Services on Demand
Journal
Article
Indicators
-
Cited by SciELO -
Access statistics
Related links
-
Cited by Google -
Similars in
SciELO -
Similars in Google
Share
Iteckne
Print version ISSN 1692-1798
Iteckne vol.10 no.1 Bucaramanga Jan./June 2013
Decaimiento no leptónico del mesón Bc considerando mesones excitados radialmente en el estado final
Nonleptonic Bc decays, radial and excited charmonium mesons in the final state
Juan Carlos Barrios Ávila1, José David Sanabria Gómez2, José Herman Muñoz Ñungo3
1 Lic. en Matemáticas y Física. MSc. en Física, Universidad Industrial de Santander. Docente Medio Tiempo, Universidad Santo Tomás Bucaramanga, Investigador Grupo GIRG, Universidad Industrial de Santander. Bucaramanga, Colombia. juancarlosbarriosavila@gmail.ustabuca.edu.co.
2 Lic. Matemáticas y física. MSc. y Dr. en Física, Centro de Investigación y de Estudios avanzados del IPN, México, Docente Tiempo Completo, Investigador Grupo GIRG, Universidad Industrial de Santander. Bucaramanga, Colombia. jsanabri@gmail.com.
3 Lic. Matemáticas y física. Msc en Física, Universidad de Antioquia. Dr. en Física , Centro de Investigación y de Estudios avanzados del Ipn, México, Docente Tiempo Completo, Rector Universidad del Tolima. Ibague, Colombia. jhmunoz@ut.edu.co.
RESUMEN
En el presente trabajo se muestra parte del estudio del decaimiento no leptónico del mesón Bc, considerado un mesón pseudoescalar o vectorial excitado radialmente (n = 2) en el estado final, se asume la hipótesis de factorización y utiliza el modelo de quarks ISGW2. El procedimiento para obtener los anchos de decaimiento de los procesos B → P,P , B → P,V, donde B es un mesón pesado, P es un mesón seudoescalar 1S0 y V es un mesón vectorial 3S1. Se logró medir las fracciones de decaimientos para los procesos PP y PV, se graficaron los anchos de decaimientos versus los factores de forma que provee el modelo de quarks ISGW, variando estos últimos de un 5 a un 150% de su valor original, para analizar qué implicaciones tiene en el ancho de decaimiento medido.
Este estudio muestra una perspectiva y herramienta fundamental en el campo de la física de partículas, ya que los resultados encontrados no han sido calculados (o no se encuentra información de dichos cálculos), y pueden servir como herramienta para conocer algunos elementos relevantes del modelo estándar y del decaimiento no leptónico de un mesón.
PALABRAS CLAVE: Fracciones de decaimiento, factores de forma, constantes de decaimiento.
ABSTRACT
This paper shows part of the study of non-leptonic decay of Bc meson, pseudoscalar meson or considering a radially excited vector (n = 2) in the final state, assuming factorization hypothesis and using the quark model ISGW2. In this paper we present in detail the procedure to obtain the decay widths of the processes B → P, P, B → P, V, where B is a heavy meson, pseudoscalar meson P is a V 1S0 and 3S1 vector meson is. It was possible to measure fractions of decays to PP and PV processes, were plotted versus decay widths form factors providing ISGW the quark model, the latter varying from 5 to 150% of its original value, to analyze what implications does this have on the measured decay width. This study shows a perspective and fundamental tool in the field of particle physics, since the results are unpublished, and can serve as a tool to know some relevant elements of the standard model and the non leptonic decay of a meson.
KEYWORDS: Fractions of decays, widths form factors, decay constants.
1. INTRODUCCIÓN
El Modelo Estándar [1] (M. E.) explica las relaciones entre las partículas elementales y las interacciones conocidas. Los leptones y quarks son partículas elementales, dado que no poseen estructura interna.Las partículas que tienen estructura interna se denominan hadrones (constituidos por quarks), bariones cuando están formadas por tres quarks o tres antiquarks, o mesones cuando están constituidas por un quark y un antiquark. Hay seis leptones (electrón, muón, tau, neutrino del electrón, neutrino del muón y neutrino del tau) y seis quarks (quark up (u) quark down (d), quark charm (c), quark strange (s), quark bottom (b) y quark top (t)). Los quarks tienen una propiedad llamada color y cada uno puede presentar tres colores (rojo, verde y azul). A cada partícula le corresponde una antipartícula, que (en general) tiene el mismo espín y la misma masa, pero diferente carga (aunque algunas partículas neutras son idénticas a sus antipartículas).
Los procesos de decaimiento del quark Bc (b
o
c) se pueden dividir en tres clases: a) se puede presentar una transición del tipo b → q (q = c, u), en la que el quark
actúa como espectador; b) también se puede tener otra transición del tipo c → q (q = s,d), en la que el quark b es espectador y, c) se puede tener una aniquilación entre el quark b y
. Aunque el espacio de fase de las transiciones del tipo b) es más pequeño que el de la transición a), los decaimientos dados por transiciones del quark b proporcionan alrededor del 70 % del ancho de decaimiento del mesón Bc mientras que los decaimientos dados por transiciones del quark c y los de aniquilación débil sólo aportan el 20 % y el 10%, respectivamente [1]. Por esta razón, sólo se considerarán aquellos en que decae el quark b.
En este trabajo se presenta el caso particular de mesones excitados radialmente para el caso de decaimientos no leptónicos (o hadrónicos) de uno a dos cuerpos del mesón Bc, en el marco del modelo relativista de quarks ISGW2 [2]. Es decir, se obtienen las fracciones de decaimiento de los procesos Bc → M1M2, donde M1 ó M2 es un mesón excitado radialmente (n=2). La razón por la cual se ha elegido estudiar el decaimiento del mesón Bc, es fundamentalmente por estar compuesto de dos quarks pesados y, además ha sido muy poco estudiado incluidos los estados excitados radialmente para n = 2 y, por otro lado, hay pocos datos reportados en Particle Data Group [3]. El cálculo de fracciones de decaimiento se realizó a nivel árbol, mediante hipótesis de factorización y con el modelo de quarks no relativista de Isgur-Scora- Grinstein y Wise (ISGW2), el cual permite escribir y calcular los elementos de matriz < M1|Jµ|B > para las transiciones Bc → η(2s) y Bc → ψ(2s).
II. HAMILTONIANO Y FACTORES DE FORMA
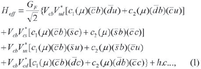
En este trabajo, se consideraron solo contribuciones de operadores corriente-corriente a nivel árbol, no se incluyeron diagramas de pingüino1 . El hamiltoniano es efectivo para el decaimiento no leptónico Bc → M1(2s)M2, donde M1(2s) denota un mesón excitado radialmente hc (21S0) o ψ(23S1), y M2 es un mesón pseudoescalar (P) o vector (V), despreciados los operadores de pingüino QCD, está dado por [4]:
donde GF es la constante de Fermi, Vij son los factores CKM, (
αqβ) es una notación corta para las corrientes V - A
αγµ(1-γ5)qβ y c1,2 son los coeficientes de Wilson.
_____________________________
1 Se espera que las contribuciones al ancho de decaimiento del decaimiento no leptónico de dos cuerpos Bc de diagramas de árbol sea mayor que el que se obtiene del diagrama de pingüino.
La amplitud del decaimiento Bc → M1(2s)M2 está dada por:
donde λ son los factores de CKM y <Oi> es el elemento de matriz de los operadores locales de cuatro - quarks. En el marco de referencia de la factorización de Naïve, se asume que estos elementos de matriz se pueden aproximar a:
donde Jn es la corriente débil. Así, el elemento de matriz hadrónico de un operador de cuatro - quarks se puede escribir como el producto de una constante de decaimiento y factores de forma [5].
Los coeficientes de Wilson se relacionan con los coeficientes de QCD por la expresión:
En este trabajo se asume el límite para Nc muy grande, de modo que a1 ≈ c1 y a2 ≈ c2 para µ ≈ m2b (algunos trabajos que también han asumido esta aproximación [6],[7],[8]).
Se calcularon los factores de forma mediante el modelo de quarks ISGW2 [2] para los elementos hadrónicos <ηc|Jµ|Bc> y <ψc|Jµ|Bc>. Es bien conocido que este modelo de quarks, es una versión relativista mejorada del modelo ISGW, el cual incluye las limitaciones impuestas por la simetría de quark pesado, las correcciones relativistas a los elementos de matriz de la corriente del vector axial y el potencial efectivo interquark y factores de forma polinomial más realista. Se espera que un tratamiento no relativista del decaimiento del mesón Bc con mesones charmonium radialmente excitados proporcionen una información más confiable[3] porque ambos quarks son pesados y estos decaimientos permiten las transiciones b → c.
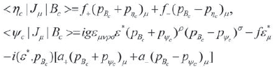
La parametrización de las transiciones Bc → ηc y Bc → ψc esta dada por [2]:
donde pBc, pηc y pψc son los cuadrimomentos de los mesones Bc•ηc y ψc respectivamente, ε*µ es la polarización del mesón ψc y f+,f-,f,a+,a- son los factores de forma.
A. Factores de forma para la transición Bc → ηc
Los factores de forma f+ y f- para la transición Bc → ηc en el modelo ISGW2 [2] son:
donde:
Los valores del parámetro b, el cual es una corrección relativista a la función de onda hiperfina en el modelo ISGW2, está dada en [2]. t=(pBc-pηc)
q2, es el momento transferido, t=(mBc-mηc)2, es el máximo momento transferido,
es la masa hiperfina promedio,
x es la suma de las masas de los quarks constituyentes del mesón X, uOM ≈ 1GeV es una escala en el modelo de quarks. El momento transferido q2 es una constante para decaimiento no leptónico de dos cuerpos Bc → ηc M, y es igual a q2 = O,tm. En la Tabla I [9] , mostramos los valores de los factores de formas f+ y f- en el momento transferido en el modelo ISGW2.
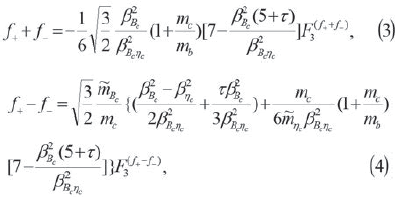
B. Factores de forma para la transición Bc → ψc
Los factores de forma f, g, a± están dados en el modelo ISGW2 [2] por:
β2,τ,r2, y ω están dadas por las ecuaciones (5, 6 y 7) respectivamente, sustituidos η y ψ. El factor 0,899 es una corrección relativista para los elementos de matriz de la corriente vector axial en el modelo ISGW2 [2].
III. VALORES NUMÉRICOS Y ANÁLISIS
Para obtener los anchos de decaimientos para el decaimiento leptónico y no leptónico de mesones charmonios excitados radialmente en el estado final, se toman los valores de la masa de los mesones de PDG[3] y los siguientes valores numéricos:
- Factores de CKM [3]: |Vcb|=40.6x10-3, |Vub|=0.97425, |Vcs|=1.023, |Vus|=0.2252, |Vcd|=0.230
- Masa de quarks en (GeV) [3]: mb=5,2, mc=1,82, ms=0,55, mu=md=0,33.
- Coeficientes QCD: a1=1.14, a2=-0,2 [3]
- Constantes de decaimientos en (Gev) [3]:
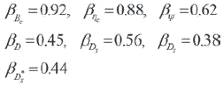
- Los parámetro β (en GeV) del modelo ISGW2 [2]:
- τBc=0.4333x10-2 [s], es el tiempo de vida media del mesón Bc [2].
Las expresiones para el ancho de decaimiento de dos cuerpos no leptónicos Bc → M1(2s)M2, donde M1(2s) = ηc (21S0), ψ(23S1) y M2 = P,V,A(3P1) bien conocidos en la literatura[9].
En la Tabla II se presentan las predicciones de los anchos de decaimientos de βψ = 0.62.
En las Tablas I y II se muestran los anchos de decaimientos no leptónicos de uno a dos cuerpos de B±c → ηcP,ηcV,ηcA(3P1),ηcS,ηcA'(1P1),ηcT comparados con el trabajo de otros autores para mesones excitados radialmente en estado final [9] y sin excitación radial basados en el modelo de quarks relativista [4]. Se obtuvieron valores numéricos de esos anchos de decaimientos con los valores de los coeficientes QCD a1,a2, los resultados obtenidos en algunos casos coinciden bastante con los otros trabajos, sin embargo también se observan algunas diferencias entre algunos de los valores que se lograron y el de las referencias indicadas en las Tablas I y II.
Se puede observar que en la Tabla II, los valores favorecidos por CKM para los modos: B±c → ηcπ,ηcρ,ηca1,ηcDs,ηcD*s tienen anchos de decaimientos del orden de entre 10-5 - 10-7, estos decaimientos son del tipo B±c → V(2s)V(1s), o más explícitamente (VV,VA). Esos anchos se podrían medir en los experimentos que se realizan en los grandes aceleradores de partículas. Para el modo Bc → ηca1(1260), donde a1(1260) es un mesón axial, se encontró que la fracción de decaimiento favorecido por CKM es del orden de 10-5 y es más pequeño que [9]. De hecho
El decaimiento B-c → ηcD*s tiene dos contribuciones: con emisión externa W (proporcional al coeficiente QCD a1) y con emisión interna W (proporcional al coeficiente QCD a2, el cual es negativo). Los factores de forma de esas transiciones se obtienen del modelo ISGW2. Es importante notar que los términos de interferencia en los modos B-c → ηcD*- y B-c → ηcD*s son positivos porque a2 es positivo, interferencia constructiva.
La mayor fuente de incertidumbre para las fracciones de decaimientos del proceso B+c → ηcM2provienen de los parámetros βBc, βηc y βMc con M2 = D*s los cuales son una corrección relativista de la función de onda en el modelo ISGW2, los coeficientes de la QCD a2(cuando M2 = D*s) y las constantes de acoplamiento fηc y fDc. Las fuentes dominantes de error provienen de βBc, βηc y la constante de decaimiento fηc = 0.270 GeV [10]. Por otro parte, el decaimiento B+c → ηcM2, con M2 = Ds,K1A+M= son muy sensibles a las constantes de acoplamiento fDs = 0.269 GeV [10].
Los decaimientos que aparecen en las Tablas I y II, para estados no excitados fueron obtenidos de las referencia [12],[13],[14].
Uno de los objetivos del artículo de investigación era determinar la sensibilidad de los resultados obtenidos variando los parámetros del modelo ISGW2 [4], bajo esa premisa se realizaron las gráficas de los anchos de decaimientos para los modos B-c → P(2s) y B-c → V(2s).
Para el proceso B-c → ηn(2s)π+ la Fig. 1, muestra que el ancho de decaimiento depende casi exclusivamente del factor de forma f+, dado que a pesar que los dos factores de forma variaron entre 0.5 y 1.5 veces su valor, el ancho de decaimiento mostró una variación entre +0,4 y +0,5 órdenes de magnitud (en escala logarítmica en base 10) lo que significa que ese decaimiento es 7 veces más probable cuando existe la mencionada variación del valor del factor de forma, lo que significa que el ancho de decaimiento no es muy sensible a estas variaciones[9].
IV. CONCLUSIONES
Se calcularon las fracciones de decaimiento en los proceso no leptónicos del mesón Bc en mesones pseudoescalares y vectoriales excitados radialmente en el estado final, mediante el modelo de quarks ISGW2, donde los elementos de la matriz hadrónica que introducen el decaimiento (B-c → M1M2) en dos cuerpos ligeros de alta energía; que son factorizados y expresados en términos de factores de forma y constantes de decaimiento [9].
En las Tablas I y II se observaron los resultados obtenidos para las fracciones de decaimiento del mesón Bc realizados por otros autores [13], [14],[15] con las que se pueden hacer comparaciones con los resultados obtenidos mediante el uso del modelo ISGW2.
En la hipótesis de factorización [16] del modelo ISGW se encuentra que las mayores fuentes de error están constituidas por las constantes de decaimiento (dominante),la masa de los quarks, los factores de forma f+, a+, etc. Es importante, por lo tanto, obtener valores más precisos para estos, hecho que está íntimamente relacionado con un mejor conocimiento de los mesones.
El aporte de este trabajo se encuentra en que dada la poca información en la literatura con respecto al estudio del mesón Bc en estado excitado radialmente, los resultados encontrados pueden dar aportes importantes al estudio de decaimientos del mesón Bc y, a su vez, es un escenario propicio para evaluar el modelo estándar. Es conveniente indicar las dificultades que se encontraron a la hora de hacer comparaciones de los resultados que se lograron medir en el presente estudio, ya que se cuenta con muy poca información en la literatura especializada del estudio del mesón BC, se recomienda consultar el trabajo de investigación [9], para una visión mejorada de estos resultados.
Finalmente, vale la pena mencionar que obtener anchos de decaimientos para estados excitados radialmente permita dilucidar si hay variaciones importantes en esas fracciones de decaimientos con respecto al caso no excitado radialmente.
REFERENCIAS
[1] G. Buchal, A. J. Buras and M. E. Lautenbacher, Weak decays beyond leading logarithms. Rev. Mod. Phys 68, 4 (1996). [ Links ]
[2] Nathan Isgur and Daryl Scora, Semileptonic B and D decays in the quark model: An update. Phys. Rev. D 52, 2783 (1995). [ Links ]
[3] Review Particle Physics, Particle Data Group. Particle Physics Booklet 37, 105-123 (2010). [ Links ]
[4] Bediaga and J.H. Muñoz, Production of radially excited charmonium mesons in two-body nonleptonic Bc decays. arXiv: 1102.2190 26, 110744 (2011). [ Links ]
[5] Z. Luo and J.L. Rosner, Factorization in color-favored B-meson decays to charm. Phys. Rev. D 64, 094001 (2001). [ Links ]
[6] G. Calderón, J.H. Muñoz and C.E. Vera, Nonleptonic two-body B decays including axial-vector mesons in the final state. Phys. Rev. D 76, 074019 (2007). [ Links ]
[7] V. Laporta and G. Nardulli, Nonleptonic B decays to axial-vector mesons and factorization. Phys. Rev. D 74, 054035 (2006). [ Links ]
[8] C.E Thomas, Nonleptonic weak decays of B to Ds and D mesons. Phys. Rev. D 73, 054016 (2006). [ Links ]
[9] J.C Barrios Ávila, "Decaimiento no leptónico del mesón Bc considerando mesones excitados radialmente en el estado final", Tesis de Maestría, Universidad Industrial de Santander UIS, 2012. [ Links ]
[10] H. Cheng and C. Chua, Hadronic charmless B decays B - AP. Phys. Rev. D 69, 074025 (2007). [ Links ]
[11] R.C Verma and Avinash Sharma, Quark diagram analysis of weak hadronic decays of the Bc meson. Phys. Rev. D 65, 114007 (2002). [ Links ]
[12] P. Colangelo and F. De Fazio, Using heavy quark spin symmetry in semileptonic Bc decays. Phys. Rev. D 61, 034012 (2000). [ Links ]
[13] D. Ebert, R. N. Faustov and V. O. Galkin, Nonleptonic decays of meson Bc. Phys. Rev. D 68, 094020 (2003). [ Links ]
[14] Hui-feng Fu, Yue Jiang, C. S. Kim and Guo-Li Wang, Probing Non-leptonic Two-body Decays of Bc meson. Arxiv 11, 025399 (2011). [ Links ]
[15] A. Kumar, P.C Vinodkumar, Properties of Bc meson. Jour. Phys. 66, 5 (May 2006). [ Links ]
[16] Beneke, QCD factorization for exclusive non-leptonic B-meson decays,general arguments and the case of heavy D light final states. Nucl. Phys. B 591, 313 (2000). [ Links ]



























