Services on Demand
Journal
Article
Indicators
-
Cited by SciELO -
Access statistics
Related links
-
Cited by Google -
Similars in
SciELO -
Similars in Google
Share
Boletín de Investigaciones Marinas y Costeras - INVEMAR
Print version ISSN 0122-9761
Bol. Invest. Mar. Cost. vol.49 supl.1 Santa Marta Dec. 2020 Epub Sep 05, 2021
https://doi.org/10.25268/bimc.invemar.2020.49.suplesp.1074
Artículos de Investigación
Evaluación de la selectividad de redes de enmalle y líneas de mano para la captura de cojinoa (Caranx crysos) en áreas de influencia marina del Parque Nacional Natural Tayrona
1Facultad de Ingeniería, Universidad del Magdalena, Santa Marta, Colombia.
2Facultad de Ingeniería, Universidad del Magdalena, Santa Marta, Colombia. wonglubo@yahoo.com
3Facultad de Ingeniería, Universidad del Magdalena, Santa Marta, Colombia. jdelahoz@unimagdalena.edu.co
4Parques Nacionales Naturales de Colombia Dirección Territorial Caribe, Santa Marta, Colombia. ivan.martinez@parquesnacionales.gov.co
A greater knowledge of the selectivity of fishing gear allows determining the capacity to select the sizes and shapes of the species caught, in addition to providing useful information for their conservation and use. This study determined the selectivity parameters of gillnets (7.0, 7.6 and 10.2 cm of mesh size) and J hooks (n.° 7, 9 and 10), used in the artisanal catches of the blue runner (Caranx crysos), in different fishing sites in the Santa Marta region. The SELECT method was used to determine the selectivity parameters, while the Kurskall-Wallis test was used to evaluate differences in the catch per unit of effort (CPUE) between the mesh sizes and the evaluated hook gauges. The results demonstrate that the log-normal model better describes the selectivity of gillnets and hand lines for C. crysos. The modal lengths calculated with this model were 23.00, 25.09 and 33.46 cm for the mesh sizes 7.0, 7.6 and 10.2 cm while 23.72, 30.49 and 33.88 cm were calculated for hooks n.° 7, 9 and 10, respectively. The application of these results, considering a maturity size of 35 cm, for an eventual management measure of the blue runner fishery, must also consider that the CPUE showed statistical differences between mesh sizes and hook gauges, which could affect the fisherman’s short-term income.
KEYWORDS: selectivity; gillnet; handline; Caranx crysos; Caribbean Sea of Colombia.
Un mayor conocimiento de la selectividad de los artes de pesca permite determinar la capacidad de selección de los tamaños y formas de las especies capturadas, además de proporcionar información útil para su conservación y aprovechamiento. Este estudio determinó los parámetros de selectividad de redes de enmalle (7,0, 7,6 y 10,2 cm de tamaño de malla) y anzuelos J (n.° 7, 9 y 10), utilizados en las capturas artesanales de la cojinoa (Caranx crysos), en diferentes sitios de pesca de la región de Santa Marta. El método SELECT se utilizó para determinar los parámetros de selectividad mientras que, para evaluar diferencias en la captura por unidad de esfuerzo (CPUE) entre los tamaños de malla y los calibres de anzuelo evaluados, se utilizó la prueba de Kurskall-Wallis. Los resultados mostraron que el modelo log-normal describe mejor la selectividad de las redes de enmalle y las líneas de mano para C. crysos. Las longitudes modales calculadas con este modelo fueron 23,00, 25,09 y 33,46 cm para los tamaños de malla 7,0, 7,6 y 10,2 cm mientras que 23,72, 30,49 y 33,88 cm fueron calculados para los anzuelos n.° 7, 9 y 10, respectivamente. La aplicación de estos resultados, considerando una talla de madurez de 35 cm para una eventual medida de manejo de la pesquería de cojinoa, debe además considerar que la CPUE mostró diferencias estadísticas entre los tamaños de malla y los calibres de anzuelo, lo que podría afectar los ingresos a corto plazo del pescador.
PALABRAS CLAVE: selectividad; red de enmalle; línea de mano; Caranx crysos; mar Caribe de Colombia.
INTRODUCCIÓN
Desde hace mucho tiempo la pesca es una actividad económica importante en muchos lugares del mundo, constituyéndose en la principal forma de generar ingresos en las comunidades costeras y ribereñas (McGoodwin, 1990) y por consiguiente contribuye a la generación de empleo, que puede llegar a ser de 203 millones de trabajos de tiempo completo equivalente (Teh y Sumaila, 2013). Sin embargo, la actividad actualmente está siendo menos rentable por el descenso de las abundancias (García et al., 2007); estimulando la utilización de artes y métodos de pesca menos selectivos con las especies explotadas comercialmente y por supuesto con el ecosistema, resultado de la extracción de los recursos pesqueros por encima de sus tasas naturales de renovación.
Esta disminución en las abundancias impulsa un constante aumento en las dimensiones de los artes de pesca, resultando en un mayor poder de pesca, que además se combina con la reducción de la capacidad de escape de organismos de tallas en las primeras etapas de su desarrollo biológico (McClanahan y Mangi, 2004; Altamar et al., 2015), como es la captura antes de su primer desove, momento clave para la constante renovación de los stocks explotados. El impacto sobre las estructuras de tamaños es un efecto directo de las pesquerías tanto industriales como artesanales, esta última es especialmente perjudicial para el ecosistema cuando no se realizan buenas prácticas; siendo común su uso en regiones costeras y/o de alta diversidad biológica donde los juveniles cumplen parte de su ciclo de vida en zonas de crianza y son más abundantes.
La reducción de la posibilidad de escape de los organismos inmaduros sexualmente debido a la poca selectividad del arte de pesca requiere de estrategias de manejo (Quentin et al., 2010), las cuales son pensadas para mejorar la selección del tamaño y las especies capturadas. Se trata entonces de contribuir a la sostenibilidad de la pesquería evitando la captura de organismos juveniles, que son obviamente más abundantes en relación con los adultos de esa población, y todo ello debería suceder sin que la rentabilidad económica se vea afectada. Esta problemática adquiere especial importancia en las áreas marinas protegidas (AMP) y sectores adyacentes, donde históricamente las pesquerías se han desarrollado alrededor de la captura de varias especies, con el uso de artes de pesca poco selectivos y bajo un régimen de aprovechamiento carente de ordenamiento. Dada la importancia ecológica que tienen las AMP para la estructura y función de los ecosistemas acuáticos, resulta imperativo que las zonas de pesca adyacentes consideren la posibilidad de establecer algún tipo de medida tecnológica que aumente la selectividad de un arte de pesca.
La cojinoa cara negra (Caranx crysos), por su presencia en la mayoría de los desembarcos de diferentes artes de pesca, es un ejemplo de esta problemática (Manjarrés-Martínez et al., 2010). En ese sentido, su presencia en el AMP del Tayrona cumpliría una función de efecto de desborde en áreas alrededor del parque (Martínez-Viloria et al., 2014). Esta especie se distribuye en localidades tropicales y subtropicales costeras de América (Cervigón, 1993); en la costa Caribe de Colombia, particularmente en las áreas adyacentes al Parque Nacional Natural Tayrona (PNNT), es un importante recurso tanto por su valor económico como por su abundancia (Manjarrés-Martínez et al., 2010), al punto que varios artes de pesca la capturan, haciendo que la necesidad de implementar medidas de manejo sea de urgente aplicación. A pesar de lo anterior, dentro de las estrategias posibles, el control de su captura a través de cambios de la selectividad de los artes es una medida que poco ha sido considerada en Colombia y, con toda seguridad, esto se debe a la carencia de información técnica.
El estudio planteado considera dos tecnologías de captura basadas en las tallas retenidas. Por un lado, las redes de enmalle que las maximiza en un rango de tamaños estrecho, y que disminuye su eficiencia de captura por encima o debajo de él y, por otra parte, el uso de anzuelos en líneas de mano cuya selectividad está dada por el tamaño de la boca del pez y el tipo de carnada, pues este debe ser capaz de engullir la presa a la vez que la carnada es un dispositivo atrayente (Lagler et al., 1990; Tesfaye et al., 2016). Para llenar este vacío de información, se han estimado los parámetros de selectividad y predicho medidas de control de la misma de dos artes de pesca (redes de enmalle fijas y líneas de mano) utilizados en la captura artesanal de C. crysos.
ÁREA DE ESTUDIO
Las faenas de pesca con redes de enmalle y líneas de mano se realizaron dentro de la ecorregión Tayrona, particularmente en áreas adyacentes PNNT; área protegida localizada sobre las costas del mar Caribe de Colombia (Figura 1). El área de estudio abarcó la franja costera comprendida desde Punta Gloria hasta la desembocadura del río Piedras, excluyendo al PNNT donde la pesca está prohibida, y avanzando un poco más al nororiente hasta el río Buritaca. La franja marina de esta ecorregión presenta una plataforma continental estrecha con profundidades de más de 200 m a poca distancia del litoral, aguas claras, fondos rocosos y arenosos, en la parte somera, y lodosa en la profunda; batimétricamente las operaciones se realizaron hasta el veril de 30 m con red de enmalle y hasta 100 m con línea de mano (Invemar, 2000).
MATERIALES Y MÉTODOS
El éxito de los estudios de selectividad de redes de enmalle o líneas de mano depende en gran medida de obtener capturas suficientes, en términos de número de peces, para que el efecto selectivo de los distintos paños o calibres de anzuelo sea perceptible. Aunque estos factores han sido estudiados con detalle, no hay una manera de estimar cuál es el número mínimo de lances necesarios, ya que esto depende del éxito o eficiencia del proceso de captura.
Entre noviembre de 2018 y febrero de 2019 se efectuaron 21 faenas de pesca experimental, con una duración que osciló entre 9 y 11 h de tiempo efectivo de pesca para la red de enmalle y de 3 a 5 h para las líneas de mano, periodo similar empleado por los pescadores de la zona. Los tamaños de malla y calibres de anzuelo evaluados con fines de determinar los parámetros de selectividad, se seleccionaron en función de dos aspectos, el primero la longitud o talla de madurez sexual (Lm) de la especie C. crysos y el segundo con base en las dimensiones y aspectos constructivos típicos de la pesquería artesanal del área de estudio (Gómez et al., 2004; Altamar y Zúñiga, 2015; Marrugo et al., 2017).
Se construyó una red experimental con tres cuerpos, cada uno de ellos con tamaños de malla 7,0, 7,6 y 10,2 cm (2–, 3 y 4 pulgadas), construidas con poliamida (PA) monofilamento. Cada cuerpo tenía 117 m de longitud en su relinga superior y una altura aproximada de 11 m con un coeficiente de armado 0,65; estos cuerpos se ataron de un extremo a otro en una sola banda y su posición se cambió aleatoriamente en cada faena para lograr una probabilidad de captura similar (Fabi et al., 2002) y de esta forma reducir el posible efecto de la posición sobre los rendimientos de captura. Asimismo, las líneas de mano fueron construidas con PA monofilamento de 70 lbf de resistencia, que utilizaban tres bajantes de 1,3 m de donde se anudaron anzuelos tipo J con calibres 7, 9 y 10, con separación entre bajantes de 0,3 m y un lastre de 0,3 kg de plomo. En cada faena los anzuelos fueron colocados aleatoriamente, quedando todas las configuraciones expuestas para la pesca el mismo tiempo. En las faenas realizadas con línea de mano se utilizó como carnada machuelo (Opisthonema oglinum), del mismo tamaño y calidad organoléptica.
En todos los lances de pesca se cuantificó la captura total en número y peso. Los ejemplares capturados fueron separados a bordo en cajas o recipientes según el cuerpo (tamaño de malla) en el que los peces quedaron retenidos y en el caso de las líneas de mano según el calibre del anzuelo, posteriormente en tierra se realizó con la biometría correspondiente (longitud total y peso). Para valorar la eficiencia de las configuraciones de los artes de pesca se compararon las abundancias relativas o Captura por Unidad de Esfuerzo (CPUE) en términos de kg × faena-1, para lo cual se utilizó la prueba de Kruskal Wallis mediante el uso del software STATISTICA v13.
La selectividad se evaluó determinando las curvas de selectividad para los tres tamaños de malla y los tres calibres de anzuelo, para lo cual se estimaron los parámetros de selectividad a partir del método SELECT (Millar, 1992). Las curvas de selectividad se ajustaron utilizando el paquete “funciones de red de enmalle” en el software estadístico R (Millar, 2003, 2010; R Core Team, 2019). El método Select asume que el número de peces de longitudes l capturados con un tamaño de anzuelo o tamaño de malla j tiene una distribución de Poisson n lj , y se define mediante la siguiente ecuación:
Donde:
p j es la intensidad de pesca relativa,
λ l es la abundancia de peces clase l de talla, y
r j (l) es la probabilidad de retención de peces l en el anzuelo o tamaño de malla j.
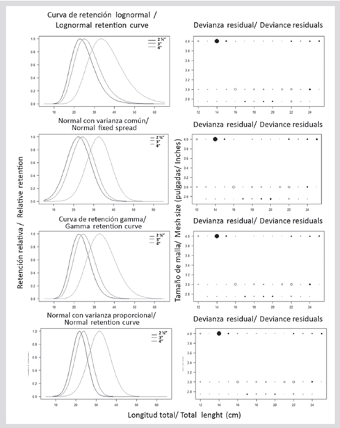
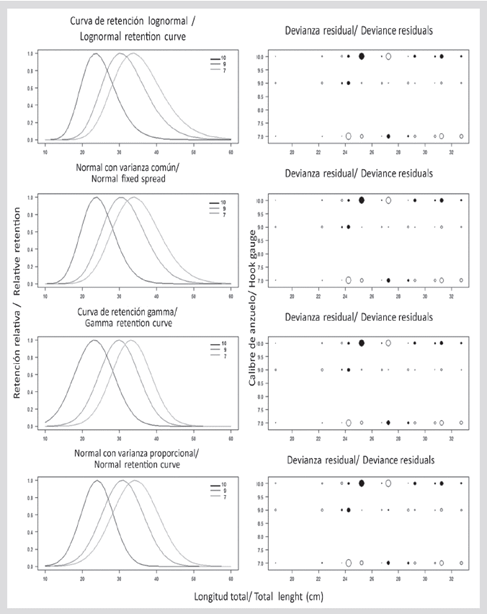
La intensidad de pesca relativa de un anzuelo es una medida combinada del esfuerzo de pesca y el poder de pesca (Millar, 1992). Este método utiliza un Modelo Lineal Generalizado (GLM) descrito en Millar (1992), de la familia Poisson y con función de enlace Log, que es específicamente aplicable en redes de enmalle y anzuelos como se describe en Millar y Holst (1997) y Millar y Frye (1999). El método SELECT estima las probabilidades de retención utilizando cuatro modelos unimodales (normal de localización, normal de escala, Gamma y Log-normal), que aplican las máximas probabilidades para estimar los parámetros de selectividad. La deviación del modelo (bondad de estadística de ajuste de la relación de probabilidad), se calculó y se utilizó como criterio para elegir el modelo que mejor se ajuste para la especie considerada. Las ecuaciones de los modelos utilizados en el método SELECT se presentan a continuación (Tabla 1).
RESULTADOS
En 42 lances de pesca se capturaron un total de 1039 especímenes de C. crysos, de los cuales 588 provinieron de red de enmalle y 451 de líneas de mano. La mediana (promedio ± DE) de la longitud total capturada con tamaños de malla de 7,0, 7,6 y 10,2 cm fueron 27,40 (26,03 ± 5,14), 28,50 (27,84 ± 2,60) y 30,80 (31,66 ± 2,88) cm (Figura 2A). Mientras que los calibres n.° 7, 9 y 10 alcanzaron medianas (promedios ± DE) de 28,90 (28,37 ± 1,82), 26,90 (27,86 ± 1,48) y 28,30 (27,27 ± 1,56) cm (Figura 2B). En general, el tamaño de malla y el tamaño de anzuelo más grandes de los evaluados capturaron en promedio los individuos de mayor tamaño. Sin embargo, los tamaños más pequeños exhibieron un rango amplio de tamaños (Figura 2).

Figura 2 Gráfico de cajas y bigotes que compara las medianas de la longitud total de cojinoa para las configuraciones evaluadas. A) Tamaños de malla en la red de enmalle. B) Calibres de anzuelo en la línea de mano.
Los resultados del método SELECT ajustado a C. crysos determinaron los parámetros de selectividad de cada modelo evaluado (Tabla 2). Las longitudes modales estimadas que corresponden al tamaño con la probabilidad máxima de captura y el valor de dispersión obtenido del modelo de mejor ajuste para la red de enmalle y la línea de mano se muestran en la Tabla 3. Las curvas de selectividad ajustadas para red de enmalle y líneas de mano, para cada modelo, se muestran en las Figuras 3 y 4. De los cuatro diferentes modelos de selectividad, el log-normal proporcionó el mejor ajuste (valor de devianza más bajo), lo que indica que este modelo puede describir mejor las capturas de redes de enmalle y línea de mano para esta especie. Además, en las Figuras 3 y 4 se muestran los gráficos de desviación residual de las curvas de selectividad estimadas.
Tabla 2 Parámetros de selectividad estimados a partir de los cuatro modelos evaluados para red de enmalle y línea de mano que capturan Caranx crysos
Table 3 Caranx crysos modal length for all three mesh sizes (7.0, 7.6, and 10.2 cm) and three hook gauges (n.° 10, 9, and 7).

Figura 3 Curvas de selectividad de redes de enmalle y devianza de los residuos para cada uno de los modelos evaluados a Caranx crysos en la región de Santa Marta.

Figura 4 Curvas de selectividad de líneas de mano y devianza de los residuos para cada uno de los modelos evaluados a Caranx crysos en la región de Santa Marta.
En términos de CPUE (kg × faena-1), la configuración más eficiente fue el paño de 7 cm con 4,9 kg × faena-1, seguido de los de 7,6 y 10,2 cm con 1,7 y 0,4 kg × faena-1, respectivamente (Figura 5A). La comparación de las medianas de la CPUE presentó diferencias estadísticas (p < 0,05) entre todos los tamaños de malla evaluados. Por otro lado, el anzuelo más grande (calibre n.° 7) de los evaluados resultó ser el menos eficiente, obteniendo la CPUE más baja (1,4 kg × faena-1). Los anzuelos calibre n.° 9 y 10 no presentaron diferencias estadísticas entre sí (p > 0,05) con 2,2 y 1,9 kg × faena-1, respectivamente (Figura 5B).
DISCUSIÓN
Todas las longitudes modales estimadas para cada curva (red de enmalle y línea de mano) fueron inferiores a 35 cm, que corresponde al tamaño de madurez de la cojinoa (Altamar et al., 2015), lo cual indica que la capacidad de selección de los artes de pesca de enmalle y de línea de mano que capturan cojinoa deben ser revisados en términos de los tamaños de malla y anzuelos evaluados. Las pesquerías de enmalle suelen utilizar tamaños de malla de 6,35 y 7,62 cm; este estudio determinó que 10,2 cm es el tamaño de malla que más se aproxima a la talla de madurez. Sin embargo, la posible aplicación de una medida basada en la regulación del arte se afectaría por el hecho de que el tamaño de malla que se debería implementar (10,2 cm) fue el que obtuvo la CPUE (kg × faena-1) más baja.
En estudios realizados con redes de enmalle para esta especie, Marrugo et al. (2016) estimaron un tamaño de malla óptimo de 8,4 cm estimado a partir del L50 que comercialmente equivale a 3,5 pulgadas y 9,4 cm para el L90-100, que comercialmente equivale a 4 pulgadas. Es importante anotar que más del 80 % de las redes utilizan tamaños de mallas inferiores a 8,9 cm y con ellos capturan entre 61 % (Altamar et al., 2015) y 69 % (AUNAP-Unimagdalena, 2013) de individuos por debajo de la talla de madurez.
Una medida de manejo recomendable para iniciar un proceso de sustitución de artes de pesca, en este caso redes de enmalle, sería ensayar con los pescadores un conjunto de paños de 8,9 cm o superiores con miras a reducir la captura de individuos inmaduros, e ir avanzando poco a poco hacia la incorporación de paños de 10,2 cm. En todo caso, cualquier regulación que se derive de este estudio debe ser consensuada en el marco de un sistema de manejo participativo con los actores involucrados en el proceso, de tal manera que puedan evaluar de manera participativa las eventuales bondades bioecológicas y económicas de una medida de este tipo. Finalmente, las medidas de manejo orientadas a controlar el uso de algunos calibres de anzuelos resultarían muy difíciles en la práctica por la disponibilidad de usar otros calibres de anzuelos y la facilidad para cambiarlos al momento de las faenas. En ambos casos, quizá sería más útil realizar campañas educativas que motiven a pescadores, incluido su núcleo familiar, y a consumidores a realizar y promover (pagos de un precio justo) por la realización de buenas prácticas de pesca, principalmente aquellas que recomiendan parámetros constructivos que mejoran la selección de los tamaños de captura.
De acuerdo con las curvas de selectividad estimadas para la cojinoa, tanto en las redes de enmalle como en anzuelos, el modelo con el mejor ajuste fue el log-normal. En el caso de las redes la longitud modal más cercana a la talla de madurez se presentó en la curva de 10,2 cm. No obstante, las redes con este tamaño de malla son consideradas en algunos sitios del área de estudio como un arte de pesca estacional u opcional, es decir, que en algunas épocas del año son utilizadas para la captura individuos de mayor tamaño como los jureles, pero el resto del año lo utilizan poco por su ineficiencia para especies más frecuentes como la cojinoa. De igual manera, proponer solamente el tamaño de malla óptimo para la pesca de un recurso, no resulta suficiente para propiciar una pesca sostenible, es necesario tener en cuenta otras modificaciones tecnológicas sobre el diseño de la red de enmalle, tales como: el coeficiente de armado y la posición de trabajo de la red que finalmente determinan su eficiencia, es decir, una red podría cumplir con la norma del tamaño de malla recomendado, pero si utiliza un coeficiente de armado por debajo de 0,5 contribuiría a aumentar la captura por enredo de individuos por debajo de la talla de madurez.
Por otro lado, en el caso de los tamaños de anzuelos evaluados, todas las longitudes modales estimadas en las curvas de selección son inferiores a la talla de madurez. Por consiguiente, es importante determinar áreas y/o épocas donde se puedan realizar capturas sostenibles del recurso de cojinoa tanto para anzuelos como para redes de enmalle, y que, en otras pesquerías como las de pargo rayado (Lutjanus synagris), han resultado clave para definir el impacto de los artes de pesca sobre la mortalidad y las tallas medias de captura (Manjarrés et al., 2004).
Finalmente, a partir de estos insumos es importante que los administradores del recurso pesquero en el PNN Tayrona y en las zonas adyacentes, donde es ejercido por la Autoridad Nacional de Acuicultura y Pesca (AUNAP), deben articularse para establecer medidas de manejo complementarias que propendan por desarrollar actividades de pesca responsable para la cojinoa (Caranx crysos), siendo que ella es uno de los principales objetos de captura. Además, basados en el principio de similaridad geométrica de Baranov, que propone la proporcionalidad entre el perímetro de una malla con la circunferencia perimetral del pez, este tipo de medidas tendría las ventajas propias del efecto de “especie sombrilla”, ya que termina protegiendo a otras especies de gran importancia comercial que tienen una menor circunferencia máxima perimetral a la talla de madurez de la cojinoa (v. g. carite, Scomberomorus brasiliensis).
CONCLUSIONES
En las áreas adyacentes del Parque Nacional Natural Tayrona, el modelo de mejor ajuste obtenido para las capturas de Caranx crysos, tanto para las redes de enmalle como para las líneas de mano fue el log-normal. Las longitudes modales calculadas con fueron 23,00, 25,09 y 33,46 cm para los tamaños de malla 7, 7,6 y 10,2 cm, mientras que 23,72, 30,49 y 33,88 cm para los anzuelos n.° 7, 9 y 10, respectivamente. En cualquiera de los dos casos, redes y líneas, es muy importante considerar procesos de consenso con los pescadores artesanales para aprovechar su conocimiento ecológico tradicional y asegurar el éxito de cualquier medida de manejo que se implemente.
Finalmente, a pesar que las faenas de pesca se realizaron en zonas de pesca adyacentes al PNN Tayrona, todas las tallas modales estimadas están por debajo de la talla de madurez de la cojinoa, por lo cual es necesario que los administradores del recurso y del AMP consideren la aplicación de medidas de manejo basadas en el ordenamiento de los artes de pesca.
AGRADECIMIENTOS
Este trabajo se realizó en el marco del convenio de asociación n.° 010 de 2017 celebrado entre Patrimonio Natural Fondo para la Biodiversidad y Áreas Protegidas, Parques Nacionales Naturales - Dirección Territorial Caribe y Universidad del Magdalena. Además, los autores agradecen a los pescadores artesanales, particularmente, a la tripulación de la embarcación la Chenguerita, en cabeza del capitán Jairo Varela. A los proeles Ricardo Varela, Hansen Varela, Juan David Wong y Clemente Urueta. A los pescadores tagangueros Rafael Pinto (Simón) y Victoriano Pacheco Pinto (Cuma) y a Roberto Silva (Ciénaga), pescador de Mendiguaca.
REFERENCIAS
Altamar, J. y H., Zúñiga. 2015. Cuantificación de unidades económicas de pesca y caracterización de artes y embarcaciones de pesca artesanales en Colombia. Autoridad Nal. Acuicultura Pesca, Bogotá. 62 p. [ Links ]
Altamar, J., L., Manjarrés-Martínez, L.O., Duarte, F., Cuello y F. ,Escobar-Toledo. 2015. ¿Qué tamaños deberíamos pescar? Autoridad Nal. Acuicultura Pesca y Univ. Magdalena, Santa Marta. 48 p. [ Links ]
AUNAP-Unimagdalena. 2013. Tallas mínimas de captura para el aprovechamiento sostenible de las principales especies de peces, crustáceos y moluscos comerciales de Colombia. Convenio 058 Autoridad Nal. Acuicultura Pesca y Univ. Magdalena, Santa Marta. 58 p. [ Links ]
Fabi, G., M., Sbrana, F., Biagi, F., Grati, I., Leonor, and P.S. ,Sartor. 2002. Trammel net and gillnet for Lithognathus mormyrus (Linnaaeus, 1758), and Mullus barbatus (Linnaeus, 1758) in the Adriatic and Lingurian Seas. Fish. Res., 54: 375-388. https://doi:10.1016/S0165-7836(01)00270-3 [ Links ]
García, C.B., L.O., Duarte, J., Altamar, and L., Manjarrés-Martínez. 2007. Demersal fish density in the upwelling ecosystem off Colombia, Caribbean Sea: Historic outlook. Fish. Res., 85(1): 68-73. https://doi.org/10.1016/j.fishres.2006.12.003 [ Links ]
Gómez-Canchong, P., L., Manjarrés, L., Duarte y J., Altamar. 2004. Atlas pesquero del área norte del mar Caribe de Colombia. Univ. Magdalena. Santa Marta. 232 p. [ Links ]
Invemar. 2000. Programa Nacional de Investigación en Biodiversidad Marina y Costera (PNIBM). Invemar, Fonade y MMA, Santa Marta. 83 p. [ Links ]
McClanahan, T.R. and S.C., Mangi. 2004. Gear-based management of a tropical artisanal fishery based on specie selectivity and capture size. Fish. Manag. Ecol., 11: 51-60. https://doi.org/10.1111/j.1365-2400.2004.00358.x [ Links ]
McGoodwin, J.R. 1990. Crisis in the world’s fisheries: people, problems and policies. Stanford, Palo Alto, USA. 235 p. [ Links ]
Manjarrés, L.M., J.C., Arévalo, J., Rodríguez y P., Gómez. 2004. Dinámica poblacional y manejo del stock de pargo rayado (Lutjanus synagris) (Linneaus, 1758) de La Guajira (Caribe colombiano). 267-296. En Manjarrés, L. (Ed.). Pesquerías demersales del área norte del Caribe colombiano y parámetros ecológicos, biológicos pesqueros y poblacionales del recurso pargo. Univ. Magdalena, Santa Marta. [ Links ]
Manjarrés-Martínez, L.M., J.C., Gutiérrez-Estrada, J., Mazenet-González, and M.C., Soriguer. 2010. Seasonal patterns of three fish species in a Caribbean coastal gill-net fishery: biologically induced or climate-related aggregations? Fish. Res., 106(3): 358-367. https://doi.org/10.1016/j.fishres.2010.09.005 [ Links ]
Marrugo, C., J., Altamar y L.O., Duarte. 2015. Caracterización tecnológica e índices de captura de elasmobranquios, con redes de enmalle que incorporan anzuelos, utilizadas en el golfo de Salamanca (Caribe colombiano). Intropica, 10: 84-92. http://revistas.unimagdalena.edu.co/index.php/intropica/article/view/1650 [ Links ]
Marrugo, C., J., Altamar y L.O. ,Duarte. 2016. Tamaño óptimo de malla para la captura artesanal de cojinoa negra (Caranx crysos) con redes de enmalle. Proc. Gulf Carib. Fish. Inst., 68: 501. [ Links ]
Millar, R.B. 1992. Estimating the size-selectivity of fishing gear by conditioning on the total catch. J. Am. Statist. As., 87: 962-968. [ Links ]
Millar, R.B. 2003. R code for fitting SELECT models to gillnet data. http://www.stat.auckland.ac.nz/~millar/select ware/R/gillnets.01/2020. [ Links ]
Millar, R.B. 2010. Next generation R functions for trawl and net (or hook) selectivity. https://www.stat.auckland.ac.nz/%20~millar/selectware/RNext. 01/2020. [ Links ]
Millar, R.B. and R. ,Holst. 1997. Estimation of gillnet and hook selectivity using log-linear models. ICES J. Mar. Sci., 54: 471-477. https://doi.org/10.1006/jmsc.1996.0196 [ Links ]
Millar, R.B. and R.J. ,Fryer. 1999. Estimating the size-selection curves of towed gears, traps, nets and hooks. Rev. Fish Biol. Fish., 9: 89-116. https://doi.org/10.1023/A:1008838220001 [ Links ]
R Core Team. 2019. R: a language and environment for statistical computing. R Foundation for Statistical Computing, Vienna. [ Links ]
Teh, L.C. and U.R., Sumaila 2013. Contribution of marine fisheries to worldwide employment. Fish Fish., 14(1): 77-88. https://doi.org/10.1111/j.1467-2979.2011.00450.x [ Links ]
Tesfaye, G., M., Wolff, and M. ,Taylor. 2016. Gear selectivity of fishery target resources in Lake Koka, Ethiopia: evaluation and management implications. Hydrobiologia. 765(1): 277-295. https://doi.org/10.1007/s10750-015-2420-0 [ Links ]
Viloria-Martínez, H.M., R., Franke, P., Saldaña, M., Cano, L.E., Angarita, C., García y C. ,López. 2014. Caracterización del uso y aprovechamiento de recursos hidrobiológicos en áreas protegidas de Parques Nacionales Naturales en el Caribe de Colombia. Bol. Invest. Mar. Cost., 43(2): 277-306. [ Links ]
Recibido: 30 de Julio de 2020; Aprobado: 06 de Noviembre de 2020



![Diet and trophic niche breadth of the neotropical cormorant [Nannopterum brasilianus (Gmelin, 1789)] in the Flora and Fauna Sanctuary Ciénaga Grande de Santa Marta, Caribbean Colombia](/img/en/prev.gif)






text in 







