Es difícil aceptar la idea de que el mercado laboral funciona como cualquier otro mercado. Los salarios -los precios del mercado laboral- son determinados por factores que van más allá de las fuerzas económicas de oferta y demanda. A diferencia de mercados donde los precios oscilan alrededor del nivel de equilibrio de largo plazo, los salarios tienen rigideces particulares que impiden su convergencia al equilibrio. La teoría tradicional omite un hecho irrefutable: la interacción social hace parte de la toma de decisiones en cualquier mercado. Y puesto que la "mercancía" transada en el mercado laboral es diferente, abordar problemas propios de este mercado como la persistencia de las brechas salariales en el tiempo, sin considerar las interacciones sociales, es un grave error conceptual.
En la interacción social, la utilidad o el pago que se recibe por una acción dada depende de las decisiones y acciones de los individuos del grupo de referencia (Brock y Durlauf, 2001). La particularidad de la interacción social en economía empieza con el concepto de agente que toma decisiones: un consumidor, una firma y aun el gobierno. Estos agentes interactúan unos con otros eligiendo acciones, y cada acción elegida por uno de ellos afecta necesariamente la acción de los demás. De acuerdo con Manski (2000), una acción individual incide en la acción de los demás a través de tres canales: restricciones, expectativas y preferencias.
Las restricciones es el canal más común. Para un consumidor que busca maximizar su utilidad la principal restricción es la presupuestaria. Pero en los mercados se presentan congestiones cuando muchos agentes demandan el mismo bien. Si la demanda supera a la oferta, los precios tienden a subir, y la acción de los demás termina afectando el poder adquisitivo individual (el ingreso nominal no varía). Las expectativas también ponen de manifiesto la interacción social en economía. Por ejemplo, cuando las firmas de un sector aumentan su demanda de insumos porque prevén que sus ventas van a mejorar, la mayor demanda provocará aumentos de precios de las materias primas. Si esa expectativa no se cumple, el aumento del precio de los insumos eleva los costos de producción y afecta sus beneficios. Pero el caso de las preferencias es, para el problema que se trata en este artículo, el más relevante de todos. Las interacciones entre preferencias ocurren cuando el orden de preferencias de un agente depende de las acciones de los demás. Este escenario es el corazón de la teoría de juegos no cooperativos, pues si las preferencias de los agentes se afectan por las acciones de los demás, entonces la función de utilidad individual depende de un componente social.
La asignación de recursos ocurre en contextos de interacción entre individuos con racionalidad limitada, sensibles a esos contextos. El problema que enfrenta un individuo es elegir un conjunto de acciones óptimas que maximicen su bienestar, considerando que las acciones de los demás inciden en su propio bienestar. Algunos estudios sugieren que el aprendizaje social, que da lugar a estados socialmente óptimos, depende de la capacidad de las cohortes de agentes para resolver el problema de selección (Manski, 2004). Ante la dificultad de elegir el conjunto de mejores acciones individuales cuando hay fallas de información o escenarios de incertidumbre, el aprendizaje social permite que cada miembro de la cohorte atenúe sus errores de selección y maximice su bienestar a partir de las acciones socialmente óptimas. En otras palabras, el aprendizaje social surge en la identificación y selección de experiencias privadas.
Algunos trabajos interdisciplinarios muestran la relevancia de la interacción social en los procesos económicos, y resaltan la existencia de instituciones o convenciones sociales en la esfera económica. Una convención es un equilibrio en el que todos los individuos esperan una acción-reacción idéntica respecto de un estado socialmente aceptado (Young, 1996), y así resuelve los problemas de indeterminación en interacciones sociales con múltiples equilibrios. Las convenciones pueden ser un resultado de contratos legales o de la acumulación de precedentes. Un ejemplo del primer caso es conducir por la derecha. El código de tránsito y la red de señalización son diseñados para que esa sea la norma. El segundo caso es más complejo, pues la acumulación de precedentes depende del tiempo, del predominio de ciertas acciones y de la aleatoriedad, que involucra el proceso de ensayo y error mediante el cual se aprende a tomar las mejores decisiones.
Un tema que hoy atrae la atención de los investigadores, y que muestra la falla de no considerar la interacción social en el análisis de los problemas del mercado laboral, es la persistencia de las brechas de salarios. La evidencia empírica sugiere que es un resultado de la discriminación contra ciertos grupos, así su productividad sea idéntica. En el corto plazo, la rigidez de los salarios impide que el mercado absorba los excesos de oferta de trabajo, lo que provoca desequilibrios macroeconómicos como el desempleo (Solow, 1992). Pero esa rigidez es producto de factores microeconómicos y sociales que impiden el ajuste de los salarios al nivel de equilibrio determinado por la oferta y la demanda, entre ellos la discriminación salarial.
Según Cain (1984), en economía la discriminación se puede entender como las desigualdades de bienestar económico debidas a diferencias de color, raza, género, etc.; y como las diferencias de ingresos o salarios entre agentes económicos que tienen el mismo nivel de productividad. La síntesis de Cain resume dos teorías de la discriminación de salarios que, además de ser las de mayor influencia en la literatura, surgieron casi al mismo tiempo en la década de 1970.
La primera es la teoría de las preferencias de discriminación, propuesta por Gary Becker (1971), según la cual las brechas de salarios surgen de las preferencias de discriminación que tienen los empleadores. En sentido estricto, cuando estas preferencias se combinan con las fuerzas del mercado y ciertas normas sociales, una decisión objetiva de los empleadores podría ser discriminar el salario según su preferencia, siempre que exista un incentivo económico. Si la productividad marginal aumenta en mayor proporción que el costo marginal cuando se discriminan los salarios, objetivamente hay un incentivo económico para ejercer discriminación.
La segunda es la teoría de la discriminación estadística, cuyos pioneros fueron Arrow (1971; 1972), Phelps (1972), Oaxaca (1973) y Aigner y Cain (1977), que criticaron abiertamente la teoría de Becker. Para Arrow, los axiomas tradicionales para garantizar la convexidad de las curvas de indiferencia en la teoría del consumo y la producción son inaplicables en el estudio de la discriminación racial y de género en el mercado laboral (Arrow, 1971). En un ambiente social discriminatorio es inevitable que existan patrones de segregación y aglomeración en la determinación de los salarios, lo que es un claro ejemplo de no convexidad. Dado que los trabajadores no son sustitutos y que los empleadores no saben cuál es su productividad real, deben incurrir en costos de búsqueda para reducir los márgenes de incertidumbre. Y cuando no incurren en esos gastos, los salarios se determinan recurriendo a cierto tipo de información, de raza, color o género.
Phelps (1972) considera, además, que una falla de la teoría de Becker es su descripción walrasiana del funcionamiento del mercado laboral. Argumenta que las diversas características de los agentes, el desconocimiento de la productividad real de los trabajadores, las fallas de información, etc. son tan marcadas en este mercado que es erróneo suponer la perfecta fluidez de la información. Plantea entonces que el único tipo de información que reduce la incertidumbre sobre la productividad de la mano de obra empleada es el de las características demográficas de su grupo de trabajadores. El salario así determinado termina siendo consecuencia de los juicios de valor de los empleadores sobre la productividad de los trabajadores.
Pero esas teorías no responden varias preguntas relevantes: ¿cómo surge la discriminación de salarios?, ¿qué mecanismo liga la discriminación y las brechas salariales?, ¿por qué persisten los diferenciales de salarios? Este artículo intenta responderlas desde una perspectiva evolutiva, subrayando las motivaciones socio-económicas de los empleadores para discriminar los salarios, que generan brechas salariales de género. El modelo teórico que aquí se presenta se basa en la función de utilidad que construyeron Neumark (1988) y Jorgensen y Fenger (2009). La dinámica social entre trabajadores y empleadores se describe mediante un sistema de ecuaciones de réplica, y sus estados estacionarios son la representación formal de las convenciones que dan lugar a la discriminación.
ALGUNA EVIDENCIA
Antes de formular un modelo teórico de discriminación salarial es necesario analizar los datos. En principio, la composición de la fuerza laboral debería ser el principal determinante de las preferencias de los empleadores para contratar mano de obra, y cabría esperar que los salarios sean afectados por el cambio de la distribución de la fuerza laboral en el tiempo. La persistencia de la discriminación contra las mujeres es el tema más estudiado. El salario de los hombres ha sido siempre mayor que el salario promedio de las mujeres, y es un hecho estilizado que prueba que la distribución de hombres y mujeres en la fuerza laboral ha estado siempre sesgada hacia una mayor participación de los hombres. Además, sugiere que la mayor participación femenina en el mercado laboral durante las últimas décadas y su acelerado ritmo de acumulación de capital humano no han sido suficientes para eliminar la segregación (McConnell y Brue, 1997), incluso en los países desarrollados1.
Infortunadamente, las explicaciones a este nivel suelen ser a menudo netamente descriptivas, como los trabajos econométricos que prueban la significancia estadística de la brecha de salarios entre hombres y mujeres con productividad idéntica, pero no examinan los detalles microeconómicos de la discriminación.
Cuando se analiza la distribución de hombres y mujeres empleados de tiempo completo en varios países desarrollados2, se observan cambios importantes en algunos de ellos en las dos últimas décadas. La relación hombres/mujeres (H/M) que trabajan tiempo completo en Inglaterra, Nueva Zelanda y Suecia muestra un visible aumento de la participación femenina. Igual sucede en Estados Unidos, aunque con menor intensidad. En Alemania e Italia la participación de los hombres aumentó, y en Francia la proporción se mantuvo relativamente estable (cuadro 1).
Cuadro 1 Relación hombres/mujeres empleados de tiempo completo

Fuente: OCDE y BEA, cálculos del autor.
Como los salarios de tiempo completo suelen ser más altos que los de medio tiempo, debido a diferencias de productividad, cabría esperar que los salarios de las mujeres aumenten a medida que más mujeres trabajan de tiempo completo. De hecho, la brecha de salarios entre hombres y mujeres3tiende a disminuir en países donde la relación H/M se ha reducido. En Suecia, el salario mediano de un hombre era un 20% mayor que el salario mediano de las mujeres a comienzos de los noventa, pero la brecha se redujo al 14% en 2013. El diferencial de salarios en Estados Unidos, Inglaterra y Nueva Zelanda también se redujo. En Estados Unidos era del 29% en 1990, pero cayó al 19% en 2013, mientras que en Inglaterra se redujo del 32% al 18%. En Nueva Zelanda bajó del 17% en 1990 al 6% en 2013 (gráficas 1y2). Aunque los datos sugieren que la brecha salarial disminuye cuando la relación H/M tiende a 1, en los países con un proporción muy cercana a 1, como Finlandia (1,08), Suecia (1,11) o Estados Unidos (1,12), la brecha en favor de los hombres era en promedio del 18% en 2013, lo que sigue siendo evidencia de una disparidad de salarios significativa.

Fuente: OECD, cálculos del autor.
Gráfica 1 Diferencial de salarios en países donde H/M ha disminuido

Fuente: OECD, cálculos del autor.
Gráfica 2 Diferencial de salarios en países donde H/M no ha disminuido
Algunos autores han encontrado evidencia de una brecha persistente de salarios entre hombres y mujeres explicada por diferencias de capital humano, aunque estas diferencias han disminuido visiblemente en los últimos 30 años (Crossley et al., 1994). Otros estudios muestran que el tipo de ocupación es la principal causa de la persistencia del diferencial de salarios entre hombres y mujeres (Lazear y Rosen, 1990), aunque este argumento puede ser desvirtuado por las cifras que se han presentado (en países con relaciones H/M cercanas a 1 aún hay grandes brechas de salarios, pese a que en los últimos años esa relación ha disminuido en forma acelerada).
Los trabajos más recientes intentan abordar el tema desde una óptica heterodoxa e interdisciplinaria. Un estudio representativo es el de Arrow y Borzekowski (2004), donde se muestra que un 50% de las variaciones del salario se deben a la interacción social, un 20% a los nexos sociales del individuo con el mercado laboral y el 30% restante a la fuerte discriminación de los empresarios hacia ciertos grupos de trabajadores. La discriminación es un resultado de las preferencias y normas sociales cuando la discriminación es socialmente aceptada. Pero, naturalmente, pueden surgir muchos tipos de discriminación cuando los individuos se segmentan por sus preferencias de discriminación. El papel de las dinámicas sociales es muy importante, pues esos procesos sociales de autoselección determinan cuál tipo de discriminación predominará en una sociedad.
EL MODELO DE DETERMINACIÓN DE SALARIOS
La piedra angular del modelo que se presenta en esta sección es la función de utilidad que desarrollaron Neumark (1988) y Jorgensen y Fenger (2009) para mostrar el impacto que tiene la discriminación de la mano de obra empleada en las firmas sobre la utilidad del empleador. Según estos autores, cuando los empleadores discriminan mano de obra dadas sus preferencias de discriminación, la determinación de los salarios da lugar a diferencias de salarios. Para simplificar el análisis es necesario hacer algunos supuestos.
Supongamos que en un sector de la economía, la población está dividida en hombres (H) y mujeres (M), y que hay dos tipos de agentes: empleadores y trabajadores. Los empleadores, sin importar su género, prefieren discriminar a cierta clase de trabajadores. Además, hay pleno empleo y no hay sindicatos, de modo que los trabajadores no pueden negociar el salario y, como hay pleno empleo, aceptan el salario que les ofrecen (no hay desempleo voluntario).
Para una firma la función de producción esg(l),donde el trabajo / es el único insumo, y su producto marginal es positivo pero decreciente:
Asociada a esa función, la firma tiene una función de beneficios:
dondewes la remuneración del trabajo (salario nominal) ypel precio unitario del producto. Normalizandop= 1, el problema de optimización de la firma consiste en elegir el nivel de trabajo que maximice su beneficio. Formalmente:
De la condición de primer orden (CPO) del problema de optimización se tiene que:
La condición (1) indica que el salario real es determinado por la productividad marginal del trabajo. El trabajo total se descompone entre hombres y mujeres:
dondehes el número de hombres ymel número de mujeres que emplea la firma. De modo que la función de beneficios se puede reescribir así:
dondew h yw m son el salario de hombres y mujeres, respectivamente. El problema de maximizar el beneficio de la firma es entonces:
De las CPO del problema se obtiene:
Las condiciones (2) y (3) y son las ecuaciones de equilibrio sin discriminación. De (1) se deduce que los salarios reales de hombres y mujeres son exactamente iguales, lo que se resume así:
Supongamos que no hay comercio de mano de obra entire sectores (los trabajadores no piieden ofrecer su trabajo en otros sectores) y que tios empleadores pueden influir en la fijación de salarios. Su función de utilidad depende de su renta y de su interacción con el tipo de mano de obra emplezida, la cual se expresa así:
donde α ε (0,1) es la fracción de la firma que constituyen la renta del empleador. Si el objetivo del empleador es maximizar su utilidad, el problema de optimización es:
Remplazando en la función objetivo:
Aplicando la regla de la cadena, las CPO del problema anterior son:
Y mediante una simple operación algebraica se obtienen las siguientes ecuaciones:
Las condiciones (4) y (5) representan los salarios de equilibrio que maximizan la utilidad del empleador. Nótese que si no hay discriminación de salarior(wh= wm), entioncesu h = u m , yel empleador es indiferente en su interacción con trabajadores hombre s o mujeres, pues la utilidad c[ue genera una unidod adicional de mano de obra H o M es igual.
Discriminación de salarios
Dadas las preferencias de discriminación, la interacción con algún tipo de trabajadores puede provocar malestar (pérdida de utilidad), pero despedir empleados no es una opción (por el supuesto de pleno empleo). Los empleadores lo saben y discriminan salarialmente a los trabajadores que no son de su preferencia. Sin embargo, esta discriminación altera los beneficios de la firma, y a su vez la renta de los empleadores, que son propietarios y rentistas.
Ahora supongamos que el empleador discrimina a las mujeres. Esto significa que interactuar con hombres le genera una utilidad al menos igual a 0, mientras que interactuar con mujeres no le genera utilidad. Así, dado que la función de utilidad es creciente enB(⋅)(uB>0), su función de utilidad tiene las siguientes caracteristicas:
Y si discrimina a los hombres, son las siguientes:
En (4)y(5), dos expresiones representan las preferencias:
y
. Cada una indica la utilidad marginal del empleador cuando emplea hombres o mujeres con respeoto aIrutilidad marginal de su renta (Jørgenseny Fenger, 2009). Ambas expresiones son medidas subjetivas que captan el grado de discriminación de los empleadores a partir del orden de preferencias representado en su función de utilidad. Así, el coeficiente ds discriminación está dado por:
Discriminación contra las mujeres
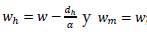
Reemplazando (6) y (7) en (4) y (5) se encuentran los salarios cuando el empleador discrimina a las mujeres:
Nótese que
, por l o que wh> wm. Es decir, el salario de las mujeres es inferior al de los hombres en una magnitud determinada por el coeficiente de discriminación.
Discriminación contra los hombres
Teniendo en cuenta (8)y(99), la discriminación contra los hombres im plica que:
Puesto que
, se eiene quew
h
< wm.
Esta, es la representación formal del hecho estilizado que ya se mencionó: la discriminación implica diferenciales de salario, aunque la productividad de hombres y mujeres sea igual. Si el empleador discrimina a. las mujeres hay una brecha de salarios
en favor de los hombres. Y si discrimina a los hombres, las mujeres obtienen un salario
superior al de los hombres.
Instituciones sociales
En este escenario existen dos situaciones posibles: perfecta discriminación contra de las mujeres, o contra los hombres. Aquí la teoría económica tiene una capacidad predictiva limitada, pues cada uno de esos estados involucra una serie de factores ajenos a la esfera económica, en un contexto no determinístico (Manski, 2004).
De acuerdo con Bowles (2004), el proceso social que auto determina los estados poblacionales en la sociedad es el proceso evolutivo de selección natural darwinista. En la teoría de Darwin, la evolución es un proceso en el que las características iniciales de una especie cambian con el tiempo por su interacción con el medio. En el largo plazo, la nueva especie es resultado de un proceso natural que selecciona ciertas características de las especies. Para muchos sociólogos y economistas, las instituciones sociales que se condensan en los mercados son el resultado de procesos sociales evolutivos. Young (1998) y Villena y Villena (2005) resaltan las razones por las cuales la economía evolutiva permite entender la noción de estado estacionario como el resultado de largo plazo de un proceso evolutivo de auto determinación.
Como ejemplo supongamos una población de empleadores con preferencias de discriminación A (discriminar a las mujeres) y B (discriminar a los hombres). En el estado inicial, la distribución de los agentes es aleatoria y no existen patrones de segregación, como muestra lagráfica 3. Los empleadores toman sus decisiones sin influencias sociales.
Con el tiempo los empleadores aprenden a segregarse y a interactuar con los que tienen su misma preferencia, pues les reporta mayor utilidad. Se inicia entonces una. Tendencia de segregación poblacional que se representa en lagráfica 4. Cuando esta regularidad se extiende a toda la población aparece una. Segregación perfecta entre empleadores A y B, que da lugar a dos posibles equilibrios evolutivos: discriminar a las mujeres o discriminar a los hombres (gráfica 5).
Dinámicas evolutivas
¿Qué determina en el largo plazo si discriminar a un hombre o a una mujer es la mejor opción (en cuanto maximiza la utilidad del empleador)? Si la dinámica evolutiva favorece el "gen" social dominante en la población, la institución dominante será la del grupo mayoritario (Samuelson, 1997). Esto significa que si dos equilibrios de largo plazo están indeterminados en una distribución poblacional 50-50, la dinámica evolutiva soluciona esa indeterminación y, por tanto, da lugar a una convención que en este contexto se entiende como discriminación de salarios. En otras palabras, si discriminar a las mujeres es la regularidad aceptada por la mayoría en un momento dado, en el largo plazo surgirá una convención: todos los empleadores discriminan a las mujeres.
Definición 1: Estado de la población
El estado de la población en un momentotes un vector
, cuyos Elementos
corresponde is a. La proporción de empleadores que discriminan a mujeres y hombres4.
Definición 2: Utilidad esperada de los empleadores
El pago esperado de un empleador i =H,Mentes el pago que obtiene poj: interactuar con cierto tanto de trabajador (hombre o mujer), dada una probabilidad xi(t) de hallar este tipo de emple=dot en la población. La utilidad esperada de un =empleador que discrimina a las mujeres es:
Yla. de un empleador que discrimina a los hombres es:
Definición 3: Utilidad esperada poblacional
El pago poblacional esperado es la utilidad esperada de cualquier empleador, extraído al azar de la población, en un momento t. Formalmente:
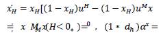
Son un sistema de ecuaciones diferenciales que representan la autoselección en un proceso evolutivo. Los estados estacionarios del sistema representan los equilibrios de largo plazo. Las dinámicas replicadoras de la población de empleadores están dadas por las siguientes ecuaciones:
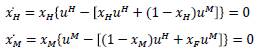
Sabe que xt= 0 en el equilibrio de largo plazo. Por lo tanto, los estados de poblaciónx= (xi(t) E) que representan los estados estacionarios del sistema anterior son:
donde ,µ es un valor positive que garantiza la igualdadu H = wM.
Se puede comprobar fácilmente la estabilidad de tales equilibrio s a partir de la condiciónu
H
x M5. En un primer caso, si la dinámica evolutiva da lugar a uH> uM, es decir que la utilidad esperada de discriminar a las mujeres es mayor que la de discriminar a los hombres, entonces se tiene quex'
H
> 0 y CeXM< 0, es decir, hay una convergencia estocástica al estado *µu. En este estado, todos los empleadores discriminan a las mujeres mujeres (segregación perfecta), y la convención provoca una discriminación salarial contra ellas de una magnitud dada por
En el segundo caso tenemos que uH< uMde modo que XH< 0 y xM>0. Aquí la convergencia estocástica tiene al estado x% donde todos los empleadores discriminan a los hombres. En esto estado la institución social da lugaraun diferencial de salarios
en favor de las mujeres.
El estado x*** no representa un equilibrio solutivamente estable por que no satisface la condición de estabilidad de un estado estacionario6. Sin embargo, el parámetroµes fundamental para el análisis de estabilidad evolutiva de los otros estados por que determina la magnitud de las cuencas de la atracción del sistema, en este caso los estados x* y x**.
El diagrama de fase que representa la dinámica evolutiva del modelo se muestra en lagráfica 6. Los estados estacionarios evolutivamente estables representan las cuencas de atracción del sistema, aquellos estados donde las dinámicas sociales se rigen por una institución social bien definida, o una convención poblacional. El estado evolutivamente inefable representa al estado en el que la institución social no está bien definida.
El modelo evolutivo describe en Corana apropiada la persistencia de las brechas de salarios en el tiempo. Cuando la convención es discriminar el salario de la mujer, la única mantera de revertir la et cambiara drásticamente las preferencia de discriminación alterando la regularidad social, Se que se podía entender como nepatismo en favor de las mujeres. Para que ese cambio lengua alta probabilidad, loe estados de población iniciales deben estar muy cerca del estadas x***. En termina prácticos, eso significa que el grado du discriminación contra la mujer debe ser históricamente cuyo bajo pare poder reveréis la convención del estado e" a los lados x*** o x*.
Como ya se mencionó, los estudios sobre la discriminación de salarios y los datos analizados en la sección anterior demuestran que la brecha en favor de los hombres aún persiste, y que el grado de discriminación de los empleadores contra, las mujeres todavía es elevado, pese a los avances culturales, socio-económicos y legislativos en favor de la mujer. El modelo sugiere que el estado poblacional de los empleadores cn nuestros días está muy cerca del equilibrio evolutivox**,lo que subraya la necesidad de seguir diseñando mecanismos opolíticas que atenúen esta discriminación.
Es claro que el modelo describe la persistencia de las diferencias de salarios entre hombree y mujeres en el tiempo pero no sugiere soluciones. No obstante, la perspectiva evolutiva es una nueva manera de entender los factores económicosysociales que dan lugar a esta discriminación de salarios, y ve más ellá de la significancia estadística del coeficiente de discriminación. El análisis integral de este fenómeno económico requiere el aporte de otras disciplinas, pues las ecuaciones de réplica solo describen el mecanismo de auto-selección que lleva a concebir la discriminación contra la mujer como una regularidad social.
CONCLUSIONES Y COMENTARIOS FINALES
Este artículo presenta un modelo en el que la dinámica social determina las preferencias de discriminación de los empleadores, la cual genera en el largo plazo los diferenciales de salarios entre trabajadores de igual productividad. Los equilibrios del modelo representan las convenciones que dan persistencia a la discriminación de género y a las brechas de salarios entre hombres y mujeres.
Cran parte de la literatura sobre la discriminación de salarios es de carácter empírico. Ese tipo de estudios prueba estadísticamente los indicios de discriminación salarial según las características individuales de los trabajadores, y la mayoría constata la correlación entre factores determinísticos y no determinísticos. Pero hay una notoria ausencia de teoría y de una discusión rigurosa sobre los aspectos mi-croeconómicos subyacentes a este comportamiento social, en el que influyen factores de otras disciplinas además de la economía.
El modelo es un aporte teórico que puede estimular la discusión, pues incorpora los aspectos no económicos que incentivan a los empleadores a discriminar el salario. Quizá lo más interesante del modelo sea el uso de herramientas de la teoría de juegos evolutivos, las cuales permiten analizar la influencia de la dinámica social evolutiva en los resultados económicos de largo plazo.
Extensiones válidas de este modelo se pueden obtener relajando algunos supuestos e incluyendo otros aspectos relevantes de la economía laboral, entre ellos el comercio de mano de obra y su efecto en la discriminación de los salarios; la influencia de la discriminación de salarios en la informalidad; el apoyo del Estado a los grupos minoritarios; y la influencia de la discriminación y las brechas de salarios sobre el desempleo. Relajar el supuesto de pleno empleo es quizá la extensión más relevante en términos macroeconómicos, e involucra otras, como la informalidad. Si la discriminación de salarios afecta los costos laborales agregados de las empresas, habría que analizar su incidencia en la inflación, la productividad, las oportunidades de empleo formal, el consumo privado, etc. Esto permitiría identificar nuevos factores que expliquen por qué la baja competitividad de los países en desarrollo tiene una alta correlación con las grandes brechas de salario de género y de raza.
En la agenda de investigación se debería dar prioridad a los aportes teóricos que mejoren el análisis, la discusión de los resultados empíricos y el diseño de políticas contra la discriminación, quizá acompañados de experimentos que capten en forma apropiada las motivaciones de los empleadores para discriminar la mano de obra a través del salario. Un buen aporte debe ir más allá de las pruebas de significancia estadística de la discriminación de salarios.
UTILIDAD ESPERADA DE LOS EMPLEADORES
La función de utilidad esperada de un empleador que discrimina a las mujeres está dada por:
Por definición
; remplazando en la función anterior se obtiene:
Para simplificar supongamos que
. Así, la utilidad esperada de discriminar a las mujeres es:
Para en contrar la función de utilidad esperada de un empleador que discrimina a los hombres se sigue un procedimiento similar. Su función de utilidad está dada por:
DINÁMICAS REPLICADORAS
La proporción de empleadores en t + 1 se define como:
Restando XI(t) en ambos lados, se encuentra la tosa de variación dex i :
Reemplazando y reorganizando términos se obtiene:
Por tanto:
Remplazando la información conocida de
, el sistema de ecuaciones de réplica del modelo queda definido así:
Finalmente, las raíces del sistema (estados estacionarios) son:
dondeµ >0 garantiza lai igualdad uH= uM.































































