Services on Demand
Journal
Article
Indicators
-
Cited by SciELO -
Access statistics
Related links
-
Cited by Google -
Similars in
SciELO -
Similars in Google
Share
Revista Colombiana de Biotecnología
Print version ISSN 0123-3475
Rev. colomb. biotecnol vol.17 no.2 Bogotá July/Dec. 2015 Epub Aug 09, 2021
https://doi.org/10.15446/rev.colomb.biote.v17n2.42758
Artículos/Investigación
Capacidad antifúngica de sobrenadantes libres de células obtenidos de la fermentación de un sustrato de "panela" con gránulos de kéfir de agua
* Grupo BIOALI, Departamento de Alimentos, Facultad de Ciencias Farmacéuticas y Alimentarias, Universidad de Antioquia. Calle 67 No. 53-108. Medellín, Colombia. carlos.caro@udea.edu.co
** Cátedra de Microbiología, Facultad de Ciencias Exactas, Universidad Nacional de La Plata. Calle 47 y 115. (1900). La Plata, Argentina. anleon@biol.unlp.edu.ar
El kéfir de agua (KA) es una bebida fermentada medianamente ácida elaborada con soluciones azucaradas y fermentada por un consorcio de microorganismos, principalmente bacterias ácido lácticas (BAL) y levaduras (LEV), embebidas en un polisacárido llamado gránulo de KA. La presencia de hongos y sus toxinas es un problema de la producción de alimentos, como Aspergillus ochraceus y sus micotoxinas especialmente en café y vino. Entre algunas alternativas que se han evaluado para su inhibición se incluyen las bacterias ácido lácticas y productos fermentados en general.
El objetivo principal de esta investigación fue evaluar la capacidad del KA en inhibir o retrasar el crecimiento de A. ochraceus. Se emplearon 8 sobrenadantes libres de células (SLC) obtenidos de diferentes fermentaciones de panela con gránulos de KA y con diferentes concentraciones de ácidos orgánicos (láctico y acético). Se hicieron fermentaciones con gránulos de KA en solución de panela por periodos de 32,5 h, a 25, 30 y 37 °C. Se determinaron la cinética de acidificación; el incremento de biomasa y se hizo el recuento de los grupos de microorganismos que componen el gránulo. A 25 °C se determinó el mayor aumento de biomasa (92%). La temperatura de fermentación afectó el recuento de los microorganismos que conforman el gránulo, principalmente las BAL, disminuyendo su cantidad a la máxima temperatura de fermentación (37 °C) (1x10^6 UFC ml-1), comparado con la mínima temperatura (25 °C) (6x10^7 UFC ml-1). El fermento que presentó mayor actividad antifúngica fue el SLC5 (pH: 3,2; temperatura de fermentación: 30 °C). El poder inhibitorio se atribuyó a los ácidos orgánicos producidos durante la fermentación, aunque no se puede descartar que hayan actuado otras sustancias no cuantificadas.
Se pudo comprobar que el KA puede fermentar y aumentar su biomasa en un sustrato como el agua de panela y que sus SLC tienen la capacidad de reducir el crecimiento de A. ochraceus.
Palabras clave: ácido láctico; ácido acético; antifúngico; Aspergillus ochraceus; kéfir de agua; panela
Water kéfir (WK) is a moderately sour fermented beverage elaborated in sugar-containing solutions through fermentation by a microorganism consortium, principally lactic acid bacteria (LAB) and yeasts, embedded in a matrix of polysaccharide so-called WK grains. The presence of fungi and their toxins it is a problem for the food industry, such as Aspergillus ochraceus and their mycotoxin production especially in coffee and wine. Some alternatives that have been evaluated for their inhibition include lactic acid bacteria and generally fermented products. The main objective was to evaluate the capacity of WK to ferment a Colombian beverage made with Panela and to assess capability of this product to retard the germination of a common toxigenic fungi like Aspergillus ochraceus. 8 cell-free supernatants (CFS) were obtained from separate fermentations and with different organic acids (OA) concentrations (e. g., lactic and acetic). Different fermentations were conducted with WK in Panela broth during 32.5 h periods at 25, 30, and 37°C. We determined the kinetics of acidification of WK along with the corresponding increment in biomass and conducted a quantitation of microorganisms groups that composed the grain. The greatest biomass increase occurred at 25 °C (92%); but the fermentation temperature affected the composition of microorganisms conforming the grain, with the quantity of LAB decreasing at the highest fermentation temperatures (37 °C) (1x10^6 cfu ml-1), compared with the minimum temperature (25 °C) (6x10^7 cfu ml-1). The CFS5 (pH 3.2; fermentation temperature 30 °C) exhibited the greatest antifungal activity. We attribute the inhibitory power of these ferments to the OA produced during fermentation, although we cannot discard the possibility of the action of other sub" stances not specifically quantified. We concluded that WK can grow and fermentate Panela broth and that its CFS can exert an antifungal effect against A. ochraceus
Key words: lactic acid; acetic acid; antifungal compounds; Aspergillus ochraceus; water kefir; panela
Introducción
El crecimiento de especies fúngicas es una de las causas más frecuentes del deterioro de los alimentos, conlleva grandes pérdidas económicas y puede desarrollar problemas en la salud pública debido a la producción de micotoxinas. Aspergillus ochraceus es un moho aislado de un amplio rango de alimentos, crece en climas cálidos y tropicales, y es productor de Ocratoxina A (OTA) (Soriano, 2007), una micotoxina nefrotóxica que también puede tener propiedades hepatotóxicas, teratogénicas e inmunosupresivas, clasificada por la IARC (International Agency for Research on Cancer) como posible carcinógeno humano (categoría 2B) (O'Callaghan et al., 2006). La OTA puede sobrevivir a procesos típicos en la industria de alimentos, encontrada en pan horneado (Scudamore et al., 2003), cerveza (O'Callaghan et al., 2006) y café (Frank, 1999; Urbano et al., 2001; Taniwaki et al., 2003; Martins et al., 2003; Batista et al., 2003; Suárez-Quiroz et al., 2004). Algunos fungicidas de origen químico son efectivos en el control del crecimiento de mohos perjudiciales, pero su uso se considera indeseable debido a la posibilidad de que permanezcan residuos peligrosos en las materias primas y/o alimentos, que ponen en riesgo la salud de los consumidores. Por lo tanto, la búsqueda de nuevos métodos de conservación de los alimentos ha sido direccionada hacia métodos más naturales. Por muchos años los consumidores han demandado la conservación de alimentos sin preservantes de origen químico. El uso de sustancias de origen biológico con propiedades antifúngicas podría ayudar a la industria de alimentos a cumplir este requerimiento. Una posible solución a estas demandas podría ser el empleo de productos acidificados naturalmente como como el kéfir, cuya actividad antifúngica y sus metabolitos se han estudiado previamente (Gamba et al., 2015; Miao et al., 2014; Garrote et al., 2000). El KA es una bebida fermentada medianamente ácida que entre otros compuestos contiene CO2 y etanol (Garrote et al., 2001) y para su elaboración se emplean soluciones azucaradas que son fermentadas por un consorcio de microorganismos, que se encuentran embebidos en una matriz de polisacárido conocido como gránulo de KA (Waldherr et al., 2010), con forma irregular y de aspecto gelatinoso. El consorcio de microorganismos está conformado por bacterias ácido lácticas (BAL), levaduras (LEV) y bacterias ácido acéticas (BAA) (Waldherr et al., 2010; Diniz, et al., 2003) que conviven en simbiosis.
La fermentación y la transferencia de los gránulos de KA pueden darse bajo condiciones no estériles, prácticamente sin riesgo de contaminarse. Dicha relación simbiótica es muy estable, ya que no permite un extenso crecimiento de microorganismos foráneos (Moinas, et al., 1980; Pidoux, 1989). Al parecer la estabilidad del gránulo se basa en el efecto del pH y la presencia de compuestos inhibitorios o sustancias antagónicas que actúan contra patógenos externos contaminantes (Pidoux, 1989). Los microorganismos embebidos en el gránulo de KA son capaces de producir ácido láctico, ácido acético y otros compuestos biológicamente activos que podrían inhibir el crecimiento de microorganismos patógenos e indeseables (Silva et al., 2009) a partir de la fermentación de un sustrato azucarado de cualquier tipo. En esta investigación se empleó panela, un edulcorante obtenido mediante la extracción y evaporación de los jugos de la caña de azúcar (Saccharum officinarum L) (Ministerio de la Protección Social, República de Colombia, 2006). Es un tipo de azúcar natural e integral, no centrifugado y sin refinar, más barato que la sacarosa (azúcar de mesa); y fue usado como sustrato para la fermentación por los gránulos de KA.
Una vez tiene lugar la fermentación del sustrato, se reducen gran cantidad de carbohidratos que son transformados principalmente a productos de bajo peso molecular que exhiben propiedades antimicrobianas, siendo los más comunes los ácidos orgánicos (AO) (Gerez et al., 2009). Su acción está basada en la "teoría de los ácidos débiles", debido a que pueden lograr la disminución del pH intracelular de microorganismos, por la acción de las porciones no disociadas de tales ácidos debido a su pKa (Bogaert & Naidu, 2000, León et al., 2012). Este fenómeno se debe a las propiedades hidrofóbicas que exhiben la mayoría de los AO, lo que les permite la libre difusión de su forma protonada a través de la membrana celular. Este proceso toma lugar espontáneamente debido a los gradientes de pH y osmolaridad que existen entre el interior y el exterior celular, siendo el pH intracelular más alto que el extracelular, por lo que los ácidos son libremente permeables en la membrana de los microorganismos, disociándose en el citoplasma y disminuyendo el pH por la liberación de protones (Bogaert & Naidu, 2000; León et al., 2012). Estos desestabilizan el pH intracelular rompiendo su neutralidad y el gradiente de la membrana celular (Salmond et al., 1984; León et al., 2012). La célula emplea su energía en forma de ATP para expulsar el protón y mantener su viabilidad, pero gasta esa energía que es necesaria para su cinética de crecimiento (Hunter & Segel, 1973; León et al., 2012). El principal objetivo de este estudio fue investigar la capacidad de sobrenadantes libres de células (SLC) obtenidos de la fermentación de una solución de panela (4,15 %m/v) por los gránulos de KA (10 %m/v), en inhibir o retrasar el crecimiento in vitro del moho toxigénico A. ochraceus AFUNL9 y FNSP. Otros objetivos que tuvo esta investigación fueron: i) Se comparó la actividad antifúngica de los productos fermentados por gránulos de KA con soluciones de panela acidificadas artificialmente con ácidos fuertes (HCl 3M) o con ácidos orgánicos puros (láctico y acético). ii) Se evaluaron las condiciones tecnológicas de fermentación con los gránulos de KA. iii) La producción de biomasa y iv) El recuento de microorganismos (BAL, levaduras y bacterias ácido acéticas) en cada una de las temperaturas de fermentación evaluadas (25, 30 y 37 °C).
Materiales y métodos
Cultivo de los gránulos de kéfir de agua
Los gránulos de KA fueron cedidos a través de la Cátedra de Microbiología de la Facultad de Ciencias Exactas, de la Universidad Nacional de La Plata (La Plata, Argentina). Éstos fueron cultivados continuamente cada 48 h en solución acuosa de panela recién preparada, previa ebullición, fermentada a 25 °C.
Proceso de fermentación
El sustrato empleado para la fermentación fue preparado con panela en polvo, obtenida en un supermercado local (Éxito®, Medellín, Colombia), usando agua de grifo como se hace en la preparación tradicional en Colombia. Todas las soluciones fueron calentadas hasta ebullición por un periodo de 1 min.
Se empleó una concentración de panela de 41,5 g L-1, similar a la empleada tradicionalmente. Cuando las soluciones alcanzaban la temperatura ambiente se inocularon con 10% m/v de gránulos de KA. Se empleó un blanco sin la adición de gránulos de KA. Todas las soluciones fueron fermentadas a tres diferentes temperaturas (25, 30 y 37 °C).
Determinación de las cinéticas de fermentación y del incremento de biomasa
Los valores de pH fueron determinados cada 30 minutos durante 12 h y luego a las 24, 28 y 32,5 h de fermentación con un potenciómetro digital (Thermo Electron Corp., USA). La biomasa fue determinada con el peso escurrido de los gránulos empleando una balanza analítica (Ohaus, USA) durante 10 días.
Identificación y relación de los grupos de microorganismos presentes en el kéfir de agua
Luego de realizar la fermentación del sustrato de panela por 32,5 h a tres temperaturas (25, 30 y 37 °C), la enumeración de los microorganismos viables en la bebida fermentada y preparada con 41,5 g L-1 de panela se llevó a cabo en tres diferentes medios de cultivo, De Man Rogosa y Sharpe (MRS) (Merck, Darmstad, Alemania) como medio para el crecimiento de BAL, agar-oxitetraciclina-glucosa-extracto de levadura (OGY) (Merck, Alemania) para las levaduras, y para el recuento de las BAA agar manitol, preparado con D-manitol (Sigma-Aldrich, St. Louis, MO, USA), extracto de levadura (Oxoid, Cambridge, Inglaterra), peptona (Dibico, México D.F. México), y agar (Merck, Alemania) (Hernández et al, 2008).
Obtención de los sobrenadantes libres de células
Cuando la fermentación alcanzó los pH finales, (tabla 1) establecidos por la duración de la fermentación a las tres temperaturas (25, 30 y 37 °C), las soluciones acuosas de panela fermentada por los gránulos de KA se filtraron por un tamiz con un tamaño de malla de 1 mm2, con el objeto de separar los gránulos del sustrato fermentado. Los fermentos obtenidos se centrifugaron a 6000 rpm por 15 minutos. (Hettich, Tuttlingen, Alemania) en tubos plásticos tipo Falcon de 15 ml de capacidad, para separar las bacterias y demás partículas tras la fermentación. Los sobrenadantes obtenidos se filtraron a través de una membrana estéril con un tamaño de poro de 0,45 μm (Advantec MFS, Dublin, CA, USA) usando un portafiltros de polisulfona estéril (Advantec MFS) con succión de aire para generar vacío. Algunos SLC (SLC3, SLC5 y SLC7) fueron sometidos a ebullición por 5 minutos. Todos los SLC (tabla 1) se almacenaron a -20 °C hasta su posterior empleo.
Análisis de los sobrenadantes libres de células
Los ácidos orgánicos (AO) (láctico y acético) y los carbohidratos (sacarosa, glucosa y fructosa) fueron analizados por HPLC (Agilent Technologies series 1200, Santa Clara, CA, USA) empleando una columna de intercambio iónico Aminex HPX-87H (Bio-Rad, Hercules, USA). Se utilizó como fase móvil H2SO4 0,008N a un caudal de 0,6 ml min-1 y a una temperatura de 35 °C. Se empleó como modo de detección el UV-Visible para el ácido láctico y el índice de refracción para el ácido acético y los carbohidratos. Los AO y los carbohidratos fueron identificados de acuerdo al tiempo de retención comparada con las soluciones estándar de ácido láctico (Merck, Alemania), ácido acético (Carlo-Erba, Italia) y de los carbohidratos sacarosa, glucosa y fructosa (Merck, Alemania).
Preparación del inóculo de Aspergillus ochraceus
Aspergillus ochraceus AFUNL9, aislado de muestras de cereales, proveniente de la cátedra de microbiología de la Universidad Nacional de la Plata (La Plata, Argentina) y A. ochraceus FNSP aislado de muestras ambientales y proveniente del laboratorio de Salud Pública de la Universidad de Antioquia (Medellín, Colombia); fueron cultivados en tubos con agar Sabouraud inclinado (Merck, Darmstadt, Alemania) a 25 °C hasta su esporulación. El inóculo de esporas se preparó por lavado de la superficie del agar con solución estéril de lauril sulfato de sodio (Merck, Alemania) al 0,01% (m/v) en solución de glucosa al 1% (m/v) (Carlo Erba, Milán, Italia). Se adicionaron diez mililitros de la solución sobre el cultivo, aflojando los conidios por medio de un raspado suave con espátula estéril y se realizaron diluciones seriadas. El número de conidios se determinó por recuento en cámara de Neubauer.
Bioensayo para la reducción de la germinación de los conidios de Aspergillus ochraceus
La reducción de la germinación (RG) de los conidios de A. ochraceus AFUNL9 y A. ochraceus FNSP se llevó a cabo en placas estériles y desechables de microdilución (96 pocillos) de fondo plano (Brand, Wertheim, Alemania) (Magnusson et al., 2003; Lavermicocca et al., 2000). La suspensión (10 μl) que contenía 104 conidios ml-1 fue adicionada a 190 μl de cada SLC en cada pocillo (tabla 1). Los ensayos se realizaron por octuplicado, usando como control el sustrato de panela sin fermentar (SSF) y que fue esterilizado por microfiltración al igual que los demás SLC. La RG de los conidios se determinó luego de una incubación por 48 h en una cámara húmeda a 25 °C. Para las lecturas de la DO se empleó un lector automatizado de microplacas para test de ELISA RT-2100C (Pioway, Nanjing, China) a una longitud de onda de 492 nm (Rojas et al., 2004). La actividad antifúngica de los SLC fue expresada como el %RG medida a una DO492 comparada con el control. El %RG se calculó empleando la ecuación 1:
Un %RG de los conidios mayor al 20% es considerada como positiva, la reducción es baja por debajo del 40%, es media entre el 40% y 70% y fuerte si es superior al 70% (Gerez et al., 2009).
Preparación de los símiles
Tres soluciones de panela (41,5 g L-1) fueron acidificadas artificialmente por la adición de ácidos láctico y acético en las cantidades reportadas en el análisis por HPLC. Dichas concentraciones correspondieron a: 2,1542 y 0,1408 g L-1 (para simular el SLC7); 2,1011 y 0,3835 g L-1 (para simular el SLC5); 0,6181 y 0,0375 g L-1 (para simular el SLC3) de acido láctico (Carlo-Erba, Italia) y ácido acético (Merck, Alemania), respectivamente. En otro grupo de experimentos, el pH de tres soluciones acuosas de panela (41,5 g L-1) fue ajustado a cada uno de los siguientes pH: 3,2; 3,5 y 4,0; empleando HCl 3 M (Merck, Alemania), para simular los valores de pH encontrados en algunos tratamientos con mayor efecto inhibitorio. El pH de los sobrenadantes se determinó a 25 °C con un analizador Orion 710A+ (Thermo Electron Corp.). Todas las soluciones de panela acidificadas artificialmente fueron centrifugadas y microfiltradas como se describió anteriormente.
Resultados y discusión
Cinética de pH
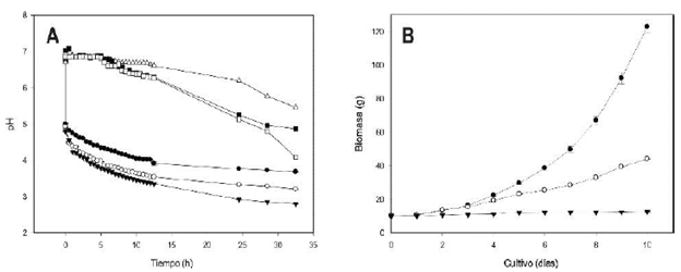
El pH descendió tan pronto como fueron adicionados al sustrato de panela los gránulos de KA y cómo siguió acidificándolo en el tiempo de fermentación a las tres temperaturas evaluadas (25, 30 y 37 °C). El control permaneció a un pH constante hasta presentar un leve descenso a partir de la hora 12,5; posiblemente desarrollado por levaduras que podrían contaminar durante las repetidas lecturas de pH al insertar el electrodo en la bebida. En general se observa (figura 1A) que la curva de acidificación tiene inicialmente una pendiente más pronunciada durante las primeras horas de fermentación, donde el pH desciende con mayor velocidad. Luego la pendiente de acidificación se hace menos pronunciada, y el pH desciende con menor velocidad hasta que presenta una tendencia a permanecer en un rango de valores muy cercanos, donde posiblemente la actividad metabólica de los microorganismos y la producción de ácidos podría resultar inhibitoria en el desarrollo de algunos microorganismos (Garrote, 1999). Se determinó que la panela es un sustrato adecuado para el cultivo de los gránulos de KA. Además, se encontró que el pH descendía más rápido a medida que se aumentó la temperatura.

Figura 1 (A): Cinética de pH para el sustrato de panela (4,15% de panela y 10% de gránulos de KA). •: 25 °C, O: 30 °C, ▼: 37 °C, A: blanco 25 °C, ■: blanco 30 °C, □: blanco 37 °C. (B): Incremento de la biomasa de los gránulos de KA (10%) en solución de panela (4,15%). •: 25 °C, O: 30 °C, T: 37 °C. Las barras de error representan la desviación estándar de un triplicado.
Algunos autores han reportado la disminución del pH en sustratos azucarados para que sean fermentados por el consorcio de microorganismos embebidos en el gránulo de KA. Silva et al. (2009) emplearon 10 g L-1 de diferentes azúcares sin refinar (demerara, morena y melaza) como sustrato de fermentación para el KA (inóculo del 0,6%), en los cuales analizaron el descenso del pH durante un periodo de 7 días, ajustando el pH inicial a 5 con HCl 0,1M. Estos autores determinaron el mínimo pH de 3,3 para el azúcar demerara, 3,4 para el azúcar morena y de 3,5 para la melaza, luego de 48 h de incubación a 25 °C. En esta investigación se encontraron niveles mínimos de pH de 3,7 en periodos más cortos de tiempo (32,5 h) a 25 °C y en los que se empleó panela como sustrato inoculado con 10% de gránulo de KA, lo que permite concluir que la panela es un medio adecuado para el cultivo de los gránulos de KA.
Usando kéfir de leche, Garrote (1999) reportó un descenso del pH luego de 48 h hasta un nivel de 4,5 cuando inoculó la leche con 1% de kéfir. En esta investigación, al emplear niveles de 1% de KA en el sustrato acuoso de panela, se logró obtener a las 32,5 horas de fermentación valores de pH de 4,3 y 4,2 (dato no mostrado) cuando dicha fermentación se hizo a 25 °C, e inclusive siendo inferiores estos niveles de pH cuando la fermentación se realizó a temperaturas más elevadas (30 y 37 °C). La mayor capacidad de descenso de pH del KA en comparación al kéfir de leche, puede deberse a la falta de proteínas, calcio y fosfatos en el sustrato de panela, que pueden actuar como sistemas buffer en una matriz alimenticia como la leche (Edward & Herod, 1994).
La disminución del pH es importante porque es un indicador de la acidificación debido a la conversión de carbohidratos a productos derivados del proceso fermentativo. Estos productos metabólicos son importantes a su vez, ya que su presencia puede ser considerada como uno de los medios principales y efectivos para la inhibición de microorganismos patógenos, por lo que se cuantificaron en este estudio.
Relación de microorganismos viables
Tal como se observa en la tabla 2 se encontró que las BAL tuvieron su máximo recuento a 25 y 30 °C; las levaduras estuvieron constantes y las BAA tuvieron sus mayores recuentos a 25 y 37 °C. En las fermentaciones realizadas a 25 y 30 °C se observó que las BAL fueron el grupo dominante. A diferencia de 37 °C donde hubo un incremento de las levaduras y una disminución de las BAA mostrando una reorganización diferente. Anteriormente se ha afirmado que la proporción de levaduras en el gránulo de KA representa de 2 a 5% de la flora total (Hallé et al., 1994), pero a esta temperatura, la proporción de los microorganismos cambió completamente, lo que podría traer consecuencias para la fermentación de la bebida porque se podría incrementar su contenido alcohólico. Además, la disminución de las BAL puede tener un efecto negativo en la producción del polisacárido que conforma el gránulo de KA. El reordenamiento en la relación de microorganismos de la bebida fermentada por los gránulos de KA a una temperatura de 37 °C, también podría ser atribuido a que, a esta temperatura se desencadenó una mayor actividad metabólica, en la cual hubo un mayor consumo de componentes metabolizables proveniente de la bebida de panela, y posteriormente un agotamiento de nutrientes consumidos por los microorganismos fermentadores, lo que a su vez se pudo traducir en muerte microbiológica y/o la perdida de la capacidad de crecimiento microbiano. Esto pudo ser evidenciado en primer lugar con una mayor producción de ácidos orgánicos y un mayor descenso del pH, y en segundo lugar en el recuento de la flora total de cada uno de los fermentos. A 25 °C se cuantificó un total de 6,4x107 UFC ml-1 de microorganismos viables totales (suma de todas las bacterias y levaduras), mientras que a 30 y a 37 °C se cuantificaron cantidades inferiores, correspondientes a 4x107 y 4x106 UFC ml-1, respectivamente. Estos resultados muestran que la temperatura de fermentación juega un rol crucial en la relación simbiótica de los microorganismos que componen el gránulo de KA. La disminución de la cantidad de microorganismos podría jugar un rol muy importante en el mantenimiento del peso a través de repiques sucesivos del gránulo (Garrote, 1999). Algunos investigadores también han reportado el contenido de microorganismos de bebidas azucaradas fermentadas con gránulos de kéfir. Texeira et al. (2010) fermentaron una solución al 5% de azúcar morena con gránulos de kéfir (10% aprox.) y luego de una fermentación por 24 h a 25 °C obtuvieron una relación de microorganismos en la bebida fermentada de 57,6% de BAL, seguido por las levaduras con un 30,9% y las BAA con un 11,5%. En ese ensayo como el reportado en ésta investigación, las BAL representaron el grupo dominante, pero se observa una relación diferente de cada porcentaje de microorganismos, siendo valores inferiores de BAL, si se lo compara con nuestros resultados (94%), obtenidos cuando la bebida de panela se fermentó a la misma temperatura (25 °C). Igualmente se observa que la cantidad de levaduras y BAA, es mayor a la encontrada en este estudio en la bebida fermentada bajo idénticas condiciones. Esta diferencia en la relación de microorganismos, se podría fundamentar en el origen y las condiciones de fermentación de los gránulos, pudiendo esto ser un factor determinante (Garrote, 1999). Sin embargo, se observa que hay un predominio de las BAL con respecto a los demás microorganismos cuantificados.
Tabla 2 Promedio del recuento de los microorganismos viables en el KA. UFC: unidades formadoras de colonias; BAL: Bacterias ácido lácticas; BAA: Bacterias ácido acéticas; Sci: Sustrato con inóculo; Ssi: Sustrato sin inóculo; ND: No detectable; ±: desviación estándar. Ensayos realizados por duplicado
Los resultados obtenidos a las temperaturas de fermentación de 25 y 30 °C, concuerdan con los reportados por Simova (2002) y Teixeira et al. (2010), quienes identificaron que las BAL eran el grupo de microorganismos dominante y más numeroso en el gránulo de kéfir de leche y kéfir de agua, respectivamente. Lo anterior indica que los microorganismos que se encontraban en un alto recuento en la matriz del polisacá-rido, pasaron a la bebida, debido posiblemente a su poca adherencia al gránulo (Jianzhong et al., 2009).
Producción de biomasa
En la figura 1B se observa la tasa de crecimiento de la biomasa expresada en gramos. Se demostró que la temperatura de incubación tuvo un efecto significativo (p<0,05) luego del cultivo por 10 días, obteniendo a 25 °C los mayores incrementos (123 ± 3,7 g). A 30 °C se obtuvo un peso promedio final de 44 ± 0,4 g. A 37 °C se obtuvo el menor incremento en la biomasa, con un peso promedio final de 13 ± 0,3 g, aumentando su biomasa luego de 10 días en tan solo 3 g, por lo que es posible afirmar que ésta no fue una temperatura óptima para la producción de biomasa de los gránulos. El gránulo de KA es capaz de fermentar durante años sustratos relativamente pobres en nitrógeno (Hallé et al., 1994), como resultó ser la panela cuando se analizó este parámetro en nuestro laboratorio (dato no mostrado). Por lo general, el azúcar disponible en los sustratos de fermentación habituales es la sacarosa, pero algunos microorganismos del gránulo son incapaces de metabolizarlo o lo hacen muy lentamente. En este sentido, las levaduras se benefician del metabolismo de las bacterias ya que muchas de ellas poseen las enzimas específicas para desdoblar este disacárido; y a su vez, las bacterias se benefician de las vitaminas y aminoácidos producidos por las levaduras y liberados luego de su lisis celular (Hallé et al., 1994). Diniz et al. (2003), realizaron una curva de incremento de la biomasa de gránulos de KA (5 g) cultivándolos en un sustrato compuesto de melaza (50 g L-1) a 25 °C, obteniendo luego de 10 días de incubación alrededor de 41 g, es decir, 88% de incremento de biomasa (%IB). En los experimentos realizados a 25 °C se obtuvo 92% de IB, demostrando la eficacia de nuestros gránulos y del sustrato de panela empleado para la fermentación. Estos resultados contrastan cuando se comparan con el kéfir de leche, y en el que se ha reportado que la más alta producción de biomasa se ha logrado cuando se realiza la fermentación a 37 °C, en vez de una temperatura de 25 °C (Zajšej & Goršek, 2011).
Los factores que afectan el incremento de la biomasa del gránulo de KA han sido poco estudiados, pero al contrastar con los resultados previamente obtenidos con el kéfir de leche, se podría asumir que si se mantiene en alto número la relación de BAL-LEV, presentes en la matriz del gránulo, se logra un buen incremento de la biomasa (Guzel-Seydi et al., 2011).
Estos resultados corroboran que la producción del polisacárido compuesto de dextrano que conforma el gránulo de KA, es mediada por las BAL, siendo ésta una de las tareas principales y más importantes para su mantenimiento (Pidoux, 1989). Los geles de dextrano tienen la habilidad de inmovilizar microorganismos y se pueden producir empleando para ello sustratos económicos que contenga azucares (Pidoux et al., 1992), como lo es la panela.
Metabolismo de carbohidratos
La sacarosa, glucosa y fructosa fueron analizadas en los SLC mediante HPLC. La sacarosa disminuyó con respecto al control (SSF) en todos los sobrenadantes examinados (figura 2). La glucosa y la fructosa no aumentan significativamente, debido posiblemente a su utilización en los procesos metabólicos de los microorganismos del gránulo de KA para producir ácido láctico principalmente. En el SLC8 (pH: 2,8; temperatura de obtención: 37 °C) se obtuvo la mayor disminución de la concentración inicial de sacarosa, aproximadamente en un 95%, seguido del SLC5 (pH: 3,2; temperatura de obtención: 30 °C) (74%) y el SLC2 (pH: 3,6; temperatura de obtención: 25 °C) (42%). Estos tres sobrenadantes tuvieron un tiempo de fermentación superior al resto de sobrenadantes empleados (tabla 1), y ese mayor tiempo de contacto entre los gránulos y el sustrato, puede explicar la mayor hidrólisis de la sacarosa y su posterior asimilación para la mayor producción de AO y demás productos del metabolismo de los microorganismos presentes. También se pudo emplear parte de la sacarosa para la formación del exopolisacarido (EPS) mediante enzimas dextransucra-sas (Salminen et al., 2004).

Figura 2 Cuantificación de carbohidratos y ácidos orgánicos en el sustrato sin fermentar (SSF) y los sobrenadantes libres de células (SLC). Las barras de error representan la desviación estándar de un duplicado. Barra negra: Sacarosa, Barra blanca: Glucosa, Barra gris: Fructosa, Barra Zig-Zag blanca: Ácido Láctico, Barra Zig-Zag gris: Ácido Acético.
Análisis de ácidos orgánicos
Con el fin de determinar si las diferencias en la inhibición fúngica se deben a las variaciones en la producción de los AO, los SLC se analizaron por HPLC y se determinó la cantidad de los ácidos láctico y acético.
Se observa (figura 2) que las cantidades de ácido láctico son superiores a las del ácido acético en todos los sobrenadantes obtenidos, posiblemente porque las BAL homofermentativas son más numerosas que las heterofermentativas y que las BAA (Teixeira et al., 2010); y que la cantidad de ácido láctico producido aumentó con el tiempo de incubación y la temperatura. Ninguno de estos AO se pudo cuantificar en el control (SSF). Pocos reportes han sido encontrados acerca de la cantidad de AO producidos por la fermentación de sustratos azucarados por gránulos de KA. En 2010, Teixeira et al., evaluaron los AO (láctico y acético) en una bebida hecha con azúcar morena (5% m/v) fermentada con gránulos de KA (11% m/v) por un periodo de 24 h a temperatura ambiente (25 °C), encontrando cantidades de 19,42 mmol L-1 de ácido láctico (aproximadamente) y 23,31 mmol L-1 de ácido acético. En nuestras fermentaciones realizadas también a 25 °C, pero durante un periodo de tiempo de aproximadamente 8 h más, la concentración de ácido láctico es un poco inferior, siendo de 15,5 mmol L-1. Así mismo, la concentración de ácido acético es casi dos veces menor, en un valor de 8,4 mmol L-1. A diferencia de lo reportado por Teixeira et al. (2010), en todas nuestras fermentaciones, la concentración de ácido acético siempre fue inferior a la del ácido láctico. Esta diferencia puede ser debida a la cantidad y relación de microorganismos que conforman el gránulo. En nuestro caso a 25 °C la cantidad de BAL, levaduras y BAA correspondió a 93,75%, 1,56% y 4,68%, respectivamente. Y aunque en el estudio anteriormente citado, las BAL eran el grupo dominante con un 57,65%, la relación de los microorganismos era diferente, correspondiente a 30,86% de levaduras y un 11,48% de BAA. Estas diferencias en las cantidades de microorganismos, además del efecto que pudo tener la temperatura, pudieron derivar en las diferentes proporciones de AO encontradas en las bebidas fermentadas por los gránulos de KA.
Los microorganismos que componen el gránulo de KA produjeron la hidrólisis de la sacarosa, para ser metabolizada junto con la glucosa y la fructosa que fueron convertidos en otras sustancias que podrían tener implicaciones importantes en la inhibición de microorganismos patógenos o contaminantes de alimentos.
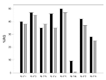
Bioensayo
A las 48 h de incubación a 25 °C la mayoría de los sobrenadantes presentaron efecto antifúngico debido a que produjeron un %RG superior al 20% (figura 3). El SLC5 (pH: 3,2; temperatura de obtención: 30 °C) produjo el mayor %RG, del 50 y 47% para A. ochra-ceus AFUNL9 y A. ochraceus FNSP, respectivamente. La única excepción la presentó el SLC6 (pH: 4,0; temperatura de obtención 37 °C), que en ambas cepas de A. ochraceus no logró disminuir su germinación. Esta incapacidad se podría vincular al hecho de que este sobrenadante contenía altos índices de carbohidratos no asimilados durante el periodo fermentativo presentando el más alto contenido de sacarosa (3,5 g L-1), solo superado por el control (4,4 g L-1), además de altas cantidades de glucosa y fructosa (ver figura 2). Estos carbohidratos disponibles pudieron desencadenar una germinación más acelerada y similar a la del control. Los niveles de %RG de los conidios de ambas cepas de A. ochraceus a las 48 h de incubación tuvieron diferencia estadísticamente significativa (p< 0,05). Por lo que cada sobrenadante que fue obtenido a diferentes temperaturas, muestra una faceta única en la inhibición presentada y donde las concentraciones de AO pudieron jugar un rol fundamental en la inhibición. Cada uno de los sobrenadantes contenía cantidades diferentes de AO producidos y demás productos metabólicos generados durante la fermentación. Esta particularidad hizo que cada sobrenadante produjera resultados claramente distintos en el %RG, con lo que se demuestra que el tiempo y la temperatura de fermentación fueron factores determinantes para la mayor o menor inhibición mostrada sobre ambas cepas de A. ochraceus. Se esperaría que los sobrenadantes con un mayor poder antifúngico fueran aquellos fermentados a la más alta temperatura (37 °C), donde hubo mayor cantidad de AO (láctico y acético), tal y como puede apreciarse en el SLC8 (pH: 2,8; obtenido a 37 °C) (figura 2), que cumple dos características (bajo pH y mayor cantidad de AO), y aún así éste no sobresalió en la RG de los conidios de A. ochraceus. Indicando con estos resultados que pueden existir compuestos no relacionados con el pH o con la mayor producción de AO, además de los que fueron cuantificados (láctico y acético), y que pudieron también reducir la germinación de ambas cepas de A. ochraceus a las 48 h de incubación.
Efecto de los ácidos orgánicos
Para evaluar si los AO láctico y acético fueron en gran medida, los agentes responsables de los efectos inhibitorios, se prepararon símiles de los SLC7 (pH: 3,5; obtenido a 37 °C), SLC5 (pH: 3,2; obtenido a 30 °C) y SLC3 (pH: 4,0; obtenido a 30 °C) adicionando los ácidos en las mismas concentraciones a las encontradas en los sobrenadantes provenientes de las fermentaciones. Los símiles de los tres sobrenadantes actuaron de forma similar a los SLC sobre ambas cepas de A. ochraceus, alcanzando el mayor %RG con el símil del SLC7 (48 ± 0,005 % sobre A. ochraceus AFUNL9 y 47±0,004 % sobre A. ochraceus FNSP). De estos tres sobrenadantes (y sus símiles) el SLC3 contenía la menor cantidad de AO y consecuentemente fue el que produjo el menor %RG de ambas cepas de A. ochraceus. Podríamos asumir que los AO jugaron un papel fundamental en la inhibición fúngica, ya que los símiles de los SLC redujeron la germinación de los conidios de A. ochraceus de ambas cepas. Como es conocido, la forma no disociada de los AO es la principal causa de su poder inhibitorio (Garrote et al., 2000). La capacidad de estos ácidos para reducir el pH del medio y el carácter lipofílico de su forma protonada (no disociado), facilita su incursión a través de la membrana celular (Bogaert & Naidu, 2000).
Efecto del pH
Para analizar la influencia que pudo tener el pH en el %RG de los conidios de A. ochraceus de ambas cepas, se acidificó artificialmente el sustrato acuoso de panela con HCl 3 M hasta alcanzar los tres pH de los SLC7 (pH: 3,5), SLC5 (pH: 3,2) y SLC3 (pH: 4,0). Los símiles de pH tuvieron efecto inhibitorio, aunque fueron significativamente inferiores (p<0,05) a los obtenidos con los sobrenadantes fermentados con gránulo de KA (figura 4). Se podría asumir que además del pH intervinieron otras sustancias inhibitorias en el %RG del hongo. En contraste con estos resultados, Garrote et al. (2000) reportaron no haber encontrado que el pH tuviera algún efecto inhibitorio per se, cuando acidificaron leche con HCl para inhibir Escherichia coli. Pero, cuando agregaron al medio, ya sea, ácido láctico y/o ácido acético encontraron un efecto inhibitorio. En los resultados, las soluciones acuosas de panela artificialmente acidificadas con un ácido inorgánico (HCl 3 M) tuvieron efecto inhibitorio, sin necesidad de la presencia en el medio de AO (ácido láctico y/o ácido acético), aunque fue inferior. Se podría asumir que existe una acción antimicrobiana debida a la reducción del pH extracelular. Y, aunque se considera que los ácidos fuertes del tipo monoprótico, como el HCl no poseen acción antimicrobiana, como si lo tienen los AO (Bogaert & Naidu, 2000); se ha descrito que el efecto que tiene el pH, depende en gran medida de otros factores, como pueden ser el tipo de sustrato, la incubación, la temperatura, la cepa del moho, entre otras (Gourama & Bullerman,1995).
Efecto de la ebullición de los sobrenadantes libres de células
Los SLC3, SLC5 y SLC7 se sometieron a ebullición durante 5 minutos antes de realizar la prueba de %RG. El SLC3 (pH: 3,5; obtenido a 25 °C) conservó la misma acción inhibitoria que tuvo sin ebullición; el SLC5 (pH: 3,2; obtenido a 30 °C) disminuyó significativamente y el SLC7 (pH: 3,5 perdió su actividad antifúngica (figura 5). Posiblemente los productos formados durante el tiempo de fermentación poseían una naturaleza termolábil ya que probablemente fueron destruidos, volatilizados o desnaturalizados durante éste proceso. Powell et al. (2007) reportaron una bacteriocina producida por Lb. plantarum ST8KF aislada de kéfir de leche, la cual permaneció activa luego de ser sometida a una temperatura de 121 °C durante 20 minutos. Lo anterior permite inferir que aún los compuestos de tipo proteico como las bacteriocinas pueden soportar temperaturas elevadas, manteniendo su actividad inhibitoria sin desnaturalizarse.

Figura 5 Comparación de la reducción de la germinación (RG) de (A) A. ochraceus AFUNL9 y (B) A. ochraceus FNSP luego de 48 h de incubación a 25 °C entre los sobrenadantes libres de células 7 (SLC7) (pH: 3,5), SLC5 (pH: 3,2) y SLC3 (pH: 4,0); y los SLC ebullidos (SLC Eb) por 5 min. Las barras de error representan la desviación estándar de un octuplicado.
Conclusiones
En este estudio se investigó la actividad fermentativa del KA en un sustrato económico y de fácil adquisición y preparación como lo es la panela. Se determinó que el gránulo inoculado en este sustrato y bajo diferentes condiciones de incubación, fermentaba hasta alcanzar pH mínimos de 2,8, conservaba el recuento de los grupos microbianos de BAL, levaduras y BAA y que conservaba la capacidad de producir biomasa. Adicionalmente, los SLC obtenidos del sustrato fermentado con gránulos de KA, demostraron la capacidad de inhibir el crecimiento de A. ochraceus, constituyéndose en una alternativa de biopreservación de matrices alimentarias.
Dicha actividad antifúngica se atribuyó principalmente a la combinación del descenso del pH y los AO producidos durante la fermentación del sustrato, especialmente el láctico y el acético. No obstante, dado el carácter complejo de la comunidad microbiana del gránulo de kéfir, será necesario identificar la presencia de otros compuestos con actividad antifúngica en los SLC.
References
Batista, L. R., Chalfoun, S. M., Prado, G., Schwan, R. F., Wheals, A. E. (2003). Toxigenic fungi associated with processed (green) coffee beans (Coffee arabica L.). Int J Food Microbiol. 85 (3), 293-300. [ Links ]
Bogaert, J. C., Naidu, A. S. (2000). Natural Food Antimicrobial Systems, Boca Raton, Florida (USA): CRC Press, p 800. [ Links ]
Diniz, R. O., Garla, L. K., Scheneedorf, J. M., Carvalho, J. C. T. (2003). Study of anti-inflammatory activity of Tibetan mushroom, a symbiotic culture of bacteria and fungi encapsulated into a polysaccharide matrix. Pharmacol Res. 47(1), 49-52. [ Links ]
Edward, L., Herod, M. S. D. D. S. (1994). The use of milk as a saliva substitute. J Public Health Dent. 54(3), 184-189. [ Links ]
Frank, J. M. (1999). HACCP and its mycotoxin control potential: Ochratoxin A (OTA) in coffee production. Proc. 7 th International Committee Food Microbiology Hygiene. The Netherlands, Veldhoven. pp. 1222-1225. [ Links ]
Gamba, R.R., Ni Colo, C., Correa, M., Astoreca, A., Alconada, T., De Antoni, G., León-Peláez, A.M. (2015). Antifungal activity against Aspergillus parasiticus of supernatants from whey permeates fermented with kéfir grains. Sci Res. 5(6), 479-492. [ Links ]
Garrote, G. L., Abraham, A. G., De Antoni, G. L. (2001). Chemical and microbiological characterisation of kéfir grains. J Dairy Res. 68(4), 639-452. [ Links ]
Garrote, G. L., Abraham, A. G., De Antoni, G. L. (2000). Inhibitory power of kéfir: The role of the organic acids. J food protect. 63(3), 364-369. [ Links ]
Garrote, G. L. (1999). Bacterias Lácticas y Levaduras para la Industria Alimentaria: Kéfir. La Plata, Argentina: Universidad Nacional de la Plata, Facultad de Ciencias exactas, Departamento de Química y Ciencias Biológicas. p 168. [ Links ]
Gerez, C. L., Torino, M. I., Rollán, G., Font de Valdez, G. (2009). Prevention of bread mould spoilage by using lactic acid bacteria with antifungal properties. Food Control. 20(2), 144-148. [ Links ]
Gourama, H., Bullerman, L. B. (1995). Inhibition of growth and afla-toxin production of Aspergillus flavus by Lactobacillus species. J Food Protect. 11(8), 1249-1256. [ Links ]
Guzel-Seydim, Z., Kok-Tas, T., Ertekin-Filiz, B., Seydim, A. C. (2011). Effect of different growth conditions on biomass increase in kéfir grains. J DairySci. 94(3), 1239-1242. [ Links ]
Hallé, C., Leroi, F., Dousset, X., Pidoux, M. (1994). Les kefirs des associations bactéries lactiques - En : de Roissart, H., Luquet, F.M., (Editores.), Bactéries Lactiques: Aspects fondamentaux et technologiques. France: Lorica, p169-182. [ Links ]
Hunter, D., Segel, I. H. (1973). Effect of weak acids on amino acid transport by Penicillum chrysogenum. Evidence for a proton or charge gradients as the driving force. J Bacteriol, 113(3): 1841192. [ Links ]
Jianzhong, Z., Xiaoli, L., Hanhu, J., Mingsheng, D. (2009). Analysis of the microflora in Tibetan kefir grains using denaturing gradient gel electrophoresis. Food Microbiol, 26(8), 770-775. [ Links ]
Lavermicocca, P., Valerio, F., Evidente, A., Lazzaroni, S., Corsetti, A., Gobetti, M. (2000). Purification and characterization of novel antifungal compounds from the sourdough Lactobacillus plantarum strain 21B. Appl Environ Microbiol, 66(9), 4084-4090. [ Links ]
Magnusson, J., Strom, K., Roos, S., Sjogren, J., Schnürer, J. (2003). Broad and complex antifungal activity among environmental isolates of lactic acid bacteria. FEMS Microbiol let, 219(1), 129-135. [ Links ]
Martins, M. L., Martins, H. M., Gimeno, A. (2003). Incidence of microflora and of ochratoxin A in green coffee beans (coffee Arabica). Food Addit Contam, 20(12), 1127-1131. [ Links ]
Ministerio de la Protección Social (INVIMA). Resolución 000779. (2006). Reglamento técnico sobre requisitos sanitarios en la producción y comercialización de la panela para consumo humano. República de Colombia. p 19. [ Links ]
Miao, J., Guo, H., Ou, Y., Liu, G., Fang, X., Liao, Z., Ke, C., Chen, Y., Zhao, L., Cao, Y. (2014). Purification and characterization of bacteriocin F1, a novel bacteriocine produced by Lactobacillus paracasei subsp. Tolerans FX-6 from Tibetan kefir, a traditional fermented milk from Tibet, China. Food Control. [ Links ]
Moinas, M., Horisberge, M., Bauer, H. (1980). The structural organization of the tibi grain as revealed by light, scanning and transmission microscopy. Arch Microbiol, 128(2), 157-161. [ Links ]
O'Callaghan, J., Stapleton, P. C., Dobson, A. D. W. (2006). Ochratoxin A biosynthetic genes in Aspergillus ochraceus are differentially regulated by a pH and nutritional stimuli. Fungal Genet Biol, 43(4), 213-221. [ Links ]
Pidoux, M. (1989). The microflora of sugary kefir grain (the ginger-beer plant): Biosynthesis of the grain from Lactobacillus hilgardii producing a polysaccharide gel. MIRCEN Journal, 5(2), 223-238. [ Links ]
Pidoux, M., Pilet, M. F., Ripoche, V. (1992). Growth performances of Lactobacillus hilgardii immobilized in dextran gel and in continuous fermentation. World J Microb Biot, 8(4), 393-398. [ Links ]
Powell, J. E., Witthuhn, R. C., Todorov, S. D., Dicks, L. M. T. (2007). Characterization of bacteriocin ST8KF produced by a kefir isolated Lactobacillus plantarum ST8KF. Int Dairy J, 17(3), 190-198. [ Links ]
Rojas, O. C., Vivas, J. J., Guerrero, A. J. (2004). Estandarización del inóculo de Cladiophialophora carrionii por el método espec-trofotométrico para estudios de sensiblidad in vitro de hongos filamentosos. Rev Soc Ven microbial, 24(1/2), 89-94. [ Links ]
Scudamore, K. A., Banks, J., McDonald, K. J. (2003). Fate of Ochratoxin A in the processing of whole wheat grains during milling and bread production. Food Addit Contam, 20(12), 1153-1163. [ Links ]
Salminen, S., von Wright, A., Ouwehand, A. (2004). Lactic acid bacteria: microbiological and functional aspects. New York: Marcel Dekker, p 798. [ Links ]
Salmond, C. V., Kroll, R. G., Booth, I. R. (1984). The effect of food preservatives on pH homeostasis in Escherichia coli. J Gen Microbiol, 130(11), 2845-2850. [ Links ]
Silva, K. R., Rodrigues, S. A., Filho, L. X. (2009). Antimicrobial activity of broth fermented with kefir grains. Appl Biochem Biotech, 152(2), 316-325. [ Links ]
Simova, E., Beshkova, D., Angelov, A., Hristozova, T., Frengova, G., Spasov, Z. (2002). Lactic Acid Bacteria and yeast in kefir grains and kefir made from them. J Ind Microbiol Biot, 28(1), 1-6. [ Links ]
Soriano del Castillo, J. M. Micotoxinas en alimentos. (2007). España: Ediciones Díaz de Santos, p 396. [ Links ]
Suárez-Quiroz, M., Gozález-Rios, O., Barel, M., Guyot, B., Schorr-Galindo, S., Guiraud, J. P. (2004). Effect of chemical and environmental factors on Aspergillus ochraceus growth and toxigenesis in green coffee. Food Microbiol, 21(6), 629-634. [ Links ]
Taniwaki, M. H., Pitt, J. I., Teixeira, A. A., Lamanaka, B. T. (2003). The source of ochratoxin A in Brazilian coffee and its formation in relation to processing methods. Int J Food Microbiol, 82(2), 173-179. [ Links ]
Teixeira, K. M., Pereira, G., Dias, D., Schwan, R. (2010). Microbial communities and chemical changes during fermentation of sugary Brazilian kefir. World J Microb Biot, 26(7), 1241-1250. [ Links ]
Urbano, G. R., Taniwaki, M. H., Leitao, M. F., Vicentini, M. C. (2001). Occurrence of ochratoxin A producing fungi in raw Brazilian coffee. J Food Protect, 64(8), 1226-1230. [ Links ]
Waldherr, F., Doll, V. K., Meaner, D., Vogel, R. F. (2010). Identification and characterization of a glucan-producing enzyme from a Lactobacillus hilgardii TMW 1.828 involved in granule formation of water kefir. Food Microbiol, 27(5), 672-678. [ Links ]
Zajšej, K., Goršek, A. (2011). Experimental assessment of the impact of cultivation conditions on kefiran production by the mixed microflora imbedded in kefir grains. Chem Eng Trans, 24, 481-486. [ Links ]
Recibido: 16 de Diciembre de 2014; Aprobado: 20 de Octubre de 2015










text in 






