SciELO - Scientific Electronic Library Online

 
vol.42 issue1Plantain socio-productive system (Musa AAB): An initiative to revalue agriculture in western AntioquiaDevelopment of an agroecological strategy with rural women based on a food consumption score author indexsubject indexarticles search
Home Pagealphabetic serial listing  

Services on Demand

Journal

Article

Indicators

Related links

  • On index processCited by Google
  • Have no similar articlesSimilars in SciELO
  • On index processSimilars in Google

Share


Revista de Ciencias Agrícolas

Print version ISSN 0120-0135On-line version ISSN 2256-2273

Rev. Cienc. Agr. vol.42 no.1 San Juan de Pasto Jan./Apr. 2025  Epub Apr 29, 2025

https://doi.org/10.22267/rcia.20254201.257 

Research article

Adaptation of green onion clones (Allium fistulosum L.) in the high tropic of Nariño, Colombia

Adaptación de clones de cebolla de rama (Allium fistulosum L.) en el trópico alto de Nariño, Colombia

Dionicio Bayardo Yepes-Chamorro1 
http://orcid.org/0000-0003-3683-240X

Máryory Maricela Cadena-Guerrero2 
http://orcid.org/0000-0002-0610-2185

1 Corporación Colombiana de Investigación Agropecuaria-AGROSAVIA, Nariño, Colombia, byepes@agrosavia.co

2 Corporación Colombiana de Investigación Agropecuaria-AGROSAVIA, Nariño, Colombia, mmcadena@agrosavia.co


ABSTRACT

Green onion plays a crucial role in the peasant economy of the department of Nariño, Colombia. Therefore, a wide range of varieties adapted to the production area is required. This research aimed to evaluate the adaptation of nine green onion clones through an Agronomic Evaluation Test in three producing environments of Nariño: Pasto, Buesaquillo, and Mueses. The experiment followed a randomized complete block design with four replications, assessing yield, pseudostem length, and pseudostem diameter. A combined analysis of variance was performed for environments, clones, and cuttings. The highest yields of pseudostem were obtained in Obonuco and Buesaquillo, with 49.15 and 48.87 t/ha/cutting, respectively, with clones 1 (65.24), 33 (53.18), 38 (52.15), and 30 (47.66) showing outstanding performance across the three environments. Among the three cuttings, the highest yield was found in cutting 3 with 51.70 t/ha. For pseudostem length, the highest averages were found in Mueses with 31.88 cm and in Buesaquillo with 31.00 cm. The outstanding clones, across the three environments, were 38, 1, 33, and 30, with averages between 28.91 and 36.59 cm. Regarding the diameter of pseudostems, the highest averages were found in Obonuco, with 17.26 mm; the clones that stood out in the environments were 1 (18.15), 28 (17.33), 17 (17.02), and 33 (16.66). Clones 38 and 33 showed the highest averages across all variables, making them strong candidates for further commercial validation to diversify green onion varieties in Nariño.

Keywords: agronomic characteristics; clones; environment; genotype; interaction; yield

RESUMEN

La cebolla de rama tiene gran importancia para la economía campesina del departamento de Nariño, Colombia, por lo tanto, se requiere contar con una amplia oferta de variedades adaptadas a la zona productora. El objetivo de esta investigación fue evaluar la adaptación de nueve clones mediante una prueba de evaluación agronómica en tres ambientes de Nariño (Obonuco, Buesaquillo y Mueses). Para los experimentos se utilizó un diseño de bloques completos al azar, con cuatro repeticiones; se evaluó el rendimiento, la longitud y el diámetro de los seudotallos. Se realizó un análisis de varianza combinado para ambientes, clones y cortes. Los rendimientos más altos de seudotallos se obtuvieron en Obonuco y Buesaquillo, con 49,15 y 48,87 t/ha/corte, respectivamente; en los tres ambientes se destacaron los clones 1 (65,24), 33 (53,18), 38 (52,15) y 30 (47,66). Para tres cortes, el rendimiento más alto se encontró en el corte 3, con 51,70 t/ha. Para la longitud de seudotallos, los promedios más altos se presentaron en Mueses con 31,88 cm y en Buesaquillo con 31,00 cm; los clones destacados, a través de los tres ambientes, fueron 38, 1, 33 y 30, con promedios entre 28,91 y 36,59 cm. Por diámetro de seudotallos, los mayores promedios se presentaron en Obonuco con 17,26 mm; los clones que sobresalieron en los ambientes fueron 1 (18.15), 28 (17.33), 17 (17.02) y 33 (16.66). Los clones 38 y 33 presentaron los mayores promedios para las variables evaluadas, constituyendo una buena opción para diversificar la oferta de variedades cultivadas en Nariño, después de realizar una validación comercial.

Palabras clave: características agronómicas; clones; ambiente; genotipo; interacción; rendimiento

INTRODUCTION

Green onion is a widely cultivated vegetable in Asia, where China, Japan, and the Republic of Korea are the leading global producers (Sánchez León et al., 2012; DANE, 2015; Galeano et al., 2018; Padula et al., 2022; Tsuji et al., 2023; Kim et al., 2023). In Latin America, Colombia is the main producer of green onion, which is locally known by various names such as “junca” onion, “tallo” onion, “hoja” onion, and “larga” onion. In this country, it stands out for its cultivated area, the value of production, and per capita consumption. Additionally, it is an essential ingredient in Colombian cuisine. It is used as a seasoning in the preparation of various dishes and has nutritional and medicinal properties that contribute to its high consumption (Sánchez León et al., 2012; DANE, 2017; Pinzón, 2004). Given the importance of this vegetable, various studies have been conducted in Colombia and other countries worldwide, where several promising green onion clones were agronomically evaluated, some with the potential to be registered as new varieties (Carrera et al., 2009; Pinzón, 2009; Segura et al., 2015; Polanco & Betancur, 2018; Imran et al., 2025); such is the case of Corpoica Aquitania-1, the first material in Colombia registered with the Colombian Agricultural Institute (Cerón et al., 2015).

In Colombia, in 2022, the area cultivated with green onion was 13,841 ha, representing 0.26% of the national agricultural area. The national production was 354,548 tons, with an average yield of 25.61 tons/hectare/cutting. Although this crop thrives in different climates or environments (altitude 1500 to 3000 meters above sea level and average temperatures of 12 to 20 °C), the main producing departments in the same year were Boyacá (24.30%), Santander (19.07%), and Nariño (17.55%). Other producing departments were Magdalena, Norte de Santander, Antioquia, and Valle del Cauca, with 28.4% of the national production (Chaparro & Peñalosa, 2012; DANE, 2017; UPRA & Agronet, 2022a; Rodríguez-Robayo et al., 2022).

In the department of Nariño, green onion is a crop of high socioeconomic importance, generating income and providing employment in the region. Around 2,158 farmers are dedicated to the cultivation of this vegetable. In 2022, an area of 2,429 ha was reported, representing 0.82% of the agricultural area of Nariño, with a production of 51,233 tons per year. In 2016, the average production cost for one hectare of green onion was approximately USD 7,909 (Noreña et al., 2016). The municipalities with the largest cultivated areas were Potosí, Pasto, and Córdoba, with 1,760, 614, and 75 ha, respectively. However, several other municipalities are involved in the production this crop (UPRA & Agronet, 2022b).

In Nariño, for more than 50 years, a single regional crop known as “Pastusa” has been cultivated and is widely accepted for its culinary characteristics. However, in recent years, its yield has been declining due to its susceptibility to limiting diseases that affect he production, such as the case of the pseudostem and root rot complex (Botrytis allii, Burkholderia cepacia, and Fusarium spp.), downy mildew (Peronospora spp.), and tip blight (Heterosporium allii) (Jacobs et al., 2008; Sánchez León et al., 2012; DANE, 2015; Elshafie & Camele, 2021; Tsuji et al., 2023), which have significantly increased production costs, requiring intense phytosanitary management for their control. Therefore, it is necessary to identify clones with good agronomic performance (high yields and quality of pseudostems) that improve the productivity and competitiveness of producers in this region. In this regard, variables such as yield, length, and pseudostem diameter are determining factors when evaluating onion germplasm because they are attributes of great interest to all stakeholders (producers, marketers, and consumers) in the green onion supply chain. This is because the pseudostem is one of the edible parts of the plant with the greatest consumption and trade in Colombia. In order to contribute to diversifying the onion varietal offer in the region, this research was conducted. The objective was to evaluate the adaptation (performance or agronomic behavior) of nine green onion clones.

MATERIAL AND METHODS

Location

This research, led by the Corporación Colombiana de Investigación Agropecuaria - AGROSAVIA, was conducted between January and December 2015. An Agronomic Evaluation Test (AET) for green onion was established in three high-altitude tropical environments of the department of Nariño, Colombia, located in the municipalities with the largest cultivated areas in recent years (UPRA & Agronet, 2022b). The geoclimatic characteristics of each environment are indicated in Table 1.

Table 1 Location and geoclimatic characteristics of the evaluation environments for green onion clones in Nariño, Colombia, 2015. 

Environment Coordinates Altitude (msnm) Average T (°C)1 Precipitation (mm) Soil
Texture pH % OM Fertility
Obonuco (Pasto) N 01°11’18,78” W 77°18’24,78” 2,923 11.3 670 Clay loam 5.86 6.87 Half
Buesaquillo (Pasto) N 01°13’38,40” W 77°14’30,3” 2,840 13.13 654 Clay loam 5.20 7.40 Low
Mueses (Potosí) N 00°47’23,10” W 77°34’7,80” 2,946 12.64 831 Sandy loam 5.70 6.50 Half

Source: Instituto de Hidrología, Meteorología y Estudios Ambientales (2015). T: Temperature, % OM: % Organic Material

Agronomic Management of the Agronomic Evaluation Test (AET)

In all the experiments, the same agronomic management was applied, considering the customary practices of the producers of green onions in the region. To prepare the soil, it was plowed, raked twice, and furrowed manually. In each experimental unit, 40 sites of each clone were planted, four pseudostems per site at 0.4 m between plants and 0.9 m between rows. Fertilization was done manually, one month after planting with organic fertilizer (3 t/ha) and after each cutting with 10-30-10 fertilizer (800 kg/ha) and agrimins (30 kg/ha) as a source of minor elements. Weekly monitoring was carried out to detect the presence of common pests such as thrips and diseases such as pseudostem rot, downy mildew, and tip blight, to manage them promptly. During the crop cycle, three harvest cuttings were made.

Evaluated Materials

In each experiment of the Agronomic Evaluation Test, nine different varietal clones of green onion were evaluated (Table 2). These clones were selected from an initial group of 62 accessions due to their outstanding agronomic behavior in terms of yield and tolerance to biotic factors (Burkholderia cepacia and Peronospora sp.) in preliminary studies conducted by AGROSAVIA between 2012 and 2014 in the Cundiboyacense plateau (Galeano et al., 2018). These clones come from the Colombian nation’s Germplasm Bank, managed by the Corporación Colombiana de Investigación Agropecuaria.

As a control, clone 1 (Table 2) was used. This clone corresponds to the “Pastusa” variety, the most widely cultivated in Colombia. It has long, thick stems of excellent quality and a longer vegetative period than other varieties (Segura et al., 2015).

Table 2 Characteristics of green onion clones (Allium fistulosum L.) evaluated in three environments in Nariño, Colombia. 2015 

Experimental design

The experiments of the Agronomic Evaluation Test were established under a randomized complete block design (RCBD) in each environment. There were nine treatments (clones) and four replications, and each experimental unit had an area of 14.4 m².

Evaluated Variables

During the evaluation period (one year), three cuttings or harvests were made per experiment. For each cutting, the methodology described by the International Plant Genetic Resources Institute (IPGRI et al., 2001) was followed to measure yield, pseudostem length, and diameter.

Pseudostem yield (t/ha). The yield of pseudostems (t/ha) was determined by harvesting the entire experimental unit (40 plants), leaving four pseudostems per site as asexual seeds for the next harvest. The production was weighed and transformed to t/ha. The first cutting or harvest was made six months after planting, and then every three months, for a total of three harvests, until completing one year.

Pseudostem length (cm). At the time of harvest, in each experimental unit, the length of the pseudostems from ten plants (25% of the experimental unit), selected randomly, was measured with a graduated ruler. This variable was measured in centimeters from the base to the beginning of the leaves, where they start turning green.

Pseudostem diameter (mm). After having removed the dry or almost dry leaves, ten plants selected randomly from each experimental unit had the diameter (mm) measured at the midpoint of the pseudostem with a digital micrometer or caliper.

Statistical analysis of the results

Initially, the Bartlett test of homogeneity of variances was conducted to test whether the variances are equal across all samples (Gutiérrez & De la Vara, 2008), and the Kolmogorov-Smirnov normality test determined that the data followed a normal distribution (p < 0.05). The information was analyzed using a multifactorial statistical model, considering factors such as genotypes or clones (9), environment (3), and cutting or harvest (3). A combined analysis of variance was performed to evaluate the main effects of each factor and their interactions.

The statistical model was as follows:

Yijk = μ+ Ai + Gj + Ck + (AGC)ijk + Eijk

Where Yijk is the average yield of genotype j in environment i; μ is the general mean; Ai is the main effect of environment i; Gj is the main effect of genotype j; Ck is the main effect of cutting k; AGCijk is the effect of the interaction between environment i x genotype j x cutting k; and Eijk is the average of the errors in the blocks that receive the treatment in the environments.

When significant statistical differences were found, multiple comparisons of means were conducted using Tukey's test (0.05) for the dependent variables: yield, length, and diameter of the pseudostem. The statistical analysis was performed using R software, Version 3.6.0 (R Core Team, 2020), and the “agricolae” package within this program.

RESULTS AND DISCUSSION

Pseudostem yield

The adaptation of nine green onion clones was evaluated in three environments within the production area of Nariño. The combined analysis of variance for pseudostem yield showed highly significant effects (p < 0.001) for environments, genotypes (clones), and cuttings (harvests) individually. However, no significant statistical effects were found for the genotype × environment × cutting and genotype × environment interactions (Table 3), which may be because the genotypes exhibited similar behavior across environments and cuttings during the research. This is important in plant breeding since it indicates that all clones possibly exhibited similar phenotypic stability or uniform and predictable behavior across environments (Allard & Bradshaw, 1964; Finlay & Wilkinson, 1963; Vallejo-Cabrera & Estrada-Salazar, 2002), which facilitates the process of selecting genotypes to release varieties.

Table 3 Combined Analysis of Variance for pseudostem yield (t ha-1) of branch onion 

Source of Variation Degrees Freedom Sum Sqares Mean Squares F value p (>F)
Block 3 8550 2850 8.94 1.23 e-05 ***
Environment 2 22657 11329 35.52 3.06e-14 ***
Genotype (clone) 8 41123 5140 16.12 < 2e-16 ***
Cutting 2 17228 8614 27.01 2.63e-11 ***
Environment × Genotype 16 3732 233 0.73 0.76
Genotype × Cutting 16 5531 346 1.08 0.37
Environment × Genotype × Cutting 32 10616 332 1.04 0.41
Residuals 240 76536 319

p: Probability; *** Highly significant (p < 0.001)

Considering that statistical differences were found individually in the environmental factors, genotypes, and cuttings, the results are provided below:

In the three environments, clones 1-Control, 33, 38, and 30 stood out with statistical differences among them and performed above the general average (42.95 t/ha/cutting). The highest average yields were observed in clones 1-Control and 33, with 65.24 and 53.18 t/ha/cutting, respectively. The latter clone did not show significant differences from clones 38 and 30, which also achieved yields above the general average of 42.95 t/ha/cutting (Table 4).

Table 4 Average pseudostem yield (t/ha/cutting) of nine green onion clones (Allium fistulosum) across three cuttings and three environments in Nariño, Colombia. 2015 

Green onion clones Environments Clone Averages
Obonuco Buesaquillo Mueses
1-Control 72.62 76.85 46.26 65.24 a
33 55.21 57.47 46.86 53.18 ab
38 65.00 58.86 32.58 52.15 b
30 57.83 49.12 36.02 47.66 bc
27 41.19 44.58 25.60 37.12 cd
17 40.23 41.72 22.57 34.84 cd
28 37.95 38.96 23.08 33.33 d
19 38.56 36.37 22.85 32.59 d
18 33.80 35.91 21.50 30.40 d
Environment averages 49.15 a 48.87 a 30.81 b 42.95

*Data from the experimental unit (40 plants)

Regarding environments, high average yields (t/ha/cutting) were found in Obonuco (49.15) and Buesaquillo (48.87), with averages significantly higher than Mueses (30.81) (Table 4).

The highest yields were found in the Obonuco environment, possibly because the soil in this locality had medium fertility, with 670 mm of precipitation, and the soil had a loamy texture, which may have favored moisture retention and nutrient absorption, similar to Buesaquillo (654 mm), where the yield was comparable. In contrast, in Mueses, where there was 831 mm of precipitation, the soil is sandy loam, with a lower capacity for moisture retention and a higher likelihood of nutrient leaching (Sadeghian et al., 2015), which may have influenced the lower yield. This indicates that water is an essential factor in increasing crop productivity, as it is crucial for harnessing the soil's productive potential and for crops to fully utilize other production factors that enhance yields (Zúniga & Mendoza, 2021). Certainly, these yield results were not only affected by the parameters mentioned in Table 1; other aspects must also be taken into account, such as the planting season, cloud cover, the depth of the arable layer, and other chemical and physical soil parameters, which were not measured in this study but differ in the three localities due to their distinct geographical locations.

For clones, the highest yields were achieved by clone 1 (the control) and clone 33; however, the latter can be considered a good option for commercial validation because it also showed good pseudostem thickness. Similarly, clones 38 and 30 did not surpass clones 1 and 33, but they exceeded the general average and have desirable characteristics such as pseudostem length and diameter, attributes that directly influence marketability. Similar evaluations were conducted by Corpoica (now Agrosavia) in the department of Boyacá, where clones 38, 33, 30, and 28 were selected as candidates for registration with ICA due to their good agronomic performance (Segura et al., 2015; Rodríguez et al., 2021).

In 2015, clone 30, evaluated in different locations of the Cundiboyacense plateau, was released as the Corpoica Aquitania - 1 variety, with average yields of 30.05 t/ha/cutting (Cerón et al., 2015). Although this clone did not achieve the highest yield in the trials in Nariño, it was in the group with high yields (47.66 t/ha/cutting). Therefore, it may be considered to request from the Instituto Colombiano Agropecuario (ICA) the extension of registration as an onion variety for the production area of Nariño after carrying out a commercial validation.

Considering the three cuttings made during the year, significant statistical differences were observed among the three cuttings, with the highest yield in the third cutting (51.70 t/ha), followed by the second cutting (43.30 t/ha), and the first cutting (33.85 t/ha). These results greatly exceed the average of 13 t/ha calculated for green onion in Colombia (Galeano et al., 2018). In this study, it was noted that yields progressively increased across the three locations, with the highest average yield in the third cutting, as the crop had achieved a better establishment by that point (better root development and more tillering), which is a factor that influences crop yield (National Administrative Department of Statistics, 2015). Additionally, the planting system used in this research (planting and production up to the third cutting) suggests that, at least until the third cutting, good yields can be obtained that are technically and economically justified. This aligns with what was mentioned by Pinzón (2004) and Galindo et al. (2024), who state that the quality of the harvest decreases as the number of cuts increases and suggest renewing the crop every third cut to maintain the competitiveness and economic sustainability of the production system.

Pseudostem length

The analysis of variance for pseudostem length across the three environments indicated highly significant effects (p < 0.001) for the factors of environment, genotype, cutting (harvest), and the interaction of environment × genotype × cutting. Additionally, significant effects (p < 0.05) were observed for the interaction of environment × genotype (Table 5).

Table 5 Combined Analysis of Variance for pseudostem length (cm) of branch onion 

Source of Variation Degrees Freedom Sum Squares Mean Squares F value p (>F)
Block 3 11.3 3.75 1.25 0.29
Environment 2 118.1 59.06 19.68 1.22e-08 ***
Genotype (clone) 8 1871.2 233.90 77.93 < 2e-16 ***
Cutting 2 262.3 131.14 43.69 < 2e-16 ***
Environment × Genotype 16 93.8 5.86 1.95 0.02 *
Genotype × Cutting 16 92.5 5.78 1.93 0.02 *
Environment × Genotype × Cutting 32 274.5 8.58 2.86 2.74e-06 ***
Residuals 240 720.4 3.00

p: Probability; * Significant ( p < 0.05); *** Highly significant ( p < 0.001)

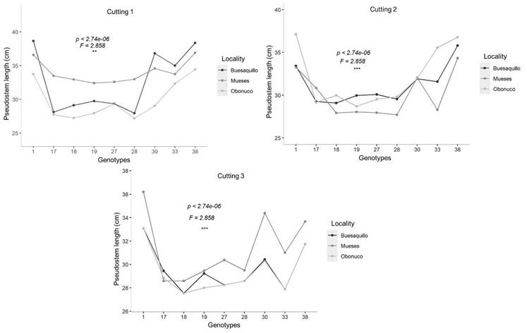
In the environment × genotype × cutting interaction (Figure 1), for the pseudostem length variable, the environment with the highest average was Mueses (34.03 cm), while Buesaquillo (32.58 cm) and Obonuco (29.90 cm) had lower values. In the first cutting (Figure 1), for the Buesaquillo environment, the clones with the greatest pseudostem length (cm) were 1 (Regional Control), 38, 30, and 33, with averages ranging from 38.66 to 35.00 cm. These same clones also performed well in Mueses, with pseudostem lengths between 36.92 and 34.58 cm, and in Obonuco, clones 38, 1, and 33 stood out with values between 34.46 and 32.33 cm.

Figure 1 Interaction of environment × genotype × cutting for the pseudostem length variable (cm) of nine clones of green onion (Allium fistulosum) in three environments of Nariño, Colombia, 2015.  

In cutting 2 (Figure 1), there were no significant differences between environments; however, the environment with the highest average pseudostem length (cm) was Obonuco (32.06), followed by Buesaquillo (31.18) and Mueses (30.12). In Obonuco, the clones with the best length were 1, 38, and 33, with averages between 37.12 and 35.57 cm. These same clones also stood out in Buesaquillo with averages between 35.79 and 31.58, and in Mueses clones 38, 1, and 30 with averages between 34.33 and 32.04 cm.

In cutting 3 (Figure 1), the environment with the highest average pseudostem length (cm) was Mueses (31.48), while Buesaquillo (29.24) and Obonuco (29.17) reached lower averages. In the three environments, clones 1, 38, and 30 stood out for the greatest pseudostem length, where they reached averages between 36.20 and 34.38 cm in Mueses, 33.08 and 30.42 cm in Buesaquillo, and between 33.08 and 30.29 cm in Obonuco.

Considering the pseudostem length variable, it was observed that in all environments and cuttings, clones 1, 38, 33, and 30 stood out. In terms of pseudostem diameter, clones 33 and 1 stood out in most locations and cuttings. This study found higher averages for pseudostem length compared to those reported in the Cundiboyacense plateau; for example, clone 30 (Corpoica Aquitania -1) had a value of 26.53 cm there, while in Nariño, it was 32.38 cm.

Pseudostem diameter (mm)

In the analysis of variance for pseudostem diameter, very highly significant effects (p < 0.001) of the factors environment, genotype, cutting (harvest), and the interaction environment × genotype and highly significant effects (p < 0.01) of the interaction environment × genotype × cutting were presented (Table 6).

Table 6 Combined Analysis of Variance for pseudostem diameter (mm) of the branch onion 

Source of Variation Degrees Freedom Sum Squares Mean Squares F value Pr (>F)
Block 3 9.2 3.07 1.06 0.36
Environment 2 48.6 24.29 8.43 0.00029 ***
Genotype (clone) 8 190.3 23.79 8.25 7.15e-10 ***
Cutting 2 243.0 121.48 42.15 < 2e-16 ***
Environment × Genotype 16 150.2 9.39 3.26 3.94e-05 ***
Genotype × Cutting 16 71.1 4.44 1.54 0.08597
Environment × Genotype × Cutting 32 162.4 5.08 1.76 0.00952 **
Residuals 240 691.6 2.88

p: Probability; ** Highly significant (p < 0.01); *** Highly significant (p < 0.001)

For pseudostem diameter (mm), in the interaction environment × genotype × cutting (Figure 2), and according to the test of comparison of means, the most favorable environment was Obonuco (16.15), surpassing Mueses (15.64) and Buesaquillo (14.92). In cutting 1 (Figure 2), in Obonuco, the clones with the highest average pseudostem diameter were 1, 17, 28, 27, and 38, with averages that ranged between 17.61 and 16.68 mm; in Mueses, clones 33 stood out with 16.94 mm and 27 with 16.63 mm; in Buesaquillo, clones 33 with 16.34 mm and 1 with 15.91 mm.

Figure 2 Interaction of environment × genotype × cutting for the pseudostem diameter variable (mm) of nine clones of green onion (Allium fistulosum) in three environments of Nariño, Colombia, 2015 

In cutting 2 (Figure 2), no significant differences were found between environments. The averages ranged from 17.09 to 17.30 mm. In this cutting, the clones that stood out for their larger diameter in Obonuco were 1, 17, 28, and 27, with averages ranging from 19.37 to 18.40 mm. In Mueses, clone 1 with 20.18 mm and clone 33 with 19.58 mm were prominent; these two clones also had similar performances in Buesaquillo, with averages of 19.37 and 18.15 mm.

In cutting 3 (Figure 2), the environments with the largest pseudostem diameters (mm) were Obonuco (18.33 mm) and Buesaquillo (18.31 mm), surpassing Mueses (16.03 mm). In both Obonuco and Buesaquillo, the clones that stood out with the highest averages were 27, 28, and 18, with averages ranging from 19.82 to 19.58 mm and 20.24 to 19.57 mm, respectively. In Mueses, the prominent clones were 33 with 19.40 mm and 1 with 19.16 mm.

This study found average pseudostem lengths superior to those reported in the Cundiboyacense plateau. For instance, clone 30 (Corpoica Aquitania -1) presented a value of 26.53 cm, while in Nariño, it reached 32.38 cm.

Comparing the results of this research with the information reported for a study in the Cundiboyacense plateau, a general average of 15.74 mm was found, which is lower than the average values of 17.9 mm presented in the Cundiboyacense plateau when the same clones were evaluated (Cerón et al., 2015).

Both pseudostem length and diameter are highly important variables because they enhance the commercial value of the product in the market. Therefore, they are agronomically significant quantitative traits that are useful in the description of onion germplasm (IPGRI et al., 2001; Jaramillo & Baena, 2000; Polanco & Betancur, 2018). Considering this, it is likely that these clones constitute a good genetic resource to advance the development of new varieties.

CONCLUSIONS

According to the variables evaluated, the best adaptation of the clones was observed in Obonuco and Buesaquillo. Clones 38 and 33 presented good agronomic performance; they obtained yields statistically similar to the control clone (clone 1), which makes them a good option to diversify the supply of cultivated varieties in the production area of Nariño following the respective process for national registration of cultivars, according to the regulations of the Instituto Colombiano Agropecuario (ICA).

The agronomic evaluation of clones 38 and 33 was crucial in determining their adaptation to the evaluated environments. However, it is necessary to expand this study to other locations and assess quality parameters such as pyruvic acid content (pungency), reducing and total sugars, and total protein, in addition to including commercial validation.

The yield, length, and pseudostem diameter variables are very important when evaluating the adaptation of green onion planting material, as they are attributes of great interest to producers, marketers, and consumers.

Considering the importance of green onion cultivation in Colombia, it is essential to continue studies that evaluate and identify genotypes or clones with desirable traits for all stakeholders in the production system (producers, marketers, and consumers). This will contribute to the development of varieties with agronomic and quality characteristics that enable an expanded offering in the region.

ACKNOWLEDGMENTS

The authors express their gratitude to the technical and administrative team of the Corporación Colombiana de Investigación Agropecuaria (AGROSAVIA) for their support and collaboration in the development of the project “A green onion variety (Allium fistulosum L.) for the departments of Boyacá, Antioquia, and Nariño with high production levels and technological management recommendations,” financed by the Ministerio de Agricultura y Desarrollo Rural (MADR) de Colombia. They also would like to express their gratitude to all those who contributed in any capacity to the development of this publication.

BIBLIOGRAPHIC REFERENCES

Allard, R. W.; Bradshaw, A. D. (1964). Implications of genotype environment interactions in applied plant breeding. Crop Science. 4(5): 503-508. https://doi.org/10.2135/cropsci1964.0011183X000400050021xLinks ]

Carrera, A.; Gil, R.; Fariñas, J. (2009). Evaluación agronómica de siete clones de cebollín (Allium fistulosum L.) durante tres ciclos de cultivo, en el municipio Caripe, estado Monagas, Venezuela. Revista Científica UDO Agrícola. 9(3): 491-498. https://dialnet.unirioja.es/servlet/articulo?codigo=3358113Links ]

Cerón, M.; Galeano, C.; Molina, J.; Baquero, E.; Uribe, A. (2015). Corpoica Aquitania - 1: Nuevo genotipo de cebolla para la región del lago de Tota. https://repository.agrosavia.co/bitstream/handle/20.500.12324/11562/109688_67425.pdf?sequence=1&isAllowed=yLinks ]

Chaparro, D.; Peñalosa, M. (2012). Un camino al desarrollo territorial: la especialización en la producción de cebolla de rama “Allium Fistulosum” en el municipio de Aquitania - Boyacá. Cuadernos Latinoamericanos de Administración. 8(14): 69-81. https://doi.org/10.18270/cuaderlam.v8i14.1232Links ]

Departamento Administrativo Nacional de Estadística (DANE). (2017). El cultivo de la cebolla de rama (Allium fistulosum L.) y un estudio de caso de los costos de producción. https://www.dane.gov.co/files/investigaciones/agropecuario/sipsa/Bol_Insumos_may_2017.pdfLinks ]

Departamento Administrativo Nacional de Estadística (DANE). (2015). La cebolla de rama o cebolla junca (Allium fistulosum), una hortaliza de gran importancia en la alimentación humana. https://www.dane.gov.co/files/investigaciones/agropecuario/sipsa/Bol_Insumos_may_2015.pdfLinks ]

Elshafie, H.; Camele, I. (2021). An overview of metabolic activity, beneficial and pathogenic aspects of Burkholderia spp. Metabolites. 11(5): 321. https://doi.org/10.3390/metabo11050321Links ]

Finlay, K. W.; Wilkinson, A. A. (1963). The analysis of adaptation in a plant breeding program. Australian Journal of Agricultural Research. 14: 742-754. https://doi.org/10.1071/AR9630742Links ]

Galeano, C.; Baquero, E.; Molina, J.; Cerón, M. (2018). Agronomic evaluation of bunching onion in the Colombian Cundiboyacense High Plateau. International Journal of Agronomy. 2018(1): 1-8. https://doi.org/10.1155/2018/4940589Links ]

Galindo, J.; Pérez, M.; Hío, J.; Martínez, E.; Vargas, R.; Huertas, B.; Polo, S. (2024). Cebolla de rama (Allium fistulosum L.): Manual de recomendaciones para su cultivo en el departamento de Cundinamarca.. https://repositorio.unal.edu.co/handle/unal/87654Links ]

Gutiérrez, H.; De la Vara, R. (2008). Análisis y diseño de experimentos. 3 ed. México: Mc Graw Hill. 491p. https://drive.google.com/file/d/1fO0eVxSxiZNzx-9w1OR4jCPWyurYsVCW/viewLinks ]

Imran, M.; Kang, H.; Lee, S.-G.; Kim, E.-H.; Park, H.-M.; Oh, S.-W. (2025). Current trends and future prospects in onion production, supply, and demand in South Korea: A comprehensive review. Sustainability. 17(3): 837. https://doi.org/10.3390/su17030837Links ]

Instituto de Hidrología, Meteorología y Estudios Ambientales. (2015). Valores mensuales de temperatura y precipitación de Nariño, 1956 - 2017. http://www.ideam.gov.co/web/tiempo-y-clima/climatologico-mensual/-/document_library_display/xYvlPc4uxk1Y/view/71473013Links ]

IPGRI; ECP/GR; AVRDC. (2001). Descriptors for Allium (Allium spp.). https://grin-global.warwick.ac.uk/gringlobal/uploads/images/method_attach/Allium/Descriptors%20for%20Allium%20(Allium%20spp.).pdfLinks ]

Jacobs, J.; Fasi, A.; Ramette, A.; Smith, J.; Hammerschmidt, R.; Sundin, G. (2008). Identification and onion pathogenicity of Burkholderia cepacia complex isolates from the onion rhizosphere and onion field soil. Applied Environmental Microbiology. 74(10): 3121-3129. https://doi.org/10.1128/AEM.01941-07Links ]

Jaramillo, S.; Baena, M. (2000). Material de apoyo a la capacitación en conservación ex situ de recursos fitogenéticos. Bioversity International, & Centro Internacional de Agricultura Tropical. https://cgspace.cgiar.org/server/api/core/bitstreams/7f5737a0-d8aa-495d-a9bc-0fdb3c8a32af/contentLinks ]

Kim, S.-H.; Yoon, J.B.; Han, J.; Seo, Y.A.; Kang, B.-H.; Lee, J.; Ochar, K. (2023). Green onion (Allium fistulosum): an aromatic vegetable crop esteemed for food, nutritional and therapeutic significance. Foods. 12(24): 4503. https://doi.org/10.3390/foods12244503Links ]

Noreña, J. J.; Aguilar, P. A.; Cano, L. E.; Tamayo, P. J.; Franco, G.; Benjumea, F. (2016). Modelo tecnológico para el cultivo de cebolla de rama en el departamento de Antioquia Allium fistulosum. https://www.researchgate.net/publication/322783417_Modelo_tecnologico_para_el_cultivo_de_cebolla_de_rama_en_el_departamento_de_Antioquia_Allium_stulosumLinks ]

Padula, G.; Xia, X.; Holubowicz, R. (2022). Welsh onion (Allium fistulosum L.) seed physiology, breeding, production and trade. Plants. 11(3): 342. https://doi.org/10.3390/plants11030343Links ]

Pinzón, H. (2004). La cebolla de rama (Allium fistulosum) y su cultivo. Corporación Colombiana de Investigación Agropecuaria. http://hdl.handle.net/20.500.12324/2121Links ]

Pinzón, H. (2009). Los cultivos de cebolla y ajo en Colombia: estado del arte y perspectivas. Revista Colombiana de Ciencias Hortícolas. 3(1): 45-55. https://doi.org/10.17584/rcch.2009v3i1.1198Links ]

Polanco, M.; Betancur, J. (2018). Caracterización morfoagronómica de seis clones de cebolla rama (Allium fistulosom L.) cultivados en el municipio de Pereira. Revista de Investigación Agraria y Ambiental. 9(2): 149-163. https://dialnet.unirioja.es/servlet/articulo?codigo=6535140Links ]

R Core Team. (2020). R: A language and environment for statistical computing. https://www.R-project.org/Links ]

Rodríguez, K.; Martínez Camelo, F.; Herrera, C. (2021). Hacia la reconversión productiva del cultivo de cebolla de rama en la cuenca del lago de Tota (Boyacá, Colombia). Corporación Colombiana de Investigación Agropecuaria. https://doi.org/10.21930/agrosavia.nbook.7404623Links ]

Rodríguez-Robayo, K.; Pulido-Blanco, V.; Rojas, D.; Martínez, F. (2022). Buenas prácticas agrícolas y sostenibilidad del cultivo de cebolla de rama (Allium fistulosum L.) en la cuenca del lago de Tota (Boyacá, Colombia). Agroalimentaria. 28(54): 139-169. http://dx.doi.org/10.22004/ag.econ.324652Links ]

Sadeghian, S.; González, H.; Arias, E. (2015). Lixiviación de nutrientes en suelos de la zona cafetera: prácticas que ayudan a reducirla. https://biblioteca.cenicafe.org/bitstream/10778/1110/1/BT403.pdfLinks ]

Sánchez León, G. D.; Pinzón Ramirez, H.; Clímaco Hío, J.; Herrera Heredia, C. A.; Martínez Lemus, E. P.; Quevedo Garzón, D. H.; Murcia Contreras, G. A.; Pedraza Rute, R. A.; Martínez Nieto, P.; Ortiz Piñeros, L. S.; Montaña, C. E.; Valderrama Navas, Y.; Pinzón Perdomo, L. M.; Rodríguez Valenzuela, J. (2012). Manual de cebolla de rama.. http://hdl.handle.net/20.500.12324/13255Links ]

Segura, M.; Lesmes, J. C.; Galindo, J. R.; Sánchez, G. D. (2015). Modelo tecnológico para el cultivo de cebolla de rama (Allium fistulosum L.) en el departamento de Boyacá.. https://repository.agrosavia.co/bitstream/handle/20.500.12324/13763/75618_65821.pdf?sequence=1&isAllowed=yLinks ]

Tsuji, M.; Saito, T.; Honjou, M. (2023). The first report of a rot on Welsh onion (Allium fistulosum L.) caused by Burkholderia cepacia complex bacteria in Akita Prefecture, Japan. Journal of General Plant Pathology. 89: 238-243. https://doi.org/10.1007/s10327-023-01128-2Links ]

UPRA; Agronet. (2022a). Área, producción y rendimiento nacional por cultivo. https://www.agronet.gov.co/estadistica/Paginas/home.aspx?cod=1Links ]

UPRA; Agronet. (2022b). Comparativo de área, producción, rendimiento y participación municipal en el departamento por cultivo. https://www.agronet.gov.co/estadistica/Paginas/home.aspx?cod=4Links ]

Vallejo-Cabrera, F. A.; Estrada-Salazar, E. I. (2002). Mejoramiento genético de plantas. Universidad Nacional de Colombia. https://repositorio.unal.edu.co/handle/unal/83121Links ]

Zúniga, D.; Mendoza, R. (2021). Gestión y manejo del agua en la agricultura. https://repositorio.iica.int/bitstream/handle/11324/19866/CDHN22038298e.pdf?sequence=1&isAllowed=yLinks ]

Cite: Yepes-Chamorro, D.B.; Cadena-Guerrero, M.M. (2025). Adaptation of green onion clones (Allium fistulosum L.) in the high tropic of Nariño, Colombia. Revista de Ciencias Agrícolas. 42(1): e1257. https://doi.org/10.22267/rcia.20254201.257

Conflict of interest: The authors declare that there is no conflict of interest.

Received: September 06, 2024; Accepted: April 10, 2025

Creative Commons License This is an open-access article distributed under the terms of the Creative Commons Attribution License