Services on Demand
Journal
Article
Indicators
-
Cited by SciELO -
Access statistics
Related links
-
Cited by Google -
Similars in
SciELO -
Similars in Google
Share
Revista Colombiana de Reumatología
Print version ISSN 0121-8123
Rev.Colomb.Reumatol. vol.26 no.1 Bogotá Jan./Mar. 2019
Investigación Original
Alfa fodrina y diagnóstico de síndrome de Sjógren primario, experiencia de un centro de reumatología de Bogotá, Colombia
a Fundación Instituto de Reumatología Fernando Chalem, Bogotá D.C., Colombia
b Programa de Epidemiología, Facultad de Medicina, Universidad del Rosario, Bogotá, D.C., Colombia
c Laboratorio clínico, Fundación Instituto de Reumatología Fernando Chalem, Bogotá D.C., Colombia
Antecedentes y objetivos:
El síndrome de Sjögren primario es una patología autoinmune en la que se presenta disfunción causada por infiltrados linfocíticos y componentes neuroendocrinos en las glándulas salivales y exocrinas. En esta patología los criterios diagnósticos tienen elementos subjetivos y no específicos, por lo que en los últimos arios se ha considerado la realización de anticuerpos anti alfa fodrina IgA e IgG como una opción diagnóstica. El objetivo principal es evaluar el rendimiento diagnóstico de la prueba anti alfa fodrina en pacientes diagnosticados con síndrome de Sjögren primario.
Materiales y métodos:
Se buscaron pacientes con diagnóstico de síndrome de Sjögren primario de acuerdo con los criterios del consenso americano-europeo o el consenso del Colegio Americano de Reumatología, los cuales se clasificaron como enfermos, estos se compararon con pacientes sanos, los cuales eran pacientes con otras enfermedades no autoinmunes.
Resultados:
Se encontró que el anticuerpo de tipo IgA tuvo una sensibilidad de 0,18 y especificidad de 0,92. El de tipo IgG una sensibilidad de 0,05 y especificidad de 0,96. La curva ROC para el test IgG fue la más cercana al punto de mayor sensibilidad y especificidad teóricas.
Discusión:
Se encontró una menor sensibilidad de la prueba que la reportada en otros estudios, la cual puede ser explicada por factores como: criterios diagnósticos empleados, diferentes técnicas de inmunoensayo, inmunoglobulina evaluada, uso de medicamentos, tiempo de diagnóstico y diferentes poblaciones estudiadas.
Conclusión:
Se considera que los resultados en cuanto a especificidad de la prueba en la población del presente estudio le otorgan validez como prueba diagnóstica para síndrome de Sjögren primario, sin embargo, los anticuerpos anti alfa fodrina presentan baja sensibilidad en nuestra población por lo que se necesitan más estudios para definir su papel en esta enfermedad.
Palabras clave: Alfa fodrina; Síndrome de Sjögren; Anticuerpos; Sensibilidad; Especificidad
Background and objectives:
Primary Sjögren's syndrome is an autoimmune disease where the salivary and exocrine glands do not function correctly. This is caused by lymphocytic infiltrates and neuroendocrine components. The diagnostic criteria in this syndrome have subjective and non-specific elements, but in the last few years the performing of IgA and IgG anti-alpha-fodrin antibodies has been considered as a diagnostic option. The main objective of this article is to evaluate the diagnostic performance of the anti-alpha-fodrin test in patients diagnosed with primary Sjögren's syndrome.
Materials and methods:
The study included patients with a diagnosis of primary Sjögren's syndrome according to the criteria of the American-European consensus or the consensus of the American College of Rheumatology. These were compared with healthy patients with other non-autoimmune diseases.
Results:
The IgA type antibody was found to have a sensitivity of 0.18 and specificity of 0.92. The IgG type had a sensitivity of 0.05 and specificity of 0.96. The ROC curve for the IgG test was the closest to the point of greatest theoretical sensitivity and specificity.
Discussion:
The sensitivity of the test was found to be lower than that reported in other studies. This could be explained by factors such as: diagnostic criteria used, different immunoassay techniques, immunoglobulin evaluated, use of drugs, time of diagnosis, and different populations studied.
Conclusion:
It is considered that the results regarding the specificity of the test in the population of the present study give it validity as a diagnostic test for primary Sjögren's syndrome, however, anti-alpha-fodrin antibodies have shown low sensitivity in our population, and it is considered that more studies are needed to define the role of these antibodies in this disease.
Keywords: Alpha-fodrin; Sjögren syndrome; Antibodies; Sensitivity; Specificity
Introducción
El síndrome de Sjögren primario es una patología autoinmune en la que se presenta disfunción causada por infiltrados linfocíticos y componentes neuroendocrinos en las glándulas salivales y exocrinas. Los pacientes afectados presentan querotoconjuntivitis sicca, Xeroderma y xerostomía, sin embargo, puede tener manifestaciones extraglandulares con compromiso esquelético, pulmonar, neurológico y renal, entre otros1-3.
Los criterios del consenso americano-europeo han basado la clasificación del síndrome de Sjögren en escalas de síntomas oculares y orales, las cuales son subjetivas y no permiten evaluar la eficacia del tratamiento ni determinar el pronóstico. El test de Schirmer no se correlaciona con la gravedad de la enfermedad, aunque su especificidad es alta para esta entidad; la biopsia de glándula salival menor resulta invasiva y no aporta una adecuada interrelación interobservador. La sialografía resulta un procedimiento obsoleto, además de ser una técnica que no permite diferenciar entre las diferentes causas de inflamación glandular. En lo que respecta a los criterios del Colegio Americano de Reumatología se ha establecido como principal punto de crítica el hecho que a pesar de ser solo 3 criterios objetivos, pueden aportar menor practicidad a la hora de ser aplicados por profesionales diferentes al reumatólogo, oftalmólogo o especialista en salud oral, además de incrementar la necesidad de referir al paciente al oftalmólogo para la realización del test para queratoconjuntivitis, llevando a retraso e inexactitud en la evaluación del paciente4.
Alfa fodrina
La alfa fodrina fue descubierta en 1997 por el científico Japonés Haneji et al.5, quienes encontraron un fragmento de 120 KDa en glándulas salivales con infiltración linfocítica de ratones con síndrome de Sjögren. Es una proteína intracelular del citoesqueleto de 240 kDa perteneciente a la familia de la espectrina, su función está relacionada con la organización de organelas celulares, el intercambio iónico transmembrana (canales y bombas) y la secreción de sustancias6-8. La proteína es clivada durante el proceso de la enfermedad y algunos estudios han encontrado que el uso del fragmento de 120 KDa es capaz de generar una respuesta inmune secundaria in vitro e in vivo en ratones sanos de laboratorio9.
Diferentes estudios han validado la sensibilidad y especificidad de los anticuerpos anti alfa fodrina como un marcador de diagnóstico para el síndrome de Sjögren, sin embargo, hay variaciones significativas entre los estudios, ya que se utilizan distintos criterios diagnósticos y las poblaciones de estudio tienden a ser pequeñas (esto principalmente por la epidemiología de la enfermedad). Se ha estimado que la prevalencia de los anticuerpos es de 64 a 72%, pero puede llegar hasta el 95% en poblaciones con síndrome de Sjögren primario5,6,10.
Se propone que el uso del anticuerpo anti alfa fodrina puede ser una opción serológica no invasiva para el diagnóstico del síndrome de Sjögren primario, que además, otorga la posibilidad de aportar hallazgos serológicos en los pacientes que no presentan resultados positivos para el anticuerpo anti-Ro. Teniendo en cuenta que la sensibilidad y especificidad no se ha estudiado en la población colombiana, este estudio determinó el rendimiento diagnóstico de la prueba en nuestra población.
Materiales y métodos
El estudio se realizó en la población colombiana de pacientes diagnosticados con síndrome de Sjögren primario, quienes asistieron a consulta de reumatología a la Fundación Instituto de Reumatología Fernando Chalem en la ciudad de Bogotá, Colombia. Se revisó la base de datos de la Fundación de manera retrospectiva hasta el 31 de diciembre de 2017. Se buscaron pacientes con diagnóstico de síndrome de Sjögren primario de acuerdo con los criterios del consenso americano-europeo o el consenso del Colegio Americano de Reumatología, los cuales se clasificaron como enfermos; como pacientes control se clasificó a pacientes con otras enfermedades no autoinmunes que presentaron síntomas orales o visuales dentro de la cohorte de artrosis y fibromialgia.
Los pacientes seleccionados fueron contactados y consintieron voluntariamente para participar en el estudio.
Se tomaron muestras de sangre para determinar la presencia de los anticuerpos utilizados de rutina en el diagnóstico de la enfermedad (anti-Ro, anti-La, y factor reumatoide), estas fueron procesadas por inmunofluorescencia indirecta en equipo automatizado HELIOSO. Para los anticuerpos anti alfa fodrina se utilizó el kit ELISA de la casa comercial Aesku.Diagnostics, las muestras fueron procesadas en el sistema automatizado SQ2. Todos los resultados se confirmaron con una segunda prueba específica.
Para el procesamiento de los datos se utilizó el software SPSS statistics versión 22. En este software se realizó el análisis bivariado de los datos y la curva ROC.
Se evaluó el rendimiento diagnóstico de los anticuerpos anti alfa fodrina (IgG e IgA) para el síndrome de Sjögren primario, comparándolo con el estándar de referencia para el diagnóstico de la enfermedad en cuanto a sensibilidad, especificidad, valor predictivo positivo, valor predictivo negativo, cociente de probabilidad positivo y cociente de probabilidad negativo. Se realizó una caracterización de la población en cuanto a algunas variables demográficas (edad, sexo, raza), tiempo de diagnóstico, presencia de biopsia, presencia de anticuerpos y manejo actual de la enfermedad. Se determinó la prevalencia de anticuerpos anti alfa fodrina de tipo IgA e IgG en la población estudiada y, finalmente, se comparó la prevalencia de la prueba anticuerpos anti alfa fodrina IgA e IgG con los resultados cualitativos de los distintos anticuerpos que se utilizan rutinariamente en el diagnóstico de síndrome de Sjögren primario (anti-SSA [Ro], anti-SSB [La], factor reumatoide y ENA) con el fin de mostrar la relación de estos anticuerpos en nuestra población, este mismo proceso se realizó entre los anticuerpos anti alfa fodrina IgA e IgG con los resultados de la biopsia de glándula salival.
Resultados
En total se reclutaron 102 pacientes, 51 enfermos y 51 controles, los cuales cumplieron con los criterios de inclusión. Se encontró edad promedio de 54,6 años, con edades mínima de 25 y máxima de 79 años. La edad a la cual fue diagnosticada la enfermedad, en promedio, fue de 49,4 años con una edad mínima de diagnóstico de la enfermedad de 23 años y una edad máxima de 78 años. El tiempo promedio de evolución de la enfermedad fue de 5,1 años hasta el momento de ingresar al estudio, con un tiempo mínimo de 3 meses y máximo de 22 años.
La tabla 1 muestra las manifestaciones clínicas de la población estudiada tanto en la población de enfermos como en la población de controles. La tabla 2 muestra los resultados obtenidos en cuanto a presencia de anticuerpos y tratamiento de los grupos de controles y enfermos.
Anticuerpos anti alfa fodrina
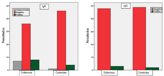
En el grupo de los enfermos los resultados para el anticuerpo anti alfa fodrina de tipo IgA fueron: positivos en 8 casos (15,7%), indeterminados en 7 pacientes (13,7%) y negativos en 36 pacientes (70,6%). Con respecto al anticuerpo de tipo IgG los resultados fueron: positivos en 3 pacientes (5,8%) y negativos en 48 de los pacientes (94,2%). Para el grupo de controles se encontraron resultados positivos de los anticuerpos anti alfa fodrina IgA en 4 pacientes (7,8%), indeterminados en un paciente (2%) y negativos en 46 pacientes (90,2%). En cuanto a los resultados de anticuerpos anti alfa fodrina IgG se encontró un resultado positivo en 2 pacientes (3,9%) y negativos en 49 pacientes (96,1%). Estos resultados se pueden observar en la figura 1.
Los resultados del rendimiento diagnóstico de la prueba anti alfa fodrina al compararla con el gold estándar se exponen en la tabla 3.
Tabla 3 Rendimiento diagnóstico de la prueba comparada con gold estándar (criterios del consenso americano-europeo o el consenso del Colegio Americano de Reumatología)
Como se muestra en la tabla 4, para el grupo de enfermos cuya biopsia fue positiva, la prueba alfa fodrina IgA fue positiva en el 18,6%, por su parte el anticuerpo anti-IgG fue positivo solo en el 6%. Con respecto a los enfermos con anticuerpos anti-SSA (Ro) positivos, el 22,8% tuvo un resultado positivo para el anticuerpo anti alfa fodrina de tipo IgA y el 7,69% para el anticuerpo anti alfa fodrina de tipo IgG. De los pacientes con anticuerpos anti-SSB (La) positivos, el anticuerpo de tipo IgA se presentó positivo en el 20% y el de tipo IgG no presentó ningún resultado positivo. Para los pacientes que tenían factor reumatoide positivo el anticuerpo de tipo IgA fue positivo en el 30% y el de tipo IgG fue positivo en el 7,14%. En cuanto a los pacientes con ENA positivos ninguno presentó resultados positivos para los anticuerpos de tipo IgA o IgG.
Tabla 4 Tabla cruzada entre anticuerpos anti alfa fodrina IgA e IgG y biopsia, Anti-SSA (Ro), Anti-SSA (Ro), Factor reumatoide y ENA
En la figura 2 se observa el resultado de la curva ROC para los anticuerpos anti alfa fodrina.
Lo resultados obtenidos al comparar la validez de la prueba anti alfa fodrina IgA e IgG se exponen en la tabla 5. A partir del cálculo del índice de Youden se encontró que para el test IgA el punto de corte que optimiza sensibilidad y especificidad discriminando adecuadamente sanos de enfermos corresponde al valor de 4,33 U/ml con unos valores de sensibilidad de 80,4% y especificidad de 61%. Para el test IgG el punto de corte que optimiza sensibilidad y especificidad corresponde al valor de 1,43 U/ml con unos valores de sensibilidad de 94,1% y especificidad de 69%.
Análisis bivariado
La tabla 6 muestra los resultados del análisis bivariado realizado entre los anticuerpos anti alfa fodrina IgA e IgG con las variables: edad, sexo y otros anticuerpos. Para este análisis se utilizó la prueba de chi cuadrado.
Discusión
En este estudio se encontró una menor sensibilidad de la prueba que la reportada en otros estudios que evaluaron el rendimiento diagnóstico de los anticuerpos anti alfa fodrina como los de Zandbelt11, Qin12, Chen13, Hu14 y Witte15, quienes encontraron que la sensibilidad de la prueba está entre el 35 a 48%. Cabe destacar que los autores previamente nombrados encuentran que los valores de IgA muestran rendimiento superior a los valores de IgG en lo que respecta a la sensibilidad de la prueba, fenómeno que es similar en nuestra población. La variación con respecto a la sensibilidad puede ser explicada por múltiples factores que incluyen la implementación de diferentes criterios diagnósticos para síndrome de Sjögren primario y criterios de inclusión, el uso de diferentes técnicas de inmunoensayo, el tipo de inmunoglobulina evaluada (IgA, IgG) y las diferentes poblaciones estudiadas.
La no estandarización de las técnicas de inmunoensayo (ELISA, LIA, ALBIA) para la detección de los anticuerpos empleadas en los diferentes estudios contribuye a hallazgos diferentes en cuanto a la prevalencia de anticuerpos en las diferentes poblaciones estudiadas7. De acuerdo con Turkcapar16, para determinar la presencia de anticuerpos anti alfa fodrina la técnica de inmunoblot puede ser más específica que por ELISA, en este punto cabe anotar que la técnica empleada en el presente estudio fue ELISA.
Con respecto a la especificad de la prueba, se encontraron valores del 92% para anticuerpos anti alfa fodrina IgA y del 96% para anticuerpos anti alfa fodrina IgG. Es importante rescatar el valor de la especificidad de la prueba en la población del presente estudio pues le otorga validez como prueba diagnóstica para síndrome de Sjögren primario. Un valor negativo en nuestra prueba indica que hay una probabilidad de 0,92 para anticuerpos anti alfa fodrina IgA y una probabilidad de 0,96 para anticuerpos anti alfa fodrina IgG, de que la prueba detecte la ausencia de la enfermedad en sujetos sanos, resultados que son similares a los descritos en el metaanálisis realizado por Hu14. Teniendo en cuenta que el síndrome de Sjögren primario tiene una prevalencia de 3 a 4% en la población general, se considera que los resultados obtenidos en cuanto a especificidad para los anticuerpos anti alfa fodrina IgA e IgG son válidos en la población estudiada.
Encontramos que se trata de una prueba específica que para el diagnóstico de una enfermedad de baja prevalencia como el síndrome de Sjögren primario tiene un impacto significativo en el valor predictivo positivo, cuyo costo al ser comparado con el costo de la realización de los diferentes anticuerpos empleados en el diagnóstico rutinario de la enfermedad (anticuerpos que no son específicos de la misma) puede resultar rentable para un sistema de salud como el colombiano, no obstante, es importante precisar que se requiere de estudios de evaluación económica para determinar las implicaciones reales de su implementación en un sistema de salud.
Se determinó que la presencia de los siguientes factores se asoció a mayor riesgo de tener un resultado positivo del anticuerpo de tipo IgA: la biopsia de glándula salival positiva, los anticuerpos anti-Ro, anti-La y factor reumatoide positivos, además de la edad mayor de 45 años. No obstante, solamente se determinó asociación estadísticamente significativa para los anticuerpos anti-Ro positivos y el sexo.
En cuanto al anticuerpo de tipo IgG los factores asociados con un mayor riesgo de tener un resultado positivo del mismo fueron la biopsia positiva, los anticuerpos anti-Ro y el factor reumatoide positivos. No fue posible determinar asociación entre la edad y la presencia del mismo. Para ninguno de los factores asociados con mayor riesgo de positividad del anticuerpo de tipo IgG se encontró asociación estadísticamente significativa.
Adicionalmente, se encontró una asociación estadísticamente significativa entre la presencia de anticuerpos anti alfa fodrina IgA y la expresión de manifestaciones extra-glandulares, específicamente la asociación fue significativa para manifestaciones como anemia, linfopenia, gammapatía y compromiso pulmonar.
Los resultados obtenidos a partir del análisis bivariado pudieron deberse a que los anticuerpos anti alfa fodrina IgA e IgG tienden a manifestarse en etapas tempranas de la enfermedad, a veces mucho antes de que haya alteraciones en anticuerpos como anti-SSA (Ro)17; en nuestra población el tiempo de diagnóstico promedio hasta entrar en el estudio fue de 5 años, por lo que se podría asumir que hay influencia en el tiempo de evolución de la enfermedad con respecto a la sensibilidad, especificidad y prevalencias obtenidas.
En cuanto al tratamiento, no se encontró asociación estadísticamente significativa entre la presencia de los anticuerpos de tipo IgA e IgG y el tipo de tratamiento farmacológico de la enfermedad. No obstante, dicho resultado no es concordante con lo descrito en la literatura revisada, por ejemplo, Witte describió una asociación estadísticamente significativa entre la presencia de anticuerpos anti alfa fodrina y el grado de infiltración linfocitaria de la glándula salival15,18,19, además, de la asociación entre el uso de medicamentos inmunomoduladores con un menor compromiso de la glándula salival y con esto una menor expresión de anticuerpos anti alfa fodrina. Para efectos del presente estudio, el resultado obtenido en cuanto al tratamiento podría explicarse porque los pacientes en su mayoría utilizaron corticoides e inmunomoduladores para el tratamiento de su patología, medicamentos cuyo mecanismo de acción a su vez pudo estar implicado en el resultado de la prueba anti alfa fodrina IgA e IgG.
Conclusiones
De acuerdo con los resultados obtenidos y la discusión realizada en el presente estudio se concluye que el anticuerpo anti alfa fodrina IgA representa una potencial alternativa como prueba para el diagnóstico de la enfermedad, sin embargo, se deben tener en cuenta las limitaciones del estudio, la población blanco, la prevalencia e historia natural de la enfermedad para continuar desarrollando investigación en este campo.
Se considera que los resultados no fueron favorables para la prueba anti alfa fodrina IgG como prueba diagnóstica para síndrome de Sjögren primario en nuestra población, por lo cual concluimos que para la toma de decisiones en cuanto a la implementación como una herramienta diagnóstica válida de la misma se requiere de más estudios tanto en la población colombiana como en la población mundial.
En lo que respecta a la sensibilidad de la prueba, los resultados obtenidos en la población estudiada son bajos, por lo que se deben tener en cuenta otros parámetros inmunológicos para definir su papel en la clasificación y diagnóstico de los pacientes con síndrome de Sjögren primario.
Agradecimientos
Los autores destacan la colaboración y patrocinio recibido por parte de Aesku.Diagnostics y de la Fundación Instituto de Reumatología Fernando Chalem en la realización del presente estudio
REFERENCIAS
1. Borchers AT, Naguwa SM, Keen CL, Gershwin ME. Immunopathogenesis of Sjögren's syndrome. Clin Rev Allergy Immunol. 2003;25:89-104. [ Links ]
2. Patel R, Shahane A. The epidemiology of Sjögren's syndrome. Clin Epidemiol. 2014;6:247-55. [ Links ]
3. García-Carrasco M, Fuentes-Alexandro S, Escárcega RO, Salgado G, Riebeling C, Cervera R. Pathophysiology of Sjögren's syndrome. Arch Med Res. 2006;37:921-32. [ Links ]
4. Miyazaki K, Takeda N, Ishimaru N, Omotehara F, Arakaki R, Hayashi Y.Analysis of in vivo role of alpha-fodrin autoantigen in primary Sjögren's syndrome. Am J Pathol. 2005;167:1051-9. [ Links ]
5. Haneji N, Nakamura T, Takio K, Yanagi K, Higashiyama H, Saito I, et al. Identification of alpha-fodrin as a candidate autoantigen in primary Sjögren's syndrome. Science. 1997;276:604-7. [ Links ]
6. Witte T, Matthias T, Bierwirth J, Schmidt RE. Antibodies against alpha-fodrin are associated with sicca syndrome in the general population. Ann N Y Acad Sci. 2007;1108:414-7. [ Links ]
7. Fayyaz A, Kurien BT, Scofield RH. Autoantibodies in Sjögren's syndrome. Rheum Dis Clin North Am. 2016;42:419-34. [ Links ]
8. Wang Y, Virji AS, Howard P, Sayani Y, Zhang J, Achu P, et al. Detection of cleaved alpha-fodrin autoantigen in Sjögren's syndrome: apoptosis and co-localisation of cleaved alpha-fodrin with activated caspase-3 and cleaved poly(ADP-ribose) polymerase (PARP) in labial salivary glands. Arch Oral Biol. 2006;51:558-66. [ Links ]
9. Anaya J-M, Rojas-Villarraga A, Mantilla RD, Arcos-Burgos M, Sarmiento-Monroy JC. Polyautoimmunity in Sjögren syndrome. Rheum Dis Clin North Am. 2016;42:457-72. [ Links ]
10. Tzioufas AG, Tatouli IP, Moutsopoulos HM. Autoantibodies in Sjögren's syndrome: clinical presentation and regulatory mechanisms. Presse Med. 2012;41 Pt 2:e451-60. [ Links ]
11. Zandbelt MM, Vogelzangs J, van De Putte LB, van Venrooij WJ, van Den Hoogen FH. Anti-alpha-fodrin antibodies do not add much to the diagnosis of Sjögren's syndrome. Arthritis Res Ther. 2004;6:R33-8. [ Links ]
12. Qin Q, Wang H, Wang HZ, Huang YL, Li H, Zhang WW, et al. Diagnostic accuracy of anti-alpha-fodrin antibodies for primary Sjögren's syndrome. Mod Rheumatol. 2014;24:793-7. [ Links ]
13. Chen KS, Jiang MC, Li CJ, Liu OK, Tsai CS. Discrimination between Sjögren's and non-Sjögren's sicca syndrome by sialoscintigraphy and antibodies against alpha-fodrin and Ro/la autoantigens. J Int Med Res. 2009;37:1088-96. [ Links ]
14. Hu Q, Wang D, Chen W. The accuracy of the anti-alpha-fodrin antibody test for diagnosis of Sjögren's syndrome: a meta-analysis. Clin Biochem. 2013;46:1372-6. [ Links ]
15. Witte T, Matthias T, Oppermann M, Helmke K, Peter HH, Schmidt RE, et al. Prevalence of antibodies against alpha-fodrin in Sjögren's syndrome: comparison of 2 sets of classification criteria. J Rheumatol. 2003;30:2157-9. [ Links ]
16. Turkcapar N, Olmez U, Tutkak H, Duman M. The importance of alpha-fodrin antibodies in the diagnosis of Sjögren's syndrome. Rheumatol Int. 2006;26:354-9. [ Links ]
17. Witte T. Diagnostic markers of Sjögren's syndrome. Dev Ophthalmol. 2010;45:123-8. [ Links ]
18. Hernández-Molina G, Nuñez-Álvarez C, Ávila-Casado C, Llorente L, Hernández-Hernández C, Calderillo ML, et al. Usefulness of IgA anti-alpha-fodrin antibodies in combination with rheumatoid factor and/or antinuclear antibodies as substitute immunological criterion in Sjögren syndrome with negative anti-SSA/SSB antibodies. J Rheumatol. 2016;43:1852-7. [ Links ]
19. GordisL. Chapter 5: Assessing the validity and reliability of diagnostic and screening tests epidemiology. 5th ed. Elsevier Saunders; 2014. p. 88-116. [ Links ]
Recibido: 25 de Agosto de 2018; Aprobado: 28 de Noviembre de 2018; Publicado: 20 de Mayo de 2019










text in 








