Services on Demand
Journal
Article
Indicators
-
Cited by SciELO -
Access statistics
Related links
-
Cited by Google -
Similars in
SciELO -
Similars in Google
Share
Caldasia
Print version ISSN 0366-5232On-line version ISSN 2357-3759
Caldasia vol.33 no.1 Bogotá Jan./June 2011
Water quality assessment in Río Negro River and its main tributaries using ICA, BMWP / Col and ASPT
YIMMY MONTOYA M.
YEIMI ACOSTA
ELIZABET ZULUAGA
Semillero de Limnología, Facultad de Ingeniería, Universidad Católica de Oriente, Rionegro-Colombia. Apartado 050956. Medellín, Colombia. yimmymontoya3@hotmail.com
RESUMEN
El objetivo de este trabajo es comparar los resultados obtenidos en el estudio del río Negro llevados a cabo en el 2002 con los del 2007, empleando el BMWP/Col, el ASPT, el índice de diversidad (H') y el índice ICA, para dar cuenta de la evolución del sistema en el tiempo, conocer el grado de alteración en que se encuentran los diferentes tramos del río y conocer así mismo, la evolución de la estructura de la asociación de macroinvertebrados acuáticos a lo largo del gradiente longitudinal del río asociado a la contaminación. Las variables fisicoquímicas evidencian una tendencia al mejoramiento de las condiciones de calidad del agua durante el segundo muestreo en cada una de las campañas y a nivel longitudinal, se evidencia la capacidad de recuperación de las aguas del río. Las variables con mayor influencia sobre las otras fueron la turbiedad, los sólidos totales, los nutrientes, la temperatura del agua y el oxígeno disuelto, aunque no presentaron relación con los índices biológicos y químicos evaluados. El ICA presento diferencias significativas en el gradiente horizontal, presentándose una disminución de la calidad y de la biodiversidad de macroinvertebrados, aunque se evidencia un mejoramiento de las condiciones del río entre el 2002 y el 2007.
Palabras clave. Limnología tropical, BMWP, ICA, ASPT, macroinvertebrados.
ABSTRACT
The aim of this study is to compare the results obtained in the study of Negro river conducted in 2002 with those of 2007, using the BMWP / Col, ASPT, diversity (H') index and ICA index, to reflect the evolution of the system over time, to understand the degree of change faced by different sections of the river as well as how the association structure of aquatic macroinvertebrates changes along the longitudinal gradient of the river associated with pollution. Physicochemical variables show a trend towards improved conditions for water quality during the second sampling in each survey and longitudinal level is evidence of the resilience of the river. The variables with greater influence over the others were turbidity, total solids, nutrients, water temperature, and dissolved oxygen; however, they did not show relationship with the evaluated biological and chemical indices. The ICA presented significant differences in the horizontal gradient, presenting a decline in the quality and macroinvertebrates biodiversity although an improvement in the conditions of the river between 2002 and 2007 was observed.
Key words. Tropical limnology, BMWP, ICA, ASPT, macroinvertebrates
Recibido: 15/12/2008
Aceptado: 14/04/2011
Los sistemas de aguas dulces (lénticos y lóticos) más que ningún otro ecosistema son sensibles a modificaciones antrópicas. A través de los años, estos sistemas han sido usados como depósitos de desechos cuya consecuencia principal ha causado la desaparición o reducción de manera sustancial de algunas especies que conforman las comunidades bióticas (Lozano 2007). La evaluación de la calidad del agua se ha realizado tradicionalmente con base en los análisis fisicoquímicos y bacteriológicos. Sin embargo, en los últimos años, muchos países han aceptado la inclusión de las comunidades acuáticas como un hecho fundamental para evaluar la calidad de los ecosistemas acuáticos (Fernández et al. 2002, Roldán 2003). El uso de estas comunidades permite refinar la toma de decisiones sobre el uso del agua y el impacto que genera el hombre sobre este recurso.
El Biological Monitoring Working Party (BMWP) fue establecido en Inglaterra en 1970, como un método sencillo y rápido para evaluar la calidad del agua usando los macroinvertebrados como bioindicadores (Roldán 2003). Este método es de fácil utilización ya que la identificación de los macroinvertebrados a nivel de familia no requiere de mucho esfuerzo taxonómico, de dinero y de tiempo y por el contrario, es mucha la información que se obtiene sobre la calidad biológica del agua. Los aspectos biológicos han adquirido una creciente importancia en el estudio de los sistemas acuáticos, debido a que las variables fisicoquímicas no determinan con precisión la calidad de las aguas y sólo dan una idea puntual sobre ella. La utilización de las comunidades de bioindicadores permite emplearlas como testigos biológicos del nivel de deterioro ambiental de las corrientes superficiales y evidenciar las condiciones y los cambios ecológicos acaecidos en ellas (Alba-Tercedor 1996; Prat & Muné 1999).
Desde los comienzos de la limnología ha sido de uso tradicional evaluar la calidad del agua empleando algunas variables físicas, químicas y bacteriológicas. El índice de calidad de agua (ICA) propuesto por la National Sanitation Foundation fue concebido para las características de los ríos norteamericanos (Behar et al. 1997). Este índice emplea un conjunto de nueve variables individuales (oxígeno disuelto, coliformes fecales, pH, demanda bioquímica de oxígeno (DBO5), nitratos, fósforo total, temperatura del agua, turbiedad y sólidos totales) y dos variables agrupadas (sustancias tóxicas y pesticidas) las cuales fueron escogidas por una encuesta entre 142 expertos, además que se les dio un peso a cada una dentro de la puntuación total del índice.
En Colombia, los estudios de los macroinvertebrados acuáticos se remontan a los años setenta (Roldán 2003), a partir de los cuales algunas investigaciones se han dedicado a la caracterización fisicoquímica de los ríos (Mathias & Moreno 1983, Rodríguez & Romero 2002, Ruiz 2002, Posada 2002, Peláez et al. 2006, Castellanos & Serrato-Hurtado 2006, Montoya & Ramírez 2006, Núñez-Avellaneda et al. 2006, Peláez-Rodríguez & García 2006), a la realización de inventarios de la fauna de macroinvertebrados habitantes de sistemas loticos (Roldán 1980, Arango & Roldán 1983, Álvarez & Roldán 1984, Bedoya & Roldán 1984, Roldán 1985, Zúñiga de Cardoso 1985, Roldán 1988, Muñoz 1994, Gómez & Velásquez 1999, Aristizábal 2002, Sánchez et al. 2004, Bernal et al. 2006, Montoya 2007a) y a partir de estas bases taxonómicas y estudios de línea base desde los años noventa se han realizado investigaciones empleando los macroinvertebrados como indicadores de la calidad de las aguas (Zamora 1999, Roldán 1999, 2001, Arias & Reales 2004, Sánchez 2004, Mosquera et al. 2004, Sánchez et al. 2006, Montoya 2007b, 2008). Respecto al ICA son pocos los trabajos que se han realizado en el país empleando este índice (Jaramillo 1991, Behar et al. 1997, Zúñiga & Mesa 2000, Zúñiga et al. 2006).
El objetivo de este trabajo es comparar los resultados obtenidos en el estudio del río Negro llevados a cabo por Machado y Ramírez (2003) con los obtenidos por Montoya et al. (2007a), empleando el índice Biological Monitoring Working Party adaptado para Colombia (BMWP/Col), el promedio de puntuación por taxón (ASTPT), el índice de diversidad de Shannon (H´) y el índice de Calidad Ambiental (ICA), para dar cuenta de la evolución del sistema en el tiempo, conocer el grado de alteración en que se encuentran los diferentes tramos del río y conocer también, la evolución de la estructura de la asociación de macroinvertebrados acuáticos a lo largo del gradiente longitudinal del río asociado a la contaminación.
MATERIALES Y MÉTODOS
Área de estudio
La cuenca del río Negro está conformada por el borde de montañas que delimita las fronteras entre El Retiro y Medellín, atraviesa los municipios de la Unión, El Carmen de Viboral, El Santuario, Guarne, La Ceja, Rionegro y Marinilla, recorre los Valles de San Nicolás. Sus principales afluentes son las quebradas la Mosca, La Marinilla, La Cimarrona, La Pereira, La Chachafruto, convirtiéndose todos en el río Negro que luego va a surtir el sistema interconectado de embalses El Peñol-Guatapé. La extensión de la cuenca es de 952 km2. La zona de vida predominante en el área de estudio, corresponde al bosque húmedo Montano Bajo (bh-MB).
El Altiplano del oriente Antioqueño se caracteriza por altitudes entre 1900 y 2800 m, con precipitaciones que oscilan de los 1700 a los 2000 mm, con dos períodos de lluvia comprendidos entre los meses de abril-junio y septiembre-noviembre, los meses con mayor intensidad lluviosa son mayo y octubre, mientras que los más secos son enero y febrero (Toro 1979). El clima ha sido un factor de gran importancia para el desarrollo agrícola de sus regiones, en unión con la fertilidad de muchos suelos, pero la fisonomía de esta zona de vida ha sido transformada fuertemente por el hombre (Machado & Ramírez 2003).
Muestreo
Se realizó un recorrido preliminar por los sitios de muestreo que ha usado la Corporación Autónoma Regional RíoNegro-Nare (Cornare) para los monitoreos de calidad del agua en el Río Negro. Se establecieron cinco estaciones de muestreo a lo largo del recorrido, teniendo en cuenta las zonas de intercambio de aguas del Río Negro con sus principales afluentes (Fig. 1).
Figura 1. Área de estudio: Localización de la cuenca del río Negro y del tramo estudiado.
La estación Montenevado (E1) corresponde a la zona del nacimiento del río, producto de la descarga del embalse de la Fe, presenta un sustrato dominado por piedras y gravas, abundancia de macrófitas y perifiton y las aguas son transparentes. La segunda estación, Puente real (E2), se localizó aguas debajo del aporte del barrio el Porvenir, uno de los mayores asentamientos urbanos en el municipio de Rionegro, presenta un sustrato dominado por piedras, gravas y fragmento de concreto, abundancia de perifiton, pocas macrófitas, las aguas son turbias. La estación Puente Autopista (E3) se localizó a las afueras de la ciudad de Rionegro en un sector industrial, sobre el cual se están haciendo movimientos de tierra para la ampliación de la autopista Medellín-Bogotá, además este tramo recibe las aguas de las quebradas La Cimarronas y La Mosca, las cuales recogen las aguas que pasan por los municipios de El Carmen de Viboral y Guarne, respectivamente. Presenta un sustrato dominado por cantos rodados y fango, ausencia de macrófitas y perifiton y las aguas son turbias. La estación La Fresera (E4) se ubicó aguas abajo del tramo en el que confluyen al Río Negro las aguas de la quebrada La Marinilla la cual recorre el municipio de Marinilla. Presenta un sustrato dominado por cieno y barro, abundancia de perifiton, las macrófitas son escasas y las aguas son turbias. Finalmente, la estación Río Abajo (E5), la cual recibe las aguas de la Quebrada El Salado, provenientes del municipio de San Vicente. El sustrato es dominado por piedras, escasez de macrófitas y perifiton y aguas turbias En esta zona el río se denomina Río Nare, el cual desemboca en el embalse de El Peñol, el segundo en tamaño e importancia en Colombia.
Para evaluar todas las estaciones de colecta el mismo día, se trabajó simultáneamente en tres grupos de investigadores distribuidos por toda la cuenca. En general se siguieron los protocolos de muestreo empleados por Machado & Ramírez (2003). En campo se determino la concentración de oxígeno disuelto, su porcentaje de saturación, la temperatura del agua y el pH. Adicionalmente, se tomaron muestras para la evaluación de la concentración de Escherichia coli (UFC/100 ml), conductividad eléctrica, turbiedad, DBO5, sólidos totales, nitratos y fósforo total, los cuales se realizaron en el laboratorio de Cornare.
Para la evaluación de los macroinvertebrados acuáticos se utilizaron redes especializadas (D-Net, pantalla, surber), recolección manual y se emplearon dragas Ekman de 231 cm2 de superficie, con una intensidad de muestreo de 30 minutos por estación (Montoya et al. 2007a).
Para cada variable física, química y microbiológica se obtuvo un valor medio basado en los cuatro muestreos realizados en cada una de las estaciones. Los datos obtenidos fueron sometidos a análisis exploratorio mediante el uso de estadísticos de tendencia central (media aritmética) y de dispersión (coeficiente de variación relativa de Pearson, CV). La asociación entre los índices BMWP/Col e ICA y las variables físicas y químicas se efectuó mediante un análisis de regresión lineal múltiple. Para evaluar la relación entre los macroinvertebrados, las estaciones de muestreo y las variables fisicoquímicas se realizó un análisis de correspondencia canónica (ACC) empleando el programa Canoco 4.5. El resto de los análisis estadísticos mencionados anteriormente se llevaron a cabo con el paquete estadístico Statgraphics v.3,0.
RESULTADOS
Los resultados de los atributos fisicoquímicos evidencian diferente grado de variación entre las variables, aunque cabe recalcar la tendencia al mejoramiento de las condiciones de calidad del agua durante el segundo muestreo en cada una de las campañas y a nivel longitudinal, se evidencia la capacidad de recuperación de las aguas del río (Tabla 1). En el trabajo de Montoya et al. (2007) se puede ampliar la información en cuanto a los datos pluviométricos y los resultados fisicoquímicos.
En el análisis entre periodos hidroclimáticos se puede observar que en el periodo seco hay un aumento de la temperatura de agua, del pH, del fósforo total, los sólidos totales y los coliformes y una disminución de la turbiedad, la DBO5, los nitratos y el porcentaje de saturación de oxígeno disuelto. La variación anual exhibe tres tendencias; en primer lugar se presentan algunas variables que registran un aumento de sus valores absolutos entre el año 2002 y 2007 sin importar el periodo hidroclimático y la estación de muestreo, tales como la temperatura del agua, la turbiedad, los nitratos, la saturación del oxígeno y los sólidos totales. En segundo lugar aparecen variables que presentan la tendencia opuesta, es decir, sus valores absolutos han disminuido con el paso del tiempo sin importar el periodo climático. En este grupo se pueden incluir la DBO5 y el fósforo total. Finalmente, el tercer patrón está dado por el pH el cual exhibe una disminución temporal de sus valores entre periodos secos y un aumento asociado al incremento de las lluvias.
Las variables físicas, químicas, biológicas, microbiológicas y los índices BMWP/Col e ICA presentan fluctuaciones superiores al 15%, excepto la temperatura del agua y el pH (Tabla 2). A nivel temporal y espacial presentaron diferencias la temperatura del agua, DBO5, nitratos, sólidos totales y saturación de oxígeno. El fósforo sólo cambio significativamente a nivel temporal. La prueba de correlación mostró que las variables con mayor influencia sobre las otras fueron la turbiedad, los sólidos totales, los nutrientes, la temperatura del agua y el oxígeno disuelto. Se presentaron correlaciones (n= 20) entre la temperatura del agua y los nitratos (r = 0.45, p = 0.0481), la turbiedad y los nitratos (r = 0.75, p = 0.0001), el fósforo total y los sólidos totales (r = 0.63, p = 0.0029), los nitratos y el fósforo total (r = 0.58, p = 0.0079), la DBO5 y el índice de diversidad (r = 0.46, p = 0.0438) y finalmente, se estimó la relación entre los sólidos totales y los nitratos, el fósforo total y el oxígeno disuelto (r = 0.81, p = 0.0000; r = 0.67, p = 0.0011; r = -0.46, p = 0.0423, respectivamente).
El ACC captó el 46,5% de la variabilidad total de los datos en los primeros dos ejes (Fig. 2). El primer componente (22,5%) fue asociado positivamente con la temperatura del agua, la DBO5 y la concentración de nitritos y negativamente con los sólidos totales y la saturación de oxígeno. El segundo componente (24%) estuvo asociado con indicadores de contaminación del agua (turbiedad, ST, DBO5 y fósforo). Se observa que se forman cuatro grupos: 1) las familias Saldidae y Hydroptilidae que se asocian a los nutrientes y a los indicadores de contaminación, 2) Planariidae que se asoció a la contaminación microbiológica, 3) Elmidae y Acari que se relacionaron con el pH y 4) Glossosomatidae, Hydropsychidae, Hydrobiosidae, Tipulidae, Empididae, Tabanidae, Gerridae, Baetidae, Simuliidae, Aeshnidae y Veelidae que se relacionaron con aguas oxigenadas y de buena calidad. En este sector se ubicó la estación E1 la cual presenta los mayores valores del BMWP.
Figura 2. Diagrama de ordenación del análisis de correspondencia canónica. Las figuras representan las estaciones de muestreo: E1 E2 E3 E4 E5
La estructura de las agrupaciones de macroinvertebrados acuáticos durante las dos campañas de muestreo entre los años 2002 y 2006-2007 es muy similar en cuanto a la composición, aunque presenta algunas variaciones respecto a la estructura (Tabla 3 y Tabla 4). La ordenación del ACC evidencia esta tendencia, en la que se observa que una misma estación, cada una con cuatro muestreos, estos se agrupan. Con excepción de la E2 que en el muestreo de 2006 es afectada por la variación del pH y la saturación de oxígeno, además de un incremento en la riqueza de familias y una reducción en la dominancia.
Se recolectaron alrededor de 53000 individuos pertenecientes a 16 órdenes y 31 familias. Las familias más frecuentes durante los muestreos, presentaron los valores numéricamente más importantes, siendo estas características de aguas contaminadas, tales como Chironomidae, Physidae, Planorbidae, Naididae y Veliidae, excepto esta última la cual es indicadora de aguas de buena calidad.
En la estación 1 se presentó la mayor diversidad y riqueza, la cual disminuye drásticamente respecto a las otras estaciones de muestreo, llegando incluso a ocurrir que muchas familias sólo se registraron en este sector del río (Fig. 3). A nivel temporal, se presentó un aumento del número de familias registradas entre los dos estudios, ya que aparecen 9 familias o subfamilias nuevas (Tubificinae, Staphylinidae, Glossosomatidae, Hydropsychidae, Hydrobiosidae, Tipulidae, Empididae, Tabanidae y Planariidae). En el tramo medio (E2 y E3) disminuye significativamente la diversidad, la riqueza, la equitatividad y aumentó la dominancia; los organismos que se encontraron son tolerantes al incremento de contaminantes en el medio acuático, las comunidades son dominadas por gastrópodos, tubifícidos y dípteros. En la estación 4 se presentan condiciones similares al tramo anterior, especialmente durante las campañas del 2002, ya que durante las del 2006 se evidencia una recuperación de la biodiversidad en este sector del río. La estación 5 evidencia la capacidad de auto recuperación del río, especialmente en las campañas del 2002, ya que en los otros muestreos se registra una regresión de los índices comunitarios.
Figura 3. Variación de los índices comunitarios: a) Diversidad; b) Equidad; c) Dominancia; e) Riqueza de familias.
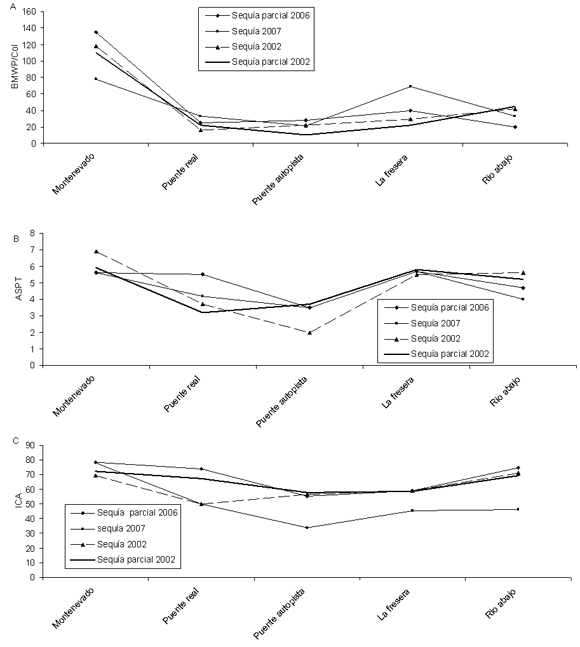
Los valores del índice BMWP/Col oscilaron entre 8 y 135 encontrándose ambos valores en el periodo seco del año 2002 (Fig. 4a). El valor medio para este índice fue de 42.2, con una variación del 79.7 %. La tabla 5 muestra que el análisis de varianza no presentó diferencias estadísticas significativas para esta variable respecto a la variación espacial (estaciones) y temporal (campañas de muestreo). No se obtuvieron correlaciones significativas entre este índice y las variables físicas y químicas analizadas; sólo respecto al índice ASPT la correlación fue estadísticamente aceptada (r = 0.47, n = 20, p = 0.0371). Este último índice (Fig. 4b) presentó un bajo valor medio, con una magnitud de 4.78 unidades y una variación del 25.6 %. Respecto a las variables fisicoquímicas evaluadas no presentó correlación significativa con ninguna de ellas, el ANOVA no registró diferencias a nivel espacial y temporal al igual que el BMWP.
Figura 4. Variación de los índices de calidad: a) BMWP/Col; b) ICA; c) ASPT.
Tabla 5. Resultados del análisis de varianza de las variables evaluadas en el río Negro.
Por otro lado, el ICA presenta dos tendencias, un predominio de mejores condiciones en los primeros muestreos de ambas campañas y entre estas, se observa que en varias estaciones la calidad del agua mejoró (Fig. 4c). Los valores para este índice presentan un valor medio de 61.27, con una variación del 20 %. El análisis de varianza presentó diferencias estadísticas para el índice respecto a la variación espacial (F = 5.966, p = 0.0070, n = 20), al evaluar las diferencias entre medias se encontró que las estaciones E1 y E2 presentan condiciones similares entre sí, pero diferentes respecto a las demás (E3, E4 y E5), las cuales no presentan diferencias estadísticas entre ellas respecto a los valores del ICA. La prueba de correlación no encontró relación de este índice con ninguna variable física ni química evaluada.
DISCUSIÓN
Los resultados expuestos muestran una fauna de macroinvertebrados reducida respecto a sistemas lóticos de condiciones similares no sometidos a contaminación y transformación de sus riberas. Las variaciones observadas en la composición y estructura de la comunidad de macroinvertebrados parecen evidenciar alteraciones locales en determinados puntos del sistema. El tramo superior del río se origina en la salida de las aguas del embalse La Fe, por lo que carece de algunos atributos naturales de un río de montaña no ajustándose a las características del "River Continuum" o río continuo, sino que se trata de un río regulado. Cano & Posada (2002) investigaron la alteración del metabolismo lótico en la quebrada Piedras Blancas (Medellín), la cual es embalsada en la represa Piedras Blancas. Estos investigadores encontraron que en el caudal remanente se presenta un incremento en los tiempos de ablandamiento y fragmentación de la materia orgánica, reducción en la densidad de la deriva orgánica y en la producción algal béntica.
Los índices basados en la presencia de los macroinvertebrados ofrecen varias ventajas a la hora de evaluar la calidad del agua respecto a otros componentes de la fauna acuática. Entre estas ventajas, Rosenberg & Resh (1993) plantean las siguientes: a) presencia en prácticamente todos los sistemas acuáticos continentales, lo cual posibilita realizar estudios comparativos; b) su naturaleza sedentaria, la que permite un análisis espacial de los efectos de las perturbaciones en el ambiente; c) los muestreos cuantitativos y análisis de las muestras, que pueden ser realizados con equipos simples y de bajo costo, y d) la disponibilidad de métodos e índices para el análisis de datos, los que han sido validados en diferentes ríos del mundo.
En Colombia y en especial en Antioquia las investigaciones realizadas desde hace más de 30 años sobre los invertebrados acuáticos (Roldán, 1988, 1992, 2003), han generado una base sólida de información que ha permitido el uso de índices como el BMWP, para el biomonitoreo de las cuencas hidrográficas del país, Centroamérica y la zona norte y oeste de Sudamérica.
Algunos autores consideran que los índices biológicos presentan dependencia estacional, asociada a los cambios de temperatura del agua (Murphy 1978). En esta investigación no se obtuvieron correlaciones significativas entre los índices (BMWP/Col y el ICA) con la temperatura del agua, y tampoco variaciones significativas entre los muestreos, indicando que los cambios en la calidad del agua obedecen más a la polución que a la estacionalidad. Resultados similares fueron reportados por Zamora-Muñoz et al. (1995) quienes encontraron que las diferencias entre los valores máximos y mínimos para el BMWP y el ASPT entre muestreos para cada sitio fueron relativamente pequeñas respecto a las diferencias entre los sitios. No obstante se evidencia una tendencia a la disminución de los valores de estos índices y a la reducción de la contribución de los efemerópteros, plecópteros y tricópteros en la estructura bentónica en el gradiente longitudinal del río, lo cual se ha evidenciado en diferentes latitudes (Miserendino 2003; Pavé & Marchese 2005).
Los resultados obtenidos tras la aplicación de los índices BMWP/Col, ASPT, índices comunitarios e ICA indican el deterioro de la calidad del agua, especialmente en los tramos medio y bajo del río Negro, en los cuales se observa una sustitución de los taxones característicos de aguas de cabecera (Perlidae, Polythoridae, Ptilodactylidae, Psephenidae, Odontoceridae, Leptophlebidae) por un grupo de taxones más tolerantes como Chironomidae, Baetidae, Simuliidae, Glossiphonidae, Physidae, Hydrophilidae, Tipulidae, Ceratopogonidae, Naididae.
Una desventaja del ICA es que no incluye la estimación de condiciones de contaminación por agentes tan importantes como metales pesados e hidrocarburos, ni considera la evaluación del compartimento sedimentario, cuyo monitoreo es básico para la conservación de la salud de los ecosistemas acuáticos (Ortíz-Galarza et al. 2005), aunque hay que mencionar que la disponibilidad de recursos económicos para los proyectos de investigación ha generado en parte la ausencia de estas variables dentro de los procesos rutinarios de evaluación de la calidad del agua. La inclusión de la aplicación del BMWP soluciona en parte este problema, ya que los macroinvertebrados, al habitar permanentemente en el sistema acuático, reflejan las condiciones del medio incluyendo el efecto de las sustancias mencionadas.
El gradiente de calidad observado en el río Negro a lo largo del perfil longitudinal parece responder a una combinación de efectos de las diferentes actividades humanas, tales como el represamiento de sus aguas, las actividades agrícolas en sus llanuras de inundación, procesos de erosión de la cuenca, modificación de su cauce y vertido de efluentes residuales de tipo doméstico e industrial. La mayoría de los estudios realizados en este tema han dedicado un gran esfuerzo a la caracterización a gran escala de los sistemas lóticos, con distancias entre estaciones de muestreo que oscilan de 1 a 100 km (Mi-Young et al. 2006).
Por otro lado, el aporte de sustancias químicas y subproductos de la actividad agrícola repercute negativamente sobre la calidad del agua del río y sobre el ensamblaje de insectos acuáticos que allí habitan. Aunque las variables químicas de este tipo no fueron tenidas en cuenta, es claro que ejercen un efecto sobre las aguas de este río ya que es amplia la zona de cultivos aledaños al cauce y son numerosos los floricultivos asentados en el área. Además esta parte del departamento es considerada como despensa alimentaria de Medellín y es una de las regiones de mayor consumo de agroquímicos en el país (Anónimo 2004). Shiegh & Yang (2000) realizaron una investigación en un arroyo de montaña en Taiwán el cual fluye por una zona de intensa actividad agrícola, ellos encontraron que el uso de fertilizantes y otras sustancias químicas estaba relacionado con la baja densidad, diversidad y riqueza de macroinvertebrados y explicaban los elevados valores de la conductividad eléctrica, la concentración de nitratos y la dureza del agua. En una zona de plantación de banano en Costa Rica, Castillo et al. (2006) observaron que al comparar pruebas de toxicidad en Daphnia e Hydra respecto al análisis multivariado de la composición de los macroinvertebrados de la comunidad bentónica, que este último análisis es más sensible para distinguir el efecto de los pesticidas.
Pese al impacto de origen antrópico sobre el sistema, el río parece presentar una buena capacidad de autodepuración debido a las fuertes pendientes, las cuales favorecen los procesos de reoxigenación de sus aguas. Durante los períodos de sequía parece acentuarse una disminución de la calidad del agua evaluada mediante el BMWP/Col, aunque se pudo evidenciar un mejoramiento de las condiciones para este mismo índice al comparar los muestreos del 2002 con los del 2006-2007, lo que se puede atribuir al aumento en el número de plantas de tratamiento en los municipios del oriente antioqueño, a un aumento en las campañas de concientización sobre el uso adecuado de pesticidas y agroquímicos y su adecuada disposición y al mejoramiento de los sistemas de recolección de residuos, lo que se refleja en un mejoramiento gradual de las condiciones del río. Al realizar el mismo análisis, pero empleando el ICA se presenta un cambio en el comportamiento del sistema evaluado a través de este índice, ya que se evidencia un aumento de la amplitud de la variación de los valores dentro de los muestreos de la última campaña (2006-2007), presentándose en el período seco de esta, las peores condiciones de calidad del agua, evaluadas a través de este índice. Estos cambios son debidos a los impactos de corto y mediano alcance sobre los ecosistemas acuáticos. Davies et al. (2006) incluyen dentro de los cambios primarios factores como la hidrología, la geomorfología, el transporte de sedimentos, la dinámica de nutrientes, el balance del carbono y los hábitats del río y dentro de los de impacto secundario incluyen la disminución de la diversidad de los macroinvertebrados, peces y otros vertebrados, como también los cambios en las tasas de crecimiento, la composición de las comunidades, capacidad reproductiva y comportamiento de la fauna acuática. Vale la pena incluir la contaminación en este listado, como un proceso que introduce energía en exceso sobre el sistema, llevando a los organismos a disiparla o a desaparecer y ser reemplazados por otros de mayor tolerancia.
Al hacer una comparación espacial de la aplicación de ambos índices, se observa que los dos registran al sitio E1 como el de mejores condiciones. El E2 presenta una disminución de la calidad del agua, la cual se agudiza en E3, estación que se puede considerar como la de peores condiciones de calidad biológica y fisicoquímica (especialmente en el periodo de sequía), ya que en este tramo el río a traviesa la ciudad de Rionegro, la cual cuenta con una población superior a los 100.000 habitantes lo que unido a la disminución del caudal en esta época, genera un impacto negativo sobre el sistema acuático. Adicionalmente, en este sector el río recibe el aporte de las quebradas La Pereira, La Cimarronas y La Mosca, todas con una calidad biológica crítica (Montoya et al. 2007) las cuales recogen cargas contaminantes de los municipios de La Ceja, El Carmen de Viboral y Guarne, respectivamente. En la E4 el sistema mediante su capacidad de autodepuración alcanza a recuperarse ostensiblemente y en E5 se presenta una divergencia de comportamientos entre los índices, ya que el BMWP/Col presenta una nueva disminución de la calidad biológica de las aguas; respecto al ICA se evidencia una estabilidad en las condiciones respecto a la estación anterior, o incluso en el 75% de los casos, un mejoramiento de la calidad fisicoquímica del agua. Esta diferencia puede estar dada por la dificultad para muestrear la fauna de macroinvertebrados en esta zona, ya que el río se abre presentando un caudal muy elevado el cual ha erosionado las bancas de las orillas, lo que dificulta el muestreo en este sector. Otro factor importante es el aporte de la quebrada El Salado al río Negro antes de llegar a la estación E5, este sistema fluvial recorre el municipio de San Vicente y su calidad biológica es crítica (Montoya et al. 2007a). El enriquecimiento orgánico observado en el río Negro, favorece la instalación de un ensamblaje más tolerante a la mineralización y a la carga orgánica, la cual permite diferenciar la zona del nacimiento del río del tramo más habitado y del tramo inferior del río antes de su llegada al embalse del Peñol-Guatapé.
El comportamiento de cada sitio fue particular, ya que se observaron estaciones de muestreo que presentaron mejores condiciones de calidad del agua en el 2002 que en el 2006-2007 y viceversa, lo que puede asociarse a variaciones de corta escala espacio-temporal.
Los trabajos de identificación de la biodiversidad acuática colombiana han sido fragmentarios y con poca continuidad en el tiempo, por lo que esta investigación trata de hacer algunas reflexiones sobre la dinámica de esta comunidad asociada a los diferentes impactos generados por el hombre en el gradiente horizontal, evaluados a través del tiempo empleando los índices comunitarios, el ICA y el BMWP/Col.
El Río Negro presenta contaminación por coliformes en todos los puntos analizados, aunque no se tiene información en el período del año 2002, los valores registrados en los muestreos del 2006-2007 indican que este sistema hídrico continua recibiendo aguas residuales domésticas. Los mayores valores se presentaron en la estación 4, la cual presentó bajos valores de oxígeno y altas concentraciones de sólidos totales y de turbiedad.
Al analizar los cambios en la dimensión temporal ninguno de los índices biológicos presento variaciones estadísticamente significativas. Este resultado debe mirarse en detalle desde el significado de cada valor, su fluctuación y su relación con la calidad del agua. Lo anterior puede indicar que se presentan unas condiciones de calidad del agua similares desde el punto de vista estadístico sin importar la época del muestreo, aunque se evidencian cambios entre los muestreos y entre las campañas. Hay que tener en cuenta que las variaciones del caudal asociadas a la estacionalidad natural, ya que este sistema se caracteriza por responder rápidamente a los incrementos en las precipitaciones (Observación Personal). Por otra parte, las épocas seleccionadas para los muestreos corresponden a descensos de las precipitaciones, lo cual implica una menor capacidad de lavado y de dilución del sistema, y la mayor capacidad de evaporación tiende a intensificar durante este periodo los efectos de la alteración antrópica y a evidenciar los procesos de contaminación (Vivas et al. 2002).
En la actualidad la ciudad de Rionegro tiene avanzada la construcción de un sistema de plantas de tratamiento de aguas residuales, las cuales se esperan entren pronto a funcionar y a repercutir en el mejoramiento de la calidad física, química, biológica y microbiológica del río. Este proceso debe ser acompañado de trabajos de recuperación de las llanuras de inundación del río, las cuales son hábitats fundamentales para muchos organismos acuáticos. Finalmente, este proceso de cambio debe de ser acompañado por campañas de educación y monitoreo fisicoquímico y biológico para evaluar el verdadero impacto de estas acciones en pro del mejoramiento de la calidad del agua del río Negro y de la vida de los habitantes de su cuenca.
AGRADECIMIENTOS
Agradecemos a la Universidad Católica de Oriente y a Cornare por el apoyo económico para el desarrollo de la base de datos de la investigación original de la cual se extrae esta publicación. Gracias también a Andres Galeano y Yuliana Henao, por su apoyo en las labores de campo y de laboratorio. Agradecemos las contribuciones de un grupo de evaluadores anónimos, que permitieron mejorar el manuscrito.
LITERATURA CITADA
1. ALBA-TERCEDOR, J. 1996. Macroinvertebrados acuáticos y calidad de las aguas de los ríos. IV Simposio del Agua en Andalucía (SIAGA): 203-213. [ Links ]
2. ÁLVAREZ, L.F. & G.E. ROLDÁN. 1984. Estudio taxonómico y ecológico de los hemípteros a diferentes pisos altitudinales en el departamento de Antioquia. Actualidades Biológicas 12: 31-45. [ Links ]
3. ANÓNIMO. 2004. http://planeacion.gobant.gov.co/anuario2004/anuario2004/medioamb/i-medioamb.htm (Citado 23 Julio 2008). [ Links ]
4. ARANGO, M.C. & G.E. ROLDÁN. 1984. Estudio de las larvas acuáticas del orden Odonata en diferentes pisos altitudinales en el departamento de Antioquia. Actualidades Biológicas 12: 91-104. [ Links ]
5. ARIAS, J.H. & G. SÁNCHEZ. 2004. Evaluación de la calidad del agua por medio de la comunidad de macroinvertebrados acuáticos presentes en el río Tutunendo, Quibdó- Chocó. VI seminario colombiano de limnología. 29p. [ Links ]
6. ARISTIZABAL, H. 2002. Los hemípteros de la película superficial del agua en Colombia, parte I: Familia Gerridae. Editoral Academia Colombiana de Ciencias Exactas Físicas y Naturales. Colección Jorge Álvarez Lleras. [ Links ]
7. BEDOYA, I. & G.E. ROLDÁN. 1984. Estudio de los dípteros acuáticos en diferentes pisos altitudinales en el departamento de Antioquia. Revista Asociación Colombiana de Ciencias Biológicas 2: 113-134. [ Links ]
8. BEHAR, R., M.C. ZUÑIGA & O. ROJAS. 1997. Análisis y valoración del índice de calidad de agua (ICA) de la NSF: El caso de los ríos Cali y Meléndez (Cali-Colombia). Revista Ingeniería y Competitividad Universidad del Valle 1: 17-27. [ Links ]
9. BERNAL, E., D. GARCIA, M.A. NOVOA & A. PINZÓN. 2006. Caracterización de la comunidad de macroinvertebrados de la quebrada Paloblanco de la cuenca del río Otún (Risaralda-Colombia). Acta Biológica Colombiana11: 45-59. [ Links ]
10. CASTELLANOS, P.M. & C. SERATO-HURTADO. 2006. Macroinvertebrados acuáticos en un nacimiento de rio en el Páramo de Santurbán. Pág. 117 en: F.A. Villa, C. A. Rivera, G.R. Flórez & M. Avellaneda (Eds), Resúmenes del VII seminario colombiano de limnología. Universidad del Tolima-ACL-Limnos. [ Links ]
11. FERNÁNDEZ, H.R., F. ROMERO, M.B. VECE, V. MANZO, C. NIETO & M. ORCE. 2002. Evaluación de tres índices bióticos en un río subtropical de montaña (Tucumán - Argentina). Limnética 21: 1-13. [ Links ]
12. FERNÁNDEZ, N., A. RAMÍREZ & F. SLANO. 2004. Valoración de a calidad del agua a través de índices de calidad de aguas e índices de contaminación. VI seminario Colombiano de Limnología. 55p. [ Links ]
13. GARCÍA-PEREZ, J.F., L.A. OSPINA-LOPÉZ, F.A. VILLA-NAVARRO & G. REINOSO-FLOREZ. 2007. Diversidad y distribución de mariposas Satyrinae (Lepidóptera: Nymphalidae) en la cuenca del río Coello, Colombia. Revista de Biología Tropical 55: 645-653. [ Links ]
14. GOMEZ, M.I & L.H. VELÁSQUEZ. 1999. Estudio de los moluscos de agua dulce de la reserva ecológica "Cerro de San Miguel" (Caldas, Antioquia, Colombia). Actualidades Biológicas 21: 151-161. [ Links ]
15. JARAMILLO, C.I. 1991. Índices de calidad de las fuentes de abasto del acueducto. Revista Empresas Públicas de Medellín 13: 149-166. [ Links ]
16. LOZANO, O.L. 2007. La bioindicación de la calidad del agua: Importancia de los macroinvertebrados en la cuenca alta del Río Juan Amarillo, Cerros orientales de Bogotá. http://redalyc.uaemex.mx/ (Citado 2 de mayo de 2007). [ Links ]
17. MACHADO, T & J.J. RAMÍREZ. 2003. Los macroinvertebrados acuáticos y su relación con los cambios en las variables físicas y químicas como indicadores de la calidad ecológica de la cuenca del río Negro. Convenio Universidad Católica de Oriente-Cornare. Rionegro. [ Links ]
18. MATHIAS, U & H. MORENO. 1983. Estudio de algunos parámetros fisicoquímicos y biológicos del río Medellín y sus principales afluentes. Actualidades Biológicas 12: 106-117. [ Links ]
19. MISERENDINO, M. L. 2003. Distribution of macroinvertebrate assemblages in the Azul-Quemquemtreu river basin, Patagonia, Argentina. New Zealand Journal of Marine and Freshwater Research 37: 525-539. [ Links ]
20. MONTOYA, Y. 2007a. Evaluación de la biodiversidad de insectos acuáticos y de calidad fisicoquímica y biológica del Río Negro (Antioquia-Colombia). Revista Universidad Católica de Oriente 23: 70-87. [ Links ]
21. MONTOYA, Y. 2007b. Colonización de sustratos rocosos por los macroinvertebrados acuáticos en la quebrada Los Andes, El Carmen de Viboral, Antioquia-Colombia. Revista Universidad Católica de Oriente 23: 88-104. [ Links ]
22. MONTOYA, Y. 2008. Caracterización de la biodiversidad acuática y de la calidad de las aguas de la quebrada Los Andes, El Carmen de Viboral, Antioquia. Revista Institucional Universidad Tecnológica del Chocó 27: 4-10. [ Links ]
23. MOSQUERA, Z., C. RIVAS & S. ASPRILLA. 2004. Calidad ecológica de las aguas de la parte media del río Cabí (Quibdó-Chocó) utilizando los macroinvertebrados como indicadores. VI seminario Colombiano de Limnología. 81p. [ Links ]
24. MUÑOZ, P. 1994. Simúlidos (Díptera: Simuliidae) de la región de Chisacá, Cundinamarca, Colombia. Revista Academia Colombiana de Ciencias Exactas y Naturales 19: 393-412. [ Links ]
25. NUÑEZ-AVELLANEDA, M., J.CH. DONATO, E. RUIZ, J.C. ALONSO & J.C. MORENO. 2006. Mineralización en algunos ambientes acuáticos de la cuenca del río Putumayo (Frontera Colombo Peruana). Pág. 135 en: F.A. Villa, C. A. Rivera, G.R. Flórez & M. Avellaneda (Eds), Resúmenes del VII seminario colombiano de limnología. Universidad del Tolima-ACL-Limnos. [ Links ]
26. PEDRAZA, G. 2006. Importancia del microhabitat y la calidad del agua en la distribución de la entomofauna acuática en las quebradas pequeñas de la zona cafetera colombiana. Pág. 63 en: F.A. Villa, C. A. Rivera, G.R. Flórez & M. Avellaneda (Eds), Resúmenes del VII seminario colombiano de limnología. Universidad del Tolima-ACL-Limnos. [ Links ]
27. PELAÉZ-RODRÍGUEZ, M. & H. GARCÍA. Carga de sólidos suspendidos totales transportada en la cuenca media-alta del río Orteguaza (Caquetá-Colombia). Pág. 160. En: F.A. Villa, C. A. Rivera, G.R. Flórez & M. Avellaneda (Eds), Resúmenes del VII seminario colombiano de limnología. Universidad del Tolima-ACL-Limnos. [ Links ]
28. PAVE, P. J. & M. MARCHESE. 2005. Invertebrados bentónicos como indicadores de calidad del agua en ríos urbanos (Paraná-Entre Ríos, Argentina). Ecología Austral 15:183-197. [ Links ]
29. PELAÉZ, M., H. GARCÍA & G.C. MÉNDEZ. 2006. Caracterización y cuantificación de la carga contaminante transportada por el río Hacha (Florencia-Caquetá). Pág. 67 en: F.A. Villa, C. A. Rivera, G.R. Flórez & M. Avellaneda (Eds), Resúmenes del VII seminario colombiano de limnología. Universidad del Tolima-ACL-Limnos. [ Links ]
30. POSADA, L. 2006. Transporte de sedimentos en ríos grandes. Pág. 6 en: F.A. Villa, C. A. Rivera, G.R. Flórez & M. Avellaneda (Eds), Resúmenes del VII seminario Colombiano de Limnología. Universidad del Tolima-ACL-Limnos. [ Links ]
31. PRAT, N. & A. MUNÉ. 1999. Delimitación de regiones ecológicas de la cuenca del Ebro, Barcelona. Ed. Universidad de Barcelona. [ Links ]
32. RODRÍGUEZ, J. & I. ROMERO. 2002. Caracterización de las condiciones fisicoquímicas y biológicas de la desembocadura del río Gaira durante la estación seca (Santa Marta, Colombia). V seminario colombiano de limnología. 10p. [ Links ]
33. ROLDÁN, G.E. 1980. Estudio limnológico de cuatro ecosistemas neotropicales diferentes con especial referencia a su fauna de efemerópteros. Actualidades Biológicas 9: 103-117. [ Links ]
34. ROLDÁN, G.E. 1985. Contribución al conocimiento de las ninfas de efemerópteros en el departamento de Antioquia. Actualidades Biológicas 14 :3-13. [ Links ]
35. ROLDÁN, G.E. 1988. Guía para el estudio de los macroinvertebrados acuáticos del departamento de Antioquia. Ed Presencia Ltda. Fondo FEN-Colombia, Colciencias-Universidad de Antioquia, Bogotá. [ Links ]
36. ROLDÁN, G.E. 1999. Los macroinvertebrados y su valor como indicadores de la calidad del agua. Revista Academia Colombiana de Ciencias Exactas, Físicas y Naturales 23: 375-387. [ Links ]
37. ROLDÁN, G.E., J.A. POSADA & J.C. GUTIERRÉZ. 2001. Estudio limnológico de los recursos hídricos del parque de Piedras Blancas. Revista Academia Colombiana de Ciencias Exactas, Físicas y Naturales. Colección Jaime Álvarez Lleras No. 9. [ Links ]
38. ROLDÁN, G.E. 2003. Bioindicación de la calidad del agua en Colombia: uso del método BMWP/Col. Ed. Universidad de Antioquia, Medellin. [ Links ]
39. ROSENBERG, D.M. & V.H. RESH. 1993. Freshwater biomonitoring and benthic macroinvertebrates. Chapman & Hall, Nueva York. [ Links ]
40. RUIZ, J.E. 2002. Algunas características sobre la evolución del carbono en la cuenca alta del río Caquetá. V seminario Colombiano de Limnología. 14p. [ Links ]
41. SÁNCHEZ, M. 2004. Macroinvertebrados acuáticos como bioindicadores de la calidad del agua del río Pamplonita zona media. VI seminario Colombiano de Limnología. 115p. [ Links ]
42. SÁNCHEZ, M., C.W. LEÓN, J. ROJAS & R. VARGAS. 2006. Calidad de agua, invertebrados y bioindicación en el río Magdalena en el norte del departamento del Huila. Pág. 92 en: F.A. Villa, C. A. Rivera, G.R. Flórez & M. Avellaneda (Eds), Resúmenes del VII seminario Colombiano de Limnología. Universidad del Tolima-ACL-Limnos. 2006. [ Links ]
43. SHIEH, S. & P. YANG. 2000. Community structure and functional organization of aquatic insects in an agricultural mountain stream on Taiwan. Zoological Studies 39: 191-202. [ Links ]
44. ZAMORA, G. H. 1999. Adaptación del índice BMWP para la evaluación biológica de la calidad de las aguas epicontinentales en Colombia. Revista Unicauca 4: 47-60. [ Links ]
45. ZAMORA-MUÑOZ, C., C.E. SAINZ-CANTERO, A. SANCHEZ-ORTEGA & J. ALBA-TERCEDOR. 1995. Are biological indices BMWP and ASPT and their significance regarding water quality seasonally dependent factors explaining their variations. Water Research 29: 285-290. [ Links ]
46. ZUÑIGA, M. C. 1985. Estudio de la ecología del río Cali con énfasis en su fauna bentónica como indicador biológico de calidad. Ainsa 8: 63-85. [ Links ]
47. ZUÑIGA, M.C. & E. MESA. 2000. Modelo predictivo para obtener índices de calidad de agua en corrientes superficiales: caso del río Cali y río Meléndez, Valle del Cauca. IV seminario Colombiano de Limnología. 62p. [ Links ]


















