Services on Demand
Journal
Article
Indicators
-
Cited by SciELO -
Access statistics
Related links
-
Cited by Google -
Similars in
SciELO -
Similars in Google
Share
Colombia Médica
On-line version ISSN 1657-9534
Colomb. Med. vol.51 no.3 Cali July/Sept. 2020 Epub Sep 30, 2020
https://doi.org/10.25100/cm.v51i3.4534
Articulo original
COVID-19: Predicción de las necesidades de recursos sanitarios en el Valle del Cauca, Colombia
1 Institute of Health Policy, Management and Evaluation, University of Toronto, Toronto, Canada
2 Toronto Health Economics and Technology Assessment (THETA) collaborative, University Health Network, Toronto, Canada
3 Facultad de Medicina, Pontificia Universidad Javeriana, Bogotá, Colombia
4 University Health Network, Toronto, Canada
5 Interdepartmental Division of Critical Care Medicine, University of Toronto, Toronto, Canada
6 Comité Público Privado de Expertos en Salud COPESA, Cali, Colombia
7 Centro de Investigación Científica Caucaseco, Cali, Colombia
8 Secretaría Departamental de Salud, Cali, Colombia
9 Sunnybrook Hospital, Toronto, Canada
10 The Hospital for Sick Children, Toronto, Canada
11 Facultad de Medicina, Pontificia Universidad Javeriana, Cali, Colombia
12 Escola de Matemática Aplicada, Fundação Getúlio Vargas, Rio de Janeiro, RJ, Brasil
13 Public Health Ontario, Toronto, Canada
14 Institute for Clinical Evaluative Sciences ICES, Toronto, Canada
Introducción:
Valle del Cauca es el departamento con el cuarto mayor número de casos de COVID-19 en Colombia (>50,000 en septiembre 7, 2020). Debido a la ausencia de tratamientos efectivos para COVID-19, los tomadores de decisiones requieren de acceso a información actualizada para estimar la incidencia de la enfermedad, y la disponibilidad de recursos hospitalarios para contener la pandemia.
Métodos:
Adaptamos un modelo existente al contexto local para estimar la incidencia de COVID-19, y la demanda de recursos hospitalarios en los próximos meses. Para ello, modelamos cuatro escenarios hipotéticos: (1) el gobierno local implementa una cuarentena desde el primero de septiembre hasta el 15 de octubre (asumiendo una tasa promedio de infecciones diarias del 2%); (2-3) se implementan restricciones parciales (tasas de infección del 4% y 8%); (4) se levantan todas las restricciones (tasa del 10%). Los mismos escenarios fueron previamente evaluados entre julio y agosto, y los resultados fueron resumidos. Estimamos el número de casos nuevos, el número de pruebas diagnósticas requeridas, y el numero de camas de hospital y de unidad de cuidados intensivos (con y sin ventilación) disponibles, para cada escenario.
Resultados:
El modelo estimó 67,700 casos a octubre 15 al asumir la implementación de una nueva cuarentena, 80,400 y 101,500 al asumir restricciones parciales al 4 y 8% de infecciones diarias, respectivamente, y 208,500 al asumir ninguna restricción. La demanda por pruebas diagnósticas (de reacción en cadena de la polimerasa) fue estimada entre 202,000 y 1,610,600 entre septiembre 1 y octubre 15, a través de los diferentes escenarios evaluados. El modelo estimó un agotamiento de camas de cuidados intensivos para septiembre 20 al asumir una tasa de infecciones del 10%.
Conclusión: Se estima que el levantamiento paulatino de las restricciones de distanciamiento social y la reapertura de la economía no debería causar el agotamiento de recursos hospitalarios si la tasa de infección diaria se mantiene por debajo del 8%. Sin embargo, incrementar la disponibilidad de camas permitiría al sistema de salud ajustarse rápidamente a potenciales picos inesperados de infecciones nuevas. Los modelos de predicción deben ser utilizados de manera iterativa para depurar las predicciones epidemiológicas y para proveer a los tomadores de decisiones con información actualizada.
Palabras clave: COVID-19; SARS-CoV-2; recursos sanitarios; limitación de recursos; Valle del Cauca; Colombia; salud global
Background:
Valle del Cauca is the region with the fourth-highest number of COVID-19 cases in Colombia (>50,000 on September 7, 2020). Due to the lack of anti-COVID-19 therapies, decision-makers require timely and accurate data to estimate the incidence of disease and the availability of hospital resources to contain the pandemic.
Methods:
We adapted an existing model to the local context to forecast COVID-19 incidence and hospital resource use assuming different scenarios: (1) the implementation of quarantine from September 1st to October 15th (average daily growth rate of 2%); (2-3) partial restrictions (at 4% and 8% growth rates); and (4) no restrictions, assuming a 10% growth rate. Previous scenarios with predictions from June to August were also presented. We estimated the number of new cases, diagnostic tests required, and the number of available hospital and intensive care unit (ICU) beds (with and without ventilators) for each scenario.
Results:
We estimated 67,700 cases by October 15th when assuming the implementation of a quarantine, 80,400 and 101,500 cases when assuming partial restrictions at 4% and 8% infection rates, respectively, and 208,500 with no restrictions. According to different scenarios, the estimated demand for reverse transcription-polymerase chain reaction tests ranged from 202,000 to 1,610,600 between September 1st and October 15th. The model predicted depletion of hospital and ICU beds by September 20th if all restrictions were to be lifted and the infection growth rate increased to 10%.
Conclusion:
Slowly lifting social distancing restrictions and reopening the economy is not expected to result in full resource depletion by October if the daily growth rate is maintained below 8%. Increasing the number of available beds provides a safeguard against slightly higher infection rates. Predictive models can be iteratively used to obtain nuanced predictions to aid decision-making
Keywords: COVID-19; SARS-CoV-2; healthcare resources; resource constraints; Valle del Cauca; Colombia; Global health
Contribución del estudio
| 1) ¿Por qué se realizó este estudio? |
| Este estudio fue desarrollado para obtener evidencia clínica y económica que facilitara la toma de decisiones y la distribución eficiente de recursos hospitalarios limitados durante la pandemia de COVID-19. |
| 2) ¿Cuáles fueron los resultados más relevantes del estudio? |
| La adaptación del modelo de Ontario al contexto colombiano permitió evaluar escenarios hipotéticos de la pandemia. Los resultados proponen que la implementación de medidas de distanciamiento social y la expansión a la capacidad hospitalaria son fundamentales para evitar la escasez de recursos necesarios para tratar a los pacientes de COVID-19. |
| 3) ¿Qué aportan estos resultados? |
| Los modelos económicos y estadísticos son herramientas fundamentales para los tomadores de decisiones durante una crisis de salud global. |
Introducción
El departamento del Valle del Cauca, con una población de 4.4 millones de habitantes, ocupa el cuarto lugar en número de casos de COVID-19 en Colombia, después de Bogotá la capital del país (1. A septiembre 7 de 2020, el Valle del Cauca había reportado 50,179 casos confirmados y 1,891 muertes, en comparación con los 667,000 casos y 21,000 muertes, registrados a escala nacional 1. La incidencia y la mortalidad de COVID-19 son reportadas diariamente por el Sistema Nacional de Vigilancia (SIVIGILA). Los casos se confirman mediante la reacción en cadena de la polimerasa con transcriptasa inversa (RT-PCR). Las pruebas se centralizaron inicialmente en el Instituto Nacional de Salud (INS) y se han ido descentralizando progresivamente en todo el país. En la actualidad, las pruebas diagnósticas para la región del Valle del Cauca se realizan en ocho laboratorios acreditados 2. El primer caso de COVID-19 en Colombia fue reportado el 6 de marzo de 2020 3 y a partir del 26 de marzo de 2020 fueron puestas en marcha medidas de distanciamiento social a nivel nacional. Inicialmente se aplicó una cuarentena nacional para la población general, la cual se extendió hasta el 27 de abril y luego se amplió hasta el 11 de mayo. Desde entonces, los gobiernos regionales han aplicado una cuarentena parcial para grupos específicos de la población (por ejemplo, niños, ancianos) 4, y han permitido que determinados sectores de la economía vuelvan a trabajar (principalmente la construcción y los fabricantes de textiles). En los últimos meses, la pandemia de COVID-19 en el Valle del Cauca ha ejercido una presión considerable sobre la capacidad hospitalaria. Aunque la UCI y las camas de los hospitales no se han ocupado completamente, se espera que el mantenimiento de las restricciones resulte en un aumento del número de casos de COVID-19 y en una reducción de la capacidad de los hospitales. Dado el considerable aumento de casos, las camas y los ventiladores de la unidad de cuidados intensivos (UCI) pueden no ser suficientes.
En el presente estudio, utilizamos un modelo estadístico para predecir el número de nuevos casos de COVID-19 en el Valle del Cauca a partir de marzo de 2020, teniendo en cuenta diferentes escenarios e intervalos de tiempo. Aunque el modelo “COVID-19 Resource Estimator” (CORE) original fue desarrollado y calibrado para Ontario, Canadá 5, este ha sido alimentado con los datos más actualizados del Valle del Cauca a medida que se ha venido disponiendo de ellos para simular adecuadamente la trayectoria de las pandemias locales y la disponibilidad de recursos del sistema de salud. El estudio se adelantó por una alianza entre investigadores de la Universidad de Toronto asociados con investigadores de la Pontificia Universidad Javeriana (Bogotá, Colombia) y representantes gubernamentales y académicos del Valle del Cauca, para fundamentar la adopción de decisiones relativas a las medidas de distanciamiento social. Se presentan dos conjuntos principales de resultados: 1) la estimación de casos y la disponibilidad de recursos entre el 20 de junio y el 31 de agosto, cuando las autoridades colombianas planificaron la flexibilización de las restricciones de distanciamiento social, y 2) entre el 1 de septiembre y el 31 de octubre, cuando se levantaron todas las restricciones obligatorias en todo el país. Por lo tanto, los objetivos de este estudio fueron predecir el impacto de COVID-19 en la capacidad del sistema de salud a través del tiempo, y estimar el número esperado de pruebas necesarias para identificar nuevos casos.
Materiales y Métodos
Descripción del modelo
Adaptamos el modelo CORE de simulación a nivel individual desarrollado para Ontario, Canadá 5,6, para predecir el número de casos y los recursos hospitalarios requeridos en el Valle del Cauca (Colombia) para escenarios específicos de la pandemia. El modelo hizo un seguimiento de pacientes individuales en el Valle del Cauca, a lo largo de ciclos diarios (pasos de tiempo) hasta por 45 días. Se simularon individuos de 15 o más años de edad, y que podían o no sufrir comorbilidades. Los pacientes sintomáticos que llegaban al hospital y resultaban positivos al SARS-CoV-2 por la prueba RT-PCR, se convirtieron en casos confirmados de COVID-19 y fueron admitidos en el hospital o enviados a casa según la gravedad de la enfermedad. De los pacientes admitidos a hospitales, una proporción requiere la admisión en UCI, y de ellos, los casos más graves son tratados con ventilación mecánica invasiva. Los pacientes pasan por diferentes estados de salud como se describe en la Figura 1. Los pacientes con enfermedades graves requieren una sala de hospital o dependiendo de la disponibilidad, de una cama en la UCI. Cuando no existe disponibilidad inmediata de UCI, el paciente permanece en la sala del hospital esperando a que haya una disponible. Considerando que algunas camas de las UCI no están equipadas con ventiladores mecánicos, si no hay ninguno disponible, un paciente que requiera ventilador podría morir dentro de las 24 horas siguientes a su ingreso. Las camas de la sala y de la UCI, y los ventiladores se liberan cuando el paciente se recupera o muere. Las tasas de mortalidad dependen de la gravedad de la enfermedad y del estado de salud de los pacientes. Por ejemplo, los pacientes con enfermedades graves que requieren atención en la UCI tienen una mayor probabilidad de morir si permanecen en la sala de hospital debido a la falta de camas en la UCI 7, en comparación con casos similares que pudieron pasar a la UCI.
Nota: Las limitaciones de recursos limitan la transición de los pacientes a través de los estados de salud. Si un paciente está en la sala del hospital y requiere cuidados en la UCI, la transición no será posible si no se dispone de una cama en la UCI. En su lugar, el paciente permanece en la sala del hospital hasta que se disponga de una cama en la UCI. Lo mismo se aplica a las limitaciones de los ventiladores y de las camas de la sala de hospital.
Parámetros y supuestos del modelo
El modelo CORE se alimentó con datos regionales del Valle del Cauca y con datos de la literatura internacional. Los datos sobre la capacidad de los recursos se obtuvieron del Ministerio de Salud y Protección Social de Colombia (MSP) 8 y del Registro Especial de Prestadores de Servicios de Salud (REPS) 9. Se hicieron algunas suposiciones basadas en la opinión de expertos. Todos los parámetros y supuestos del modelo se presentan en la Tabla 1. Se hicieron algunos supuestos clave: Se supuso que los pacientes en el entorno comunitario y en la sala de hospital tienen una probabilidad de muerte a corto plazo relacionada con COVID-19 igual a cero 7, y sólo los pacientes en la UCI con enfermedad grave tienen un riesgo de muerte debido a COVID-19. Las tasas de mortalidad se modelaron de acuerdo con los diferentes estados de salud según los datos internacionales. Detalles técnicos adicionales han sido publicados previamente6. Incluimos las camas de la UCI con y sin ventilación y asumimos que el número de camas con ventilador representaba el número de ventiladores disponibles actualmente. Igualmente, basados en datos de la literatura internacional supusimos una duración media de la estancia en la UCI de 8 días y una duración de estancia en el hospital de 11 días, cómo ha sido descrito 10 y es coherente con los datos informados por el Instituto Nacional de Salud 1,11. Estos parámetros fueron modificándose a medida que se dispuso de pruebas locales y supusimos que no se dispondría de camas adicionales ni de ventiladores para los nuevos pacientes de COVID-19.
Tabla 1 Parámetros del modelo
| Variables | Valor del caso base (20 de junio al 1 de agosto) | Valor del caso base (1 de septiembre al 15 de octubre) | Fuentes |
|---|---|---|---|
| Número de sujetos infectados* | Véase la Figura 2 | Véase la Figura 2 | INS 11 |
| Probabilidad de necesitar una admisión en el hospital | 0.18 | 0.18 | PHAC 12 |
| Probabilidad de necesitar cuidados en la UCI al ser admitido en el hospital | 0.48 | 0.48 | PHAC 12 |
| Probabilidad de que los pacientes de la UCI necesiten ventilación | 0.78 | 0.78 | CCSO 13 |
| Probabilidad de que los pacientes en la sala se deterioren y necesiten cuidados en la UCI - Nivel de atención | 0 | 0 | Asunción |
| Duración de la estancia, sala (no admisión en la UCI / antes de la admisión en la UCI) | 17 días | 11 días | Bellani y otros., (10, REPS 9 |
| Duración de la estancia, UCI (con/sin ventilación) | 11 días | 8 días | Bellani y otros., (10, REPS 9 |
| Duración de la estancia, sala post-UCI | 6 días | 5 días | Bellani y otros., (10, REPS 9 |
| Probabilidad de que los pacientes de la sala mueran | 0 | 0 | Wu et al. 7 |
| Probabilidad de muerte, pacientes de la UCI | 0.35 | 0.35 | Bellani y otros., (10 |
| Probabilidad de muerte, pacientes ventilados | 0.35 | 0.35 | Bellani y otros., (10 |
| La probabilidad de muerte de los pacientes que esperan el ventilador | 1 | 1 | Asunción |
| Número de camas disponibles en la sala para los pacientes de COVID-19 | 1,659 | 1,701 | MSP 8; REPS (9 |
| Número de camas en la UCI con ventiladores disponibles para los pacientes de COVID-19 | 475 | 352 | MSP (8; REPS (9 |
| Número de camas de la UCI sin ventiladores disponibles para los pacientes de COVID-19 | 280 | 735 | MSP (8; REPS (9 |
* Los casos notificados corresponden a la fecha en que se realizaron las pruebas, en lugar de la fecha del diagnóstico.
** COVID-19= Enfermedad de Coronavirus; UCI= unidad de cuidados intensivos, REPS= Registro Especial de Prestadores de Servicios de Salud; MSP= Ministerio de Salud Pública
Análisis
Se plantearon ocho escenarios que asumen diferentes medidas de distanciamiento social para estimar el número de casos y el número de camas disponibles en las salas de hospitalización y en las UCI entre el 20 de junio y el 1 de agosto (primer intervalo) y entre el 1 de septiembre y el 15 de octubre (segundo intervalo). Se construyeron los mismos cuatro escenarios para cada intervalo de tiempo: el primero suponía que la cuarentena era declarada el 1o de julio y el 1o de septiembre (para cada intervalo de tiempo, respectivamente). Supusimos una tasa de infección diaria constante de 2% (es decir, el porcentaje de aumento en el número diario de casos que se producirá cada nuevo día) bajo cuarentena, como se observó en los datos anteriores de marzo, abril y mayo 1. En el segundo escenario se modelaron restricciones parciales, en las que se permitía a sectores laborales específicos reanudar las actividades, pero se aconsejaba a la población general que se quedara en casa. Supusimos una tasa de infección diaria del 4%, como se observó en las últimas semanas de junio. El tercer escenario asumió restricciones parciales menos efectivas, modeladas con una tasa de crecimiento de infección diaria del 8%. Finalmente, el último escenario asumió que las restricciones eran completamente eliminadas, asumiendo una tasa de crecimiento de infección superior a 10%. El análisis establecido se presenta en el Apéndice A, y, además, estimamos el número de muertes evitables. Ejecutamos el modelo para cada escenario con y sin restricción de recursos y comparamos el número de muertes esperadas. El número de muertes evitables se definió como la diferencia de las muertes esperadas entre los escenarios con limitaciones de recursos y los mismos escenarios suponiendo una disponibilidad de recursos ilimitada. Por último, se estimó el número de pruebas necesarias para identificar los casos de incidentes previstos en los cuatro escenarios. Para ello, asumimos una tasa de positividad del 10%, de acuerdo con los datos nacionales y regionales 1,13. Por lo tanto, en promedio se requirió un total de 10 pruebas RT-PCR, para identificar un caso adicional.
Validación de la predicción del caso
Para asegurar que el modelo pudiera predecir adecuadamente los casos futuros para el Valle del Cauca, utilizamos el modelo CORE para predecir los casos acumulados entre el 16 de marzo y el 17 de mayo. Cuatro tendencias diferentes fueron modeladas: entre el 16 y el 26 de marzo, el aumento promedio de casos diarios se estimó en alrededor del 44%, mientras que, desde el 26 de marzo, cuando se implementó la cuarentena, hasta el 4 de abril, el aumento diario se redujo al 11%. Además, el número de casos aumentó a un ritmo medio diario del 2.6% entre el 4 y el 27 de abril. Luego que se permitiera a algunos sectores económicos volver a trabajar, después del 27 de abril, el número de nuevos casos aumentó a 3.1% diario. Hemos modelado diferentes intervenciones de distanciamiento social implementadas por el gobierno regional entre estas fechas para determinar si las predicciones de los casos modelo coincidían con los datos observados.
Resultados adicionales
Hemos añadido los resultados de los ejercicios de predicción que se realizaron durante las primeras fases (durante marzo y mayo) de la colaboración entre la Universidad de Toronto, la Pontificia Universidad Javeriana y los representantes del gobierno del Valle del Cauca. Esto permite comparar las predicciones durante los primeros días de la pandemia en Colombia con los datos observados.
Resultados
Las predicciones de los casos en las estrategias entre el 20 de junio y el 1 de agosto se resumen en la Figura 2A. Para el primer escenario (escenario A - implementar una cuarentena el 1 de julio), el número de casos acumulados se estimó en 15,920 para el 1 de agosto. Para los escenarios B y C (restricciones parciales a tasas de crecimiento del 4% y 8%), el modelo estimó 24,050 y 37,372 casos acumulativos para el 1 de agosto, respectivamente. Por último, el número de casos se estimó en 116,018 para el 1º de agosto, suponiendo que no se adoptaran medidas de distanciamiento social y que la tasa de infección fuera de 10% después del 1º de julio (escenario D). En comparación con los datos observados, el escenario B se asemejaba más al número real de casos de COVID-19 diagnosticados para el 1o de agosto (24,050 estimados comparados con los 25,628 observados 9). Por otra parte, las predicciones de casos entre el 1 de septiembre y el 15 de octubre se resumen en la Figura 2B. El modelo estimó 67,694 casos para el 1 de octubre asumiendo que se había establecido una cuarentena estricta durante septiembre (escenario E). Por otra parte, las predicciones de casos para los escenarios suponiendo restricciones parciales con tasas de crecimiento de 4% y 8% (escenarios F y G) eran de alrededor de 80,398 y 101,489 para el 15 de octubre, respectivamente. Finalmente, el último análisis (escenario H) que suponía un levantamiento completo de las restricciones de distanciamiento social estimaba 208,502 casos para el 15 de octubre.

Figura 2 Modelo de predicción del número de casos. A: Predicciones del modelo entre el 20 de junio y el 1 de agosto. B: Predicciones del modelo entre el 1 de septiembre y el 15 de octubre. La cuarentena se decretó en julio (crecimiento diario del 2%). La restricción parcial se mantuvo en julio (crecimiento diario del 4%). La restricción parcial se mantuvo en julio (crecimiento diario del 8%). No hay restricciones después del 1 de julio (crecimiento diario del 8%)
Las estimaciones de las camas disponibles y necesarias en la sala y en la UCI (ventiladas y no ventiladas) por día para cada escenario se presentan en las Figuras 3 y 4 y en el apéndice B. La Figura 3 resume los resultados de los escenarios A-D (20 de junio - 1 de agosto). Para el escenario A, el modelo predijo 1,407 camas disponibles en la sala y 349 camas disponibles en la UCI ventilada para el 1 de agosto exclusivamente para los pacientes de COVID-19. Esto representa una tasa de ocupación del 17% y el 26% de la capacidad actual de las salas y de las camas de la UCI, respectivamente, considerando la disponibilidad el 20 de junio. Con restricciones parciales y una tasa de crecimiento del 4%, el 1 de agosto estarían disponibles 1,098 camas de sala y 224 camas de UCI ventilada para los pacientes de COVID-19 (tasa de ocupación del 35% y 52% de la capacidad de camas de la sala y de la UCI, respectivamente). En el escenario C (restricciones parciales y una tasa de crecimiento del 8%), se estimó que el número de camas disponibles en la sala era de 585 (tasa de ocupación del 65%). Sin embargo, el modelo predijo que las camas de la UCI ventiladas estarían completamente ocupadas para el 16 de julio (tasa de ocupación del 100%) en este escenario. Finalmente, los resultados sugieren que la UCI y las camas de la sala estarían completamente ocupadas entre el 11 y el 20 de julio (ocupación del 100%) si se levantaran todas las restricciones de distanciamiento social a partir del 1 de julio. Los datos observados muestran que debido a una tasa de crecimiento de la infección diaria relativamente baja y constante del 3-4% el 9 de julio, el Valle del Cauca no se quedó sin camas en agosto.

Figura 3 Número de camas en la sala y en la UCI (ventiladas y no ventiladas) disponibles para el uso de los pacientes con COVID-19 por día, entre el 20 de junio y el 1 de agosto. Escenario A - Cuarentena decretada en julio (crecimiento diario del 2%) - 15,920 casos para el 1 de agosto; Escenario B - restricción parcial mantenida en julio (crecimiento diario del 4%) - 24,050 casos para el 1 de agosto; Escenario C - restricción parcial mantenida en julio (crecimiento diario del 8%) - 37,372 casos para el 1 de agosto; Escenario D - Sin restricciones después del 1 de julio (crecimiento diario del 10%) - 116,018 casos para el 1 de agosto. Los pacientes deben esperar a que haya camas disponibles cuando se alcance la ocupación total. Los pacientes que esperan por camas y ventiladores resultan en mayores tasas de mortalidad.

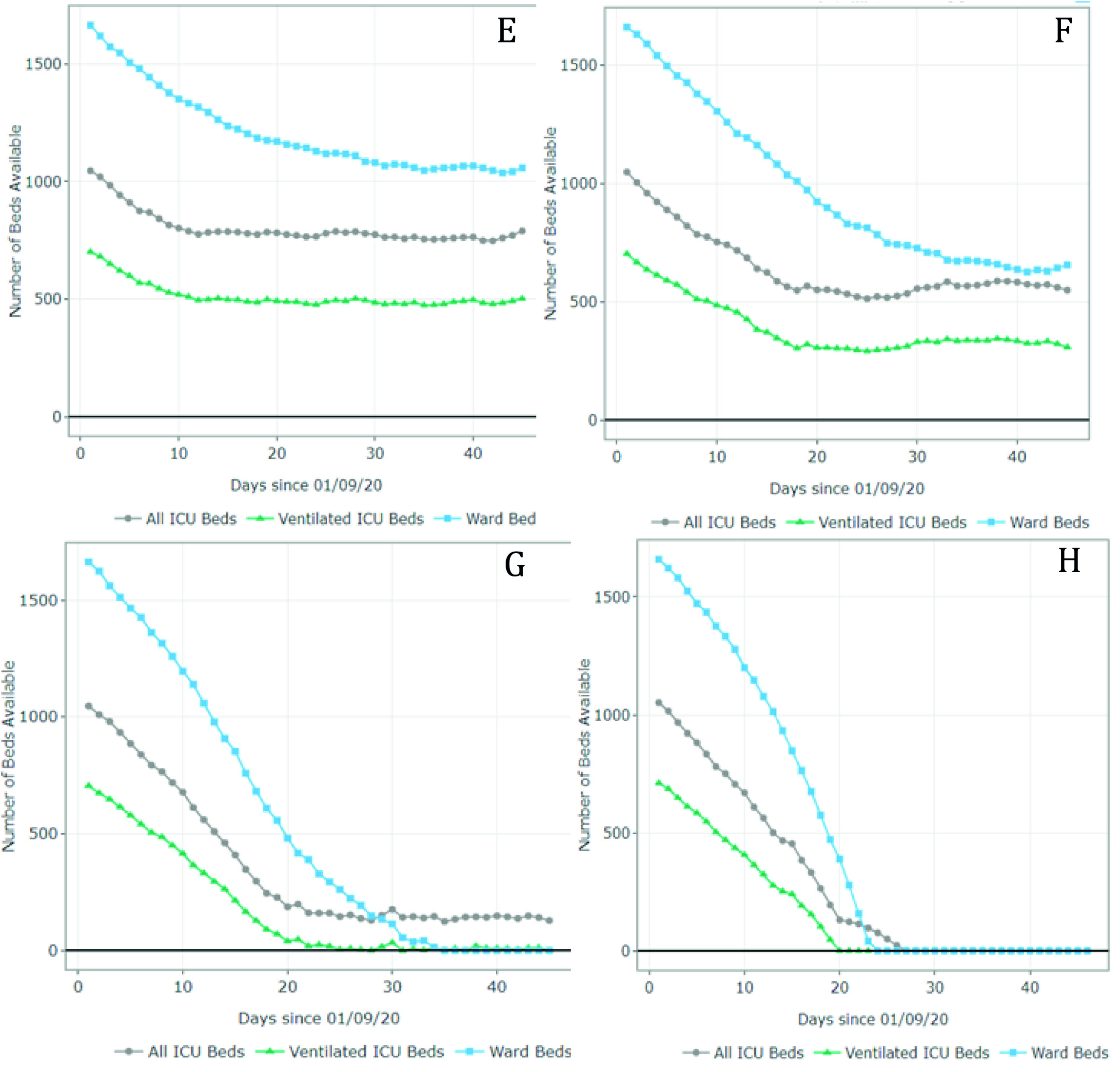
Figura 4 Número de camas en la sala y en la UCI (ventiladas y no ventiladas) disponibles para el uso de los pacientes con COVID-19 por día, entre el 1 de septiembre y el 15 de octubre. Escenario E - la cuarentena se decreta en septiembre (crecimiento diario del 2%) - 67,694 casos para el 15 de octubre; Escenario F - las restricciones parciales continúan en septiembre (crecimiento diario del 4%) - 80,389 casos para el 15 de octubre; Escenario G - las restricciones parciales continúan en septiembre (crecimiento diario del 8%) - 101,489 casos para el 15 de octubre; Escenario H - No hay restricciones después del 1 de septiembre (crecimiento diario del 10%) - 208,502 casos para el 15 de octubre. Los pacientes deben esperar a que haya camas disponibles cuando se alcance la ocupación total. Los pacientes que esperan por camas y ventiladores resultan en mayores tasas de mortalidad.
La Figura 4 resume los resultados de los escenarios E-H (1 de septiembre - 15 de octubre). Para el escenario E, el modelo predijo 1.011 camas disponibles en la sala y 512 camas disponibles en la UCI ventilada para el 15 de octubre (tasa de ocupación del 40% y 30% de la capacidad actual de camas en la sala y en la UCI, respectivamente). Bajo restricciones parciales y una tasa de crecimiento del 4% (escenario F), 610 camas de sala y 321 camas de UCI ventilada estarían disponibles para los pacientes de COVID-19 el 1 de agosto (tasa de ocupación del 64% y 56% de la capacidad de camas de sala y de UCI, respectivamente). En el escenario G (restricciones parciales y una tasa de crecimiento del 8%), las camas disponibles en la sala y en la UCI se agotaron por completo el 5 de octubre y el 27 de septiembre, respectivamente (tasa de ocupación del 100%). Finalmente, los resultados sugieren que la sala y las camas de la UCI estarían completamente ocupadas entre el 20 y el 23 de septiembre (ocupación del 100%) si se levantaran todas las restricciones de distanciamiento social a partir del 1 de septiembre. Estos resultados se resumen en la Tabla 2.
Tabla 2 Resumen de los resultados
| Escenario | Restricciones a partir del 1 de julio | Tasa de infección diaria(%) | Camas libres en la sala (antes del 1 de agosto) | Total de camas libres en la UCI (antes del 1 de agosto) | Camas ventiladas en la UCI (antes del 1 de agosto) |
|---|---|---|---|---|---|
| A | Cuarentena | 2 | 1,407 | 604 | 349 |
| B | Restricciones parciales | 4 | 1,098 | 421 | 224 |
| C | Restricciones parciales | 8 | 585 | 151 | 0 (totalmente ocupado para el 16 de julio) |
| D | No restrictiones | 10 | 0 (totalmente ocupado para el 20 de julio) | 0 (totalmente ocupada para el 17 de julio) | 0 (totalmente ocupada por el 11 de julio) |
| Escenario | Restricciones a partir del 1 de septiembre | Tasa de infección diaria | Camas libres en la sala (antes del 15 de octubre) | Total de camas libres en la UCI (antes del 15 de octubre) | Camas ventiladas en la UCI (antes del 15 de octubre) |
| E | Cuarentena | 2 | 1,011 | 653 | 512 |
| F | Restricciones parciales | 4 | 610 | 507 | 321 |
| G | Restricciones parciales | 8 | 0 (totalmente ocupado para el 5 de octubre) | 88 | 0 (totalmente ocupado para el 27 de septiembre) |
| H | No hay restricciones | 10 | 0 (totalmente ocupado para el 23 de septiembre) | 0 (totalmente ocupado para el 27 de septiembre) | 0 (totalmente ocupado para el 20 de septiembre) |
Aunque las Figuras 3 y 4 pueden utilizarse para identificar el momento en que las camas están totalmente ocupadas (es decir, la fecha en que el número de cuentas disponibles llega a 0), no explica cuántas camas adicionales se necesitarían. En el apéndice B se indica el número de camas necesarias por día para cada escenario. Por ejemplo, en el escenario G, el número de camas de UCI ventiladas requeridas el 15 de octubre se estimó en 810 cuando se asumió una tasa de infección del 8%. Esto es al menos 1.1 veces la capacidad del 1 de septiembre. En el escenario H, el número de camas de UCI ventiladas requerido se estimó en más de 5,000 (al menos 7 veces la capacidad actual).
Adicionalmente, estimamos el número de muertes, incluyendo las evitables, es decir, las muertes por falta de recursos, entre el 20 de junio y el 1 de agosto, y entre el 1 de septiembre y el 15 de octubre (Tabla 3). El número esperado de muertes para los dos primeros escenarios (A y B - cuarentena al 2%, y cuarentena parcial al 4%) se estimó en 301 y 535, respectivamente. No hubo muertes debidas a la limitación de recursos, ya que se disponía de suficientes camas y ventiladores en las salas y en la UCI. Por el contrario, el número de muertes previstas para los escenarios C y D (restricciones parciales del 8% y ninguna restricción del 10%) se estimó en 1,050 y 9,211, respectivamente. Esto se tradujo en 150 y 5,996 muertes evitables para cada escenario, dada la ilimitada disponibilidad de recursos. Los resultados para los escenarios entre el 1 de septiembre y el 15 de octubre fueron similares. Dado que no se esperaba que se agotaran los recursos para los escenarios E y F, el aumento de las camas de hospital y de la UCI no evitaría necesariamente las muertes relacionadas con el COVID. Sin embargo, asumiendo tasas de infección más altas en los escenarios G y H, el modelo predijo muertes adicionales evitables. Si la tasa de crecimiento aumentará a 8% con restricciones parciales, el Valle del Cauca podría evitar 46 muertes entre el 1 de septiembre y el 15 de octubre aumentando la capacidad del hospital por lo menos en 30 camas de UCI ventiladas. El número de muertes evitables para el escenario más severo (tasa de infección del 10% sin restricciones) se estimó en 6.831, sin embargo, se necesitarían 3.600 camas ventiladas adicionales en la UCI.
Tabla 3 Número de muertes evitables por escenario asumiendo disponibilidad ilimitada de camas en las salas y en la UCI.
| Escenario | Muertes entre el 20 de junio y el 1 de agosto | Muertes (con disponibilidad ilimitada de camas) | Muertes evitables |
|---|---|---|---|
| A - Cuarentena (2%) | 301 | 301 | 0 |
| B - Cuarentena parcial (4%) | 535 | 535 | 0 |
| C - Cuarentena parcial (8%) | 1,050 | 1,200 | 150 |
| D - Sin restricciones (10%) | 9,211 | 3,215 | 5,996 |
| Escenario | Muertes entre el 1 de septiembre y el 15 de octubre | Muertes (con disponibilidad ilimitada de camas) | Muertes evitables |
| E - Cuarentena (2%) | 664 | 664 | 0 |
| F - Cuarentena parcial (4%) | 1,056 | 1,056 | 0 |
| G - Cuarentena parcial (8%) | 1,747 | 1,701 | 46 |
| H - Sin restricciones (10%) | 11,409 | 4,578 | 6,831 |
Escenario A - la cuarentena se decreta en julio (crecimiento diario del 2%) - 15,920 casos para el 1 de agosto;
Escenario B - restricción parcial mantenida en julio (crecimiento diario del 4%) - 24,050 casos para el 1 de agosto; Escenario C - restricción parcial mantenida en julio (crecimiento diario del 8%) - 37,372 casos para el 1 de agosto; Escenario D - Sin restricciones después del 1 de julio (crecimiento diario del 10%) - 116,018 casos para el 1 de agosto.
Escenario E - cuarentena decretada en septiembre (crecimiento diario del 2%) - 67,694 casos para el 15 de octubre; Escenario F - restricciones parciales mantenidas en septiembre (crecimiento diario del 4%) - 80,389 casos para el 15 de octubre;
Escenario G - las restricciones parciales continúan en septiembre (crecimiento diario del 8%) - 101,489 casos al 15 de octubre;
Escenario H - No hay restricciones después del 1 de septiembre (crecimiento diario del 10%) - 208,502 casos al 15 de octubre.
Finalmente, basándonos en el número de casos previsto para cada escenario, estimamos el número de pruebas necesarias (Apéndice C). El escenario E, con una tasa de crecimiento diario del 2%, se espera que represente 20,250 casos adicionales (es decir, 67,694 casos pronosticados el 15 de octubre - 47,444 casos el 1 de septiembre) entre el 1 de septiembre y el 15 de octubre. Considerando una tasa de positividad del 10%, se requeriría un total de 202,500 pruebas de PCR para identificar estos nuevos casos. El número de pruebas requeridas se estimó en 328,450 y 540,450 al asumir una cuarentena parcial y una tasa de infección diaria del 4% y 8%, respectivamente. Por último, el número de pruebas requeridas para el escenario más extremo, suponiendo que no haya restricciones y una tasa de infección diaria del 10%, se estimó en 1,610,580.
Validación de la predicción del caso
En el apéndice D se resume el ejercicio de validación. Los casos previstos siguen una tendencia similar a la de los datos observados. Entre el 16 y el 26 de marzo, el número de casos aumentó considerablemente, hasta que se instauró la cuarentena nacional. Esto marcó una tendencia a la reducción hasta el 27 de abril, cuando el número de casos comenzó a aumentar debido a la aplicación de medidas más flexibles.
Análisis previos
En el apéndice E se presentan otras predicciones de modelos. Añadimos los primeros ejercicios de modelización que se realizaron entre marzo y mayo.
Discusión
Dada la falta de terapias específicas y eficaces contra el COVID-19, los responsables de la toma de decisiones necesitan datos oportunos y precisos para determinar la incidencia de la enfermedad y los recursos hospitalarios necesarios para mitigar el impacto de la pandemia. A 1 de julio de 2020, el Valle del Cauca tenía el tercer número más alto de casos de COVID-19 en Colombia, con más de 10,000 casos notificados y el 1 de septiembre, el Valle del Cauca registró más de 50,000 casos. Los análisis de los datos recopilados desde la introducción del SARS-CoV-2 en Colombia demuestran que los hospitales del Valle del Cauca pueden experimentar una presión significativa en sus UCI y en los recursos de camas de las salas de hospital debido a COVID-19 en el próximo mes, después de que se hayan relajado las restricciones de distanciamiento social. Nuestros resultados apoyan las medidas políticas para identificar y crear rápidamente oportunidades para frenar la infección y ampliar la capacidad de la UCI para atender a los pacientes gravemente enfermos. Nuestros resultados también demuestran que la capacidad de camas del hospital puede ser insuficiente. Por lo tanto, debemos identificar políticas que permitan a los pacientes moverse rápidamente a través del sistema hospitalario y permitir el alojamiento de un mayor número de pacientes.
Los análisis que asumen altas tasas de infección predijeron que todas las camas disponibles en el hospital y en la UCI para los pacientes de COVID-19 estarían totalmente ocupadas entre el 11 y el 20 de julio. Por otro lado, los análisis que asumían menores tasas de infección bajo una cuarentena total o parcial predijeron una mayor disponibilidad de camas y una tasa de ocupación entre el 17% y el 65% de las camas de la sala y de la UCI ventilada para el 1 de agosto. Aunque se esperaba que la aplicación de una nueva cuarentena produjera el menor número de casos previstos y los recursos necesarios, una restricción parcial con bajas tasas de infección (por ejemplo, del 4 al 7%) podría permitir la reactivación de sectores económicos adicionales, evitando al mismo tiempo un agotamiento completo de las camas de hospital y de la UCI. Por ello, el gobierno del Valle del Cauca mantuvo restricciones parciales entre junio y agosto. Los casos pronosticados bajo este escenario (~4% de tasa de crecimiento diario) se asemejan mucho a los casos observados al 1 de agosto (24,050 estimados comparados con 25,628 observados 9). Como se predijo, los hospitales y los sectores de atención médica funcionaban casi a plena capacidad, pero la disponibilidad de camas de UCI y de salas generales destinadas a la atención de COVID-19 se mantuvo siempre. Además, la Gobernación del Valle del Cauca trabajó en la adquisición de camas adicionales en hospitales y UCI, lo que actuó como una salvaguarda contra tasas de infección más altas de lo esperado. Esto explica por qué la disponibilidad de camas fue mayor el 1 de septiembre que el 20 de junio. Se espera que la tasa de infección en el Valle del Cauca aumente considerablemente en septiembre, ya que las restricciones se levantaron el 1 de septiembre a nivel nacional. Por lo tanto, considerando los resultados de este estudio, las autoridades sanitarias deben asegurar que las tasas de infección diarias no superen el 4% y que se disponga de recursos adicionales. Un escenario sin restricciones y con una tasa de infección del 10% colapsaría el sistema hospitalario en 20 días.
Aunque los gobiernos locales han utilizado anteriormente modelos de predicción similares para informar la toma de decisiones, es importante destacar las limitaciones de nuestro análisis. En primer lugar, hay un número limitado de estudios nacionales e internacionales de los que extraer datos para poblar el modelo. Por lo tanto, hemos extraído datos de estudios internacionales, que pueden no representar adecuadamente el contexto colombiano. En segundo lugar, aunque el modelo CORE prioriza a los pacientes por los tiempos de espera, no tiene en cuenta los cambios en el estado de salud durante la espera. En tercer lugar, el modelo no considera el posible aumento de la demanda de recursos hospitalarios en el Valle del Cauca de las regiones vecinas con capacidad limitada, ya que se reabren las fronteras regionales dentro de Colombia. Además, no se consideraron las limitaciones adicionales de recursos, como el personal médico, el equipo de protección personal y los medicamentos. Además, es importante señalar que estos resultados no simulan el efecto de las intervenciones públicas dirigidas a grupos de población específicos. Por ejemplo, se espera que el hecho de permitir que el sector de la construcción reanude sus actividades tenga un efecto diferente en la tasa de infecciones en comparación con los trabajos de oficina. Los trabajadores de la construcción suelen trabajar al aire libre y los de las oficinas suelen estar confinados a espacios cerrados más pequeños. Por lo tanto, se espera que la tasa de infección sea mayor si se permite que los trabajadores de oficina, que pueden trabajar más fácilmente desde su casa, regresen. Sin embargo, la construcción exige múltiples actividades, bienes y proveedores de servicios complementarios. Por ello, la labor futura incluye la elaboración de modelos de políticas públicas en las que participen diferentes sectores económicos, a fin de determinar la mejor manera de reabrir la economía y, al mismo tiempo, asegurar que se disponga de suficientes recursos hospitalarios.
Los modelos de predicción son instrumentos importantes para comprender las posibles repercusiones de la aplicación de medidas preventivas para hacer frente a los problemas de salud, como la pandemia de COVID-19. Sin embargo, su capacidad suele limitarse a la calidad y la disponibilidad de los datos. En este caso, utilizamos el modelo COVID-19 CORE durante las diferentes fases de la pandemia y en diferentes entornos internacionales. Si bien se reconocen las limitaciones asociadas a este modelo predictivo, el grupo de trabajo integrado por la Universidad de Toronto, la Pontificia Universidad Javeriana y representantes del gobierno del Valle del Cauca, desarrolló un proceso de toma de decisiones que implicaba análisis predictivos iterativos que se basaban en la disponibilidad de nuevos datos y en las lecciones aprendidas. Para comprender mejor este proceso, incluimos predicciones previas durante las primeras etapas de la pandemia. Aunque el objetivo de este estudio no incluía el análisis de estos datos, los proporcionamos para que el lector pueda observar cómo el modelo se utilizó de manera iterativa para producir estimaciones más matizadas que los responsables de la toma de decisiones utilizaron para fortalecer las políticas específicas que se promulgaron.
Aunque las tasas de infección parecen haberse reducido en el Valle del Cauca y en Colombia, es fundamental que los encargados de adoptar decisiones y los representantes del Gobierno sigan utilizando estos instrumentos para predecir posibles escenarios, concretamente después de introducir políticas como la supresión de las restricciones de distanciamiento social. Nuestros resultados muestran que si la tasa de infección diaria aumenta más del 8% en septiembre-octubre, y no se restablecen rápidamente las restricciones, el sistema de atención de la salud podría colapsar rápidamente debido a la falta de UCI y de camas de hospital.
REFERENCIAS
1. Instituto Nacional de Salud. COVID-19 en Colombia. Reporte 14-05-2020. Colombia: Ministerio de Salud; 2020. Cited: 2020 May 14. Available from: https://www.ins.gov.co/Noticias/Paginas/Coronavirus.aspx [ Links ]
2. Gobernación del Valle del Cauca. Laboratorios habilitados. Cali: Gobernación del Valle del Cauca; 2020. Cited: 2020 May 14. Available from: https://www.valledelcauca.gov.co/salud/publicaciones/66065/laboratorios-habilitados/. [ Links ]
3. Ministerio de Salud y Protección Social. Colombia confirma su primer caso de COVID-19. Bogotá: Ministerio de Salud y Protección Social; 2020 [cited 2020 May 14]. Available from: https://www.minsalud.gov.co/Paginas/Colombia-confirma-su-primer-caso-de-COVID-19.aspx [ Links ]
4. Ministerio del Interior. Decreto numero 636: Por el cual se imparten instrucciones en virtud de la emergencia sanitaria generada por la pandemia del Coronavirus COVID-19, y el mantenimiento del orden público. Colombia: Ministerio del Interior; 2020. Available from: https://dapre.presidencia.gov.co/normativa/normativa/DECRETO%20636%20DEL%206%20DE%20MAYO%20DE%202020.pdf [ Links ]
5. Barrett K, Khan YA, Mac S, Ximenes R, Naimark DM, Sander B. Estimation of COVID-19-induced depletion of hospital resources in Ontario, Canada. CMAJ; 2020; 192(24): E640-E646. DOI: 10.1503/cmaj.200715. [ Links ]
6. Barret K, Khan Y, Mac S, Pechlivanoglou P, Ximenes R, Heath A, et al. COVID-19: Predicting Healthcare Resource Needs in Ontario. University of Toronto; 2020. Cited: 2020 May 14. Available from: https://www.covid-19-mc.ca/interactive-model [ Links ]
7. Wu Z, McGoogan JM. Characteristics of and important lessons from the coronavirus disease 2019 (COVID-19) outbreak in China: summary of a report of 72 314 cases from the chinese center for disease control and prevention. JAMA. 2020; 323(13): 1239-1242. doi:10.1001/jama.2020.2648 [ Links ]
8. Ministerio de Salud. Capacidad instalada para la prestación de servicios de salud; 2020. Cited: 2020 May 14. Available from: https://minsalud.maps.arcgis.com/apps/opsdashboard/index.html#/1de89936b24449edb77e162d485ed5d9 [ Links ]
9. Registro Especial de Prestadores de Servicios de Salud. Registro Actual - Capacidad. Ministerio de Salud; 2020. Cited: 2020 May 14. Available from: http://prestadores.minsalud.gov.co/habilitacion/consultas/capacidadesinstaladas_reps.aspx [ Links ]
10. Bellani G, Laffey JG, Pham T, Fan E, Brochard L, Esteban A, et al. Epidemiology, patterns of care, and mortality for patients with acute respiratory distress syndrome in intensive care units in 50 countries. JAMA. 2016;315: 788-800. DOI: 10.1001/jama.2016.0291 [ Links ]
11. Instituto Nacional de Salud. Casos positivos de COVID-19 en Colombia. (Datos Abiertos); 2020. Available from: https://www.datos.gov.co/Salud-y-Protecci-n-Social/Casos-positivos-de-COVID-19-en-Colombia/gt2j-8ykr/data [ Links ]
12. Public Health Agency of Canada. Coronavirus disease 2019 (COVID-19) daily epidemiology update. Public Health Agency of Canada; updated 2020 May 3. Available from: https://www.canada.ca/content/dam/phac-aspc/documents/services/diseases/2019-novel-coronavirus-infection/surv-covid19-epi-update-2020-04-13-eng.pdf [ Links ]
13. Critical Care Services Ontario. Critical Care Capacity and Ventilators; 2020. Cited: 2020 May. (CCSO COVID-19 Updates). Available from: https://criticalcareontario.com/covid-19-updates#4d2568a8-8e18-4495-8443-5ee12d7cf12a [ Links ]
Material Suplemento
Apendice A Detalles del escenario
| Escenario | Intervalo de tiempo | Intervention de distanciamiento social | Tasa de crecimiento |
|---|---|---|---|
| A | junio 20 - agosto 1 | Cuarentena decretada en julio 1 | Tasa diaria de crecimiento constante del 2% |
| B | Restricciones parciales mantenidas | Tasa diaria de crecimiento constante del 4% | |
| C | Restricciones parciales mantenidas - alta tasa de infección | Tasa diaria de crecimiento constante del 8% | |
| D | Restricciones levantadas completamente en julio 1 | Tasa diaria de crecimiento constante del 10% | |
| E | septiembre 1 - octubre 15 | Cuarentena decretada en septiembre 1 | Tasa diaria de crecimiento constante del 2% |
| F | Restricciones parciales mantenidas | Tasa diaria de crecimiento constante del 4% | |
| G | Restricciones parciales mantenidas - alta tasa de infección | Tasa diaria de crecimiento constante del 8% | |
| H | Restricciones levantadas completamente en septiembre 1 | Tasa diaria de crecimiento constante del 10% |
Apendice B
Numero de salas y camas UCI (ventiladas y no ventiladas) requeridas por dia

Escenario A - cuarentena decretada en julio (tasa de crecimiento diaria del 2%) - 15,920 casos en agosto 1 ; Escenario B - Restricciones parciales mantenidas en julio (tasa de crecimiento diaria del 4%) - 24,050 casos en agosto 1; Escenario C - Restricciones parciales mantenidas en julio (tasa de crecimiento diaria del 8%) - 37,372 casos en agosto 1st ; Escenario D - Sin restricciones después de julio 1 (tasa de crecimiento diaria del 10%) - 116,018 casos en agosto 1st

Escenario E - Cuarentena decretada en septiembre (tasa de crecimiento diaria del 2%) - 67,694 casos en octubre 15; Escenario F - restricciones parciales continúan en septiembre (tasa de crecimiento diaria del 4%) - 80,389 casos en octubre 15; Escenario G - restricciones parciales continúan en septiembre (tasa de crecimiento diaria del 8%) - 101,489 casos en octubre 15; Escenario H - Sin restricciones después de septiembre 1st (tasa de crecimiento diaria del 10%) - 208,502 casos en octubre 15th.
Apendice C
Numero de pruebas PCR requeridas para los diferentes escenarios
| Fecha | Escenario A: Numero de casos esperados acumulados de COVID 19 si la cuarentena decreció en Julio 1 | Numero de pruebas requeridas desde julio 1st a agosto 1st en el escenario A | Escenario B: Numero de casos esperados acumulados de COVID 19 con restricciones parciales (al 4%) | Numero de pruebas requeridas desde junio 20 a agosto 1st en el escenario B | Escenario C: Numero de casos esperados acumulados de COVID 19 con restricciones parciales (al 8%) | Numero de pruebas requeridas desde junio 20 a agosto 1st en el escenario C | Escenario D: Numero de casos esperados acumulados de COVID 19 sin restricciones (al 10%) | Numero de pruebas requeridas desde junio 20 a agosto 1 en el escenario D |
|---|---|---|---|---|---|---|---|---|
| 20/06/2020 | 9,658 | 9,658 | 9,658 | 9,658 | ||||
| 1/08/2020 | 15,920 | 62,620 | 24,050 | 149.92 | 37,372 | 277,140 | 116,018 | 1,063,600 |
| Fecha | Escenario E: Numero de casos esperados acumulados de COVID 19 si la cuarentena decreció en Julio 1 | Numero de pruebas requeridas desde septiembre 1 a octubre 15 en el escenario E | Escenario F: Numero de casos esperados acumulados de COVID 19 con restricciones parciales (al 4%) | Numero de pruebas requeridas desde septiembre 1 a octubre 15 en el escenario F | Escenario G: Numero de casos esperados acumulados de COVID 19 con restricciones parciales (al 8%) | Numero de pruebas requeridas desde septiembre 1 a octubre 15 en el escenario G | Escenario H: Numero de casos esperados acumulados de COVID 19 sin restricciones (al 10%) | Numero de pruebas requeridas desde septiembre 1 a octubre 15 en el escenario H |
| 1/09/2020 | 47,444 | 47,444 | 47,444 | 47,444 | ||||
| 15/10/2020 | 67,694 | 202,500 | 80,389 | 329,450 | 101,489 | 540,450 | 208,502 | 1,610,580 |
Nota: todas las estimaciones del numero de pruebas requeridas asumen una tasa de positividad del 10%
Apendice D
Validación del model con datos observados del Valle del Cauca

Nota: La curva con líneas punteadas corresponde a la predicción del modelo y la línea sólida son los casos reales observados entre marzo 16 y mayo 12
Apendice E
Resultados de las predicciones adicionales del modelo desde marzo-mayo 2020 presentado a los representantes del gobierno del Valle del Cauca
(i) Casos predichos versus casos observados

Casos confirmados representan los casos observados y reportados de COVID-19 entre marzo 17 (primer paciente diagnosticado en Colombia) y abril 16. Casos según R0 muestran los casos predichos desde un modelo local usando números reproductivos variables. Modelo Ontario: se refiere a las predicciones obtenidas usando la versión inicial del modelo Ontario CORE.
(ii) Predicción de casos desde abril 16 a mayo 16 asumiendo una tasa de crecimiento de la infección diaria del 13%

(iii) Disponibilidad de camas desde abril 16 a mayo 16 asumiendo una cuarentena (izquierda) y sin cuarentena (derecha)

(iv) Resumen de los escenarios (abril 16 a mayo 16)
| Escenario | Cuarentena | Tasa de crecimiento (R0) | Camas libres en salas para pacientes COVID (en mayo 16) | Camas libres en UCI para pacientes COVID (en mayo 16) |
|---|---|---|---|---|
| 1 | Total | 1.3 | 505 | 126 |
| 2 | Ninguna - sin restricciones | 1.3 | 0 (capacidad agotada en 30 días) | (capacidad agotada en 27 días) |
| 3 | Ninguna - sin restricciones | 2.0 | 0 (capacidad agotada en 21 días) | 0 (capacidad agotada en 20 días) |
| 4 | restricciones parciales | 1.5 | 210 | 45 |
| 5 | restricciones parciales + camas adicionales (650 UCI y 650 camas de reserva) | 1.5 | 982 | 522 |
(v) Casos predichos desde abril 22 a junio 11 asumiendo diferentes restricciones como en mayo 11

(vi) disponibilidad de camas desde mayo 11 a junio 11 asumiendo una tasa de crecimiento diaria del 13% y sin cuarentena (izquierda), y una tasa de crecimiento diaria del 20% y sin cuarentena (derecha)

(vii) Resumen de todos los escenarios (mayo 11 a junio 11)
| Escenario | Cuarentena (como en mayo 11) | Tasa de infection diaria (%) | Camas de reserve en salas para pacientes COVID (para junio 11) | Camas libres en UCI para pacientes COVID (para junio 11) |
|---|---|---|---|---|
| 1 | Mantenido | 8 | 1,636 | 644 |
| 2 | Ninguno | 8 | 823 (Ocupación total en junio 16) | 222 (Ocupación total en junio 15) |
| 3 | Ninguno | 15 | 0 (Ocupación total en junio 6) | 0 (Ocupación total en junio 5) |
| 4 | Parcial | 10 | 1,319 | 491 |
| 5 | Parcial + camas adicionales (100 for UCI) | 10 | 1,319 | 591 |
Recibido: 09 de Julio de 2020; Revisado: 10 de Agosto de 2020; Aprobado: 19 de Septiembre de 2020










text in 




