SciELO - Scientific Electronic Library Online

 
vol.9 issue18Anomalous Localization of Light in One-Dimensional Disordered Photonic SuperlatticesAutomated Recognition of Bioacoustic Signals: a Review of Methods and Applications author indexsubject indexarticles search
Home Pagealphabetic serial listing  

Services on Demand

Journal

Article

Indicators

Related links

  • On index processCited by Google
  • Have no similar articlesSimilars in SciELO
  • On index processSimilars in Google

Share


Ingeniería y Ciencia

Print version ISSN 1794-9165

ing.cienc. vol.9 no.18 Medellín July/Dec. 2013

 

ARTÍCULO ORIGINAL

 

Modelo analítico para el transporte electrónico en películas delgadas semiconductoras

 

Analytical Model for Electronic Transport in Semiconductor Thin Films

 

 

M. Torres-Luengo1, H.M. Martínez2, J. Torres3 y L.D. López-Carreño4

1 Físico, mtorresl@unal.edu.co, Universidad Nacional de Colombia, Bogotá, Colombia.

2 MSc., hmmartinezca@unal.edu.co, Universidad Nacional de Colombia, Bogotá, Colombia.

3 Dr.Sc., njtorress@unal.edu.co, Universidad Nacional de Colombia, Bogotá, Colombia.

4 Dr.Sc., ldlopezca@unal.edu.co, Universidad Nacional de Colombia, Bogotá, Colombia.

 

Recepción: 16-05-2013, Aceptación: 06-08-2013 Disponible en línea: 05-11-2013

MSC: 74K35,82D37,03C90, PACS: 73.25.+i,73.50.Gr,73.61.Cw

 


Resumen

Los semiconductores policristalinos son materiales que a menudo presentan propiedades eléctricas inusuales. En el modelo se supone que los cristales están formados por material semiconductor, el grano en sí, el cual está rodeado por material altamente desordenado y resistivo, la frontera de grano. La frontera de grano perturba la periodicidad estructural del cristal dando origen a estados electrónicos localizados en el interior de la brecha de energía prohibida. La existencia de estos estados favorece el atrapamiento de carga en las fronteras de grano y al doblamiento de las bandas de energía. Este doblamiento se caracteriza por un potencial de barrera y una zona de carga espacial, las cuales gobiernan el transporte electrónico a través de la frontera de grano. El modelo utiliza las teorías de difusión y deriva de portadores, de emisión termoiónica e incluye además, la teoría de tunelamiento cuántico de portadores a través de la barrera de potencial. Dado que la estructura de las películas delgadas de trióxido de Molibdeno (MoO3) obtenidas por atomización pirolítica es de tipo granular y de tamaño nanométrico, el modelo analítico explica el comportamiento de la característica Corriente - Voltaje (I-V) de las películas.

Palabras clave: películas delgadas; semiconductores; conducción eléctrica; modelo.

Aspectos relevantes

• La característica I-V de las películas de M0O3, medida a baja temperatura (∼150 K) muestran efectos no lineales. • Los efectos no lineales se hacen menos significativos a medida que se incrementa la temperatura. • Las curvas I-V de estas películas se ajustaron con un modelo en el que se supone que el transporte electrónico de los portadores de carga ocurre via emisión termoiónica y/o túnel mecánico cuántico.


Abstract

Polycrystalline semiconductors are materials who often exhibit unusual electrical properties. In the model we assume that the crystals are composed of semiconductor material, the grain itself, which is surrounded by highly disordered and resistive materials, the grain boundary. The grain boundary disturbs the structural regularity of the crystal giving rise to localized electronic states within the energy gap. The existence of these states promotes the charge trapping at the grain boundaries and the bending of the energy bands. This bending is characterized by a potential barrier and a space charge zone which control the electron transport through the grain boundary. The model uses the diffusion and drift carriers theories, and thermoionic emission, and the quantum tunneling of carriers through the potential barrier was also taken into consideration. Since the structure of the thin films of molybdenum trioxide (MoO3) obtained through spray pyrolysis is granular and nanosize, the model described the behavior of the current-voltage characteristic (I-V) of the films.

Key words: thin films, semiconductors; electrical conduction; model.


 

 

1 Introducción

Debido a sus propiedades eléctricas, algunos materiales semiconductores de estructura granular o porosa son utilizados en la fabricación de diversos dispositivos con aplicaciones opto-electrónicas [1],[2],[3]. El principio de operación de estos dispositivos se fundamenta en la existencia de estados electrónicos en las fronteras de grano. La carga eléctrica localizada en estos estados origina una barrera de potencial, la cual controla el flujo de corriente. En particular en el área de los sensores de gas, resulta evidente el incremento en el número de investigaciones científicas que buscan mejorar la sensibilidad, selectividad y velocidad de respuesta a un gas objetivo [4],[5],[6]. Los óxidos metálicos semiconductores (SMO, por sus siglas en inglés) se utilizan con frecuencia como material de detección en los sensores de gas. En este caso, la resistencia eléctrica de una película de SMO cambia debido a la interacción electrostática entre las moléculas de gas a ser detectado y la superficie del sensor [7],[8],[9]. Entre los SMO más estudiados como material de detección están el SnO2, el TiO2 y el ZnO. Sin embargo, en los últimos años muchos grupos de investigación han centrado su atención en los óxidos de metales de transición como el WO3 y el MoO3 [10],[11],[12],[13],[14]. Estas investigaciones se han orientado a la formulación teórica, el diseño, la fabricación y prueba de los sensores para una variedad de aplicaciones. Algunos estudios de la característica I-V o C-V de películas delgadas de óxidos semiconductores han mostrado ciclos de histéresis que han sido asociados a atrapamiento de portadores de carga en estados electrónicos localizados en la interfase o a la interacción electrostática entre los adsorbatos y la superficie del semiconductor [15],[16],[17]. Varpula et al, propusieron un modelo de conducción en el que solo se consideran efectos de atrapamiento de carga en la interfase [18],[19]. Sin embargo, no es numerosa la literatura acerca de la característica I-V de los sensores de gas basados en películas delgadas de SMO y en particular de los mecanismos de transporte asociados. El propósito del presente trabajo es presentar un modelo analítico para el transporte electrónico en películas delgadas semiconductoras. El modelo propuesto considera efectos de emisión termoiónica y tunelamiento cuantico a través de la frontera de grano, además de procesos de generación y recombinación de portadores en la interfase. Mediante la consideración de estos efectos, el modelo permite ajustar satisfactoriamente la característica I-V de películas delgadas de MoO3 y determinar el mecanismo de transporte electrónico dominante.

 

2 Descripción del modelo

2.1 Modelo estructural de la película delgada

La estructura cristalográfica de una película delgada de SMO depende tanto de la técnica de preparación así como de los parámetros utilizados durante el proceso de crecimiento, pero esencialmente, de la temperatura del substrato durante la deposición [20],[21],[22],[23],[24]. Desde un punto de vista microscópico, la estructura de una película delgada puede considerarse formada por granos conectados entre sí por fronteras de grano (policristalina) o formada por poros incrustados en una matriz del semiconductor (porosa). Debido a las vacancias de oxígeno, la mayoría de las películas delgadas de SMO son semiconductores tipo n. Por esta razón, en el caso del MoO3, la relación entre el numero de átomos de O y de Mo no es exactamente 3 a 1 sino un poco menor. Esto da lugar a la presencia de electrones débilmente ligados alrededor de algunos de los iones de Mo los cuales pueden entrar fácilmente a la banda de conducción haciendo que el SMO sea tipo n. Así, las vacancias de oxígeno actúan como impurezas donoras en las películas. La interrupción abrupta de la periodicidad de la red cristalina en las fronteras de grano y en la superficie de las películas da origen a niveles de energía permitidos en el interior de la brecha de energía prohibida del semiconductor. Además, en los SMO los enlaces son más de caracterer iónico que covalente. El ión metálico es el catión (+) y el oxígeno es el anión (-). En los iones metálicos la capa más externa está completa, sin embargo debido a su carga neta estos capturan electrones y en consecuencia actúan como aceptores. Los estados de la superficie se presentan como bandas estrechas con los estados donores ocupados (iones de oxígeno) y los estados aceptores desocupados (iones metálicos). Dado que la energía de los estados aceptores es menor que la del piso de la banda de conducción, los electrones de los sitios donores en el óxido metálico tipo n pueden moverse hacia los estados aceptores creando estados aceptores parcialmente llenos. Se forma entonces la llamada capa doble la cual tiene iones donores cargados positivamente en el semiconductor y estados superficiales aceptores cargados negativamente. Esta situación es un caso normal en los SMO. La superficie de los granos está cargada negativamente y los estados superficiales aceptores parcialmente ocupados debido a los iones metálicos de la superficie. Los iones donores cargados positivamente en la zona de agotamiento son debido a las vacancias de oxígeno.

2.2 Modelo de transporte en la película delgada

En este artículo se utiliza una aproximación común para modelar la estructura granular de un semiconductor tipo n [18],[19],[25],[26],[27]. En la Figura 1 se muestra el modelo geométrico unidimensional de una película delgada. La separación entre los electrodos l , constituye la longitud de la muestra. La muestra consiste de ng granos, cada uno de ellos de longitud lg y por lo tanto de nb fronteras de grano, idénticas entre sí y conectadas en serie. Las regiones asociadas a las fronteras de grano tienen una longitud lb y están separadas entre sí por las regiones del cristal propiamente dichas. Cada frontera de grano es infinitamente delgada y tiene asociados estados electrónicos en la interface, de tipo aceptor, con al menos un nivel discreto de energía localizado en ET . La existencia de estados electrónicos en la interface o la ruptura abrupta en la periodicidad del cristal origina el doblamiento de las bandas de energía y por lo tanto, la aparición de una barrera de potencial de altura . Puesto que los electrones deben atravesar la barrera de potencial para cruzar de un grano a otro, la resistencia en la frontera de grano Rb, es en general mayor que la resistencia del grano [28]. Si v es la diferencia de potencial aplicada entre los electrodos, la corriente I a través de la muestra y la caída de potencial vb en una frontera de grano se pueden escribir como:

donde Rg = es la resistencia del semiconductor en bloque, q es la carga electrónica, Nd es la concentración de impurezas donoras (concentración de vacancias de oxígeno en el SMO) y A es el área de la sección transversal de la muestra. El potencial eléctrico v(x) en la región de la frontera de grano se puede calcular solucionando la ecuación uni-dimensional de Poisson.

En la frontera de grano, el potencial de barrera, sin campo eléctrico aplicado, está dado por:

Donde Ng es la densidad de estados ocupados en la frontera de grano, ϵ la permitividad del material, k la constante de Boltzmann y T la temperatura absoluta de la muestra. Si se aplica una diferencia de potencial vb en los extremos de la frontera de grano, el potencial de barrera se escribe como:

El signo ± depende de si la polarización de la barrera de potencial es directa o inversa. Debido a la separación de carga cerca a la superficie del SMO, existe una capacitancia debida a la carga espacial. La capacitancia resultante se puede aproximar a la de un capacitor de placas paralelas y representar de la siguiente manera:

En este artículo solo se consideran dos mecanismos por medio de los cuales los electrones se mueven a través de las fronteras de grano: emisión termoiónica y túnel mecánico cuántico. Si se asume que el mecanismo de transporte electrónico en las fronteras de grano es emisión termoiónica, la relación corriente voltaje para la barrera se puede expresar como [29],[30]:

Donde la constante * = es idéntica a la constante de Richardson en la emisión termoiónica de electrones, excepto que se cambia la masa m del electrón por m*, la masa efectiva del electrón en el semiconductor. j es la densidad de corriente, la altura de la barrera de potencial y |vb| el valor absoluto de la caída de potencial a través de la barrera. Puesto que en el modelo se considera que hay ng granos en serie y se aplica una diferencia de potencial total v a través de la película, entonces la caída de potencial a través de una frontera de grano, |vb| es:

Donde nl es el número de granos por unidad de longitud y l es la longitud de la película en la dirección del flujo de corriente. Debido al tamaño promedio de cada grano, en general se satisface que q|vb| ≪ kT. Teniendo en cuenta esta aproximación, la ecuación (6) se puede escribir como:

Usando las ecuaciones (7) y (8), se obtiene que la corriente total debido al proceso de emisión termoiónica se puede escribir como:

Donde w y d son el ancho y el espesor de la película, respectivamente. Gt es la conductancia asociada al proceso termoiónico y es el inverso de la resistencia eléctrica R.

Además de los mecanismos de deriva y emisión termoiónica, los electrones pueden transportarse a través de la barrera de potencial por túnel mecánico cuántico. Para derivar la corriente túnel se debe resolver la ecuación de Schrödinger independiente del tiempo:

Donde es la masa de las partículas, v(x) es el potencial en la frontera de grano, E es la energía del electrón y ψ(x) es la función de onda electrónica. Para resolver esta ecuación es necesario sustituir en la ecuación (10) el potencial v(x) por la función apropiada y solucionar la ecuación sujeta a varias condiciones de frontera. Normalmente no se puede obtener la solución exacta y se deben usar técnicas de aproximación tal como la aproximación WKB para solucionar el problema [31]. Padovani y Stratton [32] y Crowell y Rideout [33] demostraron que si se utiliza el método WKB la característica corriente voltaje debida al efecto túnel es:

Donde Is es la corriente de saturación y η es el factor de idealidad. η es un parámetro que se utiliza para ajustar los datos experimentales a la predicción teórica. Puesto que tipicamente η > 1, la corriente a través de una sola frontera de grano se puede expresar como [34]:

En la teoría de difusión y deriva de portadores, la densidad de corriente está dada por la ecuación:

siendo q, n, μ, y D la carga, concentración, movilidad y coeficiente de difusión de los portadores. Usando la relación de Einstein, D = , la ecuación (13) se puede escribir, en el caso unidimensional como:

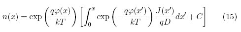
Teniendo en cuenta que el campo eléctrico E se relaciona con el potencial electríco φ de la forma ∫ E(x)dx = −φ(x) y solucionando la ecuación (14), se tiene:

Puesto que en la región I (Figura 1b), n(−ζ1) = Nd y V (−ζ1) = 0 y asumiendo que jI es constante en esta región, se tiene que la densidad de portadores en la frontera de grano está dada por:

En donde dx. De manera similar, aplicando la ecuación (15) a la región II de la frontera de grano y teniendo en cuenta que V2) = vb, n2) = Nd y asumiendo que jII es constante en la región, la ecuación (16) se puede escribir como:

con Igualando las ecuaciones (16) y (17) se tiene que:

En el estado estacionario, la densidad de corriente es constante y continua a través de la región de la frontera de grano, es decir, jI = jII = j. En este caso,

Si se consideran procesos de generación y recombinación de portadores en la frontera de grano, la corriente eléctrica que fluye a través de ella no es constante debido a la corriente de desplazamiento y a la dependencia temporal de la densidad de estados ocupados Ng en la frontera de grano. En la frontera de grano, la ecuación de continuidad conduce a la relación:

En este caso, en el que jIjII , la ecuación (19) toma la forma:

Llevando la ecuación (20) a la (21), se tiene:

En el caso dinámico, la concentración de electrones en la frontera de grano se puede escribir como:

donde es la densidad de electrones en la frontera de grano en el estado estacionario. En el caso dinámico, la densidad total de corriente es la suma de la densidad de corriente libre y la densidad de corriente de desplazamiento En un material isotrópico y lineal En la región I, la densidad total de corriente es:

El desarrollo explicito de esta ecuación depende de la forma funcional del potencial v(x). Asumiendo una dependencia lineal para el potencial, la ecuación (24) se puede escribir como:

El segundo término en la ecuación anterior es debido a los procesos de generación y recombinación de portadores en la frontera de grano mientras que el último corresponde a la característica de un condensador ideal. Si la carga neta en la frontera de grano no cambia con el tiempo, la ecuación (25) representa un circuito RC [19].

2.3 Circuito eléctrico equivalente

Después de examinar los mecanismos de transporte electrónico en los granos y a través de las fronteras de grano en un SMO, se propone un circuito eléctrico equivalente simplificado para simular la característica I-V de las películas de SMO. La Figura 2 muestra el diagrama de este circuito. En este circuito, la resistencia Rg es la resistencia del grano, la cual es común a cualquiera de los tres mecanismos de conducción que fueron discutidos. La conducción a través de la frontera de grano en sí, se representa por tres lazos, denominados a, b y c. Si el mecanismo de conducción predominante en la frontera de grano es el de emisión termoiónica, la conducción tiene lugar por el lazo a del circuito.

El valor de la resistencia R está definido por la ecuación (9). Si el mecanismo de conducción predominante es el de túnel mecánico cuántico, la conducción a través de la frontera de grano tiene lugar por el lazo b del circuito equivalente. La ecuación de transporte del diodo no ideal corresponde a la ecuación (12). En esta ecuación η es el factor de idealidad del diodo. Si los procesos de recombinación y generación de portadores en la interface son relevantes, la conducción eléctrica a través de la frontera tiene lugar por el lazo c del circuito. De acuerdo con la literatura, estos procesos se pueden representar por una resistencia Rc y una capacitancia equivalente C que incluye la capacitancia de la frontera de grano que se muestra en la ecuación (5).

3 Aplicación del Modelo a Películas Delgadas de MoO3

Se depositaron películas delgadas de MoO3 sobre substratos de vidrio utilizando la técnica de atomización pirolítica. Detalles acerca del proceso de preparación y de la caracterización morfológica, estructural y eléctrica pueden consultarse en los artículos de H.M. Martínez et al [21],[23],[35]. En estos artículos se reporta que la estructura de las películas producidas por atomización pirolitica es evidentemente de tipo granular con tamaños de gramo de orden de las decenas a centenas de nanómetros. En lo que respecta a este artículo y para mostrar la bondad del modelo, se hace referencia a tres tipos de muestras. En la primera de ellas (MT20) se depositó 20 ml de solución precursora sobre el substrato a 623 K. En la segunda (MS5) y la tercera (MV5) se depositaron 5 ml de solución con el sustrato a 673 K y 573 K, respectivamente. Las graficas a y b de la Figura 3 muestran la característica I-V de las películas MT20 medidas a diferente temperatura. La resistencia calculada a partir de la pendiente de las curvas I-V varía desde 2,47×104 Ω para la muestra a 143 K hasta 8,95×104 Ω para la muestra a 443 K lo cual es usual en este tipo de materiales. Si bien la linealidad de las curvas I-V no es una condición necesaría, sí es suficiente para asegurar que los contactos Al-MoO3 sean óhmicos. En estas películas el tamaño promedio de granos uniformes, determinado a partir del los espectros de RX, es de ∼ 30nm. Debido a que la separación entre los electrodos de Al es de 750μm y la máxima diferencia de potencial aplicada es de 10 V , se tiene que vb ∼ 4×10−4 V . Por lo tanto, en el rango de temperatura estudiado se satisface la condición q|vb| ≪ kT, que conduce a la ecuación (9). Se puede suponer entonces, que en estas películas el mecanismo de conducción predominante es el de emisión termoiónica de portadores a través de la frontera de grano. Las graficas c y d de la Figura 3 muestran la característica I-V de las películas MS5. La diferencia en las curvas I-V de las muestras MT20 y MS5 sugiere que el mecanísmo de transporte involucrado en las dos muestras es diferente. Las graficas c y d, exhiben un comportamiento pseudosimétrico no lineal en todo el rango de temperaturas estudiado. El ajuste de los datos experimentales se logró asumiendo que el mecanismo de transporte predominante es el de túnel mecánico cuántico descrito por las ecuaciónes (11) y (12). Para lograr este ajuste se tomó η = 47,1 que corresponde al mínimo valor utilizado en el ajuste a bajas temperaturas donde el factor de idealidad tiene un efecto más importante. De los valores obtenidos para la corriente de saturación Is a partir del ajuste de las curvas I-V de las muestras MS5 y utilizando la ecuación (6) se obtuvo un valor de q = 7,96 × 10−2 eV para la altura de la barrera de potencial y para la constante de Richardson efectiva un valor de A* = 3,36×10−5 Acm−2K−2.

La Figura 4 muestra la característica I-V de las películas MV5 medidas a diferente temperatura. En estas muestras, es evidente el efecto capacitivo asociado, según la ecuación (25), a la recombinación y generación de portadores en la frontera de grano. Este efecto es muy notorio a bajas temperaturas (Figura 4a). A medida que se incrementa la temperatura (Figura 4b), el mecanísmo dominante es el de emisión termoiónica de portadores en el cual IT2, según se muestra en la ecuación (9). Los valores de la capacitancia C y de la resistencia asociada Rc varían desde 1,29 pF y 1,8 × 1012 Ω, para la muestra a 123 K hasta 3,28 μF y 5,7 × 107 Ω, para la muestra a 453 K. El aumento en los valores de la capacitancia con el incremento de la temperatura se corresponde con el aumento de la concentración de portadores Ng en los estados electrónicos de la interfase. La Figura 3c muestra un efecto de histéresis que se simula con gran exactitud considerando la contribución de los lazos b y c del circuito equivalente, utilizando porcentajes de conducción por cada uno de los lazos (b y c) se ajustó la curva experimental a la teórica.

El modelo analítico expuesto explica la característica I-V que se puede presentar en el transporte eléctrico en películas delgadas de semiconductores cuya estructura se considera conformada por granos. El modelo considera la conducción en una dimensión y granos uniformemente espaciados entre los electrodos.

 

4 Conclusiones

Se propuso un modelo analítico para el transporte electrónico en películas delgadas semiconductoras policristalinas. En el modelo se asume que el transporte de carga está limitado por las fronteras de grano en las cuales se forma una barrera de potencial. En el cálculo de las propiedades de transporte se utilizaron la teorías de difusión y deriva de portadores, de emisión termoiónica y se consideró además, el tunelamiento cuántico de portadores a través de la barrera de potencial. Para cada uno de estos mecanismos de transporte se propone un circuito eléctrico equivalente. El modelo permite reproducir con gran exactitud las curvas I-V de películas delgadas de MoO3 preparadas en diferentes condiciones. El modelo permitió explicar el comportamiento de histéresis en las curvas I-V que se presenta por la combinación de los mecanismos de transporte por tunelamiento y de generación y recombinación de portadores.

 

5 Agradecimientos

Los autores agradecen a la Dirección de Investigación sede Bogotá (DIB) - Universidad Nacional de Colombia.

 

Referencias

[1] F. Moharrami, M. M. Bagheri-Mohagheghi, and H. Azimi-Juybari, ''Study of structural, electrical, optical, thermoelectric and photoconductive properties of S and Al Co-doped SnO2 semiconductor thin films prepared by spray pyrolysis,'' Thin Solid Films, vol. 520, no. 21, pp. 6503–6509, 2012.         [ Links ] 155

[2] J. P. Meyer, D. Schlettwein, D. Wohrle, and N. I. Jaeger, ''Charge transport in thin films of molecular semiconductors as investigated by measurements of thermoelectric power and electrical conductivity,'' Thin Solid Films, vol. 258, no. 1–2, pp. 317–324, 1995.         [ Links ] 155

[3] J. López-García, J. F. Trigo, I. J. Ferrer, C. Guillén, and J. Herrero, ''CuAlxGa1-xSe2 thin films for photovoltaic applications: Structural, electrical and morphological analysis,'' Materials Research Bulletin, vol. 47, no. 9, pp. 2518–2524, 2012.         [ Links ] 155

[4] A. Sharma, M. Tomar, and V. Gupta, ''SnO2 thin film sensor with enhanced response for NO2 gas at lower temperatures,'' Sensors and Actuators B: Chemical, vol. 156, no. 2, pp. 743–752, 2011.         [ Links ] 155

[5] E. Brunet, T. Maier, G. C. Mutinati, S. Steinhauer, A. Kock, C. Gspan, and W. Grogger, ''Comparison of the gas sensing performance of SnO2 thin film and SnO2 nanowire sensors,'' Sensors and Actuators B: Chemical, vol. 165, no. 1, pp. 110–118, 2012.         [ Links ] 155

[6] Z. M. Seeley, A. Bandyopadhyay, and S. Bose, ''Titanium dioxide thin films for high temperature gas sensors,'' Thin Solid Films, vol. 519, no. 1, pp. 434–438, 2010.         [ Links ] 155

[7] Q. Liang, H. Xu, J. Zhao, and S. Gao, ''Micro humidity sensors based on ZnO-In2O3 thin films with high performances,'' Sensors and Actuators B: Chemical, vol. 165, no. 1, pp. 76–81, 2012.         [ Links ] 155

[8] J. A. Park, J. Moon, S. J. Lee, S. Hyun-Kim, H. Yong-Chu, and T. Zyung, ''SnO2-ZnO hybrid nanofibers-based highly sensitive nitrogen dioxides sensor,'' Sensors and Actuators B: Chemical, vol. 145, no. 1, pp. 592–595, 2010.         [ Links ] 155

[9] N. Van Hieu, N. A. P. Duc, T. Trung, M. A. Tuan, and N. D. Chien, ''Gassensing properties of tin oxide doped with metal oxides and carbon nanotubes,'' Sensors and Actuators B: Chemical, vol. 144, no. 2, pp. 450–456, 2010.         [ Links ] 155

[10] T. S.Wang, Q. S.Wang, C. L. Zhu, Q. Y. Ouyang, L. H. Qi, C. Y. Li, G. Xiao, P. Gao, and Y. J. Chen, ''Gas-sensing properties of tin oxide doped with metal oxides and carbon nanotubes,'' Sensors and Actuators B: Chemical, vol. 171–172, no. 1, pp. 256–262, 2012.         [ Links ] 155

[11] M. B. Rahmani, S. H. Keshmiri, J. Yu, A. Z. Sadek, L. Al-Mashat, A. Moafi, K. Latham, Y. X. Li, W. Wlodarski, and K. Kalantar-Zadeh, ''Gas sensing properties of thermally evaporated lamellar MoO3,'' Sensors and Actuators B: Chemical, vol. 145, no. 1, pp. 13–19, 2010.         [ Links ] 155

[12] J. Zeng, M. Hu, W. Wang, H. Chen, and Y. Qin, ''NO2-sensing properties of porous WO3 gas sensor based on anodized sputtered tungsten thin film,'' Sensors and Actuators B: Chemical, vol. 161, no. 1, pp. 447–452, 2010.         [ Links ] 155

[13] P. Gao, H. Ji, Y. Zhou, and X. Li, ''Selective acetone gas sensors using porous WO3-Cr2O3 thin films prepared by sol-gel method,'' Thin Solid Films, vol. 520, no. 7, pp. 3100–3106, 2012.         [ Links ] 155

[14] T. Samerjai, N. Tamaekong, C. Liewhiran, A. Wisitsoraat, A. Tuantranont, and S. Phanichphant, ''Selectivity towards H2 gas by flame-made Pt-loaded WO3 sensing films,'' Sensors and Actuators B: Chemical, vol. 157, no. 1, pp. 290–297, 2011.         [ Links ] 155

[15] Y. C. Chen, T. C. Chang, H. W. Li, W. F. Chung, S. C. Chen, C. P. Wu, Y. H. Chen, Y. H. Tai, T. Y. Tseng, and F. S. Yeh(Huang), ''Characterization of environment-dependent hysteresis in indium gallium zinc oxide thin film transistors. Surface and Coatings Technology,'' Surface and Coatings Technology, vol. 231, pp. 531–534, 2012.         [ Links ] 155

[16] V. K. Gueorguiev, P. V. Aleksandrova, T. E. Ivanov, and J. B. Koprinarova, ''Hysteresis in metal insulator semiconductor structures with high temperature annealed ZrO2/SiOx layers,'' Thin Solid Films, vol. 517, no. 5, pp. 1815–1820, 2009.         [ Links ] 155

[17] E. Lee, J. M. Lee, J. H. Koo, W. Lee, and T. Lee, ''Hysteresis behavior of electrical resistance in Pd thin films during the process of absorption and desorption of hydrogen gas,'' International Journal of Hydrogen Energy, vol. 35, no. 13, pp. 6984–6991, 2010.         [ Links ] 155

[18] A. Varpula, J. Sinkkonen, and S. Novikov, ''Modelling of dc characteristics for granular semiconductors,'' Physica Scripta, vol. T141, no. 014003, pp. 1–4, 2010.         [ Links ] 155, 157

[19] A. Varpula, J. Sinkkonen, and S. Novikov, ''Small-signal analysis of granular semiconductors,'' Physica Scripta, vol. T141, no. 014002, pp. 1–4, 2010.         [ Links ] 155, 157

[20] A. Pardo and J. Torres, ''Substrate and annealing temperature effects on the crystallographic and optical properties of MoO3 thin films prepared by laser assisted evaporation,'' Thin Solid Films, vol. 520, no. 6, pp. 1709–1717, 2012.         [ Links ] 156

[21] H. M. Martínez, J. Torres, L. D. López-Carreño, and M. E. Rodríguez-García, ''The Effect of substrate Temperature on the Optical Properties of MoO3 Nano-crystals prepared using spray pyrolysis,'' Journal of Superconductivity and Novel Magnetism, vol. 26, no. 7, pp. 2485–2488, 2012.         [ Links ] 156, 164

[22] Y. A. Pastrana, J. Torres, L. D. López-Carreño, and H. M. Martínez, ''The influence of oxygen on the structural and optical properties of MoO3 thin films prepared using the laser-assisted evaporation technique,'' Journal of Superconductivity and Novel Magnetism, vol. 26, no. 7, pp. 2475–2478, 2013.         [ Links ] 156

[23] H. M. Martínez, J. Torres, M. E. Rodríguez-García, and L. D. López-Carreño, ''Gas sensing properties of nanostructured MoO3 thin films prepared by spray pyrolysis,'' Physica B, vol. 407, no. 16, pp. 3199–3202, 2012.         [ Links ] 156, 164

[24] H. M. Martínez, J. Torres, A. Pardo, L. C. Moreno, J. E. Alfonso, and L. D. López-Carreño, ''Películas delgadas de α-MoO3 preparadas por atomización pirolítica,'' Ingeniería y Ciencia, vol. 7, no. 14, pp. 105–117, 2011.         [ Links ] 156

[25] J. M. Marshall, ''Carrier diffusion in amorphous semiconductors,'' Reports on Progress in Physics, vol. 46, no. 10, pp. 1235–1282, 1983.         [ Links ] 157

[26] N. Barsan and U. Weimar, ''Conduction model of metal oxide gas sensor,'' Journal of Electroceramics, vol. 7, no. 3, pp. 143–147, 2001.         [ Links ] 157

[27] N. Yamazoe, K. Shimanoe, and Y. Sawada, ''Contribution of electron tunneling transport in semiconductor gas sensor,'' Thin Solid Films, vol. 515, no. 23, pp. 8302–8309, 2007.         [ Links ] 157

[28] H. Nemoto and I. Oda, ''Direct Examinations of PTC Action of Single Grain Boundaries in Semiconducting BaTiO3 Ceramic,'' Journal of the American Ceramic Society, vol. 63, no. 7–8, pp. 398–401, 1980.         [ Links ] 157

[29] L. L. Kazmerski, Ed., Polycrystalline and Amorphous Thin and Films and Devices. New York: Academic Press, 1980.         [ Links ] 159

[30] E. H. Rhoderick and R. H. Williams, Eds., Metal-Semiconductor Contacts. Oxford: Clarendon Press, 1988.         [ Links ] 159

[31] W. A. Harrison, ''Tunneling from an Independent-Particle Point of View,'' Physical Review, vol. 123, no. 1, pp. 85–89, 1961.         [ Links ] 160

[32] F. A. Padovani and R. Stratton, ''Field and Thermionic-Field.Emission in Schottky Barriers,'' Solid-State Electronics, vol. 9, no. 7, pp. 695–707, 1966.         [ Links ] 160

[33] C. R. Crowell and V. L. Rideout, ''Normalized thermionic-field (T-F) emission in metal-semiconductor (Schottky) barriers,'' Solid-State Electronics, vol. 12, no. 2, pp. 89–105, 1969.         [ Links ] 160

[34] S. M. Sze, Ed., Physics of Semiconductor Devices. New York: Wiley- Interscience, 1969.         [ Links ] 160

[35] H. M. Martínez, J. Torres, L. D. López-Carreño, and M. E. Rodríguez-García, ''Effect of the substrate temperature on the physical properties of molydenum trioxide thin films obtained through the spray pyrolysis technique,'' Materials Characterization, vol. 75, pp. 184–193, 2013.         [ Links ] 164