicar el estudio en otras zonas de Bogotá y examinar con mayor detalle el efecto que tendría en el uso del auto una política de localización de parqueaderos en los sectores más congestionados de las ciudades.
Referencias
ALBERT, G. y MAHALEL, D. Congestion tolls and parking fees : A comparison of the potential effect on travel behaviour. Transport Policy, 2006, vol. 13, pp. 496-502. [ Links ]
ARDILA, A. Control de la congestión vehicular en Bogotá con herramientas microeconómicas. Desarrollo y Sociedad, 1995, núm. 35, pp. 7-26. [ Links ]
ARNOTT, R. y ROWSE, J. Downtown parking in auto city. Regional Science and Urban Economics, 2009, vol. 39, pp. 1-14. [ Links ]
BATES, J. History of demand modelling. En: HENSHER, D. A. y BUTTON, K. J. (eds.). Handbook of Transport Modelling. Amsterdam: Pergamon, 2000, pp. 11-33. [ Links ]
BEN-AKIVA, M. y Lerman, S. R. Discrete Choice Analysis: Theory and Application to Travel Demand. Cambridge: The MIT Press, 1985. [ Links ]
BIERLAIRE, M. Estimation of discrete choice models with BIOGEME 1.8 [documento en línea]. École polytechnique fédérale de Lausanne EPFL, 2009. http://transp-or2.epfl.ch/biogeme/doc/tutorial.pdf [consulta: 08-03-2010] [ Links ].
BONSAN, P y YOUNG, W Is there a case for replacing parking charges by road user charges? Transport Policy, 2010, vol. 17, pp. 323-334. [ Links ]
CALTHROP, E. y PROOST, S. Regulating on street parking. Regional Science and Urban Economics, 2006, vol. 36, pp. 29-48. [ Links ]
CÁMARA DE COMERCIO DE BOGOTÁ. La oferta de transporte en Bogotá [libro en línea].Bogotá: Observatorio de Movilidad, 2007. http://camara.ccb.org.co/documentos/3224_capitulo_2_parte_1.pdf [consulta: 18-06-2010] [ Links ].
CANTILLO, V y ORTÚZAR, J. D. A Semi-compensatory discreet choice model with explicit attribute thresholds of perception. Transportation Research Part B, 2005, núm. 39, pp. 641-657. [ Links ]
C & M; DUARTE GUTERMAN & CIA. Caracterización socioeconómica de Bogotá y la región-V8 Formulación del plan maestro de movilidad para Bogotá D.C., que incluye (ordenamiento de estacionamientos [documento en línea]. Bogotá: Secretaría de Tránsito y Transporte, 2006. http://www.movilidadbogota.gov.co/hiwebx_archivos/ideofolio/06-CaracScioecoBta_15_1_40.pdf [consulta: 18-06-2010] [ Links ].
CHU, C.-P y TSAI, M.-T. A study of an environmental-friendly parking policy. Transportation Research Part D, 2011, vol. 16, pp. 87-91. [ Links ]
DOMENCICH, T. y McFADDEN, D. A Disaggregated Behavioral Model of Urban Travel Demand. Report No. CRA-156-2. Cambridge: Charles River Associates, 1972. [ Links ]
ELIASSON, J. A cost-benefit analysis of the Stockholm congestion charging system. Transportation Research A, 2009, vol. 43, núm. 4, pp. 468-480. [ Links ]
GLAZER, A. y NISKANEN, E. Parking fees and congestion. Regional Science and Urban Economics, 1992, vol. 22, núm. 1, pp. 123-132. [ Links ]
GUERRERO, V. A. y RUIZ, J. D. Reordenamiento del sistema actual de estacionamiento en vía para sectores de alta demanda en Bogotá D. C. Tunja: Universidad Pedagógica y Tecnológica de Colombia, 2003. [ Links ]
HENSHER, D. A. y KING, J. Parking demand and responsiveness to supply, pricing and location in the Sydney central business district. Transportation Research A, 2001, vol. 35, pp. 177-196. [ Links ]
HENSHER, D. A.; LOUVIERE, J. J. y SWAIT, J. Combining Sources of Preference Data. Journal of Econometrics, 1999, vol. 89, pp. 197-221. [ Links ]
HESS, S. Advanced discrete choice models with applications to transport demand. London: University of London, Centre for Transport Studies, Imperial College London, 2005. [ Links ]
HUANG, J.-C. Semi-parametric discrete choice measures of willingness to pay. Economics Letters, 2008, vol. 101, pp. 91-94. [ Links ]
JANSSON, J. O. Road pricing and parking policy. Research in Transportation Economics, 2010, vol. 29, pp. 346-353. [ Links ]
KAHNEMAN, D. Maps of bounded rationality, prize lecture. En: FRÄNGSMYR, T. (ed.). Les Prix Nobel. The Nobel Prizes 2002. Stockholm: Nobel Foundation, 2003. [ Links ]
KANAFANI, A. y LAN, L. H. Development of pricing strategies for airport parking: a case study at San Francisco airport. InternationalJournal of Transport Economics, 1988, vol. 15, pp. 55-76. [ Links ]
KELLY, J. A. y CLINCH, J. P. Influence of varied parking tariffs on parking occupancy levels by trip purpose. Transport Policy, 2006, vol. 13, pp. 487-495. [ Links ]
KOÇUR, G. ; ADLER, T. ; HYMAN, W y AUDET, E. Guide to forecasting travel demand with direct utility measurement, UMTA. Washington: USA Department of Transportation, 1982. [ Links ]
KUZMYAK, J. R.; WEINBERGER, R.; PRATT, R.H. y LEVINSON, H. S. Traveler response to transport system changes. En: Parking management and supply. [TCRP Report 95]. Washington: Trasnportation Research Board, 2003. [ Links ]
LEVINE, J. y GARB, Y Congestions pricing's conditional promise: promotion of accessibility or mobility? Transport Policy, 2002, vol. 9, pp. 179-188. [ Links ]
LITMAN, T. Transportation elasticities - how prices and otherfactors affect travel behavior. s. l.: Victoria Transport Policy Institute, 2007. [ Links ]
MÁRQUEZ, L. G. Metodología para valorar los costos externos de la accidentalidad en proyectos de transporte. Ingeniería y Universidad, 2010, vol. 14, núm. 1, pp. 161-176. [ Links ]
MÁRQUEZ, L. G. y JAIMES, H. Modelo de demanda para un tren de pasajeros entre Tunja y Bogotá. Revista de Ingeniería, 2009, núm. 30, pp. 16-24. [ Links ]
MOORE, R. Parking rates show surprising resilience - around the globe [documento en línea]. Colliers International, 2009. http://www.colliers.com/content/globalcolliersparkingratesurvey2009[1].pdf [consulta: 02-03-2010] [ Links ].
MOORE, R. Parking remains expensive for the world's global cities [documento en línea]. Colliers International, 2010. http://www.colliers.com/content/ColliersInternationalGlobalParking RateSurvey2010_L.pdf [consulta: 02-09-2010] [ Links ].
ORRO, A. Modelos de elección discreta en transportes con coeficientes aleatorios. Coruña: Universidad de A Coruña, Escuela Técnica Superior de Ingenieros de Caminos, Canales y Puertos, 2005. [ Links ]
ORTÚZAR, J. D. y WILLUMSEN, L. G. Modelling transport. 3rd ed. West Sussex: John Wiley and Sons, 2001. [ Links ]
SCHALLER, B. New York City's congestion pricing experience and implications for road pricing acceptance in the United States. Transport Policy, 2010, vol. 17, pp. 266-273. [ Links ]
SHIFTAN, Y. y GOLANI, A. The effect of auto restrain policies on travel behaviour. Transportation research record.Journal of the Transportation Research Board, 2005, núm. 1932, pp. 156-163. [ Links ]
TRAIN, K. Discrete choice methods with simulation. Cambridge: Cambridge University Press, 2003. [ Links ]
TSAMBOULAS, D. A. Parking fare thresholds: a policy tool. Transport Policy, 2001, vol. 8, pp. 115-124. [ Links ]
VACA, E. y KUZMYAK, J. R. Parking pricing and fees, chapter 13, TCRP Report 95 [documento en línea]. Transit Cooperative Research Program, Transportation Research Board, Federal Transit Administration, 2005. http://www.trb.org/publications/tcrp/tcrp_rpt_95c13.pdf [consulta: 06-06-2010] [ Links ].
ZHANG, J. et al. Capturing Travelers' Stated Mode Choice Preferences Under Influence of Income in Yangon City, Myanmar. Journal of Transportation Systems Engineering and Information Technology, 2008, vol. 8, núm. 4, pp. 49-62. [ Links ]
ZWERINA, K.; HUBER, J. y KUHFELD, W E. MR-2010E - A General Method for Constructing Efficient Choice Designs [documento en línea]. Ludwigshafen, Germany: SAS Institute, 2005. http://support.sas.com/techsup/technote/mr2010e.pdf[consulta: 01-03-2010] [ Links ].





























