Services on Demand
Journal
Article
Indicators
-
Cited by SciELO -
Access statistics
Related links
-
Cited by Google -
Similars in
SciELO -
Similars in Google
Share
Colombia Médica
On-line version ISSN 1657-9534
Colomb. Med. vol.49 no.1 Cali Jan./Mar. 2018
https://doi.org/10.25100/cm.v49i1.2840
Articulo original
Supervivencia al cáncer de mama y cervix en el Instituto Nacional de Cancerología, Colombia
1 Cancer Surveillance Group, Instituto Nacional de Cancerología, Bogota, Colombia
2 Department of Clinical Epidemiology and Biostatistics, Pontificia Universidad Javeriana, Bogota, Colombia
Objetivo:
Describir las estimaciones de supervivencia global a dos años para mama (mujeres) y cuello uterino en tres cohortes (tratadas por primera vez en 2007, 2010, 2012) en el Instituto Nacional de Cancerología de Colombia.
Métodos:
Se incluyeron las pacientes tratadas por primera vez en el Instituto Nacional de Cancerología por cáncer de mama y de cuello uterino en los años 2007, 2010, y 2012, y quienes no habían tenido un diagnóstico previo de otro cáncer. Se cruzaron las bases de datos del registro hospitalario de cáncer con las gubernamentales para obtener información de seguimiento de los casos. Se estimó la probabilidad de sobrevivir a 24 meses a partir de la fecha de ingreso mediante el método de Kaplan-Meier. Se aplicó la prueba de rango logarítmico para evaluar las diferencias entre los grupos.
Resultados:
Se analizaron 1,928 casos de cáncer de mama y 1,189 de cuello uterino. La estimación de la supervivencia global a 24 meses para mama fue 79.6% (IC 95%: 77.8-81.4) y de 63.3% (IC 95%: 60.6-66.0) para cuello uterino, no se observaron tendencias en supervivencia con el año de ingreso. En los estadios clínicos avanzados la supervivencia global disminuyó en estadio clínico IV, tanto para cáncer de mama, 32.2% (IC 95%: 28.4-44.0), como para cuello uterino 22.6% (IC 95%: 11.4-33.8).
Conclusiones:
El cáncer de mama presentó mejor supervivencia en el Instituto Nacional de Cancerología frente al cáncer de cuello uterino. La supervivencia global se comportó de manera estable con los años para ambos tipos de cáncer.
Palabras clave: cáncer de mama; cáncer de cuello uterino; análisis de supervivencia; registro hospitalario de cáncer; Colombia
Objective:
to provide and compare estimations of two-year overall survival for cervical and female breast cancer in three cohorts (first treated in 2007, 2010, 2012) at the Instituto Nacional de Cancerología of Colombia
Methods:
All patients first treated at the Instituto Nacional de Cancerología for breast or cervical cancer in the years 2007, 2010, 2012, without a prior cancer diagnosis, were included for the study. The hospital-based cancer registry was cross linked with governmental databases to obtain follow-up information on all patients. Probability of surviving 24 months since the date of entry at the hospital was estimated using Kaplan-Meier methods, using the log-rank test to evaluate differences between groups.
Results:
We analyzed 1,928 breast cancer cases and 1,189 cervical cancer cases, resulting in an overall survival probability at 24 months of 79.6% (95% CI: 77.8-81.4) for BC and of 63.3% (95% CI: 60.6- 66.0) for cervical cancer, there were no differences in survival for year of entry. Advanced clinical stage substantially affected overall survival, being 32.2% (95% CI: 28.4-44.0) for stage IV breast cancer and 22.6% (95% CI: 11.4-33.8) for stage IV cervical cancer.
Conclusions:
Breast cancer was the cancer with the best survival rates at Instituto Nacional de Cancerología; cervical cancer was the one with the lowest survival rates. Overall survival did not change over the years for any of the cancers.
Keywords: Breast cancer; cancer of the uterine cervix; survival analysis; hospital-based; registry; Colombia
Introducción
La carga de cáncer en las mujeres de América Latina se atribuye principalmente a los cánceres de mama y cuello uterino 1-3. En 2012, en Latinoamérica, las tasas de incidencia estandarizadas por edad de cáncer de mama alcanzaron niveles entre 40-65 por 100,000 años-mujer. Las tasas estandarizadas por edad de mortalidad por cáncer de mama en Colombia aumentaron sustancialmente: de 6.9 a mediados de los años 80 a 10.8 en 2012 4-6. Las tasas de mortalidad estandarizadas por edad para cáncer de cuello uterino disminuyeron de 13.2 en 1984-1988 a 8.7 en 2013 6.
El Instituto Nacional de Cancerología de Colombia (INC) estimó que en el período 2007-2011, se diagnosticaron alrededor de 7,600 casos nuevos de cáncer de mama al año, con 2,226 muertes anuales. En el mismo período, hubo 4,462 nuevos casos de cáncer de cuello uterino y 1,861 muertes. Ambos tipos de cáncer muestran fuertes variaciones geográficas entre las distintas partes del país, con cáncer de mama más frecuente en las ciudades y áreas urbanizadas, y cáncer de cuello uterino en las áreas remotas 7.
El pronóstico de estos dos tipos de cáncer depende de las características sociodemográficas, pero aún más del estadio clínico al momento del diagnóstico, las opciones terapéuticas disponibles y la eficacia del sistema para permitir el acceso a la atención. En general, la supervivencia del cáncer mejora con el Índice de Desarrollo Humano (IDH) de los países o regiones, probablemente a través de un mejor acceso a tratamientos eficientes y una detección potencialmente temprana. Colombia se clasifica actualmente como un país con un IDH alto (0.720) 8. Desde 2003, la cobertura del sistema de aseguramiento en salud obligatorio y universal de Colombia aumentó sustancialmente. Este sistema consiste principalmente en dos regímenes diferentes, cada uno de los cuales cubre poco menos del 50% de la población, asignados en función de los ingresos: el régimen contributivo, que cubre a los trabajadores y sus familias con un ingreso superior al límite y financiado a través de la nómina y las contribuciones del empleador y el régimen subsidiado, que cubre a los identificados como "pobres". Además, alrededor del 5% de la población, los trabajadores de la industria del petróleo, los maestros, el ejército y la policía están afiliados a regímenes "especiales" y "excepcionales"; y un grupo restante de la población no está cubierto por el sistema (representó el 2.6% en 2015, según el Ministerio de Salud) (9-10. Los paquetes y métodos de aseguramiento son similares, pero no las entidades de aseguramiento que proveen la atención dentro de cada régimen.
Existen pocos datos sobre la supervivencia de estos dos tipos de cáncer en las poblaciones de América Latina; los datos basados en la población no muestran la supervivencia por estadio clínico 11,12. Las tendencias de la supervivencia en entornos hospitalarios también son escasas 13, y la mayoría de los informes existentes apuntan a determinar la eficacia de las diferentes opciones terapéuticas. Es así que el INC Colombia diseñó un sistema de vigilancia de supervivencia, basado en vínculos con bases de datos gubernamentales, para producir estimaciones de supervivencia global comparables de sus pacientes sobre una base anual, con el objetivo de evaluar cambios en el pronóstico a lo largo del tiempo y contribuir a la mejora de la calidad del tratamiento del cáncer dentro de la institución y, a través de la comparación de datos, a nivel nacional.
En este manuscrito se comparan las características demográficas y clínicas de las pacientes con cáncer de mama y cuello uterino tratados en el INC en los años 2007, 2010 y 2012 y se informa la supervivencia global a dos años estimada por edad, estadio clínico y tipo de afiliación al sistema de seguridad social.
Materiales y Métodos
Se seleccionaron los casos en mujeres con cáncer invasivo de mama (C50) y de cuello uterino (C53) tratados por primera vez en el INC - Colombia en los años 2007, 2010 y 2012 a partir del registro de cáncer hospitalario del INC 14. Solo se consideró el primer cáncer primario invasivo para cada tipo de cáncer, ya que la probabilidad de supervivencia de las pacientes con primarios anteriores pudo verse alterada. Los casos registrados en cada año se consideraron cohortes fijas. La información del registro hospitalario se verificó y completó utilizando la información de las historias clínicas y se vinculó con la base de datos de mortalidad hospitalaria y con fuentes de información gubernamentales, como el Registro Nacional Civil (RNEC), para determinar el estado vital a diciembre 31 de 2014 y la fecha de fallecimiento en aquellas pacientes fallecidos fuera del INC. Esto fue necesario ya que la legislación colombiana no permite la vinculación directa entre nuestras bases de datos de pacientes y la causa y fecha del registro de defunciones nacional; si se tiene el número de identificación personal, es posible verificar el estado vital y el registro de las muertes en RNEC. Se calculó la supervivencia global a dos años para las cohortes de mujeres que ingresaron a INC en 2007, 2010 y 2012. Se definió como fecha de inicio de seguimiento la fecha de ingreso al INC. La fecha de fallecimiento se especificó de acuerdo con el certificado de defunción en caso de que este certificado estuviera disponible. Para aquellas pacientes reportadas como fallecidas en el RNEC pero sin una fecha específica de la muerte, se determinó la fecha esperada de la muerte como la fecha de reporte de los fallecimientos en RNEC menos un factor de corrección. Esta corrección se calculó sobre la base de datos de pacientes fallecidas con certificados de defunción disponibles, donde se comparó la fecha real de fallecimiento con la fecha de notificación en RNEC; la mediana de la diferencia entre estas fechas se restó de la fecha de registro de la muerte en la RNEC para obtener la fecha esperada de la muerte 15. Esta mediana (en días) disminuyó con el tiempo (para cáncer de mama fue de 148 días en 2007, 66 en 2010 y 25 en 2012; el número correspondiente de días para cáncer de cuello uterino fue de 184, 114 y 39 días), lo que indica mejora sustancial en los sistemas de notificación. Los pasos detallados para determinar la fecha del último contacto o la fecha de fallecimiento se describieron en forma detallada en una publicación 15. Por la complejidad del proceso, se describe con más detalle a continuación:
a) Para las pacientes que fallecieron en el INC se asignó la fecha exacta de la muerte conocida.
b) Para pacientes con estado vital desconocido, se utilizó el número de identificación personal colombiano (cédula) para verificar el estado vital en las bases de datos del RNEC. La RNEC tiene información sobre las personas que han fallecido. Si las pacientes no aparecieron como "fallecidas" en ninguna de las fuentes de datos de la RNEC, se asignó como última fecha de seguimiento el 31 de diciembre de 2014.
c) Para los casos reportados como fallecidos en RNEC pero sin información del certificado de defunción, la fecha de muerte se estimó con base en la fecha de notificación o registro de la muerte en la RNEC, corregida por la diferencia mediana entre la fecha de defunción y la fecha de notificación de muerte en RNEC, como se describió anteriormente 15. En caso de obtener los tiempos de supervivencia negativos, se asignó la fecha informada en la RNEC como fecha de muerte. Este procedimiento generó la variable: fecha calculada de muerte.
d) Para aquellos casos fallecidos según RNEC pero con solo el año de fallecimiento conocido (sin mes o día disponible en RNEC), se asignó el 30 de junio del año provisto como fecha de fallecimiento para las pacientes con fecha de entrada en el primer semestre del año y el 31 de diciembre si las pacientes ingresaron a INC en el segundo semestre.
e) Para aquellos casos en los que ninguno de estos métodos se logró aplicar, o que no se identificaron en las bases de datos mencionadas, la última fecha de seguimiento se asignó como la fecha de la última visita a la institución de acuerdo con la historia clínica de INC.
Análisis estadístico
Se usó como fecha índice para el cálculo del tiempo de supervivencia la fecha de ingreso a la institución. Se calculó la variable “tiempo de observación” a partir de la fecha índice y la fecha del último contacto o muerte.
Para evaluar las diferencias en la distribución del estadio clínico por tipo de afiliación al sistema de seguridad social colombiano, se realizó la prueba exacta de Fisher. El tiempo de supervivencia se calculó como la diferencia entre la fecha de cierre del seguimiento (31 de diciembre de 2014), la fecha del último contacto o la fecha calculada de fallecimiento y la fecha de ingreso al INC. Se realizó el análisis de Kaplan-Meier para obtener la probabilidad acumulada de supervivencia global a 24 meses y se compararon las funciones de supervivencia en las variables que tenían más de una categoría con la prueba de rango logarítmico.
Se realizaron análisis univariados para el año de ingreso, edad en dos categorías (<50 y ≥50 años), estadio clínico y tipo de afiliación al sistema de seguridad social al momento de ingresar al INC. Por la violación del supuesto de hazards proporcionales para las variables año, grupo de edad y tipo de afiliación al sistema de seguridad social no se informaron los resultados de los modelos multivariados de riesgos proporcionales de Cox. Todos los datos fueron analizados en SPSS v19.
Resultados
Datos demográficos y características clínicas de las pacientes
Se analizaron un total de 1,928 pacientes con cáncer de mama y 1,189 con cáncer de cuello uterino. La Tabla 1 muestra las características por tipo de cáncer y cohorte; la distribución del cáncer de mama y de cuello uterino cambió a lo largo del tiempo. Los casos de cáncer de mama se concentraron en el grupo de edad de 45-54 años y cáncer de cuello uterino en el grupo de 15-44 años. El porcentaje de pacientes no afiliadas al sistema de seguridad social disminuyó entre 2007 y 2012 para ambos tipos de cáncer. Hubo una proporción importante de casos sin información de estado clínico (19.7% para cáncer de mama, 15.0% para cáncer de cuello uterino); El 100% de los casos tenían un diagnóstico confirmado histológicamente.
Tabla 1 Características demográficas y diagnósticas de la población de estudio por cohortes.
| Characteristics | Breast cancer | Cervical cancer | ||||||||||||||
|---|---|---|---|---|---|---|---|---|---|---|---|---|---|---|---|---|
| n | % | 2007 | 2010 | 2012 | n | % | 2007 | 2010 | 2012 | |||||||
| Total number | 1,928 | 100 | 622 | 32.3 | 632 | 32.8 | 674 | 35.0 | 1,189 | 100 | 387 | 32.5 | 474 | 39.9 | 328 | 27.6 |
| Age (years) | ||||||||||||||||
| 0 - 14 | 0 | 0.0 | 0 | 0.0 | 0 | 0.0 | 0 | 0.0 | 0 | 0.0 | 0 | 0.0 | 0 | 0.0 | 0 | 0.0 |
| 15 - 44 | 344 | 17.8 | 118 | 19.0 | 102 | 16.1 | 124 | 18.4 | 400 | 33.6 | 119 | 30.7 | 167 | 35.2 | 114 | 34.8 |
| 45 - 54 | 609 | 31.6 | 189 | 30.4 | 199 | 31.5 | 221 | 32.8 | 293 | 24.6 | 102 | 26.4 | 97 | 20.5 | 94 | 28.7 |
| 55 - 64 | 493 | 25.6 | 158 | 25.4 | 165 | 26.1 | 170 | 25.2 | 262 | 22.0 | 86 | 22.2 | 116 | 24.5 | 60 | 18.3 |
| > 65 | 482 | 25.0 | 157 | 25.2 | 166 | 26.3 | 159 | 23.6 | 234 | 19.7 | 80 | 20.7 | 94 | 19.8 | 60 | 18.3 |
| Social Security Scheme | ||||||||||||||||
| Contributive | 764 | 39.6 | 228 | 36.7 | 236 | 37.3 | 300 | 44.5 | 286 | 24.1 | 86 | 22.2 | 85 | 17.9 | 115 | 35.1 |
| Subsidized | 525 | 27.2 | 119 | 19.1 | 219 | 34.7 | 187 | 27.7 | 573 | 48.2 | 154 | 39.8 | 289 | 61.0 | 130 | 39.6 |
| Special | 168 | 8.7 | 50 | 8.0 | 50 | 7.9 | 68 | 10.1 | 45 | 3.8 | 9 | 2.3 | 9 | 1.9 | 27 | 8.2 |
| Particular | 256 | 13.3 | 90 | 14.5 | 80 | 12.7 | 86 | 12.8 | 98 | 8.2 | 30 | 7.8 | 39 | 8.2 | 29 | 8.8 |
| Uninsured | 215 | 11.2 | 135 | 21.7 | 47 | 7.4 | 33 | 4.9 | 187 | 15.7 | 108 | 27.9 | 52 | 11.0 | 27 | 8.2 |
| Clinical stage | ||||||||||||||||
| I | 111 | 5.8 | 26 | 4.2 | 43 | 6.8 | 42 | 6.2 | 289 | 24.3 | 106 | 27.4 | 112 | 23.6 | 71 | 21.6 |
| II | 545 | 28.3 | 168 | 27.0 | 196 | 31.0 | 181 | 26.9 | 250 | 21.0 | 92 | 23.8 | 104 | 21.9 | 54 | 16.5 |
| III | 751 | 39.0 | 259 | 41.6 | 248 | 39.2 | 244 | 36.2 | 418 | 35.2 | 121 | 31.3 | 173 | 36.5 | 124 | 37.8 |
| IV | 141 | 7.3 | 34 | 5.5 | 54 | 8.5 | 53 | 7.9 | 54 | 4.5 | 14 | 3.6 | 21 | 4.4 | 19 | 5.8 |
| No information | 380 | 19.7 | 135 | 21.7 | 91 | 14.4 | 154 | 22.8 | 178 | 15.0 | 54 | 14.0 | 64 | 13.5 | 60 | 18.3 |
Supervivencia global
La supervivencia global (SG) a dos años para los cánceres de mama y cuello uterino no varió entre las diferentes cohortes, como se muestra en la Figura 1.

Figura 1 Comparación de la supervivencia global estimada a dos años para cáncer de mama y cuello uterino, para las tres cohortes
Mama (CM)
Los 1,928 pacientes analizadas tuvieron una mediana de edad de 55 años (rango 17-99) al ingreso en el INC. La mayoría (66.0%) de las pacientes tenía más de 50 años y la mayor proporción (39.6%) estaban afiliados al régimen "contributivo" del sistema de seguridad social. Aproximadamente la mitad de las pacientes tenía cáncer de mama en estadio III-IV al ingresar al INC. La distribución del estadio clínico difirió sustancialmente y estadísticamente entre los regímenes, con alrededor del 60.0% de las mujeres en los grupo subsidiado y no asegurados en las etapas III-IV versus 42.0% en el contributivo y alrededor del 30% en el régimen especial y el grupo de pacientes particulares (Tabla 2).
Tabla 2 Distribución del estadio clínico por tipo de afiliación al sistema de seguridad social .
| Estadio clínico | CONTRIBUTIVO | SUBSIDIADO | NO ASEGURADO | ESPECIAL | PARTICULAR |
|---|---|---|---|---|---|
| % | % | % | % | % | |
| Cáncer de mama | |||||
| I | 8.2 | 2.1 | 2.3 | 12.5 | 4.3 |
| II | 32.1 | 25.1 | 22.3 | 35.8 | 23.4 |
| III | 35.0 | 51.1 | 48.8 | 29.2 | 24.2 |
| IV | 6.9 | 8.6 | 13.5 | 3.0 | 3.5 |
| Sin información | 17.8 | 13.1 | 13.0 | 19.6 | 44.5 |
| Cáncer de cuello uterino | |||||
| I | 26.9 | 25.2 | 20.3 | 31.1 | 16.3 |
| II | 21.7 | 21.1 | 21.4 | 20.0 | 18.3 |
| III | 33.5 | 35.7 | 42.8 | 24.4 | 26.5 |
| IV | 5.2 | 4.4 | 5.4 | 2.2 | 3.0 |
| Sin información | 12.6 | 13.6 | 10.2 | 22.2 | 35.7 |
Valores de P para las diferencias en la distribución del estadio por régimen: cáncer de mama: p= 0.01034, cáncer de cuello uterino p <0.005
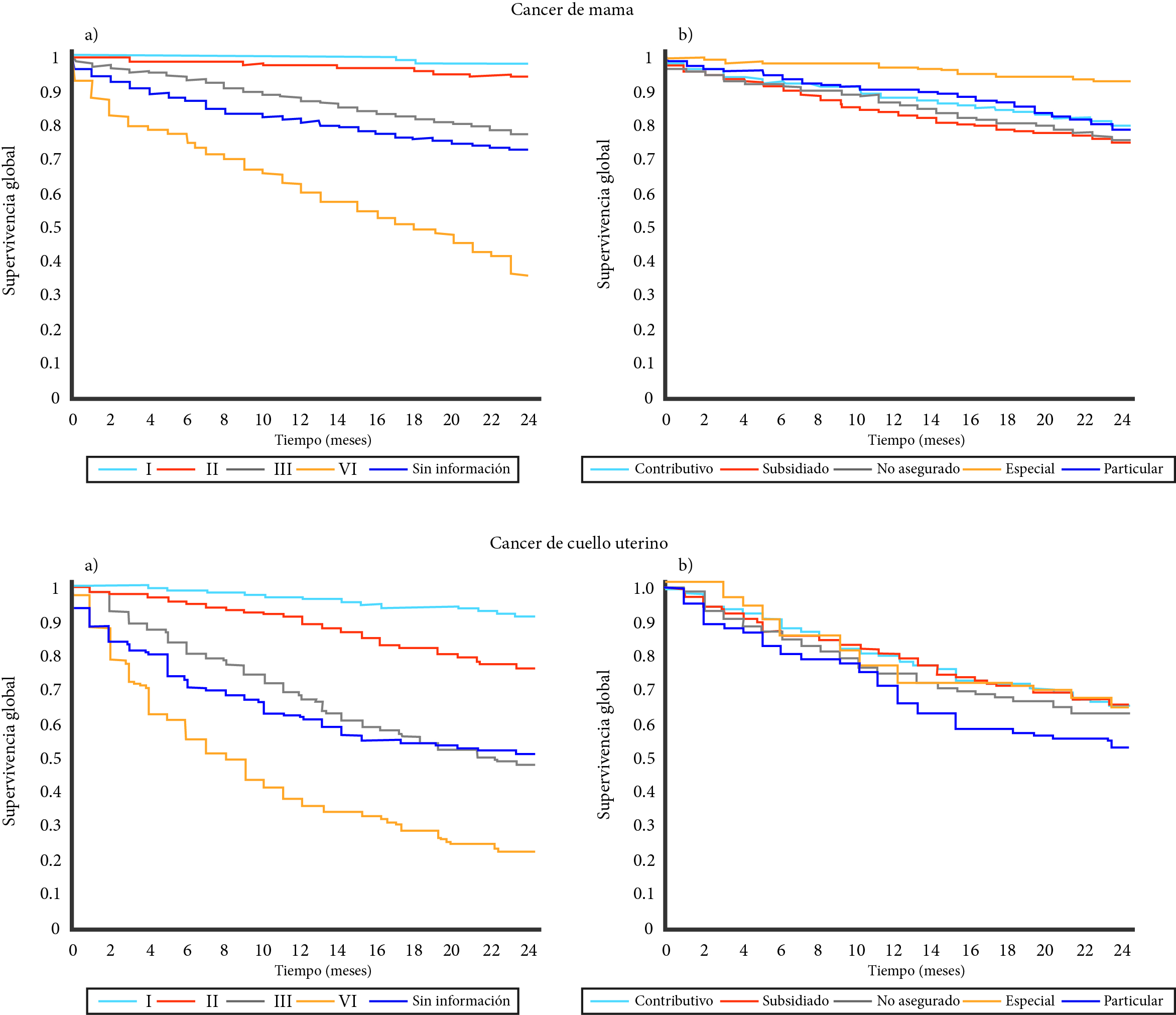
A los 24 meses de seguimiento, 393 mujeres (20.4%) habían muerto, los 1,535 casos restantes fueron censurados en el seguimiento. La SG de dos años para el cáncer de mama fue del 79.6%, con claras diferencias en la supervivencia según los tipos de afiliación al sistema de seguridad social, siendo más alta en el régimen "especial" (93.4%) (Prueba de rango log 48.9, p <0.001). Pocas pacientes murieron en el primer mes de seguimiento (1.9%). La SG de dos años de las pacientes para el estadio clínico I fue muy alta (98.2%), disminuyendo a 36.2% en las de estadio IV. No se encontraron cambios significativos para el año de ingreso al INC o la edad (Tabla 3, Fig. 2).
Cuello uterino (CCU)

Figura 2 Función de supervivencia a dos años (Kaplan - Meier) por estadio clínico y seguridad social, para cáncer de mama (a y b) y de cuello uterino (c y d).
Tabla 3 Estimaciones univariadas de supervivencia global de cáncer de mama y cáncer de cuello uterino, por cohortes.
| Cáncer de mama | Cáncer de cuello uterino | |||||||||||
|---|---|---|---|---|---|---|---|---|---|---|---|---|
| Características | n | % | Número de muertes * | Supervivencia** | IC 95% | Prueba de rango logarítmico | n | % | Número de muertes* | Supervivencia** | IC 95% | Prueba de rango logarítmico |
| Total | 1,928 | 393 | 796 | 77.8-81.4 | N.A. | 1,189 | 435 | 633 | 60.6 - 66.0 | N.A. | ||
| Año de ingreso al INC | ||||||||||||
| 2007 | 622 | 323 | 122 | 804 | 77.3-83.5 | X2= 4.1 | 387 | 325 | 135 | 650 | 60.3 - 69.7 | X2= 3.7 |
| 2010 | 632 | 328 | 142 | 774 | 74.1-80.7 | p= 0.127 | 474 | 399 | 177 | 626 | (58.3 - 66.9 | p= 0.161 |
| 2012 | 674 | 350 | 129 | 808 | 77.9-83.7 | 328 | 276 | 123 | 623 | (57.0 - 67.6 | ||
| Edad (años) | ||||||||||||
| <50 | 655 | 340 | 138 | 789 | 75.8-82.0 | X2= 0.5 | 539 | 453 | 173 | 678 | (63.9 - 71.7 | X2= 17.6 |
| ≥ 50 | 1,273 | 660 | 255 | 800 | 77.8-82.2 | p= 0.481 | 650 | 547 | 262 | 595 | (55.8 - 63.2 | p= 0.000 |
| Tipo de seguridad social | ||||||||||||
| Contributivo | 764 | 396 | 147 | 808 | 78.1-83.5 | X 2 = 48.9 | 286 | 241 | 102 | 642 | (58.7 - 69.7 | X2=6.0 |
| Subsidiado | 525 | 272 | 131 | 750 | 71.3-78,7 | p= 0.000 | 573 | 482 | 201 | 648 | (60.9 - 68.7 | p= 0.202 |
| Especial | 168 | 87 | 11 | 934 | (89,7 - 97,1) | 45 | 38 | 16 | 644 | 50.5 - 78.3) | ||
| Particular | 256 | 133 | 52 | 796 | 74.7 - 84.5 | 98 | 82 | 46 | 526 | (42.6 - 62.6 | ||
| No asegurado | 215 | 112 | 52 | 758 | 70.1 - 81.5 | 187 | 157 | 70 | 624 | (55.3 - 69.5 | ||
| Estadio Clínico | ||||||||||||
| I | 111 | 58 | 2 | 982 | 95.6 - 100.7 | X2= 404.9 | 289 | 243 | 28 | 903 | 87.0 - 93.6 | X2= 229.5 |
| II | 545 | 283 | 30 | 945 | 92.5 - 96.5 | p= 0.000 | 250 | 210 | 61 | 756 | 70.3 - 80.9 | p= 0.000 |
| III | 751 | 390 | 171 | 772 | 74.3 - 80.1 | 418 | 352 | 217 | 476 | 42.7 - 52.5 | ||
| IV | 141 | 73 | 90 | 362 | 28.4 - 44.0 | 54 | 45 | 41 | 226 | 11.4 - 33.8 | ||
| Sin información | 380 | 197 | 100 | 736 | 69.1 - 78.1 | 178 | 15 | 88 | 50.6 | 43.3 - 57.8 | ||
*Número de muertes a dos años de seguimiento
**Probabilidad de supervivencia a 2 años
N.A. = no aplica
La edad media de las 1,189 mujeres con cáncer de cuello uterino fue de 51 años (rango 19-92). La mayoría tenía más de 50 años, casi la mitad (48.2%) estaban afiliadas al régimen subsidiado del sistema de seguridad social, y cerca del 50% de las pacientes ingresaron a INC en estadios I o II. La distribución por estadio clínico fue similar entre los regímenes, entre 40 y 50% de las mujeres diagnosticadas en estadios I-II, con excepción de las mujeres que ingresaron como particulares (34.6%), las cuales tenían un estadio clínico significativamente mejor al ingreso (Tabla 2). Al final de los dos años de seguimiento, 435 (36.6%) habían muerto, los 754 casos restantes fueron censurados. La probabilidad de sobrevivir dos años fue del 63.3%, con una mejor supervivencia para las mujeres con edades más tempranas (67.8%). Durante el primer mes de seguimiento, el 2.3% de las pacientes fallecieron. Hubo un fuerte gradiente en la presentación de la supervivencia por estadio clínico, entre el 90.3% en el I y el 22.6% en el IV. No se observaron diferencias en la supervivencia por año de ingreso o tipo de seguridad social (Tabla 3, Fig. 2).
Discusión
Estos son los primeros resultados del proyecto de vigilancia de supervivencia general del INC; mostrando una supervivencia general estable a 2 años para cáncer de mama y cáncer cervical con las diferencias esperadas por estadio clínico y diferencias importantes por tipo de afiliación a la seguridad social para cáncer de mama entre 2007 y 2012. La asociación conocida entre indicadores socioeconómicos y cáncer de mama y cuello uterino se reflejan en la mayor proporción de pacientes con cáncer de mama en los regímenes contributivo y especial, en comparación con la mayoría del cáncer de cuello uterino que está afiliado al régimen subsidiado, mientras que la distribución de la población de personas afiliadas no difiere mucho entre los dos regímenes 16.
Existen pocas publicaciones sobre la supervivencia del cáncer de mama y de cuello uterino en Colombia y América Latina 11,12,17. La supervivencia global informada de dos años para mama (80%) y cáncer de cuello uterino (63%) no está lejos de los informes poblacionales de Cali (SG a 3 años: mama 77%, cérvix 63%) 12. Se espera que la supervivencia en un hospital especializado en cáncer sea más baja que los datos de supervivencia basados en la población, porque los centros especializados tienden a recibir pacientes "complicados" derivados de otros hospitales menos especializados.
Una limitación del estudio fue no tener una fecha de incidencia confiable, y por lo tanto se usó la fecha de ingreso al INC. El tiempo de supervivencia calculado desde la fecha del diagnóstico es ciertamente más alto que los datos de supervivencia reportados, aunque no se puede cuantificar cuanto más alto: algunos pacientes acuden para su tratamiento inicial al INC; su fecha de ingreso será cercana a la fecha del diagnóstico; otros aparecen cuando el tratamiento inicial ha fallado o cuando tienen una recurrencia, a veces mucho después de su diagnóstico inicial. Teniendo en cuenta esto, las tasas de supervivencia reportadas para cáncer de cuello uterino son relativamente similares a las estimaciones europeas, inferiores a las de EE. UU., pero más altas que las de Brasil 11,12. La supervivencia del cáncer de mama es un poco menor que los informes de estudios basados en los EE. UU., indudablemente relacionados con una etapa relativamente tardía al ingreso en nuestras pacientes, con un 46% de mujeres con enfermedad en estadio III / IV.
La calidad del registro de defunciones en Colombia ha mejorado sustancialmente en los últimos años 18, lo que limita, pero no elimina, la posibilidad de que algunos pacientes hayan muerto sin ser registrados. En este caso, la paciente habrá sido censurada viva en su última visita al INC, que puede tener tasas de supervivencia ligeramente sobreestimadas. La calidad mejorada también se refleja en la disminución del tiempo entre la fecha de la muerte y la notificación de la muerte en RNEC.
La distribución por edades de nuestras pacientes fue la esperada 19,20. Para el pronóstico del cáncer de mama, la detección temprana es importante, así como el tiempo transcurrido entre los primeros síntomas o la prueba de detección anormal y la primera consulta (según un estudio colombiano anterior fue >1 mes en el 34,1% de las pacientes) y el tiempo transcurrido entre la primera consulta y el inicio del tratamiento (en el 69.8% de las pacientes >3 meses)(1). Las pacientes con cáncer cérvico-uterino, como era de esperar, relativamente jóvenes, y una proporción sustancial (40%) presentaba enfermedad en estadio avanzado, una situación que podría haberse evitado con programas eficaces de detección temprana.
Infortunadamente, no se contó con información sobre el estadio clínico en una proporción importante de las pacientes (cáncer de mama, 19.7% y cáncer de cuello uterino, 15.0%). Sin embargo, a pesar de esta proporción de valores perdidos, las observaciones muestran un estadio clínico muy avanzado de presentación en las pacientes, alrededor del 50% de las mujeres diagnosticadas en cáncer de mama en estadio III / IV y 40% en cáncer de cuello uterino en estadio III / IV. Como se violó la suposición de hazards proporcionales, no se ejecutaron modelos de supervivencia multivariados. Sin embargo, las diferencias en la distribución por estadio clínico según el régimen de afiliación, con un estadio más bajo en el momento del diagnóstico de cáncer de mama en los regímenes contributivo y especial, así como en las mujeres que ingresaron como particulares, explican las diferencias entre las curvas de supervivencia del cáncer de mama. Del mismo modo, para el cáncer de cuello uterino, la mejor supervivencia de las que ingresaron como particulares es más probable debido al estadio más temprano en el momento del diagnóstico en este grupo de pacientes.
Es importante tener una línea de base de la supervivencia del cáncer en la institución, evaluar las tendencias y poder actuar cuando sea necesario. Para contar con un control eficaz del cáncer a nivel local y nacional, es necesario contar con datos confiables sobre la aparición del cáncer, el estadio y la supervivencia.
Conclusión
El cáncer de mama y el cáncer de cuello uterino tienen, para los estándares internacionales, una supervivencia deficiente, y esta supervivencia no ha mejorado con el tiempo. La última etapa del diagnóstico indudablemente juega un papel importante en estos resultados relativamente pobres y podría mejorarse a través de cambios en los programas de detección temprana ofrecidos en Colombia. Las diferencias estadísticamente significativas en el estadio clínico por tipo de afiliación al sistema de seguridad social se reflejan en las tasas de supervivencia y muestran el enorme potencial de mejora en el acceso a la detección temprana, el diagnóstico y el tratamiento de estos tipos de cáncer.
References
1. Benson JR, Jatoi I. The global breast cancer burden. Future Oncol. 2012;8(6):697-702. [ Links ]
2. Murillo R, Herrero R, Sierra MS, Forman D. Cervical cancer in Central and South America: Burden of disease and status of disease control. Cancer Epidemiol. 2016; 44 (Suppl 1):S121-30. [ Links ]
3. Di Sibio A, Abriata G, Forman D, Sierra MS. Female breast cancer in Central and South America. Cancer Epidemiol. 2016;44(Suppl 1): S110-20. [ Links ]
4. Bray F, Piñeros M. Cancer patterns, trends and projections in Latin America and the Caribbean: a global context. Salud Pública Méx. 2016;58:104-17. [ Links ]
5. Piñeros M, Gamboa O, Hernández-Suárez G, Pardo C, Bray F. Patterns and trends in cancer mortality in Colombia 1984-2008. Cancer Epidemiol. 2013;37(3):233-9. [ Links ]
6. Ferlay J, Soerjomataram I, Ervik M, Dikshit R, Eser S, Mathers C, et al. GLOBOCAN 2012 v1.0, Cancer Incidence and Mortality Worldwide: IARC CancerBase No. 11. Lyon, France: International Agency for Research on Cancer; 2013. Available from: http://globocan.iarc.fr. Accessed: 24/November/2016. [ Links ]
7. Pardo C, Cendales R. Incidencia, mortalidad y prevalencia de cáncer en Colombia, 2007-2011. Primera edición. Bogotá, D.C: Instituto Nacional de Cancerología; 2015. Available from: http://www.cancer.gov.co/publicaciones?idpadre=1&idcategoria=59 . [ Links ]
8. Selim J. Human development report 2015. New York, USA: United Nations Development Programme; 2015. Available from: http://hdr.undp.org/sites/default/files/2015_human_development_report_1.pdf . [ Links ]
9. Guerrero R, Gallego AI, Becerril-Montekio V, Vásquez J. Sistema de salud de Colombia. Salud pública Méx. 2011; 53(Suppl 2): s144-55. [ Links ]
10. Ministerio de Salud y Protección Social. Informe al Congreso de la República 2014-2015. Sector Administrativo de Salud y Protección Social. Bogotá: D.C: Ministerio de Salud y Protección Social; 2015. Available from: https://www.minsalud.gov.co/sites/rid/Lists/BibliotecaDigital/RIDE/DE/PES/informe-congreso-2014-2015.pdf. [ Links ]
11. Allemani C, Weir HK, Carreira H, Harewood R, Spika D, Wang XS, et al. Global surveillance of cancer survival 1995-2009: analysis of individual data for 25,676,887 patients from 279 population-based registries in 67 countries (CONCORD-2). Lancet. 2015; 385(9972): 977-1010. [ Links ]
12. Bravo LE, García LS, Collazos PA. Cancer survival in Cali, Colombia: A population-based study, 1995-2004. Colomb Med (Cali). 2014; 45(3): 110-6. [ Links ]
13. Carneseca Mauad EC, de Araujo MA, Dalbó RM, Longatto Filho A, Vazquez Vde L. The Hospital de Câncer de Barretos Registry: an analysis of cancer survival at a single institution in Brazil over a 10-year period. BMC Research Notes. 2013, 6:141. [ Links ]
4. Instituto Nacional de Cancerología. Registro institucional de cáncer (Bases de datos). Bogotá: INC; 2016. Available from: http://www.cancer.gov.co/. [ Links ]
15. Pardo C, de Vries E, Acero D, Murillo R. Vigilancia de la supervivencia global por cáncer en Colombia: utilidad de los registros rutinarios. Rev Colomb Cancerol. 2015;19(2):81-9. [ Links ]
16. de Vries E, Arroyave I, Pardo C. Time trends in educational inequalities in cancer mortality in Colombia, 1998-2012. BMJ Open. 2016; 6(4): e008985. [ Links ]
17. Sankaranarayanan R, Swaminathan R, Brenner H, Chen K, Chia KS, Chen JG, et al. Cancer survival in Africa, Asia, and Central America: a population-based study. Lancet Oncol. 2010;11(2):165-73. [ Links ]
18. Cendales R; Pardo C. La calidad de certificación de la mortalidad en Colombia, 2002-2006. Rev Salud Pública. 2011;13(2):229-38. [ Links ]
19. American Cancer Society. Breast Cancer Facts & Figures 2015-2016. Atlanta: American Cancer Society, Inc; 2015. Available from: http://www.cancer.org/acs/groups/content/@research/documents/document/acspc-046381.pdf . [ Links ]
20. Rositch AF, Nowak RG, Gravitt PE. Increased age and race-specific incidence of cervical cancer after correction for hysterectomy prevalence in the United States from 2000 to 2009. Cancer. 2014; 120(13): 2032-8. [ Links ]
21. Piñeros M, Sánchez R, Perry F, García O, Ocampo R, Cendales R. Demoras en el diagnóstico y tratamiento de mujeres con cáncer de mama en Bogotá, Colombia. Salud Pública Méx. 2011;53(6):478-85. [ Links ]
Recibido: 11 de Enero de 2017; Revisado: 19 de Febrero de 2018; Aprobado: 06 de Marzo de 2018










text in 


